Microbial Indicators Show the Rehabilitation Flow of Soil Microbiota After the Brumadinho Dam Collapse
Abstract
1. Introduction
2. Material and Methods
2.1. Description of the Study Area and Soil Sampling
2.2. Soil Microbial Activity Measure
- SW is the dry weight of the soil in grams (100 g of soil).
- t is the incubation time in hours.
- VB is the volume, in mL, of hydrochloric acid used in the titration of the control solution (blank).
- VA is the volume, in mL, of hydrochloric acid used in the titration of the sample.
- 22 is the gram equivalent of CO2. It represents half the molecular weight of CO2 (molecular weight = 44), as two moles of 1 M NaOH are required to capture one molecule of CO2.
- dwt is the dry weight of 1 g of wet soil sample.
2.3. Soil Microbial Diversity
2.4. Statistical Analysis
2.5. Soil Physicochemical Analysis
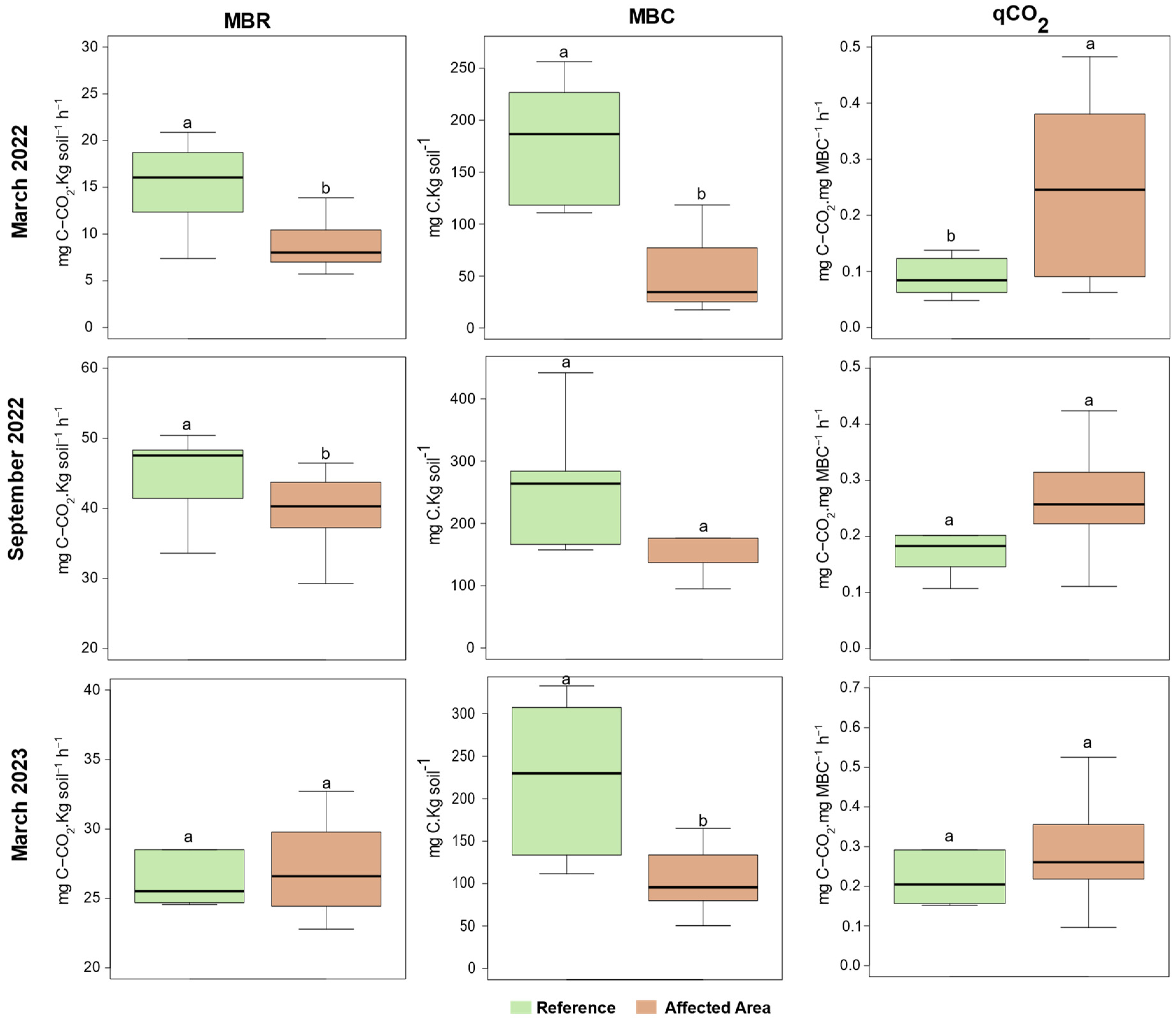
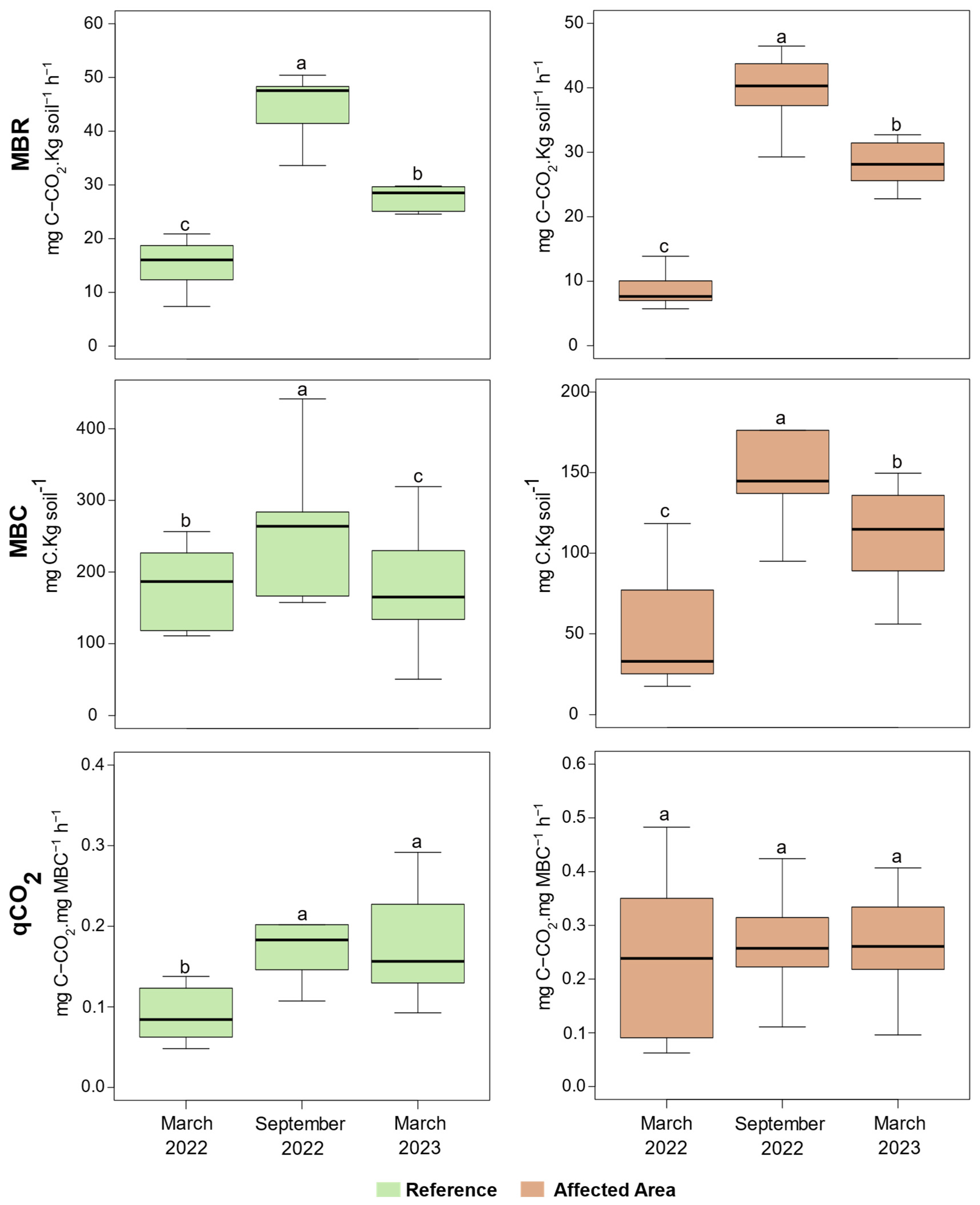
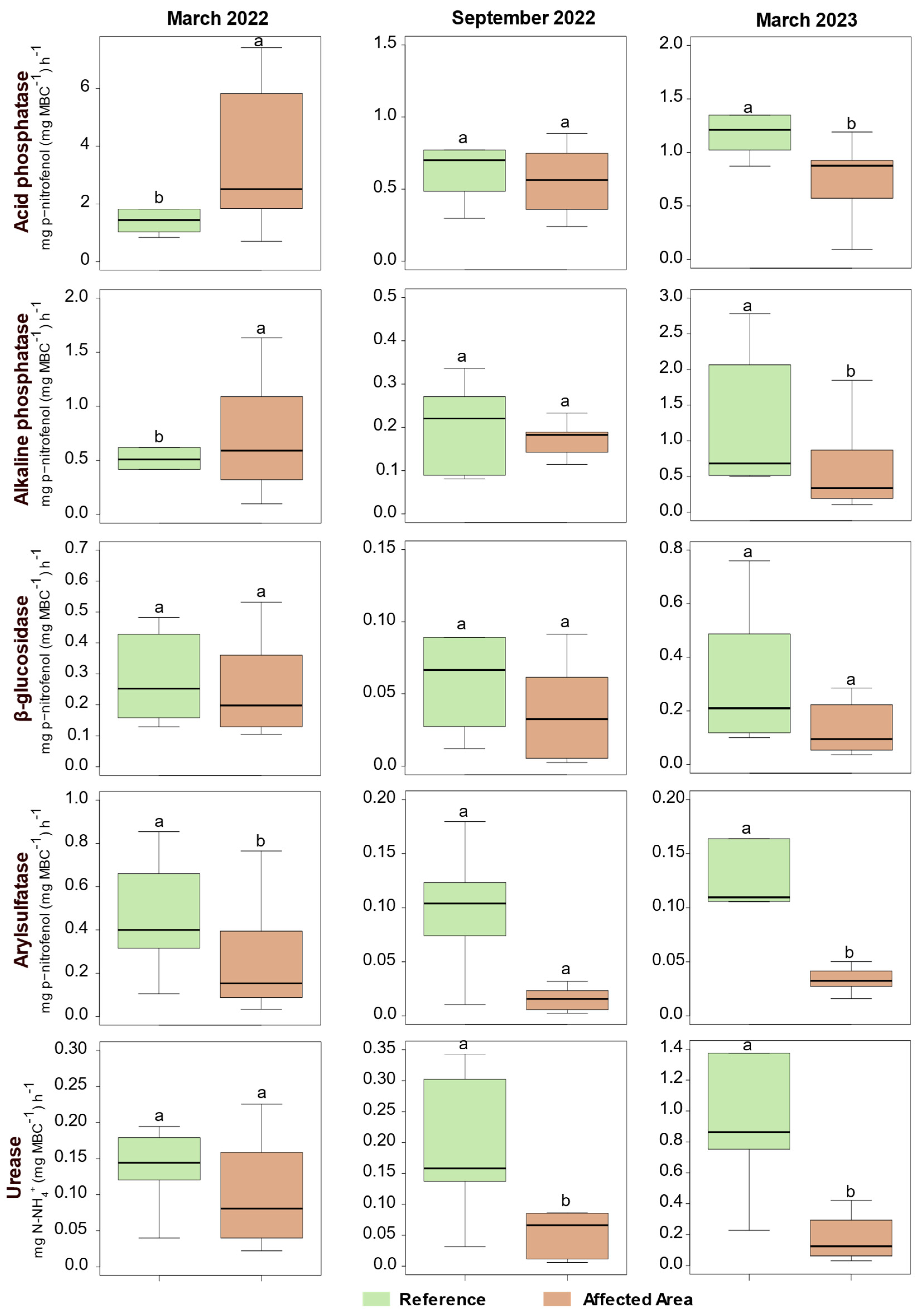
3. Results
4. Discussion
5. Conclusions
Supplementary Materials
Author Contributions
Funding
Data Availability Statement
Acknowledgments
Conflicts of Interest
References
- Schloter, M.; Nannipieri, P.; Sorensen, S.J.; Elsas, J.D.V. Microbial indicators for soil quality. Biol. Fertil. Soils 2017, 54, 1–10. [Google Scholar] [CrossRef]
- Astudillo-García, C.; Bell, J.J.; Webster, N.S.; Glasl, B.; Jompa, J.; Montoya, J.M.; Taylor, M.W. Evaluating the core microbiota in complex communities: A systematic investigation. Environ. Microbiol. 2017, 19, 1450–1462. [Google Scholar] [CrossRef] [PubMed]
- Joos, L.; De Tender, C.; Holderbeke, A.; Clement, L.; Vandecasteele, B.; Debode, J. Exploring the microbial response as a potential bio-indicator for soil health: Insights from a controlled incubator experiment. Agric. Ecosyst. Environ. 2023, 356, 108634. [Google Scholar] [CrossRef]
- Ma, F.; Wang, C.; Zhang, Y.; Chen, J.; Xie, R.; Sun, Z. Development of Microbial Indicators in Ecological Systems. Int. J. Environ. Res. Public Health 2022, 19, 13888. [Google Scholar] [CrossRef]
- Singh, A.K.; Jiang, X.-J.; Yang, B.; Wu, J.; Rai, A.; Chen, C.; Ahirwal, J.; Wang, P.; Liu, W.; Singh, N. Biological indicators affected by land use change, soil resource availability and seasonality in dry tropics. Ecol. Indic. 2020, 115, 106369. [Google Scholar] [CrossRef]
- Brookes, P. The Soil Microbial Biomass: Concept, Measurement and Applications in Soil Ecosystem Research. Microbes Environ.-Microbes Environ. 2001, 16, 131–140. [Google Scholar] [CrossRef]
- Alkorta, I.; Aizpurua, A.; Riga, P.; Albizu, I.; Amézaga, I.; Garbisu, C. Soil enzyme activities as biological indicators of soil health. Rev. Environ. Health 2003, 18, 65–73. [Google Scholar] [CrossRef]
- Eivazi, F.; Tabatabai, M.A. Phosphatases in soils. Soil Biol. Biochem. 1977, 9, 167–172. [Google Scholar] [CrossRef]
- Whalen, J.K.; Warman, P.R. Arylsulfatase activity in soil and soil extracts using natural and artificial substrates. Biol. Fertil. Soils 1996, 22, 373–378. [Google Scholar] [CrossRef]
- Zhao, X.; Liu, P.; Feng, Y.; Zhang, W.; Njoroge, B.; Long, F.; Zhou, Q.; Qu, C.; Gan, X.; Liu, X. Changes in Soil Physico-Chemical and Microbiological Properties During Natural Succession: A Case Study in Lower Subtropical China. Front. Plant Sci. 2022, 13, 878908. [Google Scholar] [CrossRef]
- Vanegas, J.J.; Zambrano, K.B.; Avellaneda-Torres, L.M. Effect of ecological and conventional managements on soil enzymatic activities in coffee agroecosystems. Pesqui. Agropecuária Trop. 2018, 48, 420–428. [Google Scholar] [CrossRef]
- Davies, B.; Coulter, J.A.; Pagliari, P.H. Soil enzyme activity behavior after urea nitrogen application. Plants 2022, 11, 2247. [Google Scholar] [CrossRef] [PubMed]
- Lema, N.K.; Gemeda, M.T.; Woldesemayat, A.A. Recent Advances in Metagenomic Approaches, Applications, and Challenge. Curr. Microbiol. 2023, 80, 347. [Google Scholar] [CrossRef] [PubMed]
- Bastida, F.; Eldridge, D.J.; García, C.; Png, G.K.; Bardgett, R.D.; Delgado-Baquerizo, M. Soil microbial diversity–biomass relationships are driven by soil carbon content across global biomes. ISME J. 2021, 15, 2081–2091. [Google Scholar] [CrossRef]
- Prado, I.G.d.O.; Silva, M.d.C.S.d.; Prado, D.G.d.O.; Kemmelmeier, K.; Pedrosa, B.G.; da Silva, C.C.; Kasuya, M.C.M. Revegetation process increases the diversity of total and arbuscular mycorrhizal fungi in areas affected by the Fundão dam failure in Mariana, Brazil. Appl. Soil Ecol. 2019, 141, 84–95. [Google Scholar] [CrossRef]
- Wilhelm, R.; van Es, H.; Buckley, D. Predicting measures of soil health using the microbiome and supervised machine learning. Soil Biol. Biochem. 2021, 164, 108472. [Google Scholar] [CrossRef]
- Bhaduri, D.; Sihi, D.; Bhowmik, A.; Verma, B.C.; Munda, S.; Dari, B. A review on effective soil health bio-indicators for ecosystem restoration and sustainability. Front. Microbiol. 2022, 13, 938481. [Google Scholar] [CrossRef]
- Choix, F.J.; Palacios, O.A.; Nevarez-Moorillón, G.V. Traditional and new proposals for environmental microbial indicators—A review. Environ. Monit. Assess. 2023, 195, 1521. [Google Scholar] [CrossRef]
- Hollstein, M.; Comerford, M.; Uhl, M.; Abel, M.; Egan, S.P.; Stadler, L.B. Impact of a natural disturbance on the performance and microbial communities in a full-scale constructed wetland for industrial wastewater treatment. Front. Environ. Sci. 2023, 11, 1187143. [Google Scholar] [CrossRef]
- DPMG. Five Years After Brumadinho Disaster, Extrajudicial Compensation Made Possible by DPMG Exceeds R$ 1.3 Billion. Public Defender of Mines Gerais. 2024. Available online: https://defensoria.mg.def.br/cinco-anos-apos-desastrede-brumadinho-extrajudicial-indemnities-made-possible-by-dpmg-passam-de-r-13-billion/ (accessed on 12 February 2024).
- INMET—Instituto Nacional de Meteorologia. Diagnóstico das Chuvas Ocorridas no Período de 08 a 10 de Janeiro de 2022 em Minas Gerais. INMET/5ºDISME/BH Página 1. Available online: https://portal.inmet.gov.br/noticias/inmet-divulga-o-diagn%C3%B3stico-das-chuvas-ocorridas-no-per%C3%ADodo-de-08-a-10-de-janeiro-de-2022-em-minas-gerais (accessed on 20 April 2024).
- Jenkinson, D.S.; Powlson, D.S. The effects of biocidal treatments on metabolism in soil. V. A method for measuring soil biomass. Soil Biol. Biochem. 1976, 8, 209–213. [Google Scholar] [CrossRef]
- Alef, K.; Nannipieri, P. Methods in Applied Soil Microbiology and Biochemistry; Academic Press Inc.: San Diego, CA, USA, 1995. [Google Scholar]
- Tedesco, M.J. Análises de solo, Plantas e Outros Materiais, 2nd ed.; UFRGS: Porto Alegre, Brazil, 1995; Volume 10-2022, 68p. [Google Scholar]
- Eivazi, F.; Tabatabai, M. Glucosidases and galactosidases in soils. Soil Biol. Biochem. 1988, 20, 601–606. [Google Scholar] [CrossRef]
- Tabatabai, M.A.; Bremner, J.M. Arylsulfatase Activity of Soils. Soil Sci. Soc. Am. J. 1970, 34, 225–229. [Google Scholar] [CrossRef]
- Kandeler, E.; Gerber, H. Short-term assay of soil urease activity using colorimetric determination of ammonium. Biol. Fertil. Soils 1988, 6, 68–72. [Google Scholar] [CrossRef]
- Sakai, Y. Improvements in Extraction Methods of High-molecular-weight DNA from Soils by Modifying Cell Lysis Conditions and Reducing Adsorption of DNA onto Soil Particles. Microbes Environ. 2021, 36, ME21017. [Google Scholar] [CrossRef] [PubMed]
- Verma, S.K.; Singh, H.; Sharma, P.C. An improved method suitable for isolation of high-quality metagenomic DNA from diverse soils. 3 Biotech 2017, 7, 171. [Google Scholar] [CrossRef]
- Williamson, K.E.; Kan, J.; Polson, S.W.; Williamson, S.J. Optimizing the indirect extraction of prokaryotic DNA from soils. Soil Biol. Biochem. 2011, 43, 736–748. [Google Scholar] [CrossRef]
- Shapiro, S.S.; Wilk, M.B. An analysis of variance test for normality (complete samples). Biometrika 1965, 52, 591–611. [Google Scholar] [CrossRef]
- Kruskal, W.H.; Wallis, W.A. Use of ranks in one-criterion variance analysis. J. Am. Stat. Assoc. 1952, 47, 583–621. [Google Scholar] [CrossRef]
- Fisher, R.A. The Design of Experiments; Oliver and Boyd: Edinburgh, Scotland, 1935. [Google Scholar]
- Lange, M.; Eisenhauer, N.; Sierra, C.A.; Bessler, H.; Engels, C.; Griffiths, R.I.; Mellado-Vázquez, P.G.; Malik, A.A.; Roy, J.; Scheu, S.; et al. Plant diversity increases soil microbial activity and soil carbon storage. Nat. Commun. 2015, 6, 6707. [Google Scholar] [CrossRef]
- de Sousa, S.S.; Freitas, D.A.F.; Latini, A.O.; Silva, B.M.; Viana, J.H.M.; Campos, M.P.; Peixoto, D.S.; Botula, Y.-D. Iron ore mining areas and their reclamation in Minas Gerais State, Brazil: Impacts on soil physical properties. SN Appl. Sci. 2020, 2, 1659. [Google Scholar] [CrossRef]
- Lima, H.S.; Cavalcante, J.P.C.M.; Silva, L.C.F.; Silva, M.d.C.S.d.; de Paula, S.O.; Kasuya, M.C.M.; da Silva, C.C. Structure and putative function of a soil microbial community impacted by the deposition of tailings and subsequent revegetation after the rupture of the Fundao Dam. Land Degrad. Dev. 2022, 33, 1235–1248. [Google Scholar] [CrossRef]
- Ye, C.; Li, N.; Gui, J.; Zhu, M.; Zhou, Y.; Li, D.; Jiao, K.; Griffiths, B.S.; Hu, S.; Liu, M. Long-term organic amendments increase the vulnerability of microbial respiration to environmental changes: Evidence from field and laboratory studies. Sci. Total. Environ. 2024, 920, 170979. [Google Scholar] [CrossRef] [PubMed]
- Li, G.; Kim, S.; Han, S.H.; Chang, H.; Son, Y. Effect of Soil Moisture on the Response of Soil Respiration to Open-Field Experimental Warming and Precipitation Manipulation. Forests 2017, 8, 56. [Google Scholar] [CrossRef]
- Bian, H.; Li, C.; Zhu, J.; Xu, L.; Li, M.; Zheng, S.; He, N. Soil Moisture Affects the Rapid Response of Microbes to Labile Organic C Addition. Front. Ecol. Evol. Sec. Biogeogr. Macroecol. 2022, 10, 857185. [Google Scholar] [CrossRef]
- Liu, L.; Estiarte, M.; Bengtson, P.; Li, J.; Asensio, D.; Wallander, H.; Peñuelas, J. Drought legacies on soil respiration and microbial community in a Mediterranean forest soil under different soil moisture and carbon inputs. Geoderma 2022, 405, 115425. [Google Scholar] [CrossRef]
- Qu, R.; Liu, G.; Yue, M.; Wang, G.; Peng, C.; Wang, K.; Gao, X. Soil temperature, microbial biomass and enzyme activity are the critical factors affecting soil respiration in different soil layers in Ziwuling Mountains, China. Front. Microbiol. 2023, 14, 1105723. [Google Scholar] [CrossRef]
- Alster, C.J.; van de Laar, A.; Goodrich, J.P.; Arcus, V.L.; Deslippe, J.R.; Marshall, A.J.; Schipper, L.A. Quantifying thermal adaptation of soil microbial respiration. Nat. Commun. 2023, 14, 5459. [Google Scholar] [CrossRef]
- Siebielec, S.; Siebielec, G.; Klimkowicz-Pawlas, A.; Gałązka, A.; Grządziel, J.; Stuczyński, T. Impact of Water Stress on Microbial Community and Activity in Sandy and Loamy Soils. Agronomy 2020, 10, 1429. [Google Scholar] [CrossRef]
- Borowik, A.; Wyszkowska, J. Soil moisture as a factor affecting the microbiological and biochemical activity of soil. Plant, Soil Environ. 2016, 62, 250–255. [Google Scholar] [CrossRef]
- Deng, Q.; Hui, D.; Chu, G.; Han, X.; Zhang, Q. Rain-induced changes in soil CO2 flux and microbial community composition in a tropical forest of China. Sci. Rep. 2017, 7, 5539. [Google Scholar] [CrossRef]
- Hartman, W.H.; Richardson, C.J. Differential Nutrient Limitation of Soil Microbial Biomass and Metabolic Quotients (qCO2): Is There a Biological Stoichiometry of Soil Microbes? PLoS ONE 2013, 8, e57127. [Google Scholar] [CrossRef]
- Odum, E.P. The Strategy of Ecosystem Development: An understanding of ecological succession provides a basis for resolving man’s conflict with nature. Science 1969, 164, 262–270. [Google Scholar] [CrossRef]
- Clayton, J.; Lemanski, K.; Bonkowski, M. Shifts in soil microbial stoichiometry and metabolic quotient provide evidence for a critical tipping point at 1% soil organic carbon in an agricultural post-mining chronosequence. Biol. Fertil. Soils 2021, 57, 435–446. [Google Scholar] [CrossRef]
- Steinberger, Y.; Stein, A.; Dorman, M.; Svoray, T.; Doniger, T.; Rinot, O.; Gil, E. A sensitive soil biological indicator to changes in land-use in regions with Mediterranean climate. Sci. Rep. 2022, 12, 22216. [Google Scholar] [CrossRef]
- Margalef, O.; Sardans, J.; Fernández-Martínez, M.; Molowny-Horas, R.; Janssens, I.A.; Ciais, P.; Goll, D.; Richter, A.; Obersteiner, M.; Asensio, D.; et al. Global patterns of phosphatase activity in natural soils. Sci. Rep. 2017, 7, 1337. [Google Scholar] [CrossRef]
- Li, X.; Sarah, P. Arylsulfatase activity of soil microbial biomass along a Mediterranean-arid transect. Soil Biol. Biochem. 2003, 35, 925–934. [Google Scholar] [CrossRef]
- Kunito, T.; Kurita, H.; Kumori, M.; Sakaguchi, K.; Nishizawa, S.; Fujita, K.; Moro, H.; Sawada, K.; Miyabara, Y.; Toda, H.; et al. Microbial synthesis of arylsulfatase depends on the soluble and adsorbed sulfate concentration in soils. Eur. J. Soil Biol. 2022, 111, 103418. [Google Scholar] [CrossRef]
- Rodrigues, R.N.; Junior, F.B.d.R.; Lopes, A.A.d.C.; Rocha, O.C.; Guerra, A.F.; Veiga, A.D.; Mendes, I.d.C. Soil enzymatic activity under coffee cultivation with different water regimes associated to liming and intercropped brachiaria. Cienc. Rural. 2022, 52, e20200532. [Google Scholar] [CrossRef]
- Kumari, J.A.; Rao, P.; Padmaja, G.; Madhavi, M. Effect of Substrate Concentration on Soil Enzyme Urease. Int. J. Curr. Microbiol. Appl. Sci. 2020, 9, 1150–1158. [Google Scholar] [CrossRef]
- Liu, S.; Sun, Y.; Shi, F.; Liu, Y.; Wang, F.; Dong, S.; Li, M. Composition and diversity of soil microbial community associated with land use types in the agro-pastoral area in the Upper Yellow River Basin. Front. Plant Sci. 2022, 13, 819661. [Google Scholar] [CrossRef]
- Li, J.; Nie, M.; Powell, J.R.; Bissett, A.; Pendall, E. Soil physico-chemical properties are critical for predicting carbon storage and nutrient availability across Australia. Environ. Res. Lett. 2020, 15, 094088. [Google Scholar] [CrossRef]
- Comerford, N.B. Soil Factors Affecting Nutrient Bioavailability. In Nutrient Acquisition by Plants; Bassirirad, H., Ed.; Ecological Studies; Springer: Berlin, Germany, 2005; Volume 181. [Google Scholar] [CrossRef]
- Kome, G.K.; Enang, R.K.; Tabi, F.O.; Yerima, B.P.K. Influence of Clay Minerals on Some Soil Fertility Attributes: A Review. Open J. Soil Sci. 2019, 9, 155–188. [Google Scholar] [CrossRef]
- Saidian, M.; Godinez, L.J.; Prasad, M. Effect of clay and organic matter on nitrogen adsorption specific surface area and cation exchange capacity in shales (mudrocks). Appl. Clay Sci. 2016, 123, 123–131. [Google Scholar] [CrossRef]
- Fernandes, C.C.; Kishi, L.T.; Lopes, E.M.; Omori, W.P.; de Souza, J.A.M.; Alves, L.M.C.; Lemos, E.G.d.M. Bacterial communities in mining soils and surrounding areas under regeneration process in a former ore mine. Braz. J. Microbiol. 2018, 49, 489–502. [Google Scholar] [CrossRef]
- Hanada, S. The Phylum Chloroflexi, the Family Chloroflexaceae, and the Related Phototrophic Families Oscillochloridaceae and Roseiflexaceae. In The Prokaryotes; Rosenberg, E., DeLong, E.F., Lory, S., Stackebrandt, E., Thompson, F., Eds.; Springer: Berlin/Heidelberg, Germany, 2014; pp. 515–535. [Google Scholar] [CrossRef]
- Speirs, L.-B.-M.; Rice, D.-T.-F.; Petrovski, S.; Seviour, R.-J. The Phylogeny, Biodiversity, and Ecology of the Chloroflexi in Activated Sludge. Front. Microbiol. 2019, 10, 2015. [Google Scholar] [CrossRef]
- Gupta, R.S. Molecular Markers for Photosynthetic Bacteria and Insights into the Origin and Spread of Photosynthesis. In Advances in Botanical Research; Sargent, S., Ed.; Elsevier: Amsterdam, The Netherlands, 2013; Volume 66, pp. 37–66. [Google Scholar] [CrossRef]
- Silva, D.E.O.; Costa, R.M.; Campos, J.R.; Rocha, S.M.B.; Pereira, A.P.d.A.; Melo, V.M.M.; Oliveira, F.A.S.; Neto, F.d.A.; Mendes, L.W.; Araujo, A.S.F. Short-term restoration practices change the bacterial community in degraded soil from the Brazilian semiarid. Sci. Rep. 2024, 14, 6845. [Google Scholar] [CrossRef]
- Bergmann, G.T.; Bates, S.T.; Eilers, K.G.; Lauber, C.L.; Caporaso, J.G.; Walters, W.A.; Knight, R.; Fierer, N. The under-recognized dominance of Verrucomicrobia in soil bacterial communities. Soil Biol. Biochem. 2011, 43, 1450–1455. [Google Scholar] [CrossRef]
- Shen, C.; Ge, Y.; Yang, T.; Chu, H. Verrucomicrobial elevational distribution was strongly influenced by soil pH and carbon/nitrogen ratio. J. Soils Sediments 2016, 17, 2449–2456. [Google Scholar] [CrossRef]
- Yu, X.; Polz, M.F.; Alm, E.J. Interactions in self-assembled microbial communities saturate with diversity. ISME J. 2019, 13, 1602–1617. [Google Scholar] [CrossRef]
- Shi, G.; Sun, H.; Calderón-Urrea, A.; Li, M.; Yang, H.; Wang, W.; Su, G. Bacterial communities as indicators of soil health under a continuous cropping system. Land Degrad. Dev. 2021, 32, 2393–2408. [Google Scholar] [CrossRef]
- Baćmaga, M.; Wyszkowska, J.; Borowik, A.; Kucharski, J.; Paprocki, Ł. Role of forest site type in determining bacterial and biochemical properties of soil. Ecol. Indic. 2022, 135, 108557. [Google Scholar] [CrossRef]
- Chinachanta, K.; Shutsrirung, A.; Santasup, C.; Pathom-Aree, W.; Luu, D.T.; Herrmann, L.; Lesueur, D.; Prom-U-Thai, C. Rhizoactinobacteria Enhance Growth and Antioxidant Activity in Thai Jasmine Rice (Oryza sativa) KDML105 Seedlings under Salt Stress. Plants 2023, 12, 3441. [Google Scholar] [CrossRef]
- Alore, E.T.; Glick, B.R.; Babalola, O.O. Microbial Phosphorus Solubilization and Its Potential for Use in Sustainable Agriculture. Front. Microbiol 2017, 8, 971. [Google Scholar] [CrossRef] [PubMed]
- Rao, M.P.N.; Lohmaneeratana, K.; Bunyoo, C.; Thamchaipenet, A. Actinobacteria–Plant Interactions in Alleviating Abiotic Stress. Plants 2022, 11, 2976. [Google Scholar] [CrossRef] [PubMed]
- Saeed, Q.; Xiukang, W.; Haider, F.U.; Kučerik, J.; Mumtaz, M.Z.; Holatko, J.; Naseem, M.; Kintl, A.; Ejaz, M.; Naveed, M.; et al. Rhizosphere Bacteria in Plant Growth Promotion, Biocontrol, and Bioremediation of Contaminated Sites: A Comprehensive Review of Effects and Mechanisms. Int. J. Mol. Sci. 2021, 22, 10529. [Google Scholar] [CrossRef]
- Metze, D.; Schnecker, J.; Canarini, A.; Fuchslueger, L.; Koch, B.J.; Stone, B.W.; Hungate, B.A.; Hausmann, B.; Schmidt, H.; Schaumberger, A.; et al. Microbial growth under drought is confined to distinct taxa and modified by potential future climate conditions. Nat. Commun. 2023, 14, 5895. [Google Scholar] [CrossRef]







Disclaimer/Publisher’s Note: The statements, opinions and data contained in all publications are solely those of the individual author(s) and contributor(s) and not of MDPI and/or the editor(s). MDPI and/or the editor(s) disclaim responsibility for any injury to people or property resulting from any ideas, methods, instructions or products referred to in the content. |
© 2025 by the authors. Licensee MDPI, Basel, Switzerland. This article is an open access article distributed under the terms and conditions of the Creative Commons Attribution (CC BY) license (https://creativecommons.org/licenses/by/4.0/).
Share and Cite
Goulart, P.W.; Santini, A.T.; Medina, L.R.; Cerqueira, A.E.S.; Gazolla, A.C.; Silva, W.M.; de Assis, I.R.; Aniceto, D.; de Paula, S.O.; da Silva, C.C. Microbial Indicators Show the Rehabilitation Flow of Soil Microbiota After the Brumadinho Dam Collapse. Mining 2025, 5, 16. https://doi.org/10.3390/mining5010016
Goulart PW, Santini AT, Medina LR, Cerqueira AES, Gazolla AC, Silva WM, de Assis IR, Aniceto D, de Paula SO, da Silva CC. Microbial Indicators Show the Rehabilitation Flow of Soil Microbiota After the Brumadinho Dam Collapse. Mining. 2025; 5(1):16. https://doi.org/10.3390/mining5010016
Chicago/Turabian StyleGoulart, Paulo Wilson, Amanda Tristão Santini, Lutecia Rigueira Medina, Alan Emanuel Silva Cerqueira, Alex Castro Gazolla, Wiane Meloni Silva, Igor Rodrigues de Assis, Diego Aniceto, Sergio Oliveira de Paula, and Cynthia Canêdo da Silva. 2025. "Microbial Indicators Show the Rehabilitation Flow of Soil Microbiota After the Brumadinho Dam Collapse" Mining 5, no. 1: 16. https://doi.org/10.3390/mining5010016
APA StyleGoulart, P. W., Santini, A. T., Medina, L. R., Cerqueira, A. E. S., Gazolla, A. C., Silva, W. M., de Assis, I. R., Aniceto, D., de Paula, S. O., & da Silva, C. C. (2025). Microbial Indicators Show the Rehabilitation Flow of Soil Microbiota After the Brumadinho Dam Collapse. Mining, 5(1), 16. https://doi.org/10.3390/mining5010016

