The Impact of Eco-Degradation on Residential Tourism: The Case of the Mar Menor, Spain
Abstract
1. Introduction
2. Theoretical Background
2.1. Eco-Degradation and Its Influence on Destinations
2.2. RT as Tourism for Long Vacation Stays
2.3. RT and Local Environment
2.4. Environment and Intention to Revisit (ItR)
3. The Mar Menor as a Destination
4. Study 1
4.1. Objectives
4.2. Material and Methods
4.2.1. Sampling and Participants
4.2.2. Procedure
4.2.3. Instruments
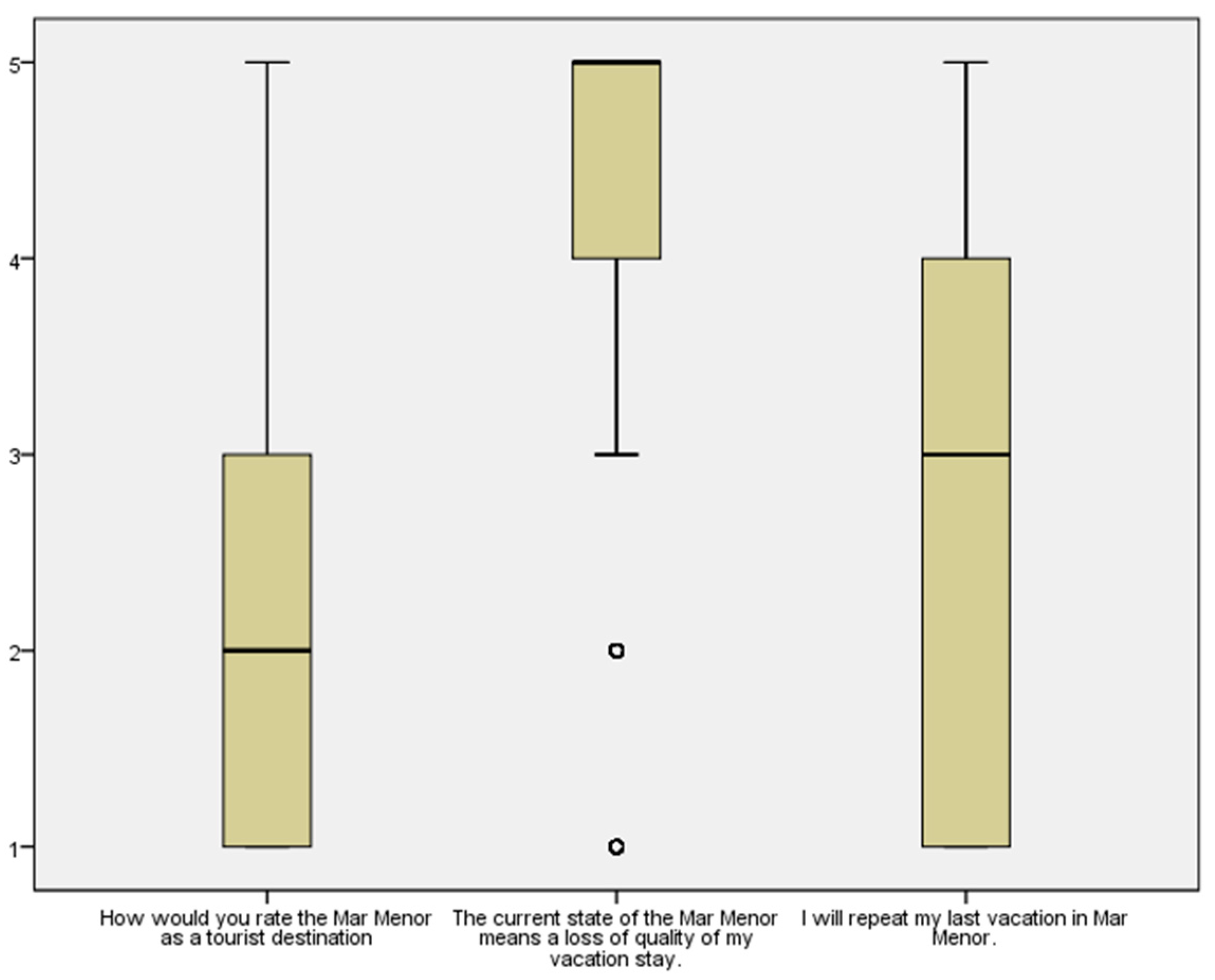
4.3. Results
4.4. Findings
5. Study 2
5.1. Conditions
5.2. Objectives and Hypotheses
5.3. Material and Methods
5.3.1. Sampling and Participants
5.3.2. Procedure
5.3.3. Instruments
5.4. Results
5.4.1. Measurement Model
5.4.2. Hypotheses Testing
5.5. Findings
6. General Conclusions and Implications
6.1. General Conclusions
6.2. Theoretical Implications
6.3. Policy and Managerial Implications
6.4. Limitations and Future Research
Author Contributions
Funding
Institutional Review Board Statement
Informed Consent Statement
Data Availability Statement
Conflicts of Interest
References
- Adamiak, C., Vepsäläinen, M., Strandell, A., Hiltunen, M., Pitkänen, K., Hall, M., Rinne, J., Hannonen, O., Paloniemi, R., & Åkerlund, U. (2015). Second home tourism in Finland-perceptions of citizens and municipalities on the state and development of second home tourism. Finnish Environment Institute. [Google Scholar]
- Alarcón, P., González, E. M., & Pérez, J. R. (2011). Residential tourism in the southern of Spain: An approach toward consumption. Tourism Management Studies, 6, 36–48. [Google Scholar]
- Amelung, B., Nicholls, S., & Viner, D. (2007). Implications of global climate change for tourism flows and seasonality. Journal of Travel Research, 45(3), 285–296. [Google Scholar] [CrossRef]
- Aronsson, L. (2004). Place attachment of vacation residents: Between tourists and permanent residents. In C. M. Hall, & D. K. Müller (Eds.), Tourism, mobility and second homes: Between elite landscape and common ground (pp. 75–86). Channel View. [Google Scholar]
- Arroyo Mompeán, P., & Vegas Juez, A. M. (2019). Turismo en la Región de Murcia 2019 [Tourism in the Region of Murcia 2019]. Instituto de Turismo de la Región de Murcia [Institute of Tourism of the Region of Murcia]. Available online: https://bit.ly/3DRGAF1 (accessed on 4 December 2024).
- Assaker, G. (2014). Examining a hierarchical model of Australia’s destination image. Journal of Vacation Marketing, 20(3), 195–210. [Google Scholar] [CrossRef]
- Ashton, A. S., Limisariyapong, S., & Islam, R. (2020). The development of value perception toward cultural tourism destination: A Northeast Thailand case study. ESTEEM Journal of Social Sciences and Humanities, 4(1), 243–252. [Google Scholar]
- Baloch, Q. B., Shah, S. N., Iqbal, N., Sheeraz, M., Asadullah, M., Mahar, S., & Khan, A. U. (2023). Impact of tourism development upon environmental sustainability: A suggested framework for sustainable ecotourism. Environmental Science and Pollution Research, 30(3), 5917–5930. [Google Scholar] [CrossRef] [PubMed]
- Bauer, T. G., & Chan, A. (2001). Does the environment matter? Experiences, attitudes, and revisit intentions of international visitors to Hong Kong. Pacific Tourism Review, 5(1–2), 75–82. [Google Scholar]
- Beerli, A., & Martin, J. D. (2004). Factors influencing destination image. Annals of Tourism Research, 31(3), 657–681. [Google Scholar] [CrossRef]
- Caballero, I., Roca, M., Santos-Echeandía, J., Bernárdez, P., & Navarro, G. (2022). Use of the Sentinel-2 and Landsat-8 satellites for water quality monitoring: An early warning tool in the Mar Menor coastal lagoon. Remote Sensing, 14(12), 2744. [Google Scholar] [CrossRef]
- Campelo, A., Aitken, R., Thyne, M., & Gnoth, J. (2014). Sense of place: The importance for destination branding. Journal Travel Research, 53(2), 154–166. [Google Scholar] [CrossRef]
- Cevik, S. (2023). Dirty dance: Tourism and environment. International Review of Applied Economics, 37(1), 168–185. [Google Scholar] [CrossRef]
- Ceylan, D., Çizel, B., & Karakaş, H. (2020). Testing destination image scale invariance for intergroup comparison. Tourism Analysis, 25(2–3), 239–251. [Google Scholar] [CrossRef]
- Chen, C. F., & Chen, F. S. (2010). Experience quality, perceived value, satisfaction and behavioral intentions for heritage tourists. Tourism Management, 31(1), 29–35. [Google Scholar] [CrossRef]
- Cheng, T.-M., & Lu, C.-C. (2013). Destination image, novelty, hedonics, perceived value, and revisiting behavioral intention for island tourism. Asia Pacific Journal of Tourism Research, 18(7), 766–783. [Google Scholar] [CrossRef]
- Correia, A., Serra, J., & Artal-Tur, A. (2017). Steady tourists’ relationship with a mature destination: The case of Portugal. Tourism Economics, 23(4), 803–815. [Google Scholar] [CrossRef]
- Cracolici, M. F., & Nijkamp, P. (2009). The attractiveness and competitiveness of tourist destinations: A study of Southern Italian regions. Tourism Management, 30(3), 336–344. [Google Scholar] [CrossRef]
- de Silva, A., Haigh, R., & Amaratunga, D. (2021). A Systematic literature review of community-based knowledge in disaster risk reduction. In D. Amaratunga, R. Haigh, & N. Dias (Eds.), Multi-hazard early warning and disaster risks (pp. 303–320). Springer. [Google Scholar]
- Delgado, L. E., & Marín, V. H. (2020). Ecosystem services and ecosystem degradation: Environmentalist’s expectation? Ecosystem Services, 45, 101177. [Google Scholar] [CrossRef]
- Diamantopoulos, A., Sarstedt, M., Fuchs, C., Wilczynski, P., & Kaiser, S. (2012). Guidelines for choosing between multi-item and single-item scales for construct measurement: A predictive validity perspective. Journal of the Academy of Marketing Science, 40(3), 434–449. [Google Scholar] [CrossRef]
- Drius, M., Bongiorni, L., Depellegrin, D., Menegon, S., Pugnetti, A., & Stifter, S. (2019). Tackling challenges for Mediterranean sustainable coastal tourism: An ecosystem service perspective. Science of the Total Environment, 652, 1302–1317. [Google Scholar] [CrossRef] [PubMed]
- Dynel, M. (2018). To say the least: Where deceptively withholding information ends and lying begins. Topics in Cognitive Science, 12(2), 555–582. [Google Scholar] [CrossRef]
- Ericsson, B., Øian, H., Selvaag, S. K., Lerfald, M., & Breiby, M. A. (2022). Planning of second-home tourism and sustainability in various locations: Same but different? Norsk Geografisk Tidsskrift—Norwegian Journal of Geography, 76(4), 209–227. [Google Scholar] [CrossRef]
- European Parliament. (2022, February 23–25). PETI Fact-finding visit to Mar Menor, Spain. European Parliament. [Google Scholar]
- Gallarza, M. G., & Gil, I. (2008). The concept of value and its dimensions: A tool for analyzing tourism experiences. Tourism Review, 63(3), 4–20. [Google Scholar] [CrossRef]
- Giuliani, M. V. (2003). Theory of attachment and place attachment. In M. Bonnes, T. Lee, & M. Bonaiuto (Eds.), Psychological theories for environmental issues (pp. 137–170). Ashgate. [Google Scholar]
- Giuliani, M. V., & Feldman, R. (1993). Place attachment in a developmental and cultural context. Journal of Environmental Psychology, 13(3), 267–274. [Google Scholar] [CrossRef]
- González, R., Gascó, J., & Llopis, J. (2019). Local residents’ perception about tourism and foreign residents: A Spanish case study. Psychology & Marketing, 36(11), 1098–1108. [Google Scholar]
- Gordon, I., & Goodall, B. (2000). Localities and tourism. Tourism Geographies, 2(3), 290–311. [Google Scholar] [CrossRef]
- Hall, C. M. (2014). Second home tourism: An international review. Tourism Review International, 18(3), 115–135. [Google Scholar] [CrossRef]
- Hall, M., & Müller, D. (2004). Tourism, mobility and second homes. Between elite landscape and common ground. Channel View Publications. [Google Scholar]
- Hao, F., & Xiao, H. (2021). Residential tourism and eudaimonic well-being: A ‘value-adding’ analysis. Annals of Tourism Research, 87(8), 103150. [Google Scholar] [CrossRef]
- He, X., & Luo, J. M. (2020). Relationship among travel motivation, satisfaction and revisit intention of skiers: A case study on the tourists of Urumqi Silk Road ski resort. Administrative Sciences, 10(3), 56. [Google Scholar] [CrossRef]
- Higgins-Desbiolles, F., & Bigby, B. C. (2022). A local turn in tourism studies. Annals of Tourism Research, 92, 103291. [Google Scholar] [CrossRef]
- Hjalager, A. M., Staunstrup, J. K., Sørensen, M. T., & Steffansen, R. N. (2022). The densification of second home areas—Sustainable practice or speculative land use? Land Use Policy, 118, 106143. [Google Scholar] [CrossRef]
- Hoeppner, B. B., Kelly, J. F., Urbanoski, K. A., & Slaymaker, V. (2011). Comparative utility of a single-item versus multiple-item measure of self-efficacy in predicting relapse among young adults. Journal of Substance Abuse Treatment, 41(3), 305–312. [Google Scholar] [CrossRef] [PubMed]
- Horng, J. S., Liu, C. H., Chou, H. Y., & Tsai, C. Y. (2012). Understanding the impact of culinary brand equity and destination familiarity on travel intentions. Tourism Management, 33(4), 815–824. [Google Scholar] [CrossRef]
- Hosany, S., Prayag, G., Van Der Veen, R., Huang, S., & Deesilatham, S. (2017). Mediating effects of place attachment and satisfaction on the relationship between tourists’ emotions and intention to recommend. Journal of Travel Research, 56(8), 1079–1093. [Google Scholar] [CrossRef]
- Instituto de Turismo. (2014). El alojamiento privado de uso turístico en la Región de Murcia. Año 2013 [Private accommodation for tourist use in the Region of Murcia. Year 2013]. Consejería de Industria, Turismo, Empresa e Innovación. Región de Murcia. Available online: https://bit.ly/3lKUker (accessed on 4 December 2024).
- Karayiannis, O., Iakovidou, O., & Tsartas, P. (2016). Historic, symbolic aspects and policy issues of the second home phenomenon in the Greek tourism context: The Cyclades case study. In Z. Roca (Ed.), Second home tourism in Europe. Lifestyle issues and policy responses (pp. 201–234). Routledge. [Google Scholar]
- Kim, S. H., Holland, S., & Han, H. S. (2013). A structural model for examining how destination image, perceived value, and service quality affect destination loyalty: A case study of Orlando. International Journal of Tourism Research, 15, 313–328. [Google Scholar] [CrossRef]
- Kim, T., Han, S., & Park, J. H. (2022). What drives long-stay tourists to revisit destinations? A case study of Jeju Island. Asia Pacific Journal of Tourism Research, 27(8), 856–870. [Google Scholar] [CrossRef]
- Kocabulut, Ö., Yozukmaz, N., & Bertan, S. (2019). Environmental impacts of tourism. In D. Gursoy, & R. Nunkoo (Eds.), The Routledge handbook of tourism impacts (pp. 281–297). Routledge. [Google Scholar]
- Kreitchmann, R. S., Abad, F. J., Ponsoda, V., Nieto, M. D., & Morillo, D. (2019). Controlling for response biases in self-report scales: Forced-choice vs. psychometric modeling of Likert items. Frontiers in Psychology, 10, 2309. [Google Scholar] [CrossRef] [PubMed]
- Law 19/2022, 30 September, on the recognition of the legal personality of the Mar Menor lagoon and its basin. Boletín Oficial del Estado, 237, of 3 October 2022, 135131–135435. Available online: https://www.boe.es/eli/es/l/2022/09/30/19 (accessed on 4 December 2024).
- Lee, T.-H. (2009). A structural model for examining how destination image and interpretation services affect future visitation behavior: A case of study of Taiwan‘s Taomi eco-village. Journal of Sustainable Tourism, 17(6), 727–745. [Google Scholar] [CrossRef]
- Lindholm, J., Carlson, T., Djupsund, G., Högväg, J., & Strandberg, K. (2015). Citizens’ emotional and cognitive responses to focusing events–An experimental study. International Journal of Mass Emergencies & Disasters, 33(3), 407–427. [Google Scholar]
- Luo, S. J., & Hsieh, L. Y. (2013). Reconstructing revisit intention scale in tourism. Journal of Applied Sciences, 13(18), 3638–3648. [Google Scholar] [CrossRef]
- Mantecón, A. (2017). The residential tourism does not exist. A concept review and critique of its ideological function. Cuadernos de Turismo, 40, 693–696. [Google Scholar]
- Mantecón, A., & Huete, R. (2008). The value of authenticity in residential tourism: The decision-maker’s point of view. Tourist Studies, 8(3), 359–376. [Google Scholar] [CrossRef]
- Marinao-Artigas, E. (2018). Determinants of satisfaction with the tourist destination. In L. Butowski (Ed.), Mobilities, tourism and travel behavior. Contexts and boundaries (pp. 35–55). IntechOpen. [Google Scholar]
- Mazón, T., & Aledo, A. (2004, September 23–25). La masificación del turismo residencial: El modelo de Torrevieja [The overcrowding of residential tourism: The Torrevieja model]. VIII Congreso Español de Sociología (pp. 275–286), Alicante, Spain. Available online: https://bit.ly/3lOy6rU (accessed on 4 December 2024).
- Mechinda, P., Serirat, S., & Gulid, N. (2009). An examination of tourists’ attitudinal and behavioral loyalty: Comparison between domestic and international tourists. Journal of Vacation Marketing, 15(2), 129–148. [Google Scholar] [CrossRef]
- MITECO (Ministerio para la Transición Ecológica y el Reto Demográfico). (2019). Analysis of solutions for zero discharge into the Mar Menor from Campo de Cartagena. Available online: https://bit.ly/3aLUH1S (accessed on 4 December 2024).
- Monterrubio, C. (2017). Protests and tourism crises: A social movement approach to causality. Tourism Management Perspectives, 22, 82–89. [Google Scholar] [CrossRef]
- Moon, H., & Han, H. (2019). Tourist experience quality and loyalty to an island destination: The moderating impact of destination image. Journal of Travel & Tourism Marketing, 36(1), 43–59. [Google Scholar]
- Morales Yago, F. J. (2013). El impacto de la actividad turística sobre el paisaje de La Manga del Mar Menor (Murcia) [The impact of tourist activity on the landscape of La Manga del Mar Menor (Murcia, Spain)]. Estudios Geográficos, 74(275), 523–556. [Google Scholar] [CrossRef]
- Morgan, P. (2010). Towards a developmental theory of place attachment. Journal of Environmental Psychology, 30(1), 11–22. [Google Scholar] [CrossRef]
- Morganstein, J. C., & Ursano, R. J. (2020). Ecological disasters and mental health: Causes, consequences, and interventions. Frontiers in psychiatry, 11, 1. [Google Scholar] [CrossRef] [PubMed]
- Müller, D. K., Hall, C. M., & Keen, D. (2004). Second home tourism: Impact, management and planning issues. In C. M. Hall, & D. Müller (Eds.), Tourism, mobility and second homes: Between elite landscape and common ground (pp. 15–32). Channel View. [Google Scholar]
- Næss, P., Xue, J., Stefansdottir, H., Steffansen, R., & Richardson, T. (2019). Second home mobility, climate impacts and travel modes: Can sustainability obstacles be overcome? Journal of Transport Geography, 79, 102468. [Google Scholar] [CrossRef]
- Neal, J. D., Uysal, M., & Sirgy, M. J. (2007). The effect of tourism services on travelers’ quality of life. Journal of Travel Research, 46(2), 154–163. [Google Scholar] [CrossRef]
- Oliveira, C., Brochado, A., & Correia, A. (2018). Seniors in international residential tourism: Looking for quality of life. Anatolia, 29(1), 11–23. [Google Scholar] [CrossRef]
- Pandža Bajs, I. (2015). Tourist perceived value, relationship to satisfaction, and behavioral intentions: The example of the Croatian tourist destination Dubrovnik. Journal of Travel Research, 54(1), 122–134. [Google Scholar] [CrossRef]
- Perez-Aranda, J., Robles, E. M. G., & Urbistondo, P. A. (2017). The influence of membership groups on selecting accommodations: The case of the residential tourist. Journal of Spatial Organizational Dynamics, 5(2), 59–72. Available online: https://www.jsod-cieo.net/journal/index.php/jsod/article/view/86 (accessed on 4 December 2024).
- Perles-Ribes, J. F., Ramón-Rodríguez, A. B., & Such-Devesa, M. J. (2018). Second homes vs. residential tourism: A research gap. Tourism: An International Interdisciplinary Journal, 66(1), 104–107. [Google Scholar]
- Peters, N. E., & Meybeck, M. (2000). Water quality degradation effects on freshwater availability: Impacts of human activities. Water International, 25(2), 185–193. [Google Scholar] [CrossRef]
- Podsakoff, P. M., MacKenzie, S. B., Lee, J. Y., & Podsakoff, N. P. (2003). Common method biases in behavioral research: A critical review of the literature and recommended remedies. Journal of Applied Psychology, 88(5), 879–903. [Google Scholar] [CrossRef] [PubMed]
- Polites, G. L., & Karahanna, E. (2012). Shackled to the status quo: The inhibiting effects of incumbent system habit, switching costs, and inertia on new system acceptance. MIS Quarterly, 36(1), 21–42. [Google Scholar] [CrossRef]
- Reitsamer, B. F., & Brunner-Sperdin, A. (2017). Tourist destination perception and well-being: What makes a destination attractive? Journal of Vacation Marketing, 23(1), 55–72. [Google Scholar] [CrossRef]
- Robinson, D., Newman, S. P., & Stead, S. M. (2019). Community perceptions link environmental decline to reduced support for tourism development in small island states: A case study in the Turks and Caicos Islands. Marine Policy, 108, 103671. [Google Scholar] [CrossRef]
- Rodríguez-Calles, L. (2022). Ecological impacts of agribusiness Transformation in a Spanish Mediterranean enclave: Impacts on the Mar Menor coastal lagoon. EuroChoices, 21(2), 43–49. [Google Scholar] [CrossRef]
- Romita, T. (2013). Lifestyles and consumption of do-it-yourself residential tourists in Italy. In Z. Roca (Ed.), Second home tourism in Europe. Lifestyle issues and policy responses (pp. 263–283). Routledge. [Google Scholar]
- Sadat, M. M., & Chang, L. H. (2016). The impact of environmental quality of revisiting intention. Journal of Quality Assurance in Hospitality & Tourism, 17(2), 209–223. [Google Scholar]
- Saint Akadiri, S., Alola, A. A., & Akadiri, A. C. (2019). The role of globalization, real income, tourism in environmental sustainability target. Evidence from Turkey. Science of the Total Environment, 687, 423–432. [Google Scholar] [CrossRef]
- Scott, D., Gössling, S., & Hall, C. M. (2012). International tourism and climate change. WIREs Climate Change, 3(3), 213–232. [Google Scholar] [CrossRef]
- Seetanah, B., Teeroovengadum, V., & Nunkoo, R. (2020). Destination satisfaction and revisit intention of tourists: Does the quality of airport services matter? Journal of Hospitality & Tourism Research, 44(1), 134–148. [Google Scholar]
- Shahbaz, M., Bashir, M. F., Bashir, M. A., & Shahzad, L. (2021). A bibliometric analysis and systematic literature review of tourism-environmental degradation nexus. Environmental Science and Pollution Research, 28(41), 58241–58257. [Google Scholar] [CrossRef] [PubMed]
- Shahgerdi, A., Rezapouraghdam, H., Ghaedi, A., & Safshekan, S. (2016). The tourism-environment Nexus; challenges and opportunities. Journal of Sustainable Development Studies, 9(1), 17–33. [Google Scholar]
- Siang, J. H., Yang, W. G., & Liu, L. W. (2020). Impact of WOM and online WOM on tourist destinations in Indonesia. Utopía y Praxis Latinoamericana, 25(10), 297–304. [Google Scholar]
- Silva, R., & Correia, A. (2017). Places and tourists: Ties that reinforce behavioural intentions. Anatolia, 28(1), 14–30. [Google Scholar] [CrossRef]
- Singh, S., Wagner, R., & Raab, K. (2020). India’s new-found love for wine tourism: A decanter of expectations and change. International Journal of Wine Business Research, 33(3), 313–335. [Google Scholar] [CrossRef]
- Soto, M. T. R., & Clavé, S. A. (2017). Second homes and urban landscape patterns in Mediterranean coastal tourism destinations. Land Use Policy, 68, 117–132. [Google Scholar] [CrossRef]
- Ștefănică, M., Sandu, C. B., Butnaru, G. I., & Haller, A. P. (2021). The nexus between tourism activities and environmental degradation: Romanian tourists’ opinions. Sustainability, 13(16), 9210. [Google Scholar] [CrossRef]
- Stylidis, D. (2017). Place attachment, perception of place and residents’ support for tourism development. Tourism Planning & Development, 15(2), 188–210. [Google Scholar]
- Stylos, N., & Bellou, V. (2019). Investigating tourists’ revisit proxies: The key role of destination loyalty and its dimensions. Journal of Travel Research, 58(7), 1123–1145. [Google Scholar] [CrossRef]
- Suhartanto, D., Brien, A., Primiana, I., Wibisono, N., & Triyuni, N. N. (2020). Tourist loyalty in creative tourism: The role of experience quality, value, satisfaction, and motivation. Current Issues in Tourism, 23(7), 867–879. [Google Scholar] [CrossRef]
- Suharyono, S., & Digdowiseiso, K. (2021). The effects of environmental quality on Indonesia’s inbound tourism. International Journal of Energy Economics and Policy, 11(1), 9–14. [Google Scholar] [CrossRef]
- Tian-Cole, S., Crompton, J. L., & Willson, V. L. (2002). An empirical investigation of the relationships between service quality, satisfaction and behavioral intentions among visitors to a wildlife refuge. Journal of Leisure Research, 34(1), 1–24. [Google Scholar] [CrossRef]
- Touloun, C., & Eddali, R. (2023). Tourist environmental behaviour: A narrative review. Environment-Behaviour Proceedings Journal, 8(23), 247–252. [Google Scholar] [CrossRef]
- Trelinski, A. (2021, August 7). Why the Mar Menor in Spain has become Europe’s saddest example of environmental vandalism. The Olive Press. Available online: https://bit.ly/3ANDNL1 (accessed on 4 December 2024).
- UN World Tourism Organization. (2008). International recommendations for tourism statistics. Studies in Methods Series M No. 83/Rev.1. United Nations. Department of Economic and Social Affairs. Available online: https://bit.ly/3ZPnbAA (accessed on 4 December 2024).
- UN World Tourism Organization. (2021). Transforming tourism for climate change. Available online: https://bit.ly/3G3HcsV (accessed on 4 December 2024).
- Van De Schoot, R., Schmidt, P., De Beuckelaer, A., Lek, K., & Zondervan-Zwijnenburg, M. (2015). Measurement invariance. Frontiers in Psychology, 6, 1064. [Google Scholar] [CrossRef] [PubMed]
- Vehovar, V., Toepoel, V., & Steinmetz, S. (2016). Non-probability sampling. In C. Wolf, D. Joye, & T. W. Smith (Eds.), The Sage handbook of survey methods (pp. 329–345). SAGE Publications. [Google Scholar]
- Volo, S. (2015). Second home, tourism. In J. Jafari, & H. Xiao (Eds.), Encyclopedia of tourism (pp. 1–3). Springer. [Google Scholar]
- Williams, P. W., & Ponsford, I. F. (2008). Confronting tourism’s environmental paradox: Transitioning for sustainable tourism. Futures, 41, 396–404. [Google Scholar] [CrossRef]
- World Tourism Organization & International Transport Forum. (2019). Transport-related CO2 emissions of the tourism sector—Modelling results. UNWTO. [Google Scholar]
- Yoon, Y., & Uysal, M. (2005). An examination of the effects of motivation and satisfaction on destination loyalty: A structural model. Tourism Management, 26(1), 45–56. [Google Scholar] [CrossRef]
- Yu, X., Kim, N., Chen, C. C., & Schwartz, Z. (2012). Are you a tourist? Tourism definition from the tourist perspective. Tourism Analysis, 17(4), 445–457. [Google Scholar] [CrossRef]
- Yüksel, A., Bilim, Y., & Yüksel, F. (2014). Customers’ assessment of destination advertisements with incomplete information interactions among inferences, attitudes, and purchase intentions. Journal of Quality Assurance in Hospitality & Tourism, 15(3), 269–293. [Google Scholar]
- Zeithaml, V. A. (1988). Consumer perceptions of price, quality, and value: A means-end model and synthesis of evidence. Journal of Marketing, 52(3), 2–22. [Google Scholar] [CrossRef]
- Zhang, P., Guo, S., Zeng, L., & Li, X. (2022). Formation mechanisms of rural summer health destination loyalty: Exploration and comparison of low-and high-aged elderly leisure vacation tourists. Behavioral Sciences, 12(10), 367. [Google Scholar] [CrossRef] [PubMed]
- Zhang, Y., Khan, S. A. R., Kumar, A., Golpîra, H., & Sharif, A. (2019). Is tourism really affected by logistical operations and environmental degradation? An empirical study from the perspective of Thailand. Journal of Cleaner Production, 227, 158–166. [Google Scholar] [CrossRef]
- Zhao, K. (2021). Sample representation in the social sciences. Synthese, 198(10), 9097–9115. [Google Scholar] [CrossRef]


| Variables | n (%) | |
|---|---|---|
| Sex | Male Female | 459 (55.8) 363 (44.2) |
| Age | 18–35 years old 36–59 years old Over 59 years old | 194 (23.6) 502 (61.1) 126 (15.3) |
| Origin | Murcia Another Spanish region Foreign | 688 (83.7) 120 (14.6) 14 (1.7) |
| Type of housing | Owned For free Rented | 412 (50.1) 233 (28.3) 177 (21.5) |
| Variables and Items | |
|---|---|
| Variable: The tourists’ perceptions of the Mar Menor destination. Item: How would you rate the Mar Menor as a tourist destination? Measure: 5-point scale (1 = very bad; 5 = very good). | Beerli and Martin (2004). Yoon and Uysal (2005). |
| Variable: Perceptions of loss of quality of the vacation. Item: The current state of the Mar Menor has reduced the quality of my vacation. Measure: 5-point scale (1 = strongly disagree; 5 = strongly agree). | Neal et al. (2007). |
| Variable: Intention to revisit (ItR). Item: I will return to the Mar Menor for future vacations. Measure: 5-point scale (1 = strongly disagree; 5 = strongly agree). | Adapted from Mechinda et al. (2009). |
| Variables | Groups | n | U (z) | p |
|---|---|---|---|---|
| PER | Non-second-home residential tourists Second-home tourists | 410 412 | 75,946.00 (−2.63) | .009 |
| LOSS | Non-second-home residential tourists Second-home tourists | 410 412 | 79,979.00 (−1.65) | .100 |
| ItR | Non-second-home residential tourists Second-home tourists | 410 412 | 45,890.50 (−11.60) | <.001 |
| Variables | n (%) | |
|---|---|---|
| Sex | Male Female | 459 (55.8) 363 (44.2) |
| Age | 18–35 years old 36–59 years old Over 59 years old | 194 (23.6) 502 (61.1) 126 (15.3) |
| Origin | Region of Murcia Another Spanish region Foreign | 688 (83.7) 120 (14.6) 14 (1.7) |
| Type of housing | Owned For free Rented | 412 (50.1) 233 (28.3) 177 (21.5) |
| Variables and Items | Sources |
|---|---|
| Intention to revisit (ItR). Itr1. The Mar Menor will be my preferred destination for my next vacation. Itr2. I would repeat my past vacations in the Mar Menor. Itr3. I would want to return to the Mar Menor on vacation. | Mechinda et al. (2009). Horng et al. (2012). |
| The perceived value of the destination Factor 1: Natural environment (Val1) Val11. It has a good image of the natural environment. Val12. It is an area with reduced pollution. Val13. Its environment (sea and coast) is well preserved. | Cheng and Lu (2013). Pandža Bajs (2015). Zhang et al. (2022). |
| Factor 2: Well-being (Val2) Val21. The Mar Menor is a quality area to rest. Val22. It is an area with good and attractive services. Val23. It is a destination that produces well-being. | Cheng and Lu (2013). Pandža Bajs (2015). Suhartanto et al. (2020). |
| Factor 3: Emotional value (Val3) Val31. Going to the Mar Menor has emotional value for me. Val32. I identify with the Mar Menor area. Val33. Being in the area generates satisfaction for me. | Kim et al. (2013). Pandža Bajs (2015). Ashton et al. (2020). Suhartanto et al. (2020). |
| Factor 4: Reputation (Val4) Val41. It is a good area compared to others. Val42. It is a destination with a good reputation. Val43. It is an area that I recommend visiting. | Pandža Bajs (2015). Moon and Han (2019). |
| Change in the environment (Cha) Cha1. Its image of a natural area. Cha2. The level of pollution. Cha3. Its physical environment (sea and coast). | Beerli and Martin (2004). Assaker (2014). |
| Satisfaction with the destination (Sat) Sat1. This place is what I needed for my vacation. Sat2. This place is what I imagined. Sat3. This place is always a good choice. Sat4. Going to the Mar Menor was satisfying. | Lee (2009). Marinao-Artigas (2018). |
| Construct | Item | λ (t-Value) | Reliability | ||
|---|---|---|---|---|---|
| α | CR | AVE | |||
| Intention to revisit (ItR) | Itr1 Itr2 Itr3 | .90 (38.15) *** .94 (42.17) *** .81 (22.52) *** | .91 | .92 | .79 |
| Natural environment (Val1) | Val11 Val12 Val13 | .79 (22.44) *** .81 (21.70) *** .88 (23.80) *** | .86 | .86 | .68 |
| Well-being (Val2) | Val21 Val23 | .77 (22.42) *** .93 (33.35) *** | .83 | .84 | .73 |
| Emotional value (Val3) | Val32 Val33 | .63 (12.24) *** .96 (31.72) *** | .75 | .81 | .69 |
| Reputation (Val4) | Val41 Val42 Val43 | .85 (29.49) *** .75 (21.90) *** .86 (30.330) *** | .86 | .86 | .68 |
| Change in the environment (Cha) | Cha1 Cha2 Cha3 | .90 (26.23) *** .88 (24.47) *** .90 (26.50) *** | .92 | .92 | .80 |
| Satisfaction with the destination (Sat) | Sat1 Sat2 Sat3 Sat4 | .88 (32.68) *** .82 (23.49) *** .93 (41.05) *** .92 (36.28) *** | .94 | .94 | .79 |
| Hypotheses | β | t-Value | r-SE | d | R2 | Contrast |
|---|---|---|---|---|---|---|
| H1 (Val → Sat) | 0.94 | 14.20 *** | 0.11 | 0.30 | .90 | Accepted |
| H2 (Sat → ItR) | 0.83 | 17.50 *** | 0.05 | 0.63 | .71 | Accepted |
| H3a (Cha → Val) | 0.66 | 11.52 *** | 0.04 | 0.58 | .43 | Accepted |
| H3b (Cha → Sat) | 0.02 | 0.45 NS | 0.06 | 0.01 | Rejected | |
| H3c (Cha → ItR) | 0.01 | 0.20 NS | 0.07 | 0.01 | Rejected |
Disclaimer/Publisher’s Note: The statements, opinions and data contained in all publications are solely those of the individual author(s) and contributor(s) and not of MDPI and/or the editor(s). MDPI and/or the editor(s) disclaim responsibility for any injury to people or property resulting from any ideas, methods, instructions or products referred to in the content. |
© 2025 by the authors. Licensee MDPI, Basel, Switzerland. This article is an open access article distributed under the terms and conditions of the Creative Commons Attribution (CC BY) license (https://creativecommons.org/licenses/by/4.0/).
Share and Cite
Sarabia-Sánchez, F.J.; Bruno, J.M.; Sarabia-Andreu, F.; Moreno-Micol, M.A. The Impact of Eco-Degradation on Residential Tourism: The Case of the Mar Menor, Spain. Tour. Hosp. 2025, 6, 19. https://doi.org/10.3390/tourhosp6010019
Sarabia-Sánchez FJ, Bruno JM, Sarabia-Andreu F, Moreno-Micol MA. The Impact of Eco-Degradation on Residential Tourism: The Case of the Mar Menor, Spain. Tourism and Hospitality. 2025; 6(1):19. https://doi.org/10.3390/tourhosp6010019
Chicago/Turabian StyleSarabia-Sánchez, Francisco J., Juan M. Bruno, Francisco Sarabia-Andreu, and Maria A. Moreno-Micol. 2025. "The Impact of Eco-Degradation on Residential Tourism: The Case of the Mar Menor, Spain" Tourism and Hospitality 6, no. 1: 19. https://doi.org/10.3390/tourhosp6010019
APA StyleSarabia-Sánchez, F. J., Bruno, J. M., Sarabia-Andreu, F., & Moreno-Micol, M. A. (2025). The Impact of Eco-Degradation on Residential Tourism: The Case of the Mar Menor, Spain. Tourism and Hospitality, 6(1), 19. https://doi.org/10.3390/tourhosp6010019

