Anion Removal by Magnetic Carbon Xerogel Nanocomposite: The Role of Fe3O4 Nanoparticles, Catalyst, Carbonization, and H2O2 Surface Modification †
Abstract
:1. Introduction
2. Materials and Methods
2.1. Preparation of Fe3O4 Nanoparticles and Magnetic Carbon Xerogel Nanocomposites
2.2. Characterization
2.3. Adsorption of Anions and Determination of Arsenic and Fluoride
3. Results
3.1. Characterization of Magnetic Carbon Xerogel Nanocomposites
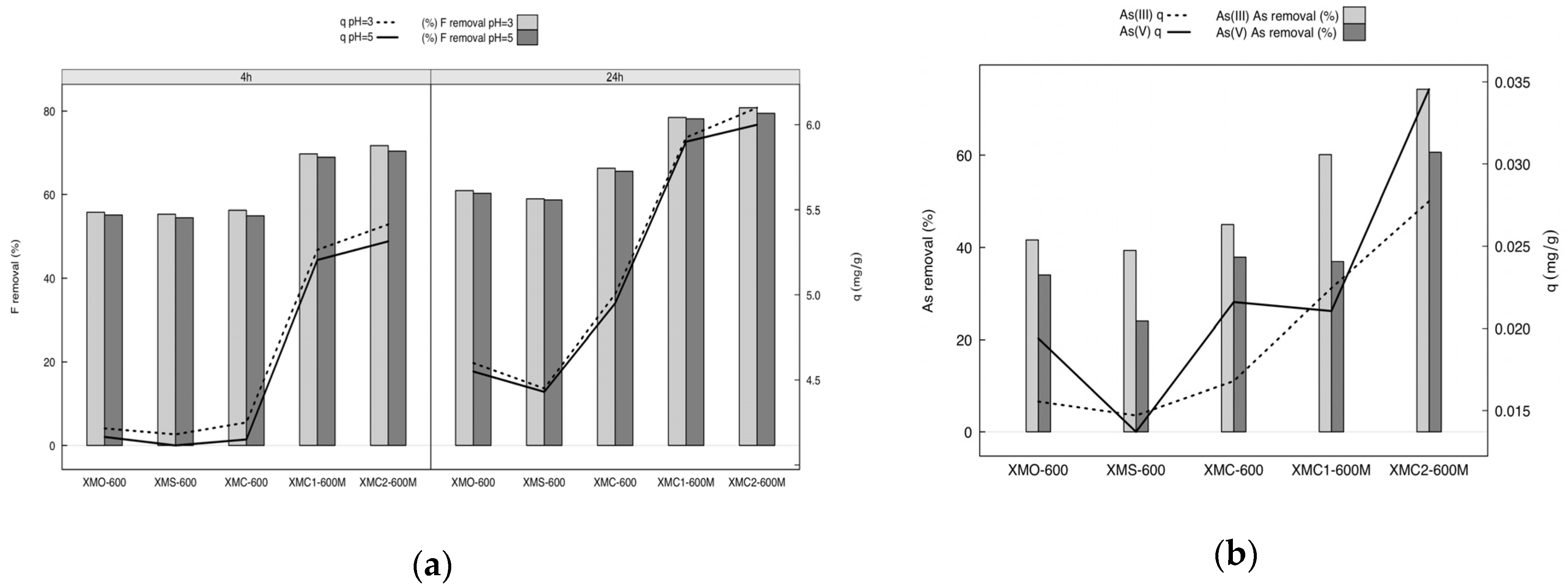
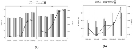
3.2. Batch Adsorption Experiments for Anions
4. Discussion
5. Conclusions
Author Contributions
Funding
Institutional Review Board Statement
Informed Consent Statement
Data Availability Statement
Acknowledgments
Conflicts of Interest
References
- Jadhav, S.V.; Bringas, E.; Yadav, G.D.; Rathod, V.K.; Ortiz, I.; Marathe, K.V. Arsenic and Fluoride Contaminated Groundwaters: A Review of Current Technologies for Contaminants Removal. J. Environ. Manag. 2015, 162, 306–325. [Google Scholar] [CrossRef] [PubMed]
- Alarcón-Herrera, M.T.; Martin-Alarcon, D.A.; Gutiérrez, M.; Reynoso-Cuevas, L.; Martín-Domínguez, A.; Olmos-Márquez, M.A.; Bundschuh, J. Co-Occurrence, Possible Origin, and Health-Risk Assessment of Arsenic and Fluoride in Drinking Water Sources in Mexico: Geographical Data Visualization. Sci. Total Environ. 2020, 698, 134168. [Google Scholar] [CrossRef] [PubMed]
- Lata, S.; Samadder, S.R. Removal of Arsenic from Water Using Nano Adsorbents and Challenges: A Review. J. Environ. Manag. 2016, 166, 387–406. [Google Scholar] [CrossRef] [PubMed]
- Mehta, D.; Mazumdar, S.; Singh, S.K. Magnetic Adsorbents for the Treatment of Water/Wastewater-A Review. J. Water Process Eng. 2015, 7, 244–265. [Google Scholar] [CrossRef]
- Embaby, M.A.; Abdel Moniem, S.M.; Fathy, N.A.; El-kady, A.A. Nanocarbon Hybrid for Simultaneous Removal of Arsenic, Iron and Manganese Ions from Aqueous Solutions. Heliyon 2021, 7, e08218. [Google Scholar] [CrossRef] [PubMed]
- Khamkure, S.; Bustos-Terrones, V.; Benitez-Avila, N.J.; Cabello-Lugo, M.F.; Gamero-Melo, P.; Garrido-Hoyos, S.E.; Esparza-Schulz, J.M. Effect of Fe3O4 Nanoparticles on Magnetic Xerogel Composites for Enhanced Removal of Fluoride and Arsenic from Aqueous Solution. Water Sci. Eng. 2022, 15, 305–317. [Google Scholar] [CrossRef]
- Taimoory, S.M.; Trant, J.F.; Rahdar, A.; Aliahmad, M.; Sadeghfar, F.; Hashemzaei, M. Importance of the Inter-Electrode Distance for the Electrochemical Synthesis of Magnetite Nanoparticles: Synthesis, Characterization, Computational Modelling, and Cytotoxicity. e-J. Surf. Sci. Nanotechnol. 2017, 15, 31–39. [Google Scholar] [CrossRef]
- Wang, M.; Ni, Y.; Liu, A. Fe3O4@Resorcinol-Formaldehyde Resin/Cu2O Composite Microstructures: Solution-Phase Construction, Magnetic Performance, and Applications in Antibacterial and Catalytic Fields. ACS Omega 2017, 2, 1505–1512. [Google Scholar] [CrossRef] [PubMed]
- Prostredný, M.; Abduljalil, M.; Mulheran, P.; Fletcher, A. Process Variable Optimization in the Manufacture of Resorcinol–Formaldehyde Gel Materials. Gels 2018, 4, 36. [Google Scholar] [CrossRef] [PubMed]
- Sharma, M.; Kalita, P.; Garg, A.; Senapati, K.K. Magnetic Nanoparticles as an Effective Adsorbent for Removal of Fluoride—A Review. MOJ Ecol. Environ. Sci. 2018, 3, 207–210. [Google Scholar] [CrossRef]
- Scheverin, V.N.; Russo, A.V.; Horst, M.F.; Jacobo, S.; Lassalle, V.L. Design of Magnetic Nanotechnological Devices for the Removal of Fluoride from Groundwater. Clean Eng. Technol. 2021, 3, 100097. [Google Scholar] [CrossRef]




Disclaimer/Publisher’s Note: The statements, opinions and data contained in all publications are solely those of the individual author(s) and contributor(s) and not of MDPI and/or the editor(s). MDPI and/or the editor(s) disclaim responsibility for any injury to people or property resulting from any ideas, methods, instructions or products referred to in the content. |
© 2023 by the authors. Licensee MDPI, Basel, Switzerland. This article is an open access article distributed under the terms and conditions of the Creative Commons Attribution (CC BY) license (https://creativecommons.org/licenses/by/4.0/).
Share and Cite
Khamkure, S.; Bustos-Terrones, V.; Cabello-Lugo, M.-F.; Benitez-Avila, N.-J.; Pacheco-Catalán, D.-E.; Gamero-Melo, P.; Reyes-Rosas, A. Anion Removal by Magnetic Carbon Xerogel Nanocomposite: The Role of Fe3O4 Nanoparticles, Catalyst, Carbonization, and H2O2 Surface Modification. Eng. Proc. 2023, 56, 93. https://doi.org/10.3390/ASEC2023-15290
Khamkure S, Bustos-Terrones V, Cabello-Lugo M-F, Benitez-Avila N-J, Pacheco-Catalán D-E, Gamero-Melo P, Reyes-Rosas A. Anion Removal by Magnetic Carbon Xerogel Nanocomposite: The Role of Fe3O4 Nanoparticles, Catalyst, Carbonization, and H2O2 Surface Modification. Engineering Proceedings. 2023; 56(1):93. https://doi.org/10.3390/ASEC2023-15290
Chicago/Turabian StyleKhamkure, Sasirot, Victoria Bustos-Terrones, María-Fernanda Cabello-Lugo, Nancy-Jakelin Benitez-Avila, Daniella-Esperanza Pacheco-Catalán, Prócoro Gamero-Melo, and Audberto Reyes-Rosas. 2023. "Anion Removal by Magnetic Carbon Xerogel Nanocomposite: The Role of Fe3O4 Nanoparticles, Catalyst, Carbonization, and H2O2 Surface Modification" Engineering Proceedings 56, no. 1: 93. https://doi.org/10.3390/ASEC2023-15290
APA StyleKhamkure, S., Bustos-Terrones, V., Cabello-Lugo, M.-F., Benitez-Avila, N.-J., Pacheco-Catalán, D.-E., Gamero-Melo, P., & Reyes-Rosas, A. (2023). Anion Removal by Magnetic Carbon Xerogel Nanocomposite: The Role of Fe3O4 Nanoparticles, Catalyst, Carbonization, and H2O2 Surface Modification. Engineering Proceedings, 56(1), 93. https://doi.org/10.3390/ASEC2023-15290

