Abstract
This work uses three machine learning techniques, response surface methodology (RSM), artificial neural network (ANN), and adaptive neuro-fuzzy inference system (ANFIS) to optimise and model biodiesel production from waste cooking oil using process parameters such as methanol-to-oil ratio, catalyst loading, reaction temperature, and reaction time. RSM was used for process optimisation. Model construction of the ANN model used 70% of the data for training, 15% for testing, and 15% for validation. The network was trained using feed-forward propagation and the Levenberg–Marquardt algorithm. The ANFIS was generated using a grid partition and trained using a hybrid method. The effectiveness of the machine learning was assessed through error metrics such as regression (R2), root mean square error (RMSE), mean absolute error (MAE), mean absolute percentage error (MAPE) and average relative error (ARE). The optimum yield was obtained at 15 wt.%, 4 wt.%, 120 °C, and 4 h, methanol-to-oil ratio, catalyst loading, temperature, and reaction time, respectively, yielding 93.486%.
1. Introduction
The current world energy supply is mainly sourced from fossil fuel sources, which are non-renewable and non-degradable; this further demonstrates the dependence on this energy source. Global energy demand is projected to increase by 56% from 2010 to 2040 [1,2,3]. Global warming is one of the consequences of the overuse of petroleum fuels, and there has been a gradual yearly increase in fuel consumption for which studies predict the depletion of fossil fuel reserves by 2042 [4]. The 2015 Paris Agreement on Climate Change pledged to limit global warming to 1.5 °C and 2 °C above the preindustrial revolution period. The main contributor to GHGs by quantity is carbon dioxide (CO2), mainly produced by the transportation and energy generation sectors, for which the transportation sector contributes to about a quarter of global CO2 emissions [5]. There is, therefore, a need for renewable and sustainable energy sources such as biofuels. These are becoming gradually popular globally since they are clean, sustainable, and biodegradable [1]. Biodiesel is a promising alternative biofuel produced by the transesterification reaction of vegetable oil and animal fat with a short-chain alcohol such as methanol or ethanol. The transesterification process using methanol as an acyl acceptor is denoted as methanolysis, producing fatty acid methyl esters (FAMEs), known as biodiesel [6].
The methanolysis process, a critical step in biodiesel production, traditionally employs homogeneous catalysts (acids or bases) [6,7]. However, these catalysts pose challenges due to separation difficulties, potential contamination of the final product and costly separation. Recent research explores geopolymers as heterogeneous catalysts, addressing these limitations. Geopolymers are zeolite-like materials and are inexpensive to synthesise [8]. Geopolymers are inorganic polymers produced from easily accessible aluminosilicate sources, such as metakaolin, using alkaline solutions. Since they have porous structures that are reusable and environmentally friendly, they are ideal candidates for greener biodiesel production [9]. As a reactive material, metakaolin is an excellent source of alumino-silicate as a starting material for geopolymers [10].
Machine learning (ML) presents an effective strategy that revolutionises biodiesel production by facilitating predictive modelling and process optimisation [4]. The prediction of methanolysis efficiency is usually conducted under specific conditions. This requires numerous experiments because this method is not very rigorous. Meanwhile, various models have been effectively used to estimate biodiesel purity based on input characteristics. Finding relationships between the inputs and outputs of a methanolysis process using mathematical techniques is difficult due to the complexity of the process. Thus, these constraints can be quickly resolved by applying computing techniques like machine learning [11]. However, optimising and assessing methanolysis efficiency using machine learning models needs experimental data and is economical. Machine learning is a branch of artificial intelligence where models are trained to handle complex tasks using imported experimental data [1].
Despite the extensive use of machine learning technology in biodiesel research, there is a gap in the applications of this powerful technique in biodiesel production catalysed by geopolymer. Therefore, this work explores using geopolymer heterogeneous catalysts and machine learning (ML) for the methanolysis of waste cooking oil. Three machine learning techniques, response surface methodology (RSM), artificial neural network (ANN), and adaptive neuro-fuzzy inference system (ANFIS), were used to optimise and model biodiesel production from waste cooking oil catalysed by kaolinite geopolymer using process parameters, such as methanol-to-oil ratio, catalyst loading, reaction temperature, and reaction time.
2. Materials and Methods
The source of alumino-silicate used in this study was metakaolin, which was prepared by calcining kaolin at 900 °C. Kaolin heavy pure was purchased from Associated Chemical Entreprises (ACE), Johannesburg, South Africa. Sodium Hydroxide (NaOH > 99.5%) and methanol (CH3OH > 99%) were sourced from Glassworld, Johannesburg, South Africa. Sodium Silicate (Na2SiO3:1.5 SG) was sourced from Fisher Scientific, Loughborough, UK. Waste cooking oil was used as the source of triglycerides to supply the university canteen. Twelve M of sodium hydroxide was mixed with sodium silicate in a ratio of 1:1 to prepare an activation solution, which was stored for 24 h. The prepared activation solution was mixed with metakaolin to obtain a targeted molar ratio of SiO2/Na2O = 3.1, SiO2/Al2O3 = 4.0. The geopolymer prepared was cured for five days at room temperature and dried at 110 °C for 24 h.
The batch methanolysis was carried out in a lab-scale reactor consisting of a 250 mL flat-bottom conical flask mounted with a reflux condenser at a constant stirring rate of 600RPM. Approximately 100 g of oil was transferred to the reactor, the catalyst (2–6 wt.%) was mixed with methanol (10–20 wt.%, methanol-to-oil ratio) and transferred to the reactor, and the methanolysis reaction was performed at 60 to 120 °C and for 2 to 6 h, as shown in Table 1. Once the reaction was completed, the product mixture was transferred to the separation funnel, let settle overnight, and separated. The experimental setup is shown in Figure 1. The product had three layers: the top layer was biodiesel, the middle layer was glycerol, and the bottom layer was the catalyst, which was removed, washed with water, and dried for possible reuse. Gas chromatography (GC) quantitative analysis of the biodiesel gave FAMEs content composition, as summarised in Table 2. The methanolysis yield (biodiesel yield) was calculated using Equation (1).
Table 1.
Range of process parameters used for the models.
Figure 1.
Experimental setup.
Table 2.
Fatty acid methyl ester composition of biodiesel.
RSM was applied in Design Expert 13, and Neural Network Modular and Neuro-fuzzy were built with an NN toolbox using MATLAB 2021. Twenty-six experimental data points were randomly divided into 70% for training and 30% for validation and testing. The ANN architecture is shown in Figure 2, and the ANFIS structure in Figure 3.
Figure 2.
The architecture of the ANN model.
Figure 3.
The architecture of the ANFIS model.
3. Results and Discussion
Response surface methodology (RSM) was used to develop a quadratic equation that can be used to predict the biodiesel yield in the specified ranges of process variables. As shown by Equation (2), the four process variables used in the methanolysis were denoted as A (methanol to oil ratio: wt.%), B (catalyst loading: wt.%), D (temperature: °C), and C (reaction time: hour). The positive and negative signs of every coefficient indicate the direction of impact of individual variables or interacting terms on the methanolysis. A positive sign indicates the synergistic effect of the variable or interacting terms, while a negative sign indicates the variable’s antagonistic impact.
Yield = −94.06184 + 17.07415A + 5.03734B + 0.013223C + 13.01131D + 0.083125AB + 0.002208AC + 0.066875AD + 0.012801BC − 0.332813BD + 0.002813CD − 0.576504A2 − 0.564892B2 + 0.000091C2 − 1.25315D2
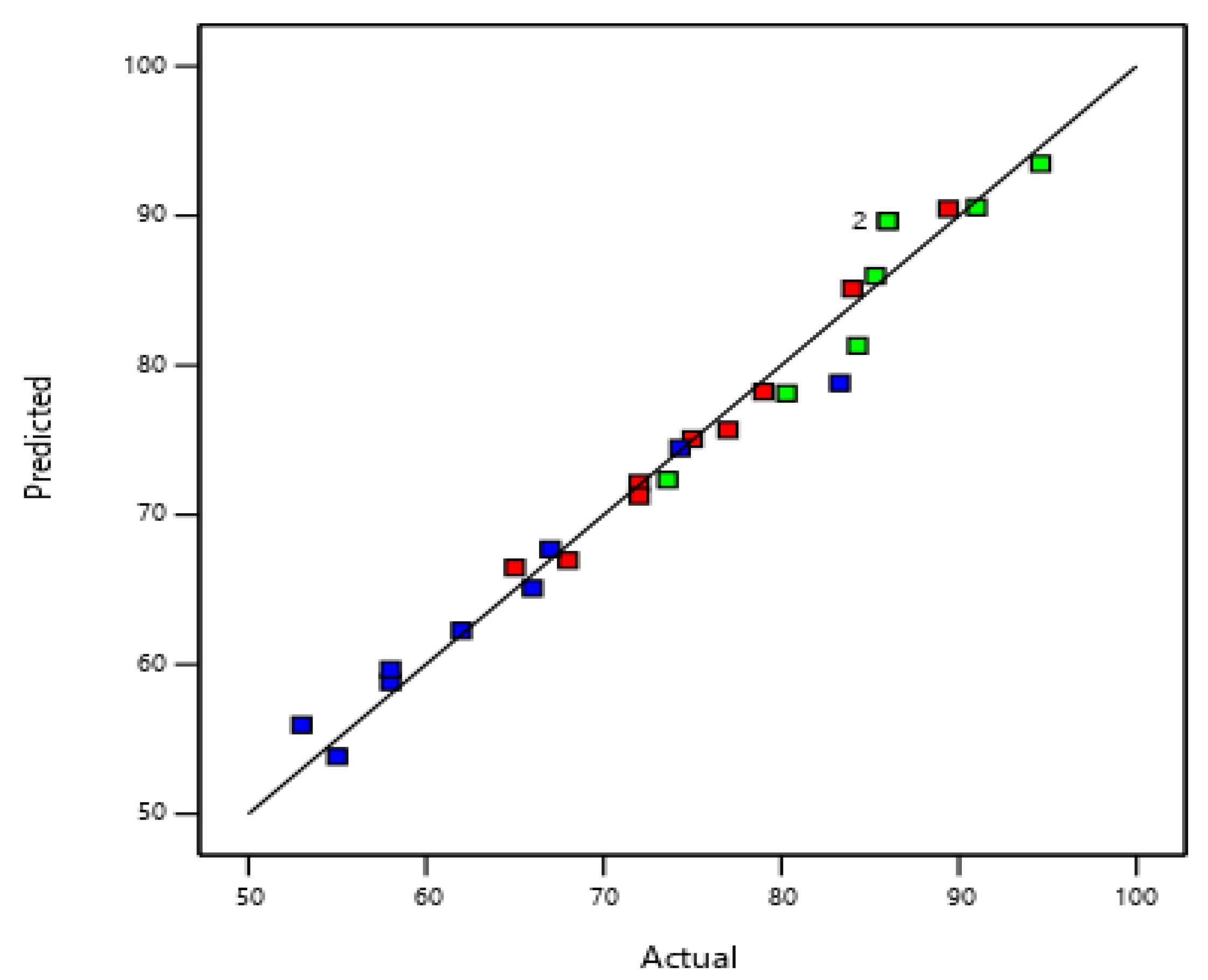
As shown in Figure 4, the data points obtained were close to the fit line, which indicated the best fit for the prediction. This is further evidenced by the obtained adjusted R2 of 0.942 and predicted R2 of 0.8912, in reasonable agreement as the difference is less than 0.2. The different colours in Figure 4 represent biodiesel yields at different reaction times, with blue for time 2 h, green for 4 h and red for 6 h.
Figure 4.
Actual yield vs. predicted yield from RSM.
Figure 5 represents the actual and predicted yield obtained from the fuzzy logical network. The Sugeno fuzzy logical model was employed using the triangular input membership function (MF) and applying the grid partition for training. As shown in Figure 5, the actual values are very close to the predicted values, suggesting a better prediction, as evidenced by the high R2 of 0.9695. Therefore, the ANFIS has the ability to predict the yield of the methanolysis of waste cooking oil catalysed by kaolinite geopolymer. The results confirmed the ability of the ANFIS to provide an understanding of the input and output variables and the fundamental mechanics of the studied system [12].
Figure 5.
Actual and predicted yield data for ANFIS.
The ANN model was trained using the Levenberg–Marquardt algorithm, and the architecture consisted of three layers: an input layer consisting of four neurons (methanol-to-oil ratio, catalyst loading, temperature, and time), a hidden layer with six neurons, and an output layer with one neuron (yield). Figure 6 shows regression plots of the model, and the actual values (target: yield) again predicted yield. The R values obtained were 0.98958, 0.97143, 0.99444, and 0.96532 for training, validation, testing, and combined, respectively.
Figure 6.
Validation and testing for ANN.
The effectiveness of the methanolysis predictive modelling used in this study was assessed using error metrics, namely root mean square error (RMSE), mean absolute error (MAE), mean absolute percentage error (MAPE), and average relative error (ARE). The findings are summarised in Table 3. ANFIS has shown the best performance with the highest R2 values of 0.9695 and lowest errors of 2.13867, 0.74752, 0.94813, and 0.00948 for RMSE, MAE, MAPE, and ARE, respectively. The ANN followed with 0.96532, 2.24452, 1.76933, 2.3644, and 0.02364 for R2, RMSE, MAE, MAPE, and ARE, respectively, and lastly, RSM with 0.9545, 2.83316, 2.41385, 2.90697, and 0.02907 for R2, RMSE, MAE, MAPE, and ARE, respectively. The ANFIS’s better performance is justified by the fact that the ANFIS makes use of fuzzy logic and neural networks. One advantage of using the ANFIS is that it can handle input variables that are both linguistic and numerical. This makes it useful for modelling systems when it is difficult to quantify some input variables or when the data are unclear [12]. However, the performance metrics are close to each other for the three MLs used, suggesting the best performance, and they can be accepted at 95% since their R2 values are above 0.95.
Table 3.
Error metrics to evaluate the models.
4. Conclusions
This work used kaolinite geopolymer as a heterogeneous catalyst for methanolysis of waste cooking coupled with three machine learning predictive models, RSM, ANN, and ANFIS, to predict the biodiesel yield. Numerical optimisation from RSM was applied, and results indicated an optimum yield of 93.486% obtained at 15wt.%, 4 wt.%, 120 °C, and 4 h for methanol-to-oil ratio, catalyst loading, reaction temperature, and reaction time, respectively. The three machine learning methods exhibited impressive predictive modelling, with the ANFIS performing best, with low error metrics, followed by the ANN and RSM. The investigation results indicated that applying machine learning has improved the methanolysis process, leading to a more efficient and predictable yield. Integrating machine learning with chemical processes for biodiesel production can pave the way for more innovative and eco-friendly biofuel solutions. Kaolinite geopolymer can be used as a sustainable and cost-effective alternative to traditional catalysts. It is recommended that catalyst reusability be performed for future studies.
Author Contributions
Conceptualisation, P.M.; methodology, P.M.; software, P.M.; validation, P.M., H.R., and T.S.; formal analysis, P.M., H.R., and T.S.; investigation, P.M., H.R., and T.S.; resources, P.M., H.R., and T.S.; data curation, T.S.; writing—original draft preparation, P.M.; writing—review and editing, P.M., H.R., and T.S.; visualisation, P.M., H.R., and T.S.; project administration, H.R.; funding acquisition, H.R. All authors have read and agreed to the published version of the manuscript.
Funding
This research received no external funding.
Institutional Review Board Statement
Not applicable.
Informed Consent Statement
Not applicable.
Data Availability Statement
The data presented in this study are available on request from the corresponding author.
Acknowledgments
The authors would like to thank the Department of Chemical and Metallurgical Engineering of the Vaal University of Technology for providing research facilities.
Conflicts of Interest
The authors declare no conflicts of interest.
References
- Esmi, F.; Dalai, A.K.; Hu, Y. Comparison of various machine learning techniques for modeling the heterogeneous acid-catalysed alcoholysis process of biodiesel production from green seed canola oil. Energy Rep. 2024, 12, 321–328. [Google Scholar] [CrossRef]
- Mwenge, P.; Rutto, H.; Enweremadu, C. Biodiesel production using Chlor-alkali brine sludge waste as a heterogeneous catalyst: Optimisation using response surface methodology. Int. J. Sustain. Energy 2022, 41, 832–845. [Google Scholar] [CrossRef]
- Xing, Y.; Zheng, Z.; Sun, Y.; Agha Alikhani, M. A Review on Machine Learning Application in Biodiesel Production Studies. Int. J. Chem. Eng. 2021, 2021, 30. [Google Scholar] [CrossRef]
- Gupta, K.K.; Kalita, K.; Ghadai, R.K.; Ramachandran, M.; Gao, X.-Z. Machine Learning-Based Predictive Modelling of Biodiesel Production—A Comparative Perspective. Energies 2021, 14, 1122. [Google Scholar] [CrossRef]
- Paladino, O.; Neviani, M. Sustainable Biodiesel Production by Transesterification of Waste Cooking Oil and Recycling of Wastewater Rich in Glycerol as a Feed to Microalgae. Sustainability 2021, 14, 273. [Google Scholar] [CrossRef]
- Mwenge, P.; Seodigeng, T. In situ Real-Time Multivariate Analysis of Methanolysis Monitoring of Sunflower Oil Using FTIR. Int. J. Chem. Mol. Eng. 2020, 14, 136–148. [Google Scholar]
- Mwenge, P.; Rutto, H.; Enweremadu, C. Production of Biodiesel using Calcined Brine Sludge Waste from Chor-Alkali Industry as a Heterogeneous Catalyst. Environ. Clim. Technol. 2021, 25, 621–630. [Google Scholar] [CrossRef]
- Saputra, E.; Utama, P.S.; Azis, Y.; Helwani, Z.; Olivia, M.; Widayatno, W.B.; Muraza, O. Geopolymer catalysts derived from palm oil mill ash for biodiesel production from Calophyllum inophyllum oil. Appl. Nanosci. 2022, 12, 3735–3745. [Google Scholar] [CrossRef]
- Botti, R.F.; Innocentini, M.D.M.; Faleiros, T.A.; Mello, M.F.; Flumignan, D.L.; Santos, L.K.; Franchin, G.; Colombo, P. Biodiesel Processing Using Sodium and Potassium Geopolymer Powders as Heterogeneous Catalysts. Molecules 2020, 25, 2839. [Google Scholar] [CrossRef] [PubMed]
- Barbarey, M.S.; El-Sayed Seleman, M.M.; El Kheshen, A.A.; Zawrah, M.F. Utilization of ladle furnace slag for fabrication of geopolymer: Its application as catalyst for biodiesel production. Constr. Build. Mater. 2024, 411, 134226. [Google Scholar] [CrossRef]
- Moayedi, H.; Aghel, B.; Foong, L.K.; Bui, D.T. Feature validity during machine learning paradigms for predicting biodiesel purity. Fuel 2020, 262, 116498. [Google Scholar] [CrossRef]
- Banza, M.; Seodigeng, T. Modelling and Optimisation of Zinc (II) Removal from Synthetic Acid Mine Drainage via Three-Dimensional Adsorbent Using a Machine Learning Approach. In Proceedings of the ECP 2023, Virtual Event, 17–31 May 2023; p. 52. [Google Scholar] [CrossRef]
Disclaimer/Publisher’s Note: The statements, opinions and data contained in all publications are solely those of the individual author(s) and contributor(s) and not of MDPI and/or the editor(s). MDPI and/or the editor(s) disclaim responsibility for any injury to people or property resulting from any ideas, methods, instructions or products referred to in the content. |
© 2024 by the authors. Licensee MDPI, Basel, Switzerland. This article is an open access article distributed under the terms and conditions of the Creative Commons Attribution (CC BY) license (https://creativecommons.org/licenses/by/4.0/).





