Abstract
Copolymerization of ethylene with polar vinyl monomers to yield functionalized and possibly easier recyclable polyolefins is challenging and it is currently being pursued mainly using expensive Pd-based catalysts. Herein, the copolymerization of ethylene and methyl acrylate (MA) is achieved by the dibenzocycloheptyl-substituted aryliminopyridyl Ni(II) complexes, affording copolymers with selectively in-chain incorporated MA units as well as both in-chain and end-of-chain inserted MA units depending on the catalyst structure and the reaction conditions
1. Introduction
The tremendous efforts from both academy and industry that have been continuously made in olefin polymerization during the past six decades have resulted in exceedingly successful processes; now, over 200 million tons of polyolefins are produced annually, along with a deep understanding of all the fundamental aspects of the reaction, which probably has no comparison in chemistry [1]. Despite the high “maturity” of this research, metal catalyzed copolymerization of olefins and polar monomers remains a big challenge, especially for monomers where the functional group is directly attached to the C-C double bond, such as methyl acrylate or vinyl acetate [2]. However, commercial catalysts of both the traditional kind, such as heterogeneous Ziegler–Natta [3], and the more recent kinds, such as cogitative metallocene catalysts [4], are based on highly oxophylic early transition metals being easily deactivated by polar comonomers. The development of Brookhart-type catalysts [5] based on α-diiminometal (Ni or Pd) complexes was a breakthrough for the polar comonomer issue and the start of extensive research in the field of less oxophylic late transition metal catalysts [6]. In fact, the Pd(II) catalysts are able to copolymerize ethylene (E) and methyl acrylate (MA), giving highly branched copolymers with acrylate units positioned at the end of the branches [7]. The formation of more- or less-branched polyethylenes was explained in detail by a “chain-walking” mechanism of polymerization, a process involving a series of β-hydrogen eliminations and reinsertions with opposite regiochemistry, depending on the reaction conditions (temperature, monomer pressure, steric hindrance of the imine ligand, co-catalyst) [5,6,7,8].
Linear E-MA copolymers with MA units were first achieved by Drent’s group using phosphine-sulphonate Pd(II) catalysts [8]. Following these milestone discoveries, a large number of related Pd(II) complexes have been reported in the literature [9,10,11,12,13,14,15,16,17]. The advances in this field have been extensively discussed in many recent reviews [18,19,20]. In particular, a well-established mechanism explaining the preferential type of MA incorporation implicates a coordination/migratory insertion of MA into the growing chain, leading to palladacycles of different sizes (4-, 5-, or 6-membered cycles) [18,19,20].
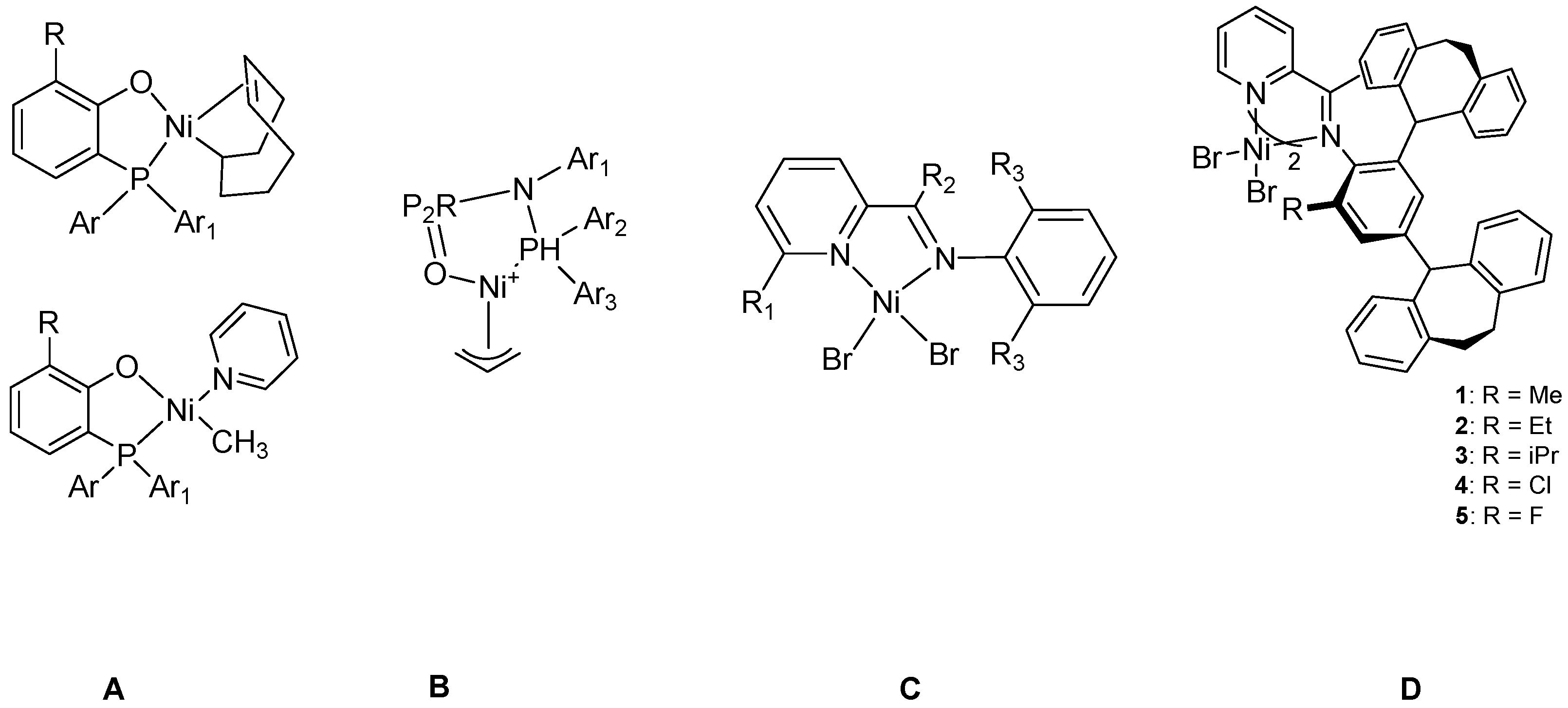
In contrast to the Pd-based copolymerization of ethylene with polar monomers, Ni-based catalysts are relatively less reported for polar monomers [21,22,23]. Notable examples of the latter are bis(aryl)phosphinophenolate Ni(II) catalysts introduced by Shimizu et al. [24] and the further modified catalysts by Li et al. [25] (Scheme 1, complexes A) as well as the diphosphazane monoxide ligands developed by Chen et al. [26], which are able to support both Pd and Ni catalysts (Scheme 1, complex B). Moreover, iminopyridylnickel complexes with different substituents (Scheme 1, complexes C) [27] were modified to copolymerize ethylene with methyl acrylate in producing low-molecular weight hyperbranched copolymer oils with various amounts of MA and different modes of incorporation [28]. Parallel a large variety of iminopyridyl Ni(II) complexes were explored using bulky substituents of o-benzhydryl, dibenzhydryl, or dibenzocycloheptyl groups, affording thermally stable and highly active catalysts for ethylene homopolymerization [29,30,31]. We reasoned that the steric bulk at the arylimino moiety could enhance E-MA copolymers with higher molecular weight and lower branching. Therefore, the copolymerization of ethylene and methyl acrylate promoted by the dibenzocycloheptyl-substituted aryliminopyridyl Ni(II) complexes (Scheme 1, complexes D) was investigated, resulting in the production of crystalline polymers. Herein, the copolymerization is discussed in detail in consistence to its ethylene homopolymerization [31].
Scheme 1.
Ni(II) catalysts for ethylene/methyl acrylate copolymerization. (A) bis(aryl)phosphinophenolate Ni(II) catalysts [24,25]; (B) Ni (II) complexes with diphosphazane monoxide ligands [26]; (C) iminopyridyl Ni(II) complexes [27]; (D) dibenzocycloheptyl-substituted aryliminopyridyl Ni(II) complexes [31].
2. Materials and Methods
2.1. General Conditions
Glovebox or standard Schlenk techniques under nitrogen and glassware dried at 120 °C were used for air sensitive reactions. CH2Cl2, refluxed over CaH2, toluene, and o-dichlorobenzene, refluxed over Na, were distilled under nitrogen before use. Deuterated solvents (Sigma Aldrich, St. Louis, MO, USA) were stored in a glovebox over 3 Å molecular sieves. All other reagents were purchased from Aldrich (St. Louis, MO, USA) and used as received. Ethylene (polymerization grade, SON) was used without further purification. Methyl acrylate (Aldrich, St. Louis, MO, USA, 99.9%, with 0.02% of hydroquinone monomethyl ether) was distilled under reduced pressure over CaH2 and stored at −20 °C in a glovebox. Dibenzocycloheptyl-substituted aryliminopyridyl Ni(II) complexes 1–5 were synthesized according to the method in [31].
2.2. Characterization Methods
2.2.1. Nuclear Magnetic Resonance Spectroscopy (NMR)
A Bruker Advance 400 and a Bruker 600 MHz Ascend 3 HD instruments (Billerica, MA, USA), equipped with the Bruker-TopSpin v2.1 software (Billerica, MA, USA), were used for NMR experiments. 1H and 13C NMR spectra were referenced using the residual solvent peaks.
2.2.2. Differential Scanning Calorimetry (DSC)
A DSC 2920 TA Instruments apparatus, calibrated with indium, was used to determine the melting (Tm) and crystallization (Tc) temperatures of the polymer samples. Measurements were carried out in aluminum pans under nitrogen flow with a heating rate of 10 °C min−1 between −100 and +200 °C. DSC data were processed with TA Universal Analysis v2.3 software (TA Instruments, New Castle, DE, USA) and reported for the second heating cycle.
2.2.3. Size-Exclusion Chromatography (SEC)
The molecular weights (Mn and Mw) and the molecular mass distribution (Mw/Mn) of the polymer samples were measured by Size-exclusion chromatography (SEC) at 35 °C, using CHCl3 as solvent, an eluent flow rate of 1 mL/min, and narrow polystyrene standards as reference. The measurements were performed on a Waters 1525 binary system equipped with a Waters 2414 RI detector (Etten-Leur, The Netherlands) using four Styragel columns (range 1000–1,000,000 Å, Waters, Etten-Leur, The Netherlands).
2.3. General Procedure for Ethylene/Methyl Acrylate Copolymerization Reactions at 6 atm
A 250 mL Büchi glass autoclave, equipped with a mechanical stirrer and a temperature probe, was heated at 80 °C and maintained under vacuum overnight. Then, 100 mL of toluene solution containing the Ni catalyst, the cocatalyst, and the MA comonomer was injected into the reactor, which was pressurized with ethylene and vented three times. After the reaction mixture was stirred at 30 °C under constant ethylene pressure for 18 h, the reactor was cooled to room temperature and vented. The mixture was poured into acidified methanol, resulting in the precipitation of solid copolymer, which was filtered, washed with fresh methanol and dried in vacuo at 60 °C overnight.
2.4. General Procedure for Ethylene/Methyl Acrylate Copolymerization Reactions at Higher Pressures
Ethylene copolymerizations at high pressures (10–50 atm) were carried out using the same procedure described above, but using a stainless steel magnetically stirred autoclave which was dried overnight at 120 °C in an oven, cooled under vacuum, then pressurized with ethylene, and vented three times.
3. Results and Discussion
Dibenzocycloheptyl-substituted aryliminopyridyl Ni(II) complexes 1–5, Ref. [22] bearing different substituents at one of the ortho-positions of the arylimino moiety, have been tested in the copolymerization of ethylene with methyl acrylate under variable conditions. Table 1 reports the main results of copolymerization runs performed using 10 µmol of the Ni precatalyst activated with 500 equiv. of AlEt2Cl under 6 atm of ethylene and [MA] = 0.1 M at 30 °C for 18 h. In contrast to the results previously obtained using the iminopyridyl Ni(II) complexes displayed in Scheme 1C, bearing substituents at both the imino and the pyridino moieties, and producing only oily products soluble in methanol [28], in this case solid polymers precipitated when the reaction mixture was poured in acidified methanol.
Table 1.
Ethylene-Methyl Acrylate Copolymerizations by Complexes 1–5 under 6 atm of Ethylene a.
The most active complex was 2, which produced 1.5 g of copolymer (Table 1, run 2), followed by complex 3, which produced 1.0 g of copolymer (Table 1, run 3). Complex 1 was less active, producing only 0.2 g of copolymer (Table 1, run 1, Figure S1, Supplementary Materials), while complexes 4 and 5, bearing electron-withdrawing substituents, were hardly active (Table 1, runs 4 and 5). A control experiment using complex 2 without AlEt2Cl activation resulted in no polymer formation.
The copolymer produced by complex 2 (run 2) was analyzed by 1H and 13C NMR in C2D2Cl4 at 80 °C. The 1H NMR spectrum (see Figure 1) indicates the production of a moderately branched copolymer (63 branches per 1000 C’s) with 1% of incorporation of methyl acrylate. Interestingly, only one peak at 3.69 ppm is observed for the methoxy protons of MA units, which, according to the literature [28] is due to selective in-chain incorporation of methyl acrylate. In both the 1H and 13C NMR spectra, resonances attributable to unsaturated end groups are present: on the basis of the literature [32], they are assigned to internal vinylene groups, with a lower amount of allyl and vinylidene groups [31,32]. The Mn calculated from the ratio between the integrals of the total resonances and that of the unsaturated methylene and methine in the 1H NMR spectra are in reasonable agreement with the Mn measured by SEC analysis, confirming the formation of mono-unsaturated macromolecules.
Figure 1.
1H NMR (C2D2Cl4, 600 MHz, T = 298 K) spectrum of the copolymer sample of run 2, Table 1.
13C NMR analysis of the same sample confirmed the selective in-chain incorporation of methyl acrylate as indicated by the presence of two very close peaks at 176.30 and 176.01 ppm in the carbonyl region (see Figure 2, resonances a) and 51.34 and 51.07 in the methoxy region (see Figure 2, resonances b).
Figure 2.
13C NMR (C2D2Cl4, 150 MHz, T = 298 K) spectrum of the copolymer sample of run 2, Table 1.
DSC analysis of the copolymer sample showed a major broad melting transition centered at 65 °C and a minor melting peak at 107 °C (Figure S2). The sample was fractioned with boiling pentane in a Kumagawa extractor. The soluble part (70%) and the insoluble part (30%) were analyzed by 1H NMR. The soluble part was a copolymer with 0.7% MA incorporation, while the insoluble part was a copolymer with 1.4% MA incorporation. The 1H NMR spectrum of the insoluble part indicated only in-chain incorporation of methyl acrylate (Figure 3A), and the 1H NMR spectrum of the soluble part contains mainly in-chain incorporation and two minor peaks (Figure 3B).
Figure 3.
Methoxy region of the 1H NMR (CDCl3, 600 MHz, T = 298 K) spectra of the pentane-insoluble (A) and pentane-soluble (B) fractions of the copolymer sample of run 2, Table 1.
1H NMR analysis of the copolymer obtained from catalyst 3 (run 3) also indicates the formation of a moderately branched copolymer (55 branches per 1000 C’s), but with a higher incorporation of methyl acrylate (2%). However, in contrast to the previous sample, three peaks are detected in the range of methoxy groups: as discussed extensively in a previous paper [28], the three resonances are attributable to different modes of MA incorporations, including both in-chain and end-of-chain MA incorporation (Figure 4).
Figure 4.
1H NMR (C2D2Cl4, 600 MHz, T = 298 K) spectrum of the copolymer sample of run 3, Table 1.
The copolymer sample from run 3 was extracted with boiling pentane as above, and the soluble (70%) and the insoluble parts were analyzed by 1H NMR. The soluble part was a copolymer with lower molecular weight and 2.1% MA incorporation, while the insoluble part was a copolymer with higher molecular weight and 1.6% MA incorporation. The 1H NMR spectrum of the insoluble part indicated prevailingly in-chain incorporation of methyl acrylate (Figure 5).
Figure 5.
1H NMR (CDCl3, 300 MHz, T = 298 K) spectrum of the pentane-insoluble fraction of the copolymer sample of run 3, Table 1.
Complexes 1 and 2 were then tested in E-MA copolymerization under increasing ethylene pressures, i.e., 10, 20, and 40 atm. In all runs, solid polymers precipitated in acidified methanol. As expected, the amount of incorporated MA decreased and the amount of obtained copolymer increased while increasing the pressure of ethylene (see Table 2).
Table 2.
Ethylene-Methyl Acrylate Copolymerizations by Complexes 1 and 2 under Higher Ethylene Pressures a.
The 1H NMR spectrum of the sample produced by complex 2 under 30 atm of ethylene (run 11) reveals three peaks in the methoxy region, at variance with the result obtained under 6 atm (see Figure 6A), indicating multiple modes of MA insertion. The dependence of the mode of incorporation of MA on the reaction conditions was previously observed for the catalysts based on iminopyridyl Ni(II) complexes (see Scheme 1, complexes C) [28]. The copolymer of run 11 was then fractioned with boiling pentane in a Kumagawa extractor, and the soluble (30%) and insoluble (70%) fractions were analyzed by 1H NMR. The spectrum of the insoluble part shows that the main methoxy resonance is that attributed to in-chain MA incorporation (1.1% MA incorporation) (see Figure 6B).
Figure 6.
Methoxy region of the 1H NMR (CDCl3, 600 MHz, T = 298 K) spectra of the raw polymer (A) and pentane-insoluble (B) fraction of the copolymer sample of run 11, Table 2.
The 1H NMR of the sample produced by complex 1 under 30 atm of ethylene (run 8) also shows three resonances in the methoxy region, although in this case the main resonance is that attributed to in-chain incorporation of MA (see Figure S4).
4. Conclusions
Five aryliminopyridyl Ni(II) complexes bearing bulky dibenzocycloheptyl substituents in one ortho- and the para-positions of the arylimino moiety and an alkyl or halogen substituent in the second orthoposition, have been tested in the copolymerization of ethylene with methyl acrylate after activation with AlEt2Cl. Solid ethylene-methyl acrylate copolymers with moderate branching were obtained, at variance with the previously reported iminopyridyl Ni(II) complexes with less bulky substituents at the pyridino and at the arylimino moieties [28], which afforded hyperbranched oily copolymers. Complexes 2 and 3 (Scheme 1), displaying an ethyl and isopropyl substituent, respectively, in the second ortho-position of the arylimino moiety, produced the most active catalysts, while complexes 4 and 5, bearing electron-withdrawing Cl or F substituents, were hardly active. Interestingly, complex 2 promoted the selective in-chain incorporation of methyl acrylate, while complex 3 afforded copolymers containing both in-chain and end-of-chain incorporated MA units. In the latter case, extraction of the raw polymer with boiling pentane allowed the recovery of a fraction containing in-chain only inserted MA. The selectivity of MA incorporation was also diminished by changing the reaction conditions: in fact, when the ethylene pressure was increased not only the amount of incorporated MA decreased, but also multiple modes of insertion were observed, although also in this case fractionation of the raw copolymers resulted in isolation of macromolecules containing essentially in-chain MA units. The dependence of the mode of MA insertion on the reaction conditions has been previously observed for ethylene–methyl acrylate copolymerization promoted by either Ni(II) [28] or Pd(II) [33] catalysts. Future work will address the influence of further modifications of the steric hindrance around the Ni center on the catalytic performance in the copolymerization of ethylene with polar monomers.
Supplementary Materials
The following supporting information can be downloaded at: https://www.mdpi.com/article/10.3390/macromol2040031/s1, Figure S1: 1H-NMR (C2D2Cl4, 600 MHz, T = 298 K) spectrum of a copolymer sample of run 1, Table 1 (* stands for residual solvent); Figure S2: DSC thermogram of copolymer obtained in run 2, Table 1; Figure S3: DSC thermogram of copolymer obtained in run 3, Table 1; Figure S4: 1H-NMR (CDCl3, 400 MHz, T = 298 K) spectrum of a copolymer sample of run 8, Table 2.
Author Contributions
Conceptualization, C.P. and W.-H.S.; methodology, C.P. and I.D.; investigation, Z.S., M.L. and I.D.; data curation, Z.S. and I.D.; writing—original draft preparation, C.P. and I.D.; writing—review and editing, C.P.; supervision, C.P.; project administration, C.P.; funding acquisition, C.P. All authors have read and agreed to the published version of the manuscript.
Funding
This research was funded by the University of Salerno, grant FARB 2019: 300389FRB19PELLE.
Institutional Review Board Statement
Not applicable.
Informed Consent Statement
Not applicable.
Data Availability Statement
The data presented in this study are available on request from the corresponding author.
Acknowledgments
The authors acknowledge the technical assistance of Patrizia Oliva for NMR experiments and Mariagrazia Napoli for SEC measurements.
Conflicts of Interest
The authors declare no conflict of interest.
References
- Claverie, J.P.; Schaper, F. Ziegler-Natta catalysis: 50 years after the Nobel Prize. MRS Bull. 2013, 38, 213–218. [Google Scholar] [CrossRef]
- Keyes, A.; Basbug Alhan, H.E.; Ordonez, E.; Ha, U.; Beezer, D.B.; Dau, H.; Liu, Y.-S.; Tsogtgerel, E.; Jones, G.R.; Harth, E. Olefins and Vinyl Polar Monomers: Bridging the Gap for Next Generation Materials. Angew. Chem. Int. Ed. 2019, 58, 12370–12391. [Google Scholar] [CrossRef] [PubMed]
- Kumawat, J.; Gupta, V.K. Fundamental aspects of heterogeneous Ziegler–Natta olefin polymerization catalysis: An experimental and computational overview. Polym. Chem. 2020, 11, 6107–6128. [Google Scholar] [CrossRef]
- Brintzinger, H.H.; Fischer, D.; Mülhaupt, R.; Rieger, B.; Waymouth, R.M. Stereospecific olefin polymerization with chiral metallocene catalysts. Angew. Chem. Int. Ed. 1995, 34, 1143–1170. [Google Scholar] [CrossRef]
- Johnson, L.K.; Killian, C.M.; Brookhart, M. New Pd(II)- and Ni(II)-Based Catalysts for Polymerization of Ethylene and α-Olefins. J. Am. Chem. Soc. 1995, 117, 6414–6415. [Google Scholar] [CrossRef]
- Ittel, S.D.; Johnson, L.K.; Brookhart, M. Late-Metal Catalysts for Ethylene Homo- and Copolymerization. Chem. Rev. 2000, 100, 1169–1203. [Google Scholar] [CrossRef]
- Johnson, L.K.; Mecking, S.; Brookhart, M. Copolymerization of Ethylene and Propylene with Functionalized Vinyl Monomers by Palladium(II) Catalysts. J. Am. Chem. Soc. 1996, 118, 267–268. [Google Scholar] [CrossRef]
- Drent, E.; van Dijk, R.; van Ginkel, R.; van Oort, B.; Pugh, R.I. Palladium catalysed copolymerisation of ethene with alkylacrylates: Polar comonomer built into the linear polymer chain. Chem. Commun. 2002, 7, 744–745. [Google Scholar] [CrossRef]
- Popeney, C.S.; Camacho, D.H.; Guan, Z. Efficient Incorporation of Polar Comonomers in Copolymerizations with Ethylene Using a Cyclophane-Based Pd(II) alpha-Diimine Catalyst. J. Am. Chem. Soc. 2007, 129, 10062–10063. [Google Scholar] [CrossRef]
- Takano, S.; Takeuchi, D.; Osakada, K.; Akamatsu, N.; Shishido, A. Dipalladium Catalyst for Olefin Polymerization: Introduction of Acrylate Units into the Main Chain of Branched Polyethylene. Angew. Chem. Int. Ed. 2014, 53, 9246–9250. [Google Scholar] [CrossRef]
- Dai, S.; Sui, X.; Chen, C. Highly Robust Palladium(II) α-Diimine Catalysts for Slow-Chain-Walking Polymerization of Ethylene and Copolymerization with Methyl Acrylate. Angew. Chem. Int. Ed. 2015, 54, 9948–9953. [Google Scholar] [CrossRef]
- Allen, K.E.; Campos, J.; Daugulis, O.; Brookhart, M. Living Polymerization of Ethylene and Copolymerization of Ethylene/Methyl Acrylate Using “Sandwich” Diimine Palladium Catalysts. ACS Catal. 2015, 5, 456–464. [Google Scholar] [CrossRef]
- Rosar, V.; Montini, T.; Balducci, G.; Zangrando, E.; Fornasiero, P.; Milani, B. Palladium-Catalyzed Ethylene/Methyl Acrylate Co-Oligomerization:The Effect of a New Nonsymmetrical α-Diimine with the 1,4-Diazabutadiene Skeleton. ChemCatChem 2017, 9, 3402–3411. [Google Scholar] [CrossRef]
- Nakano, R.; Nozaki, K. Copolymerization of Propylene and Polar Monomers Using Pd/IzQO Catalysts. J. Am. Chem. Soc. 2015, 137, 10934–10937. [Google Scholar] [CrossRef] [PubMed]
- Zhang, W.; Waddell, P.M.; Tiedemann, M.A.; Padilla, C.E.; Mei, J.; Chen, L.; Carrow, B.P. Electron-Rich Metal Cations Enable Synthesis of High Molecular Weight, Linear Functional Polyethylenes. J. Am. Chem. Soc. 2018, 140, 8841–8850. [Google Scholar] [CrossRef]
- Contrella, N.D.; Sampson, J.R.; Jordan, R.F. Copolymerization of Ethylene and Methyl Acrylate by Cationic Palladium Catalysts That Contain Phosphine-Diethyl Phosphonate Ancillary Ligands. Organometallics 2014, 33, 3546–3555. [Google Scholar] [CrossRef]
- Wang, R.; Zhao, M.; Chen, C. Influence of ligand second coordination sphere effects on the olefin (co)polymerization properties of α-diimine Pd(ii) catalysts. Polym. Chem. 2016, 7, 3933–3938. [Google Scholar] [CrossRef]
- Nakamura, A.; Anselment, T.M.J.; Claverie, J.; Goodall, B.; Jordan, R.F.; Mecking, S.; Rieger, B.; Sen, A.; van Leeuwen, P.W.N.M.; Nozaki, K. Ortho-Phosphinobenzenesulfonate: A Superb Ligand for Palladium-Catalyzed Coordination−Insertion Copolymerization of Polar Vinyl Monomers. Acc. Chem. Res. 2013, 46, 1438–1449. [Google Scholar] [CrossRef]
- Guo, L.; Liu, W.; Chen, C. Late transition metal catalyzed α-olefin polymerization and copolymerization with polar monomers. Mater. Chem. Front. 2017, 1, 2487–2494. [Google Scholar] [CrossRef]
- Wang, F.; Chen, C. A continuing legend: The Brookhart-type α-diimine nickel and palladium catalysts. Polym. Chem. 2019, 10, 2354–2369. [Google Scholar] [CrossRef]
- Younkin, T.R.; Connor, E.F.; Henderson, J.I.; Friedrich, S.K.; Grubbs, R.H.; Bansleben, D.A. Neutral, Single Component Nickel (II) Polyolefin Catalysts That Tolerate Heteroatoms. Science 2000, 287, 460–462. [Google Scholar] [CrossRef] [PubMed]
- Chen, Z.; Leatherman, M.D.; Daugulis, O.; Brookhart, M. Nickel-Catalyzed Copolymerization of Ethylene and Vinyltrialkoxysilanes: Catalytic Production of Cross-Linkable Polyethylene and Elucidation of the Chain-Growth Mechanism. J. Am. Chem. Soc. 2017, 139, 16013–16022. [Google Scholar] [CrossRef]
- Chen, Z.; Brookhart, M. Exploring Ethylene/Polar Vinyl Monomer Copolymerizations Using Ni and Pd α-Diimine Catalysts. Acc. Chem. Res. 2018, 51, 1831–1839. [Google Scholar] [CrossRef] [PubMed]
- Xin, B.S.; Sato, N.; Tanna, A.; Oishi, Y.; Konishi, Y.; Shimizu, F. Nickel Catalyzed Copolymerization of Ethylene and Alkyl Acrylates. J. Am. Chem. Soc. 2017, 139, 3611–3614. [Google Scholar] [CrossRef] [PubMed]
- Zhang, Y.; Mu, H.; Pan, L.; Wang, X.; Li, Y. Robust Bulky [P,O] Neutral Nickel Catalysts for Copolymerization of Ethylene with Polar Vinyl Monomers. ACS Catal. 2018, 8, 5963–5976. [Google Scholar] [CrossRef]
- Chen, M.; Chen, C. A Versatile Ligand Platform for Palladium- and Nickel-Catalyzed Ethylene Copolymerization with Polar Monomers. Angew. Chem. Int. Ed. 2018, 57, 3094–3098. [Google Scholar] [CrossRef]
- D’Auria, I.; Saki, Z.; Pellecchia, C. Iminopyridine Ni(II) catalysts affording oily hyperbranched oligoethylenes and/or crystalline polyethylenes depending on the reaction conditions: Possible role of in situ catalyst structure modifications. Macromol 2021, 1, 121–129. [Google Scholar] [CrossRef]
- Saki, Z.; D’Auria, I.; Dall’Anese, A.; Milani, B.; Pellecchia, C. Copolymerization of Ethylene and Methyl Acrylate by Pyridylimino Ni(II) Catalysts Affording Hyperbranched Poly(ethylene-co-methylacrylate)s with Tunable Structures of the Ester Groups. Macromolecules 2020, 53, 9294–9305. [Google Scholar] [CrossRef]
- Sun, W.-H.; Song, S.; Li, B.; Redshaw, C.; Hao, X.; Li, Y.-S.; Wang, F. Ethylene polymerization by 2-iminopyridylnickel halide complexes: Synthesis, characterization and catalytic influence of the benzhydryl group. Dalton Trans. 2012, 41, 11999–12010. [Google Scholar] [CrossRef]
- Yue, E.; Zhang, L.; Xing, Q.; Cao, X.-P.; Hao, X.; Redshaw, C.; Sun, W.-H.; Sun, W.-H. 2-(1-(2-Benzhydrylnaphthylimino)ethyl)-pyridylnickel halides: Synthesis, characterization and ethylene polymerization behavior. Dalton Trans. 2014, 43, 423–431. [Google Scholar] [CrossRef]
- Zada, M.; Vignesh, A.; Guo, L.; Zhang, R.; Zhang, W.; Ma, Y.; Sun, Y.; Sun, W.-H. Sterically and Electronically Modified Aryliminopyridyl-Nickel Bromide Precatalysts for an Access to Branched Polyethylene with Vinyl/Vinylene End Groups. ACS Omega 2020, 5, 10610–10625. [Google Scholar] [CrossRef] [PubMed]
- D’Auria, I.; Milione, S.; Caruso, T.; Balducci, G.; Pellecchia, C. Synthesis of hyperbranched low molecular weight polyethylene oils by an iminopyridine nickel(II) catalyst. Polym. Chem. 2017, 8, 6443–6454. [Google Scholar] [CrossRef]
- Alberoni, C.; D’Alterio, M.C.; Balducci, G.; Immirzi, B.; Polentarutti, M.; Pellecchia, C.; Milani, B. Tunable “In-Chain” and “At the End of the Branches” Methyl Acrylate Incorporation in the Polyolefin Skeleton through Pd(II) Catalysis. ACS Catal. 2022, 12, 3430–3443. [Google Scholar] [CrossRef]
Publisher’s Note: MDPI stays neutral with regard to jurisdictional claims in published maps and institutional affiliations. |
© 2022 by the authors. Licensee MDPI, Basel, Switzerland. This article is an open access article distributed under the terms and conditions of the Creative Commons Attribution (CC BY) license (https://creativecommons.org/licenses/by/4.0/).






