Urban Growth Analysis Using Multi-Temporal Remote Sensing Image and Landscape Metrics for Smart City Planning of Lucknow District, India †
Abstract
1. Introduction
2. Study Area
3. Materials and Methods
3.1. Image Pre-Processing
3.2. LULC Classification
3.3. Calculation of Landscape Metrices
4. Results and Discussion
4.1. LULC Maps and Change Analysis
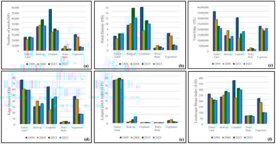
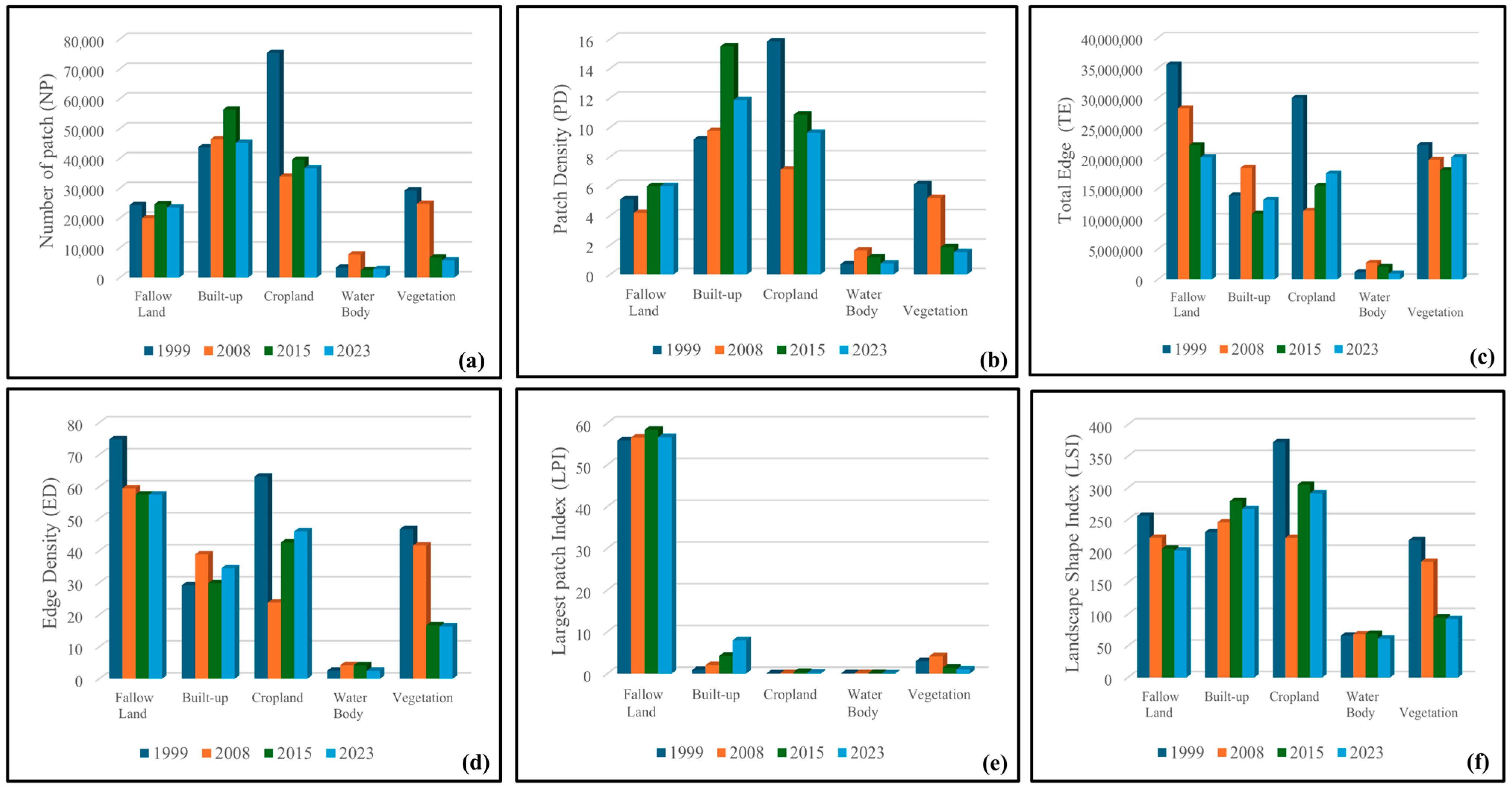
4.2. Quantification of Landscape Metrices
5. Conclusions
Author Contributions
Funding
Institutional Review Board Statement
Informed Consent Statement
Data Availability Statement
Conflicts of Interest
References
- Smiraglia, D.; Ceccarelli, T.; Bajocco, S.; Perini, L.; Salvati, L. Unraveling Landscape Complexity: Land Use/Land Cover Changes and Landscape Pattern Dynamics (1954–2008) in Contrasting Peri-Urban and Agro-Forest Regions of Northern Italy. Environ. Manag. 2015, 56, 916–932. [Google Scholar] [CrossRef] [PubMed]
- Seifollahi-Aghmiuni, S.; Kalantari, Z.; Egidi, G.; Gaburova, L.; Salvati, L. Urbanisation-driven land degradation and socioeconomic challenges in peri-urban areas: Insights from Southern Europe. Ambio 2022, 51, 1446–1458. [Google Scholar] [CrossRef]
- Gupta, R.; Sharma, L.K. Efficacy of Spatial Land Change Modeler as a forecasting indicator for anthropogenic change dynamics over five decades: A case study of Shoolpaneshwar Wildlife Sanctuary, Gujarat, India. Ecol. Indic. 2020, 112, 106171. [Google Scholar] [CrossRef]
- Arora, A.; Pandey, M.; Mishra, V.N.; Kumar, R.; Rai, P.K.; Costache, R.; Punia, M.; Di, L. Comparative evaluation of geospatial scenario-based land change simulation models using landscape metrics. Ecol. Indic. 2021, 128, 107810. [Google Scholar] [CrossRef]
- Cheng, Y.; Kang, Q.; Liu, K.; Cui, P.; Zhao, K.; Li, J.; Ma, X.; Ni, Q. Impact of Urbanization on Ecosystem Service Value from the Perspective of Spatio-Temporal Heterogeneity: A Case Study from the Yellow River Basin. Land 2023, 12, 1301. [Google Scholar] [CrossRef]
- Mishra, V.N. Investigation of Land Use/Land Cover Changes in Alaknanda River Basin, Himalaya During 1976–2020. In Advances in Remote Sensing Technology and the Three Poles; Pandey, M., Pandey, C., Ray, Y., Arora, A., Jawak, S.D., Shukla, U.K., Eds.; John Wiley & Sons Ltd.: Hoboken, NJ, USA, 2023. [Google Scholar]
- Yadav, P.K.; Mishra, V.N.; Kumari, M.; Kumar, A.; Kumar, P.; Bhatla, R. Spatially Explicit Simulation and Forecasting of Urban Growth Using Weights of Evidence Based Cellular Automata Model in a Millennium city of India. Phys. Chem. Earth (Pt A B C) 2024, 136, 103739. [Google Scholar] [CrossRef]
- Yu, W.; Zhang, Y.; Zhou, W.; Wang, W.; Tang, R. Urban expansion in Shenzhen since 1970s: A retrospect of change from a village to a megacity from the space. Phys. Chem. Earth (Pt A B C) 2019, 110, 21–30. [Google Scholar] [CrossRef]
- Mishra, V.N.; Prasad, R.; Kumar, P.; Gupta, D.K.; Agarwal, S.; Gangwal, A. Assessment of spatio-temporal changes in land use/land cover over a decade (2000–2014) using earth observation datasets: A case study of Varanasi district, India. Iran. J. Sci. Technol.-Trans. Civ. Eng. 2019, 43, 383–401. [Google Scholar] [CrossRef]
- Mahtta, R.; Fragkias, M.; Güneralp, B.; Mahendra, A.; Reba, M.; Wentz, E.A.; Seto, K.C. Urban land expansion: The role of population and economic growth for 300+ cities. npj Urban Sustain. 2022, 2, 5. [Google Scholar] [CrossRef]
- Hasan, S.; Shi, W.; Zhu, X. Impact of land use land cover changes on ecosystem service value—A case study of Guangdong, Hong Kong, and Macao in South China. PLoS ONE 2020, 15, e0231259. [Google Scholar] [CrossRef]
- Kalfas, D.; Kalogiannidis, S.; Chatzitheodoridis, F.; Toska, E. Urbanization and Land Use Planning for Achieving the Sustainable Development Goals (SDGs): A Case Study of Greece. Urban Sci. 2023, 7, 43. [Google Scholar] [CrossRef]
- Wu, J.; Wu, N. Spatial structure and evolutionary logic of urban agglomerations based on remote sensing data. Phys. Chem. Earth (Pt A B C) 2023, 132, 103478. [Google Scholar] [CrossRef]
- Mishra, V.N.; Rai, P.K. A remote sensing aided multi-layer perceptron-Markov chain analysis for land use and land cover change prediction in Patna district (Bihar), India. Arab. J. Geosci. 2016, 9, 249. [Google Scholar] [CrossRef]
- Mishra, V.N.; Rai, P.K.; Prasad, R.; Punia, M.; Nistor, M.M. Prediction of spatio-temporal land use/land cover dynamics in rapidly developing Varanasi district of Uttar Pradesh, India, using geospatial approach: A comparison of hybrid models. Appl. Geomat. 2018, 10, 257–276. [Google Scholar] [CrossRef]
- Seyam, M.M.H.; Haque, M.R.; Md Mostafizur Rahman, M.M. Identifying the land use land cover (LULC) changes using remote sensing and GIS approach: A case study at Bhaluka in Mymensingh, Bangladesh. Case Stud. Chem. Environ. Eng. 2023, 7, 100293. [Google Scholar] [CrossRef]
- Kumar, M.; Denis, D.M.; Singh, S.K.; Szabó, S.; Suryavanshi, S. Landscape metrics for assessment of land cover change and fragmentation of a heterogeneous watershed. Remote Sens. Appl. Soci. Environ. 2018, 10, 224–233. [Google Scholar] [CrossRef]
- Enrica, G.; Josep, P.R.; Amanda, J.A.; Garry, P.; Albert, N.; Anna, R.P.; Josep, V.S. Landscape features shape people’s perception of ecosystem service supply areas. Ecosyst. Serv. 2023, 64, 101561. [Google Scholar] [CrossRef]
- Forman, R.T.T.; Godron, M. Landscape Ecology; John Wiley & Sons: New York, NY, USA, 1986. [Google Scholar]
- Justeau-Allaire, D.; Ibanez, T.; Vieilledent, G.; Lorca, X.; Birnbaum, P. Refining intra-patch connectivity measures in landscape fragmentation and connectivity indices. Landsc. Ecol. 2024, 39, 24. [Google Scholar] [CrossRef]
- Verma, R.; Garg, P.K. Multi-temporal urban growth analysis with expansion indicators in Lucknow constituency by open-source data, India. J. Urban Manag. 2022, 11, 412–423. [Google Scholar] [CrossRef]
- McGarigal, K.; Cushman, S.A.; Ene, E. FRAGSTATS v4: Spatial Pattern Analysis Program for Categorical and Continuous Maps; University of Massachusetts: Amherst, MA, USA, 2012. [Google Scholar]
- Szabó, S.; Novák, T.; Elek, Z. Distance models in ecological network management: A case study of patch connectivity in a grassland network. J. Nat. Conserv. 2012, 20, 293–300. [Google Scholar] [CrossRef]
- Singh, S.K.; Basommi, B.P.; Mustak, S.K.; Srivastava, P.K.; Szabo, S. Modelling of land use land cover change using earth observation data-sets of Tons River Basin, Madhya Pradesh, India. Geocarto Int. 2018, 33, 1202–1222. [Google Scholar] [CrossRef]





| Satellite Sensor | Date of Acquisition | Spectral Resolution (No. of Bands) | Spatial Resolution (m) |
|---|---|---|---|
| Landsat 7—ETM+ | 9 November 1999 | 8 | 30 |
| Landsat 5—TM | 9 November 2008 | 7 | 30 |
| Landsat 8—OLI/TIRS | 13 November 2015 | 11 | 30 |
| 3 November 2023 | 11 | 30 |
| Metrices | Symbol | Description of the Metrices |
|---|---|---|
| Number of Patches | NP | It is the total number of patches present in a class. |
| Patch Density | PD | It is the ratio between the total patches and the area. |
| Edge Density | ED | Total edge length involving the respective land use/land cover class divided by total area. |
| Total Edge | TE | The total length of all edge segments in the class. |
| Largest Patch Index | LPI | The ratio between the biggest patch area and the area under the study. |
| Landscape Shape Index | LSI | The average complexity of the entire landscape. |
| Percentage of Landscape | PLAND | It is the percentage of the landscape that consists of the specific patch type. |
| LULC Category | 1999 | 2008 | 2015 | 2023 | ||||
|---|---|---|---|---|---|---|---|---|
| Area (km2) | Area (%) | Area (km2) | Area (%) | Area (km2) | Area (%) | Area (km2) | Area (%) | |
| Built-up | 228.48 | 9.05 | 299.70 | 12.87 | 455.13 | 18.02 | 654.47 | 25.91 |
| Vegetation | 656.89 | 26.01 | 692.38 | 24.92 | 300.74 | 11.91 | 295.71 | 11.71 |
| Fallow Land | 1212.62 | 48.01 | 1211.60 | 48.97 | 1121.78 | 44.42 | 949.06 | 37.58 |
| Cropland | 407.28 | 16.13 | 296.42 | 11.80 | 622.95 | 24.66 | 609.22 | 24.12 |
| Water Body | 20.34 | 0.81 | 25.51 | 1.45 | 25.01 | 0.99 | 17.06 | 0.68 |
| Total | 2525.61 | 100 | 2525.61 | 100 | 2525.61 | 100 | 2525.61 | 100 |
Disclaimer/Publisher’s Note: The statements, opinions and data contained in all publications are solely those of the individual author(s) and contributor(s) and not of MDPI and/or the editor(s). MDPI and/or the editor(s) disclaim responsibility for any injury to people or property resulting from any ideas, methods, instructions or products referred to in the content. |
© 2024 by the authors. Licensee MDPI, Basel, Switzerland. This article is an open access article distributed under the terms and conditions of the Creative Commons Attribution (CC BY) license (https://creativecommons.org/licenses/by/4.0/).
Share and Cite
Maity, N.; Mishra, V.N. Urban Growth Analysis Using Multi-Temporal Remote Sensing Image and Landscape Metrics for Smart City Planning of Lucknow District, India. Eng. Proc. 2024, 82, 59. https://doi.org/10.3390/ecsa-11-20514
Maity N, Mishra VN. Urban Growth Analysis Using Multi-Temporal Remote Sensing Image and Landscape Metrics for Smart City Planning of Lucknow District, India. Engineering Proceedings. 2024; 82(1):59. https://doi.org/10.3390/ecsa-11-20514
Chicago/Turabian StyleMaity, Namrata, and Varun Narayan Mishra. 2024. "Urban Growth Analysis Using Multi-Temporal Remote Sensing Image and Landscape Metrics for Smart City Planning of Lucknow District, India" Engineering Proceedings 82, no. 1: 59. https://doi.org/10.3390/ecsa-11-20514
APA StyleMaity, N., & Mishra, V. N. (2024). Urban Growth Analysis Using Multi-Temporal Remote Sensing Image and Landscape Metrics for Smart City Planning of Lucknow District, India. Engineering Proceedings, 82(1), 59. https://doi.org/10.3390/ecsa-11-20514

