MALDI-TOF Mass Spectrometry as the Tool for the Identification of Features of Polymers Obtained by Inverse Vulcanization
Abstract
1. Introduction
2. Materials and Methods
2.1. Materials
2.2. Interaction of D-Limonene and Cyclooctasulfur (Synthesis of High-Sulfur Polymer by Inverse Vulcanization Reaction)
2.3. Methods for the Study of a Polymer Obtained by the Interaction of D-Limonene and Elemental Sulfur
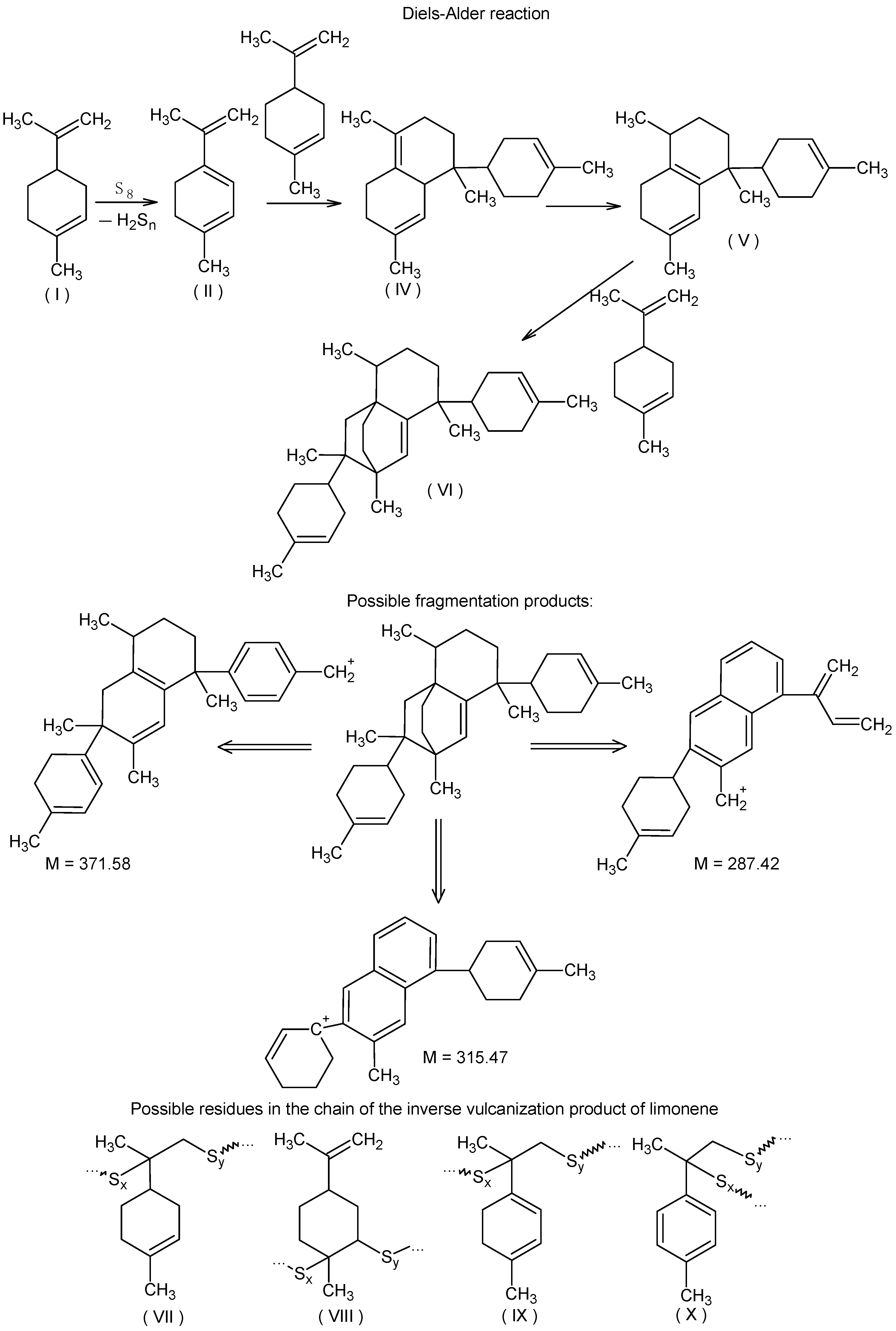
3. Results and Discussion
4. Conclusions
Author Contributions
Funding
Data Availability Statement
Acknowledgments
Conflicts of Interest
References
- Seong-Ju, L.; Gi-Yeon, H.; Mo-Beom, Y.; Jong-Ho, B.; Hyun-Joong, K. Inverse vulcanization of sulfur and solvent-based depolymerization for preparation of pressure-sensitive adhesives. J. Mater. Res. Technol. 2024, 29, 1798–1804. [Google Scholar] [CrossRef]
- Ivanov, A.V.; Smirnov, Y.D.; Lisay, V.V.; Borowski, G. Issues of the Impact of Granulated Sulfur Transportation on the Environmental Components. J. Ecol. Eng. 2023, 24, 86–97. [Google Scholar] [CrossRef] [PubMed]
- Gomez, I.; Mecerreyes, D.; Blazquez, J.A.; Leonet, O.; Ben Youcef, H.; Li, C.; Gómez-Cámer, J.L.; Bondarchuk, O.; Rodriguez-Martinez, L. Inverse vulcanization of sulfur with divinylbenzene: Stable and easy processable cathode material for lithium-sulfur batteries. J. Power Sources 2016, 329, 72–78. [Google Scholar] [CrossRef]
- Arslan, M.; Kiskan, B.; Cengiz, E.C.; Demir-Cakan, R.; Yagci, Y. Inverse vulcanization of bismaleimide and divinylbenzene by elemental sulfur for lithium sulfur batteries. Eur. Polym. J. 2016, 80, 70–77. [Google Scholar] [CrossRef]
- Park, S.; Lee, D.; Cho, H.; Lim, J.; Char, K. Inverse Vulcanization Polymers with Enhanced Thermal Properties via Divinylbenzene Homopolymerization-Assisted Cross-Linking. ACS Macro Lett. 2019, 8, 1670–1675. [Google Scholar] [CrossRef]
- Yan, P.; Zhao, W.; McBride, F.; Cai, D.; Dale, J.; Hanna, V.; Hasell, T. Mechanochemical synthesis of inverse vulcanized polymers. Nat. Commun. 2022, 13, 4824. [Google Scholar] [CrossRef]
- Bao, J.; Martin, K.P.; Cho, E.; Kang, K.-S.; Glass, R.S.; Coropceanu, V.; Bredas, J.-L.; Parker, W.O., Jr.; Njardarson, J.T.; Pyun, J. On the Mechanism of the Inverse Vulcanization of Elemental Sulfur: Structural Characterization of Poly(sulfur-random-(1,3-diisopropenylbenzene)). J. Am. Chem. Soc. 2023, 145, 12386–12397. [Google Scholar] [CrossRef]
- Griebel, J.J.; Nguyen, N.A.; Astashkin, A.V.; Glass, R.S.; Mackay, M.E.; Char, K.; Pyun, J. Preparation of Dynamic Covalent Polymers via Inverse Vulcanization of Elemental Sulfur. ACS Macro Lett. 2014, 3, 1258–1261. [Google Scholar] [CrossRef]
- Ghumman, A.S.M.; Nasef, M.M.; Shamsuddin, M.R.; Abbasi, A. Evaluation of properties of sulfur-based polymers obtained by inverse vulcanization: Techniques and challenges. Polym. Polym. Compos. 2020, 29, 1333–1352. [Google Scholar] [CrossRef]
- Hanna, V.; Graysmark, M.; Willcock, H.; Hasell, T. Liquid polybutadiene reinforced inverse vulcanised polymers. J. Mater. Chem. A 2024, 12, 1211–1217. [Google Scholar] [CrossRef]
- Dirlam, P.T.; Simmonds, A.G.; Shallcross, R.C.; Arrington, K.J.; Chung, W.J.; Griebel, J.J.; Hill, L.; Glass, R.S.; Char, K.; Pyun, J. Improving the Charge Conductance of Elemental Sulfur via Tandem Inverse Vulcanization and Electropolymerization. ACS Macro Lett. 2015, 4, 111–114. [Google Scholar] [CrossRef] [PubMed]
- Simmonds, A.G.; Griebel, J.J.; Park, J.; Kim, K.R.; Chung, W.J.; Oleshko, V.P.; Kim, J.; Kim, E.T.; Glass, R.S.; Soles, C.L.; et al. Inverse Vulcanization of Elemental Sulfur to Prepare Polymeric Electrode Materials for Li–S Batteries. ACS Macro Lett. 2014, 3, 229–232. [Google Scholar] [CrossRef] [PubMed]
- Zhang, Y.; Griebel, J.J.; Dirlam, P.T.; Nguyen, N.A.; Glass, R.S.; Mackay, M.E.; Char, K.; Pyun, J. Inverse vulcanization of elemental sulfur and styrene for polymeric cathodes in Li-S batteries. J. Polym. Sci. Part A Polym. Chem. 2016, 55, 107–116. [Google Scholar] [CrossRef]
- Pyun, J.; Carrozza, C.F.; Silvano, S.; Boggioni, L.; Losio, S.; Alberto de Angelis, R.; Parker, W.O., Jr. Nuclear magnetic resonance structural characterization of sulfur-derived copolymers from inverse vulcanization. Part 1: Styrene. J. Polym. Sci. 2022, 60, 3471–3477. [Google Scholar] [CrossRef]
- Onose, Y.; Ito, Y.; Kuwabara, J.; Kanbara, T. Tracking side reactions of the inverse vulcanization process and developing monomer selection guidelines. Polym. Chem. 2022, 13, 5486–5493. [Google Scholar] [CrossRef]
- Bischoff, D.J.; Lee, T.; Kang, K.-S.; Molineux, J.; Parker, W.O., Jr.; Pyun, J.; Mackay, M.E. Unraveling the rheology of inverse vulcanized polymers. Nat. Commun. 2023, 14, 7553. [Google Scholar] [CrossRef]
- Tedjini, R.; Viveiros, R.; Casimiro, T.; Bonifácio, V.D.B. Iron-free mechanochemical limonene inverse vulcanization. RSC Mechanochem. 2024, 1, 176–180. [Google Scholar] [CrossRef]
- Orhan, R.; Aydoğmuş, E. Synthesis and Characterization of Limonene-Based Sulfur Polymer. Eur. J. Sci. Technol. 2021, 28, 1517–1520. [Google Scholar] [CrossRef]
- Crockett, M.P.; Evans, A.M.; Worthington, M.J.H.; Albuquerque, I.S.; Slattery, A.D.; Gibson, C.T.; Campbell, J.A.; Lewis, D.A.; Bernardes, G.J.L.; Chalker, J.M. Sulfur-Limonene Polysulfide: A Material Synthesized Entirely from Industrial By-Products and Its Use in Removing Toxic Metals from Water and Soil. Ang. Chem. Int. Ed. 2016, 55, 1714–1718. [Google Scholar] [CrossRef]
- Smith, J.A.; Green, S.J.; Petcher, S.; Parker, D.J.; Zhang, B.; Worthington, M.J.H.; Wu, X.; Kelly, C.A.; Baker, T.; Gibson, C.T.; et al. Crosslinker Copolymerization for Property Control in Inverse Vulcanization. Chem.—Eur. J. 2019, 25, 10433–10440. [Google Scholar] [CrossRef]
- Giansanti, L.; Aleandri, S.; Altieri, B.; Caretti, F.; Mancini, G.; Morosetti, S.; Ventura, S.; Pérez-Fernández, V.; Gentil, A. Liquid chromatography/mass spectrometry identification of intermediates and vulcanization products by using squalene as vulcanization model compound. Rapid Commun. Mass Spectrom. 2016, 30, 1339–1348. [Google Scholar] [CrossRef]
- Wang, D.; Tang, Z.; Fang, S.; Wu, S.; Zeng, H.; Wang, A.; Guo, B. The use of inverse vulcanised polysulfide as an intelligent interfacial modifier in rubber/carbon black composites. Carbon 2021, 184, 409–417. [Google Scholar] [CrossRef]
- Kuwabara, J.; Oi, K.; Watanabe, M.M.; Fukuda, T.; Kanbara, T. Algae-Inspired, Sulfur-Based Polymer with Infrared Transmission and Elastic Function. ACS Appl. Polym. Mater. 2020, 2, 5173–5178. [Google Scholar] [CrossRef]
- Sahu, T.S.; Choi, S.; Jaumaux, P.; Zhang, J.; Wang, C.; Zhou, D.; Wang, G. Squalene-derived sulfur-rich copolymer@ 3D graphene-carbon nanotube network cathode for high-performance lithium-sulfur batteries. Polyhedron 2019, 162, 147–154. [Google Scholar] [CrossRef]
- Gomez, I.; Leonet, O.; Blazquez, J.A.; Mecerreyes, D. Inverse Vulcanization of Sulfur using Natural Dienes as Sustainable Materials for Lithium–Sulfur Batteries. ChemSusChem 2016, 9, 3419–3425. [Google Scholar] [CrossRef]
- Dale, J.J.; Hanna, V.; Hasell, T. Manipulating Inverse Vulcanization Comonomers to Generate High-Tensile-Strain Polymers. ACS Appl. Polym. Mater. 2023, 5, 6761–6765. [Google Scholar] [CrossRef]
- Ghumman, A.S.M.; Shamsuddin, R.; Sabir, R.; Waheed, A.; Sami, A.; Almohamadid, H. Synthesis and performance evaluation of slow-release fertilizers produced from inverse vulcanized copolymers obtained from industrial waste. RSC Adv. 2023, 13, 7867–7876. [Google Scholar] [CrossRef]
- Smith, A.D.; Tennyson, A.G.; Smith, R.C. Sulfur-Containing Polymers Prepared from Fatty Acid-Derived Monomers: Application of Atom-Economical Thiol-ene/Thiol-yne Click Reactions and Inverse Vulcanization Strategies. Sustain. Chem. 2020, 1, 209–237. [Google Scholar] [CrossRef]
- Smith, A.D.; McMillen, C.D.; Smith, R.C.; Tennyson, A.G. Copolymers by Inverse Vulcanization of Sulfur with Pure or Technical-Grade Unsaturated Fatty Acids. J. Polym. Sci. 2020, 58, 438–445. [Google Scholar] [CrossRef]
- Shen, H.; Zheng, B.; Zhang, H. A Decade Development of Inverse Vulcanization Towards Green and Sustainable Practices. Polym. Rev. 2024, 64, 1211–1266. [Google Scholar] [CrossRef]
- Valle, S.F.; Giroto, A.S.; Klaic, R.; Guimarães, G.G.F.; Ribeiro, C. Sulfur fertilizer based on inverse vulcanization process with soybean oil. Polym. Degrad. Stab. 2019, 162, 102–105. [Google Scholar] [CrossRef]
- Tikoalu, A.D.; Lundquist, N.A.; Chalker, J.M. Mercury Sorbents Made By Inverse Vulcanization of Sustainable Triglycerides: The Plant Oil Structure Influences the Rate of Mercury Removal from Water. Adv. Sustain. Syst. 2020, 4, 1900111. [Google Scholar] [CrossRef]
- Nayeem, A.; Ali, M.F.; Shariffuddin, J.H. Polysulfide Synthesis Using Waste Cooking Palm Oil via Inverse Vulcanization. Chem. Eng. Technol. 2022, 45, 971–978. [Google Scholar] [CrossRef]
- Ye, H.; Sun, J.; Zhang, S.; Lin, H.; Zhang, T.; Yao, Q.; Lee, J.Y. Stepwise Electrocatalysis as a Strategy against Polysulfide Shuttling in Li–S Batteries. ACS Nano 2019, 13, 14208–14216. [Google Scholar] [CrossRef]
- Zhao, F.; Li, Y.; Feng, W. Recent Advances in Applying Vulcanization/Inverse Vulcanization Methods to Achieve High-Performance Sulfur-Containing Polymer Cathode Materials for Li–S Batteries. Small Methods 2018, 2, 1800156. [Google Scholar] [CrossRef]
- Xiao, J.; Liu, Z.; Zhang, W.; Deng, N.; Liu, J.; Zhao, F. Inverse Vulcanization of a Natural Monoene with Sulfur as Sustainable Electrochemically Active Materials for Lithium-Sulfur Batteries. Molecules 2021, 26, 7039. [Google Scholar] [CrossRef]
- Lopez, C.V.; Maladeniya, C.P.; Smith, R.C. Lithium-Sulfur Batteries: Advances and Trends. Electrochem 2020, 1, 226–259. [Google Scholar] [CrossRef]
- Zhao, L.; Qiu, F.; Deng, X.; Huang, Y.; Li, Y.; Zhao, C.; Ren, W.; Zou, C.; Li, X.; Wang, M.; et al. Novel Sulfur-Containing Polymeric Cathode Material Prepared via an Inverse Vulcanization Method for Advanced Lithium–Sulfur Batteries. ACS Appl. Energy Mater. 2022, 5, 7617–7626. [Google Scholar] [CrossRef]
- Choudhury, S.; Srimuk, P.; Raju, K.; Tolosa, A.; Fleischmann, S.; Zeiger, M.; Ozoemena, K.I.; Borchardt, L.; Presser, V. Carbon onion/sulfur hybrid cathodes via inverse vulcanization for lithium–sulfur batteries. Sustain. Energy Fuels 2018, 2, 133–146. [Google Scholar] [CrossRef]
- Griebel, J.J.; Li, G.; Glass, R.S.; Char, K.; Pyun, J. Kilogram scale inverse vulcanization of elemental sulfur to prepare high capacity polymer electrodes for Li-S batteries. J. Polym. Sci. Part A Polym. Chem. 2015, 53, 173–177. [Google Scholar] [CrossRef]
- Yeşilot, S.; Küçükköylü, S.; Demirb, E.; Demir-Cakan, R. Phosphazene based star-branched polymeric cathode materials via inverse vulcanization of sulfur for lithium–sulfur batteries. Polym. Chem. 2020, 11, 4124–4132. [Google Scholar] [CrossRef]
- Yeşilot, S.; Küçükköylü, S.; Mutlu, T.; Demir, E.; Demir-Cakan, R. Highly sulfur-rich polymeric cathode materials via inverse vulcanization of sulfur for lithium–sulfur batteries. Mater. Chem. Phys. 2022, 285, 126168. [Google Scholar] [CrossRef]
- Griebel, J.J.; Namnabat, S.; Kim, E.T.; Himmelhuber, R.; Moronta, D.H.; Chung, W.J.; Simmonds, A.G.; Kim, K.-J.; van der Laan, J.; Nguyen, N.A.; et al. New Infrared Transmitting Material via Inverse Vulcanization of Elemental Sulfur to Prepare High Refractive Index Polymers. Adv. Mater. 2014, 26, 3014–3018. [Google Scholar] [CrossRef]
- Griebel, J.J.; Nguyen, N.A.; Namnabat, S.; Anderson, L.E.; Glass, R.S.; Norwood, R.A.; Mackay, M.E.; Char, K.; Pyun, J. Dynamic Covalent Polymers via Inverse Vulcanization of Elemental Sulfur for Healable Infrared Optical Materials. ACS Macro Lett. 2015, 4, 862–866. [Google Scholar] [CrossRef]
- Norwood, R.A.; Pyun, J. Infrared plastic optics and photonic devices using chalcogenide hybrid inorganic/organic polymers via inverse vulcanization of elemental sulfur. Prog. Polym. Sci. 2024, 156, 101865. [Google Scholar] [CrossRef]
- Tavella, C.; Lova, P.; Marsotto, M.; Luciano, G.; Patrini, M.; Stagnaro, P.; Comoretto, D. High Refractive Index Inverse Vulcanized Polymers for Organic Photonic Crystals. Crystals 2020, 10, 154. [Google Scholar] [CrossRef]
- Kleine, T.S.; Nguyen, N.A.; Anderson, L.E.; Namnabat, S.; LaVilla, E.A.; Showghi, S.A.; Dirlam, P.T.; Arrington, C.A.; Manchester, M.S.; Schwiegerling, J.; et al. High Refractive Index Copolymers with Improved Thermomechanical Properties via the Inverse Vulcanization of Sulfur and 1,3,5-Triisopropenylbenzene. ACS Macro Lett. 2016, 5, 1152–1156. [Google Scholar] [CrossRef]
- Boyd, D.A.; Nguyen, V.Q.; McClain, C.C.; Kung, F.H.; Baker, C.C.; Myers, J.D.; Hunt, M.P.; Kim, W.; Sanghera, J.S. Optical Properties of a Sulfur-Rich Organically Modified Chalcogenide Polymer Synthesized via Inverse Vulcanization and Containing an Organometallic Comonomer. ACS Macro Lett. 2019, 8, 113–116. [Google Scholar] [CrossRef]
- Müller, F.G.; Lisboa, L.S.; Chalker, J.M. Inverse Vulcanized Polymers for Sustainable Metal Remediation. Adv. Sustain. Syst. 2023, 7, 2300010. [Google Scholar] [CrossRef]
- Nayeem, A.; Ali, M.F.; Shariffuddin, J.H. The recent development of inverse vulcanized polysulfide as an alternative adsorbent for heavy metal removal in wastewater. Environ. Res. 2023, 216, 114306. [Google Scholar] [CrossRef]
- Pan, Q.; Hong, Q.; Fan, Y.; Sun, X.; Huang, W.; Yan, N.; Qu, Z.; Xu, H. Efficient selective uptake of mercury ions using inverse vulcanization-synthesized sulfur-rich adsorbents. Sep. Purif. Technol. 2024, 333, 125917. [Google Scholar] [CrossRef]
- Lyu, S.; Abidin, Z.Z.; Yaw, T.C.S.; Resul, M.F.M.G. Inverse vulcanization induced oxygen modified porous polysulfides for efficient sorption of heavy metals. Environ. Sci. Pollut. Res. 2024, 31, 16940–16957. [Google Scholar] [CrossRef]
- Parker, D.J.; Jones, H.A.; Petcher, S.; Cervini, L.; Griffin, J.M.; Akhtar, R.; Hasell, T. Low cost and renewable sulfur-polymers by inverse vulcanisation, and their potential for mercury capture. J. Mater. Chem. A 2017, 5, 11682–11692. [Google Scholar] [CrossRef]
- Cai, D.; Dale, J.J.; Petcher, S.; Wu, X.; Hasell, T. Investigating the Effect of UV Irradiation and TiO2 Addition on Heavy Metal Adsorption by Inverse Vulcanized Sulfur Polymers. Chem. Eur. J. 2024, e202402194. [Google Scholar] [CrossRef]
- Lundquist, N.A.; Chalker, J.M. Confining a spent lead sorbent in a polymer made by inverse vulcanization prevents leaching. Sustain. Mater. Technol. 2020, 26, e00222. [Google Scholar] [CrossRef]
- Lyu, S.; Abidin, Z.Z.; Yaw, T.C.S.; Resul, M.F.M.G. Synthesis of surface-modified porous polysulfides from soybean oil by inverse vulcanization and its sorption behavior for Pb(II), Cu(II), and Cr(III). Environ. Sci. Pollut. Res. 2024, 31, 29264–29279. [Google Scholar] [CrossRef]
- Berk, H.; Balci, B.; Ertan, S.; Kaya, M.; Cihaner, A. Functionalized polysulfide copolymers with 4-vinylpyridine via inverse vulcanization. Mater. Today Commum. 2019, 19, 336–341. [Google Scholar] [CrossRef]
- Zhang, B.; Gao, H.; Yan, P.; Petcher, S.; Hasell, T. Inverse vulcanization below the melting point of sulfur. Mater. Chem. Front. 2020, 4, 669–675. [Google Scholar] [CrossRef]
- Yan, P.; Zhao, W.; Tonkin, S.J.; Chalker, J.M.; Schiller, T.L.; Hasell, T. Stretchable and Durable Inverse Vulcanized Polymers with Chemical and Thermal Recycling. Chem. Mater. 2022, 34, 1167–1178. [Google Scholar] [CrossRef]
- Arslan, M.; Kiskan, B.; Yagci, Y. Combining Elemental Sulfur with Polybenzoxazines via Inverse Vulcanization. Macromolecules 2016, 49, 767–773. [Google Scholar] [CrossRef]
- Carothers, K.; Lee, K.M.; McConney, M.E.; Stevenson, P.R.; Godman, N.P. Inverse Vulcanization of Vinyl-polycyclic Aromatic Hydrocarbon Monomers and Dynamic Covalent Polymerization with Liquid Crystalline Monomers. ACS Appl. Polym. Mater. 2024, 6, 11118–11126. [Google Scholar] [CrossRef]
- Dodd, L.J.; Lima, C.; Costa-Milan, D.; Neale, A.R.; Saunders, B.; Zhang, B.; Sarua, A.; Goodacre, R.; Hardwick, L.J.; Kuballe, M.; et al. Raman analysis of inverse vulcanised polymers. Polym. Chem. 2023, 14, 1369–1386. [Google Scholar] [CrossRef]
- Anyszka, R.; Kozanecki, M.; Czaderna, A.; Olejniczak, M.; Sielski, J.; Imiela, M.; Wręczycki, J.; Pietrzak, D.; Gozdek, T.; Okraska, M.; et al. Inverse vulcanization of sulfur with vinylic POSS. J. Sulfur Chem. 2019, 40, 587–597. [Google Scholar] [CrossRef]
- Wadi, V.S.; Jena, K.K.; Halique, K.; Rožič, B.; Cmok, L.; Tzitzios, V.; Alhassan, S.M. Scalable High Refractive Index polystyrene-sulfur nanocomposites via in situ inverse vulcanization. Sci. Rep. 2020, 10, 14924. [Google Scholar] [CrossRef]
- Liu, Y.; Chen, Y.; Zhang, Y.; Chen, Y.; Wang, L.; Zan, X.; Zhang, L. Density-Adjustable Bio-Based Polysulfide Composite Prepared by Inverse Vulcanization and Bio-Based Fillers. Polymers 2020, 12, 2127. [Google Scholar] [CrossRef]
- Huang, Y.; Liu, Y.; Si, G.; Tan, C. Self-Healing and Recyclable Vulcanized Polyisoprene Based on a Sulfur-Rich Copolymer Cross-Linking Agent Derived from Inverse Vulcanization. ACS Sustain. Chem. Eng. 2024, 12, 2212–2224. [Google Scholar] [CrossRef]
- Scheiger, J.M.; Hoffmann, M.; Falkenstein, P.; Wang, Z.; Rutschmann, M.; Scheiger, V.W.; Grimm, A.; Urbschat, K.; Sengpiel, T.; Matysik, J.; et al. Inverse Vulcanization of Norbornenylsilanes: Soluble Polymers with Controllable Molecular Properties via Siloxane Bonds. Angew. Chem. Int. Ed. 2022, 61, e202114896. [Google Scholar] [CrossRef] [PubMed]
- Diniz, V.; Bear, J.C.; Rath, S.; Crick, C.R. UV-stable photoactive superhydrophobic coatings utilizing “inverse vulcanization” sulfur polymers. Surf. Interfaces 2024, 51, 104691. [Google Scholar] [CrossRef]
- Wei, Y.; Li, X.; Xu, Z.; Sun, H.; Zheng, Y.; Peng, L.; Liu, Z.; Gao, C.; Gao, M. Solution processible hyperbranched inverse-vulcanized polymers as new cathode materials in Li–S batteries. Polym. Chem. 2015, 6, 973–982. [Google Scholar] [CrossRef]
- Ghumman, A.S.M.; Shamsuddin, R.; Nasef, M.M.; Yahya, W.Z.N.; Abbasi, A.; Almohamadi, H. Sulfur enriched slow-release coated urea produced from inverse vulcanized copolymer. Sci. Total Environ. 2022, 846, 157417. [Google Scholar] [CrossRef]
- Wadi, V.K.S.; Jena, K.K.; Khawaja, S.Z.; Yannakopoulou, K.; Fardis, M.; Mitrikas, G.; Karagianni, M.; Papavassiliou, G.; Alhassan, S.M. NMR and EPR Structural Analysis and Stability Study of Inverse Vulcanized Sulfur Copolymers. ACS Omega 2018, 3, 3330–3339. [Google Scholar] [CrossRef]
- Park, S.; Chung, M.; Lamprou, A.; Seidel, K.; Song, S.; Schade, C.; Lim, J.; Char, K. High strength, epoxy cross-linked high sulfur content polymers from one-step reactive compatibilization inverse vulcanization. Chem. Sci. 2022, 13, 566–572. [Google Scholar] [CrossRef]
- Grimm, A.P.; Plank, M.; Stihl, A.; Schmitt, C.W.; Voll, D.; Schacher, F.H.; Lahann, J.; Theato, P. Inverse Vulcanization of Activated Norbornenyl Esters—A Versatile Platform for Functional Sulfur Polymers. Angew. Chem. 2024, 136, e202411010. [Google Scholar] [CrossRef]
- Smith, J.A.; Wu, X.; Berry, N.G.; Hasell, T. High sulfur content polymers: The effect of crosslinker structure on inverse vulcanization. J. Polym. Sci. Part A Polym. Chem. 2018, 56, 1777–1781. [Google Scholar] [CrossRef]
- Scheiger, J.M.; Direksilp, C.; Falkenstein, P.; Welle, A.; Koenig, M.; Heissler, S.; Matysik, J.; Levkin, P.A.; Theato, P. Inverse Vulcanization of Styrylethyltrimethoxysilane–Coated Surfaces, Particles, and Crosslinked Materials. Angew. Chem. 2020, 132, 18798–18804. [Google Scholar] [CrossRef]
- Zhang, B.; Zhong, L.; Wang, X.; Lin, P.; Yang, Z.; Bai, T.; Shen, H.; Zhang, H. Structural evolution during inverse vulcanization. Nat. Commun. 2024, 15, 5507. [Google Scholar] [CrossRef]
- Grimm, A.; Scheiger, J.M.; Roesky, P.W.; Theato, P. Inverse vulcanization of trimethoxyvinylsilane particles. Polym. Chem. 2022, 13, 5852–5860. [Google Scholar] [CrossRef]
- Khawaja, S.Z.; Kumar, S.V.; Jena, K.K.; Alhassan, S.M. Flexible sulfur film from inverse vulcanization technique. Mater. Lett. 2017, 203, 58–61. [Google Scholar] [CrossRef]
- Lundquist, N.A.; Tikoalu, A.D.; Worthington, M.J.H.; Shapter, R.; Tonkin, S.J.; Stojcevski, F.; Mann, M.; Gibson, C.T.; Gascooke, J.R.; Karton, A.; et al. Reactive Compression Molding Post-Inverse Vulcanization: A Method to Assemble, Recycle, and Repurpose Sulfur Polymers and Composites. Chem. Eur. J. 2020, 26, 10035–10044. [Google Scholar] [CrossRef]
- Tonkin, S.J.; Gibson, C.T.; Campbell, J.A.; Lewis, D.A.; Karton, A.; Hasell, T.; Chalker, J.M. Chemically induced repair, adhesion, and recycling of polymers made by inverse vulcanization. Chem. Sci. 2020, 11, 5537–5546. [Google Scholar] [CrossRef]
- Mandal, I.; Kilbinger, A.F.M. Mechanistic Insights into the cis-Selective Catalytic Ring-Opening Metathesis Polymerization. J. Am. Chem. Soc. 2023, 146, 32072–32079. [Google Scholar] [CrossRef]
- Payne, M.E.; Grayson, S.M. Characterization of Synthetic Polymers via Matrix Assisted Laser Desorption Ionization Time of Flight (MALDI-TOF) Mass Spectrometry. J. Vis. Exp. 2018, 136, e57174. [Google Scholar] [CrossRef]
- Nielen, M.W.F. Maldi time-of-flight mass spectrometry of synthetic polymers. Mass Spectrom. Rev. 1999, 18, 309–344. [Google Scholar] [CrossRef]
- Charles, L. MALDI of synthetic polymers with labile end-groups. Mass Spectrom. Rev. 2014, 33, 523–543. [Google Scholar] [CrossRef]
- Yoo, H.-J.; Kim, D.-H.; Shin, D.J.; Oh, Y.S.; Lee, S.J.; Lee, J.Y.; Choi, Y.-J.; Lee, S.H.; Lee, K.-S.; Kim, Y.S.; et al. Recent developments in pre-treatment and analytical techniques for synthetic polymers by MALDI-TOF mass spectrometry. Anal. Methods 2020, 12, 5767–5800. [Google Scholar] [CrossRef]
- Abbasi, A.; Nasef, M.M.; Yahya, W.Z.N. Sulfur-based polymers by inverse vulcanization: A novel path to foster green chemistry. Green Mater. 2020, 8, 172–180. [Google Scholar] [CrossRef]
- Wang, M.; Huang, W.J.; Kondev, F.G.; Audi, G.; Naimi, S. The AME 2020 atomic mass evaluation(II). Tables, graphs and references. Chin. Phys. C 2021, 45, 030003. [Google Scholar] [CrossRef]
- Frenkel, M.; Heller-Kallai, L. Aromatization of limonene—A geochemical model. Org. Geochem. 1977, 1, 3–5. [Google Scholar] [CrossRef]
- Weitkamp, A.W. The Action of Sulfur on Terpenes. The Limonene Sulfides. J. Am. Chem. Soc. 1959, 81, 3430–3434. [Google Scholar] [CrossRef]
- Tarasova, N.; Zanin, A.; Krivoborodov, E.; Toropygin, I.; Pascal, E.; Mezhuev, Y. The New Approach to the Preparation of Polyacrylamide-Based Hydrogels: Initiation of Polymerization of Acrylamide with 1,3-Dimethylimidazolium (Phosphonooxy-)Oligosulphanide under Drying Aqueous Solutions. Polymers 2021, 13, 1806. [Google Scholar] [CrossRef]
- Bahr, U.; Karas, M.; Hillenkamp, F. Analysis of biopolymers by matrix-assisted laser desorption/ionization (MALDI) mass spectrometry. Z. Anal. Chem. 1994, 348, 783–791. [Google Scholar] [CrossRef]
- Drzeżdżon, J.; Jacewicz, D.; Sielicka, A.; Chmurzyński, L. MALDI-MS for polymer characterization–Recent developments and future prospects. TrAC Trends Anal. Chem. 2019, 115, 121–128. [Google Scholar] [CrossRef]
- Nechaeva, A.; Artyukhov, A.; Luss, A.; Shtilman, M.; Gritskova, I.; Shulgin, A.; Motyakin, M.; Levina, I.; Krivoborodov, E.; Toropygin, I.; et al. Synthesis of Amphiphilic Copolymers of N-Vinyl-2-pyrrolidone and Allyl Glycidyl Ether for Co-Delivery of Doxorubicin and Paclitaxel. Polymers 2022, 14, 1727. [Google Scholar] [CrossRef]
- Tarasova, N.P.; Krivoborodov, E.G.; Mezhuev, Y.O. Nucleophilic activation of the sulfur S8 cyclic form as a green chemistry tool. Russ. Chem. Bull. 2023, 72, 415–424. [Google Scholar] [CrossRef]
- Purohit, V.B.; Pięta, M.; Pietrasik, J.; Plummer, C.M. Recent advances in the ring-opening polymerization of sulfur-containing monomers. Polym. Chem. 2022, 13, 4858–4878. [Google Scholar] [CrossRef]









| Mass Ratio of Initial Limonene: S | m (Initial S), g | m (Initial Limonene), g | m (S in the Residue), g | m (S Covalently Incorporated in the Polymer), g |
|---|---|---|---|---|
| 1:6 | 3.0 | 0.5 | 0.905 | 2.095 |
| 1:8 | 4.0 | 0.5 | 2.063 | 1.937 |
| 1:10 | 5.0 | 0.5 | 2.986 | 2.014 |
| 1:12 | 6.0 | 0.5 | 4.002 | 1.998 |
| 1:14 | 7.0 | 0.5 | 5.044 | 1.956 |
| 1:16 | 8.0 | 0.5 | 5.917 | 2.083 |
Disclaimer/Publisher’s Note: The statements, opinions and data contained in all publications are solely those of the individual author(s) and contributor(s) and not of MDPI and/or the editor(s). MDPI and/or the editor(s) disclaim responsibility for any injury to people or property resulting from any ideas, methods, instructions or products referred to in the content. |
© 2024 by the authors. Licensee MDPI, Basel, Switzerland. This article is an open access article distributed under the terms and conditions of the Creative Commons Attribution (CC BY) license (https://creativecommons.org/licenses/by/4.0/).
Share and Cite
Tarasova, N.; Krivoborodov, E.; Kirakosian, D.; Zanin, A.; Toropygin, I.; Mezhuev, Y. MALDI-TOF Mass Spectrometry as the Tool for the Identification of Features of Polymers Obtained by Inverse Vulcanization. Macromol 2024, 4, 856-870. https://doi.org/10.3390/macromol4040050
Tarasova N, Krivoborodov E, Kirakosian D, Zanin A, Toropygin I, Mezhuev Y. MALDI-TOF Mass Spectrometry as the Tool for the Identification of Features of Polymers Obtained by Inverse Vulcanization. Macromol. 2024; 4(4):856-870. https://doi.org/10.3390/macromol4040050
Chicago/Turabian StyleTarasova, Natalia, Efrem Krivoborodov, Diana Kirakosian, Alexey Zanin, Ilya Toropygin, and Yaroslav Mezhuev. 2024. "MALDI-TOF Mass Spectrometry as the Tool for the Identification of Features of Polymers Obtained by Inverse Vulcanization" Macromol 4, no. 4: 856-870. https://doi.org/10.3390/macromol4040050
APA StyleTarasova, N., Krivoborodov, E., Kirakosian, D., Zanin, A., Toropygin, I., & Mezhuev, Y. (2024). MALDI-TOF Mass Spectrometry as the Tool for the Identification of Features of Polymers Obtained by Inverse Vulcanization. Macromol, 4(4), 856-870. https://doi.org/10.3390/macromol4040050

