The Resilience of Intermittent Water Supply Systems under Limited Water and Electricity Availability †
Abstract
1. Introduction
2. Materials and Methods
2.1. Global Resilience Analysis
2.2. Strategies for Enhancing Network Resilience
3. Case Study
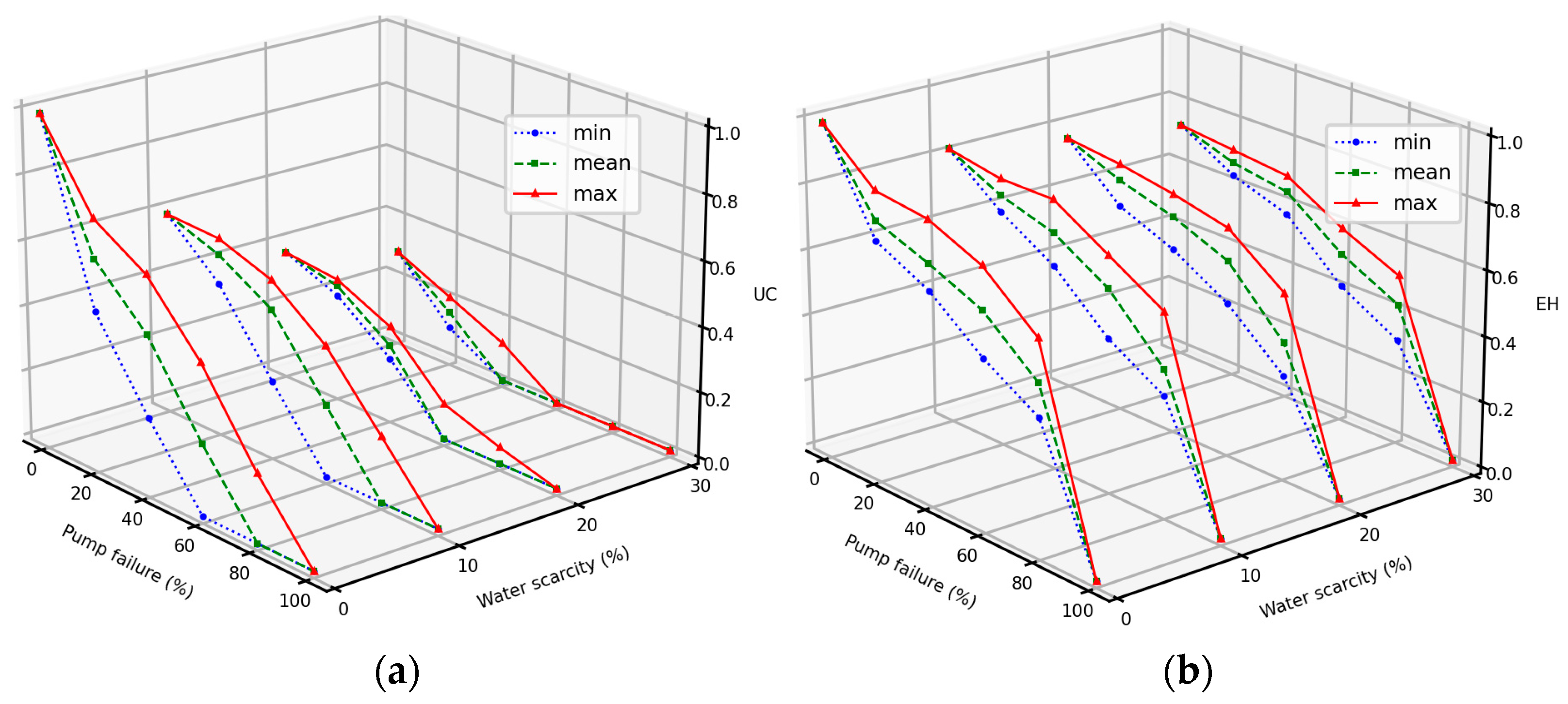
4. Results and Discussion
4.1. Global Resilience Analysis
4.2. Optimum Operation Intervention Strategy for Enhancing IWS Resilience
5. Conclusions
Author Contributions
Funding
Institutional Review Board Statement
Informed Consent Statement
Data Availability Statement
Acknowledgments
Conflicts of Interest
References
- Farmani, R.; Dalton, J.; Charalambous, B.; Lawson, E.; Bunney, S.; Cotteril, S. Intermittent water supply systems and their resilience to COVID-19: IWA IWS SG survey. J. Water Supply Res. Technol. AQUA 2021, 70, 507–520. [Google Scholar] [CrossRef]
- Simukonda, K.; Farmani, R.; Butler, D. Intermittent water supply systems: Causal factors, problems and solution options. Urban Water J. 2018, 15, 488–500. [Google Scholar] [CrossRef]
- Helbing, D. Globally networked risks and how to respond. Nature 2013, 497, 51. [Google Scholar] [CrossRef] [PubMed]
- Butler, D.; Farmani, R.; Fu, G.; Ward, S.; Diao, K.; Astaraie-Imani, M. A New Approach to Urban Water Management: Safe and Sure. Procedia Eng. 2014, 89, 347–354. [Google Scholar] [CrossRef]
- Diao, K.; Sweetapple; Farmani, R.; Fu, G.; Ward, S. Global resilience analysis of water distribution systems. Water Res. 2016, 106, 383–393. [Google Scholar] [CrossRef] [PubMed]
- Gottipati, P.V.K.S.V.; Nanduri, U.V. Equity in water supply in intermittent water distribution networks. Water Environ. J. 2014, 28, 509–515. [Google Scholar] [CrossRef]
- Universitat Politècnica de València. Battle of Intermittent Water Supply Networks—Instructions. 2022. Available online: https://wdsa-ccwi2022.upv.es/wp-content/uploads/descargas/BIWS_Instructions.pdf (accessed on 15 February 2024).
- Wagner, J.M.; Shamir, U.; Marks, D.H. Water distribution reliability simulation methods. J.Water Resour. Plan. Manag. 1988, 114, 276–294. [Google Scholar] [CrossRef]
- Ayyash, F.; Zhang, C.; Javadi, A.A.; Farmani, R. Optimal Operation of Intermittent Water Supply Systems under Water Scarcity. J.Water Resour. Plan. Manag. 2024, 150. [Google Scholar] [CrossRef]
- University of Exeter, Center for Water Systems. 2020. Available online: https://www.exeter.ac.uk/research/centres/cws/resources/benchmarks/ (accessed on 15 February 2024).



| Parameter | Description |
|---|---|
| Optimization method | Nondominated sorting genetic algorithm (NSGAII) |
| Optimization tool | Platypus |
| Simulation tool | Epyt (Epanet-Python Toolkit) |
| Objective functions | 1. Minimizing daily operational cost. 2. Maximizing equity. 3. Maximizing the proportion of effective supply hours. |
| Decision variables | 1. Bridge pipe statuses (on/off). 2. Pairs of triggers (on/off) for pumps and valves. 3. Valves settings. |
| Constraints | 1. Preventing hydraulic errors. 2. Bridge pipes and pump switches should not exceed a certain limit. 3. Water levels in the tanks at the start and end of the simulation (operation period) should be equal. |
Disclaimer/Publisher’s Note: The statements, opinions and data contained in all publications are solely those of the individual author(s) and contributor(s) and not of MDPI and/or the editor(s). MDPI and/or the editor(s) disclaim responsibility for any injury to people or property resulting from any ideas, methods, instructions or products referred to in the content. |
© 2024 by the authors. Licensee MDPI, Basel, Switzerland. This article is an open access article distributed under the terms and conditions of the Creative Commons Attribution (CC BY) license (https://creativecommons.org/licenses/by/4.0/).
Share and Cite
Ayyash, F.; Javadi, A.A.; Farmani, R. The Resilience of Intermittent Water Supply Systems under Limited Water and Electricity Availability. Eng. Proc. 2024, 69, 99. https://doi.org/10.3390/engproc2024069099
Ayyash F, Javadi AA, Farmani R. The Resilience of Intermittent Water Supply Systems under Limited Water and Electricity Availability. Engineering Proceedings. 2024; 69(1):99. https://doi.org/10.3390/engproc2024069099
Chicago/Turabian StyleAyyash, Faten, Akbar A. Javadi, and Raziyeh Farmani. 2024. "The Resilience of Intermittent Water Supply Systems under Limited Water and Electricity Availability" Engineering Proceedings 69, no. 1: 99. https://doi.org/10.3390/engproc2024069099
APA StyleAyyash, F., Javadi, A. A., & Farmani, R. (2024). The Resilience of Intermittent Water Supply Systems under Limited Water and Electricity Availability. Engineering Proceedings, 69(1), 99. https://doi.org/10.3390/engproc2024069099

