Weighted Particle Swarm Optimization Algorithms and Power Management Strategies for Grid Hybrid Energy Systems †
Abstract
1. Introduction
2. Related Work
3. Proposed Methodology
3.1. System Model
3.1.1. Photovoltaic Power Output
3.1.2. Wind Power Output
3.2. Storage System Power
3.3. Power Balancing Using Power Management Mechanisms
3.4. WPSO Algorithm for the Utilization of Renewable Energy
- A large value and a lower || value is acceptable during primitive steps to guarantee that the particle continues looking for a higher range (greater ) and not towards any particular direction (lower ||). F = 1 would exhibit a balance between and which would represent a superior choice during the initial steps.
- With the increasing iterations, an increased | is advantageous to sustain the good options identified by the particles find. An increased is still beneficial, as the exploration could still be effective.
- In the final steps of the search, it would be desirable to focus on the best achieved solutions (larger ), which enclose the best known solutions (reduced || and reduced ).
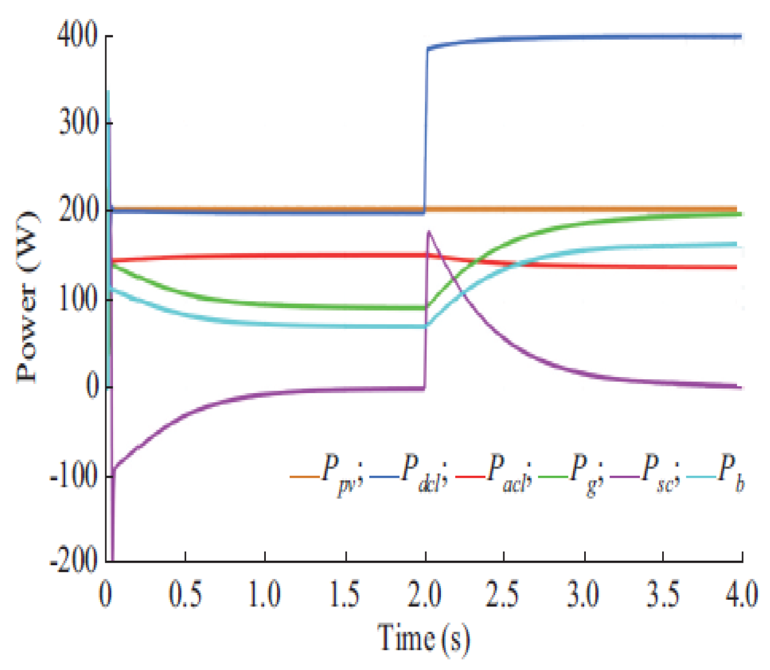
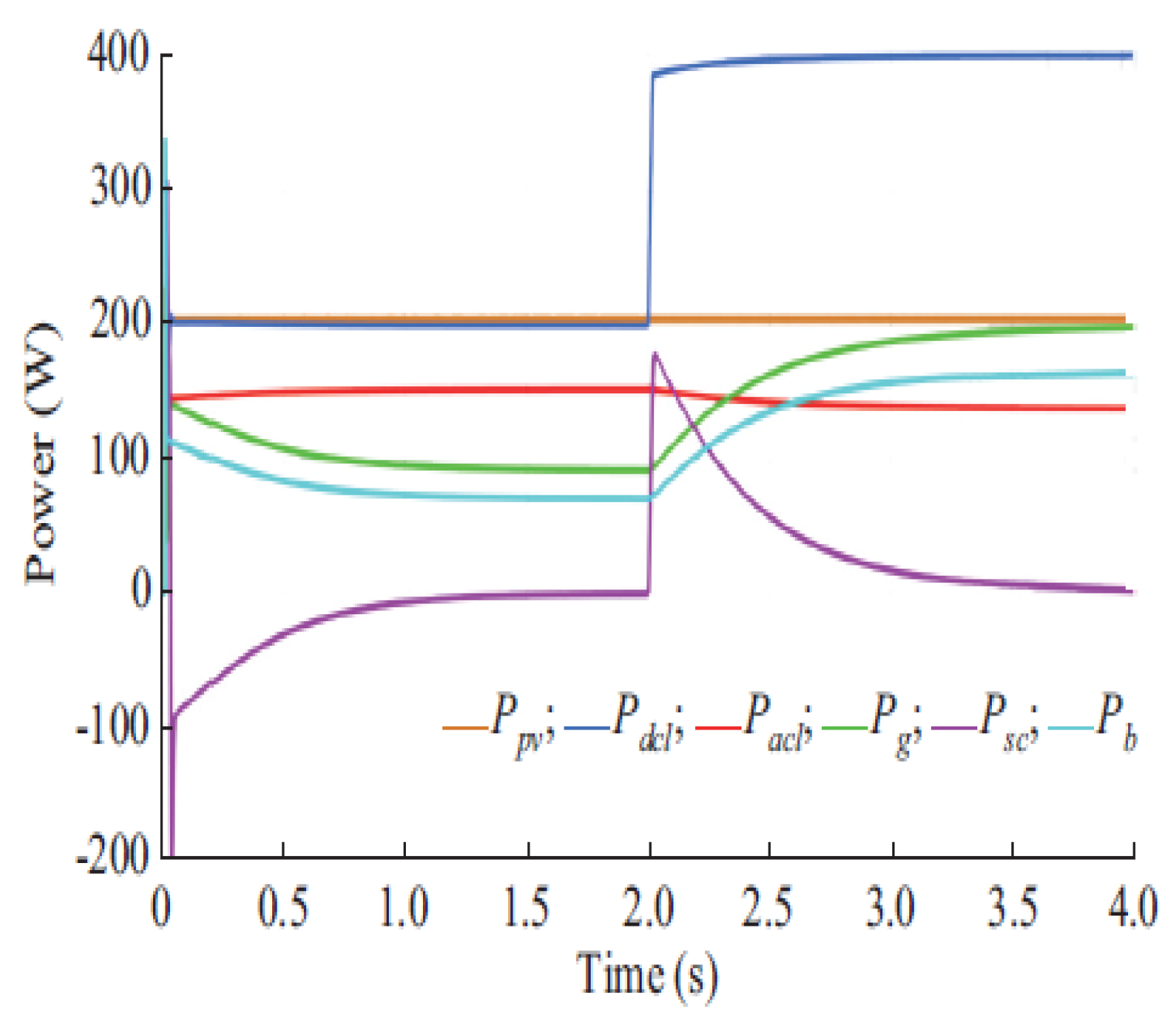
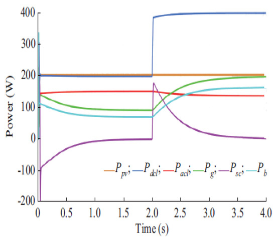
4. Results and Discussion
5. Conclusions
Author Contributions
Funding
Institutional Review Board Statement
Informed Consent Statement
Data Availability Statement
Acknowledgments
Conflicts of Interest
References
- Hosseinzadeh, M.; Salmasi, F.R. Power management of an isolated hybrid AC/DC micro-grid with fuzzy control of battery banks. IET Renew. 2015, 9, 484–493. [Google Scholar] [CrossRef]
- Lee, M.; Soto, D.; Modi, V. Cost versus reliability sizing strategy for isolated photovoltaic micro-grids in the developing world. Renew. Energ. 2014, 69, 16–24. [Google Scholar] [CrossRef]
- Bekri, M.E.; Diouri, O.; Chiadmi, D. Dynamic Inertia Weight Particle Swarm Optimization for Anomaly Detection: A Case of Precision Irrigation. J. Internet Serv. Inf. Secur. 2023, 13, 157–176. [Google Scholar] [CrossRef]
- de Souza Ribeiro, L.A.; Saavedra, O.R.; De Lima, S.L.; de Matos, J. Isolated micro-grids with renewable hybrid generation: The case of Lençóis island. IEEE Trans. Sustain. Energy 2010, 2, 1–11. [Google Scholar] [CrossRef]
- Liu, X.; Wang, P.; Loh, P.C. A hybrid AC/DC microgrid and its coordination control. IEEE Trans. Smart Grid 2011, 2, 278–286. [Google Scholar]
- TeimourzadehBaboli, P.; Shahparasti, M.; Parsa Moghaddam, M.; Haghifam, M.R.; Mohamadian, M. Energy management and operation modelling of hybrid AC-DC microgrid. IET Gener. 2014, 8, 1700–1711. [Google Scholar]
- Ozkop, E.; Sharaf, A.M.; Altas, I.H. A novel control algorithm for self-adjusting dynamic voltage stabilization scheme. Elektron. Elektrotech. 2014, 20, 33–38. [Google Scholar] [CrossRef][Green Version]
- Puladasuravi, B.M.; Hemakeshavulu, O. Optimal placement of DSTATCOM for voltage sag mitigation using an anfis based approach for power quality enhancement. Int. J. Electr. Data Commun. 2014, 2, 94–99. [Google Scholar]
- Ahmed, N.A. On-grid hybrid wind/photovoltaic/fuel cell energy system. In Proceedings of the 10th International Power & Energy Conference (IPEC), Ho Chi Minh City, Vietnam, 12–14 December 2012. [Google Scholar]
- Tummuru, N.R.; Mishra, M.K.; Srinivas, S. Dynamic energy management of renewable grid integrated hybrid energy storage system. IEEE Trans. Ind. Electron. 2015, 62, 7728–7737. [Google Scholar] [CrossRef]
- Cao, J.; Emadi, A. A new battery/ultracapacitor hybrid energy storage system for electric, hybrid, and plug-in hybrid electric vehicles. IEEE Trans. Power Electron. 2011, 27, 122–132. [Google Scholar]
- Bocklisch, T. Hybrid energy storage systems for renewable energy applications. Energy Procedia 2015, 73, 103–111. [Google Scholar] [CrossRef]
- Sanajaoba, S. Optimal sizing of off-grid hybrid energy system based on minimum cost of energy and reliability criteria using firefly algorithm. Sol. Energy 2019, 188, 655–666. [Google Scholar] [CrossRef]
- Barelli, L.; Ciupageanu, D.A.; Ottaviano, A.; Pelosi, D.; Lazaroiu, G. Stochastic power management strategy for hybrid energy storage systems to enhance large scale wind energy integration. J. Energy Storage 2020, 31, 101650. [Google Scholar] [CrossRef]
- Li, W.; Zhang, G.; Yang, X.; Tao, Z.; Xu, H. Sizing a hybrid renewable energy system by a coevolutionary multiobjective optimization algorithm. Complexity 2021, 2021, 8822765. [Google Scholar] [CrossRef]
- Anu Shalini, T.; Sri Revathi, B. Hybrid power generation forecasting using CNN based BILSTM method for renewable energy systems. Automatika 2023, 64, 127–144. [Google Scholar] [CrossRef]
- Giliberto, M.; Arena, F.; Pau, G. A fuzzy-based Solution for Optimized Management of Energy Consumption in e-bikes. J. Wirel. Mob. Netw. Ubiquitous Comput. Dependable 2019, 10, 45–64. [Google Scholar]
- Seyedmahmoudian, M.; Jamei, E.; Thirunavukkarasu, G.S.; Soon, T.K.; Mortimer, M.; Horan, B.; Stojcevski, A.; Mekhilef, S. Short-term forecasting of the output power of a building-integrated photovoltaic system using a metaheuristic approach. Energies 2018, 11, 1260. [Google Scholar] [CrossRef]
- Saeedi, S.; Khorsand, R.; Bidgoli, S.G.; Ramezanpour, M. Improved many-objective particle swarm optimization algorithm for scientific workflow scheduling in cloud computing. Comput. Ind. Eng. 2020, 147, 106649. [Google Scholar] [CrossRef]
- Gbadega, P.A.; Sun, Y. A hybrid constrained Particle Swarm Optimization-Model Predictive Control algorithm for storage energy management optimization problem in micro-grid. Energy Rep. 2022, 8, 692–708. [Google Scholar] [CrossRef]







| Parameter | Value | Unit |
|---|---|---|
| Pv (ac-250p/156-60s) | ||
| Rated power | 250 | Watt |
| GSTC | 1000 | Watt/m2 |
| GNOCT | 800 | Watt/m2 |
| NOCT | 45 | °C |
| Tamb,NOCT | 20 | °C |
| γ | 0.043 | %/°C |
| Ns | 2 | |
| Np | 5 | |
| Wind turbine (×600) | ||
| Rated power | 600 | Watt |
| Vr | 12.5 | m/s |
| Vc.in | 2.0 | m/s |
| Vc.out | 45 | m/s |
| Battery (BAE Secura 6 PVS 660) | ||
| Capacity | 595 | Ah |
| Voltage | 12 | v |
| Number of cycle (DOD = 70) | 1800 | cycle |
| Efficiency | 80 | % |
| Socmin | 30 | % |
| Socmax | 100 | % |
| Number of batteries | 2 | |
| Cost of battery | 2110.05 | $ |
| Diesel generator | ||
| Rated power | 4 | kW |
| USP–75 PV Module (www.uslsolar.com) (Accessed on 12 June 2023) | ||
|---|---|---|
| Parameter | Variable | Value |
| Maximum power | Pm | 75 W |
| Voltage @ Pm | Vm | 17.1 V |
| Current @ Pm | Im | 4.39 A |
| Short circuit current | Isc | 4.39 A |
| Open-circuit voltage | Voc | 21.5 V |
Disclaimer/Publisher’s Note: The statements, opinions and data contained in all publications are solely those of the individual author(s) and contributor(s) and not of MDPI and/or the editor(s). MDPI and/or the editor(s) disclaim responsibility for any injury to people or property resulting from any ideas, methods, instructions or products referred to in the content. |
© 2023 by the authors. Licensee MDPI, Basel, Switzerland. This article is an open access article distributed under the terms and conditions of the Creative Commons Attribution (CC BY) license (https://creativecommons.org/licenses/by/4.0/).
Share and Cite
Ramanathan, U.; Rajendran, S. Weighted Particle Swarm Optimization Algorithms and Power Management Strategies for Grid Hybrid Energy Systems. Eng. Proc. 2023, 59, 123. https://doi.org/10.3390/engproc2023059123
Ramanathan U, Rajendran S. Weighted Particle Swarm Optimization Algorithms and Power Management Strategies for Grid Hybrid Energy Systems. Engineering Proceedings. 2023; 59(1):123. https://doi.org/10.3390/engproc2023059123
Chicago/Turabian StyleRamanathan, Udayakumar, and Sugumar Rajendran. 2023. "Weighted Particle Swarm Optimization Algorithms and Power Management Strategies for Grid Hybrid Energy Systems" Engineering Proceedings 59, no. 1: 123. https://doi.org/10.3390/engproc2023059123
APA StyleRamanathan, U., & Rajendran, S. (2023). Weighted Particle Swarm Optimization Algorithms and Power Management Strategies for Grid Hybrid Energy Systems. Engineering Proceedings, 59(1), 123. https://doi.org/10.3390/engproc2023059123
