Predictive Model for Load-Carrying Capacity of Reinforced Concrete Beam–Column Joints Using Gene Expression Programming †
Abstract
:1. Introduction
2. Materials, Methods, and Model Validation
3. GEP Algorithm
4. Results and Discussions
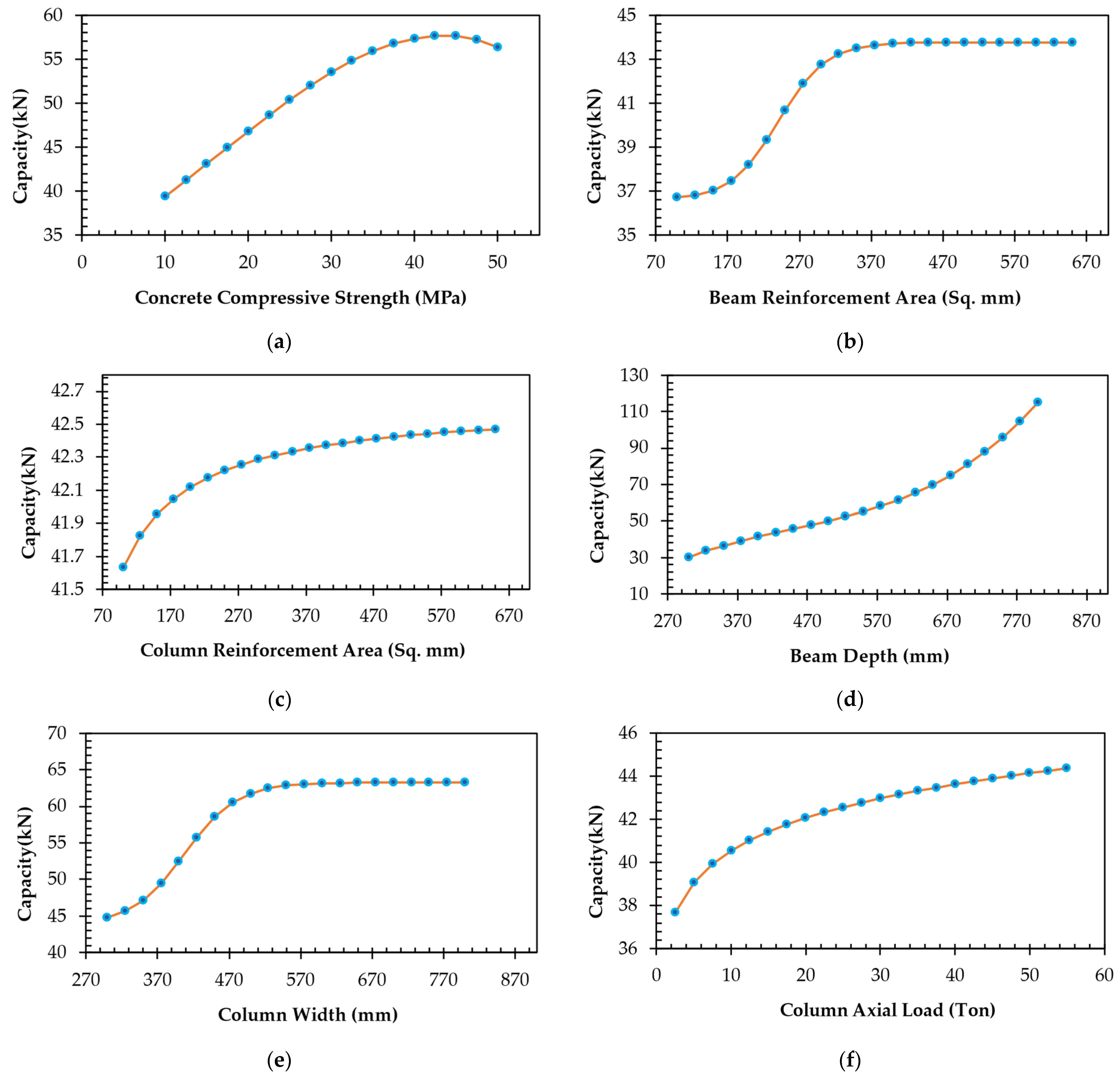
4.1. Parametric Study
4.2. Proposed GEP Model for Estimating Load-Carrying Capacity of BCJs
5. Conclusions
Author Contributions
Funding
Institutional Review Board Statement
Informed Consent Statement
Data Availability Statement
Conflicts of Interest
References
- Murad, Y.Z. Analytical and Numerical Assessment of Seismically Vulnerable Corner Connections under Bidirectional Loading in RC Framed Structures; Imperial College London: London, UK, 2016. [Google Scholar]
- Murad, Y. Joint shear strength models for exterior RC beam-column connections exposed to biaxial and uniaxial cyclic loading. J. Build. Eng. 2020, 30, 101225. [Google Scholar] [CrossRef]
- Vollum, R.L.; Newman, J.B. Strut and tie models for analysis/design of external beam±column joints. Mag. Concr. Res. 2001, 53, 63–66. [Google Scholar] [CrossRef]
- Murad, Y.Z.; Hunifat, R.; AL-Bodour, W. Interior Reinforced Concrete Beam-to-Column Joints Subjected to Cyclic Loading: Shear Strength Prediction using Gene Expression Programming. Case Stud. Constr. Mater. 2020, 13, e00432. [Google Scholar] [CrossRef]
- Armaghani, D.J.; Hatzigeorgiou, G.D.; Karamani, C.; Skentou, A.; Zoumpoulaki, I.; Asteris, P.G. Soft computing-based techniques for concrete beams shear strength. Procedia Struct. Integr. 2019, 17, 924–933. [Google Scholar] [CrossRef]
- Chen, X.L.; Fu, J.P.; Yao, J.L.; Gan, J.F. Prediction of shear strength for squat RC walls using a hybrid ANN–PSO model. Eng. Comput. 2018, 34, 367–383. [Google Scholar] [CrossRef]
- Marie, H.S.; Abu el-hassan, K.; Almetwally, E.M.; El-Mandouh, M.A. Joint shear strength prediction of beam-column connections using machine learning via experimental results. Case Stud. Constr. Mater. 2022, 17, e01463. [Google Scholar] [CrossRef]
- Feng, D.-C.; Fu, B. Shear Strength of Internal Reinforced Concrete Beam-Column Joints: Intelligent Modeling Approach and Sensitivity Analysis. Adv. Civ. Eng. 2020, 2020, 8850417. [Google Scholar] [CrossRef]
- Alwanas, A.H.; Al-Musawi, A.A.; Salih, S.Q.; Tao, H.; Ali, M.; Yaseen, Z.M. Load-carrying capacity and mode failure simulation of beam-column joint connection: Application of self-tuning machine learning model. Eng. Struct. 2019, 194, 220–229. [Google Scholar] [CrossRef]
- Naderpour, H.; Mirrashid, M. Classification of failure modes in ductile and non-ductile concrete joints. Eng. Fail Anal. 2019, 103, 361–375. [Google Scholar] [CrossRef]
- Badrashi, Y.I. Response Modification Factors for Reinforced Concrete Buildings in Pakistan. Ph.D. Thesis, University of Engineering and Technology, Peshawar, Pakistan, 2016. [Google Scholar]
- Hafezolghorani, M.; Hejazi, F.; Vaghei, R.; Jaafar, M.S.B.; Karimzade, K. Simplified damage plasticity model for concrete. Struct. Eng. Int. 2017, 27, 68–78. [Google Scholar] [CrossRef]
- Tariq, M.; Khan, A.; Ullah, A.; Shayanfar, J.; Niaz, M. Improved Shear Strength Prediction Model of Steel Fiber Reinforced Concrete Beams by Adopting Gene Expression Programming. Materials 2022, 15, 3758. [Google Scholar] [CrossRef] [PubMed]
- Tariq, M.; Khan, A.; Ullah, A.; Zamin, B.; Kashyzadeh, K.R.; Ahmad, M. Gene Expression Programming for Estimating Shear Strength of RC Squat Wall. Buildings 2022, 12, 918. [Google Scholar] [CrossRef]
- Tariq, M.; Khan, A.; Shayanfar, J.; Hanif, M.U.; Ullah, A. A regression model for predicting the shear strength of RC knee joint subjected to opening and closing moment. J. Build. Eng. 2021, 41, 2727. [Google Scholar] [CrossRef]
- Pham, T.M.; Hao, H. Prediction of the impact force on reinforced concrete beams from a drop weight. Adv. Struct. Eng. 2016, 19, 1710–1722. [Google Scholar] [CrossRef]
- Tariq, M.; Khan, A.; Ullah, A. Predicting the Response of RC Beam from a Drop-Weight Using Gene Expression Programming. Materials 2022, 15, 6910. [Google Scholar] [CrossRef] [PubMed]







| Details | Concrete | Reinforcement Steel |
|---|---|---|
| Mass Density(kg/m3) | 2400 | 7850 |
| Compressive Strength (MPa) | 13.79 | 414 |
| Yield Strength (MPa) | - | 275 |
| Tensile Strength (MPa) | 1.379 | 414 |
| Poisson’s Ratio | 0.2 | 0.3 |
| Elastic Modulus (MPa) | 19,546 | 200,000 |
Disclaimer/Publisher’s Note: The statements, opinions and data contained in all publications are solely those of the individual author(s) and contributor(s) and not of MDPI and/or the editor(s). MDPI and/or the editor(s) disclaim responsibility for any injury to people or property resulting from any ideas, methods, instructions or products referred to in the content. |
© 2023 by the authors. Licensee MDPI, Basel, Switzerland. This article is an open access article distributed under the terms and conditions of the Creative Commons Attribution (CC BY) license (https://creativecommons.org/licenses/by/4.0/).
Share and Cite
Waqas, H.A.; Sahil, M.; Khan, M.M.; Hasnain, M. Predictive Model for Load-Carrying Capacity of Reinforced Concrete Beam–Column Joints Using Gene Expression Programming. Eng. Proc. 2023, 56, 67. https://doi.org/10.3390/ASEC2023-15363
Waqas HA, Sahil M, Khan MM, Hasnain M. Predictive Model for Load-Carrying Capacity of Reinforced Concrete Beam–Column Joints Using Gene Expression Programming. Engineering Proceedings. 2023; 56(1):67. https://doi.org/10.3390/ASEC2023-15363
Chicago/Turabian StyleWaqas, Hafiz Ahmed, Mehran Sahil, Muhammad Mansoor Khan, and Muhammad Hasnain. 2023. "Predictive Model for Load-Carrying Capacity of Reinforced Concrete Beam–Column Joints Using Gene Expression Programming" Engineering Proceedings 56, no. 1: 67. https://doi.org/10.3390/ASEC2023-15363
APA StyleWaqas, H. A., Sahil, M., Khan, M. M., & Hasnain, M. (2023). Predictive Model for Load-Carrying Capacity of Reinforced Concrete Beam–Column Joints Using Gene Expression Programming. Engineering Proceedings, 56(1), 67. https://doi.org/10.3390/ASEC2023-15363

