Abstract
The potential for bioremediation of olive mill wastewaters with different origins—olive washing (OWW) and olive oil extraction (OMW)—among four species of microalgae (Chlorella vulgaris, Auxenochlorella protothecoides, Scenedesmus obliquus, and Arthrospira maxima) was evaluated. All microalgae could grow in the wastewaters, but C. vulgaris and C. protothecoides showed the best performances. The highest biomass productivities of 165.8 mg L−1 day−1 for OMW and 107.9 mg L−1 day−1 for OWW were achieved with C. vulgaris and A. protothecoides, respectively. Moreover, with both species, COD and nitrate contents of the two wastewaters were reduced by 60 and more than 50%, respectively. However, significant removal of polyphenols was verified only in OWW (~45%). Overall, these findings demonstrate the potential of C. vulgaris and A. protothecoides species to be used in a biological olive mill wastewater treatment process.
1. Introduction
The olive oil industry is an important sector within the agro-food industries in Mediterranean countries, but it constitutes a major environmental problem regarding the disposal of its wastewaters. Olive mill wastewater is a turbid, dark-coloured, foul-smelling, and acidic effluent, and its compositions depend on several factors, including, especially, the characteristics of the olive oil extraction equipment. The extraction process has evolved over the years from discontinuous (press method) to continuous methods using centrifugal separators. At first, a process with a decanter with three outlets (olive oil, pomace, and wastewater) was used, but to reduce the environmental impact generated, the number of outlets was reduced to two, with one for olive oil and the other for pomace and vegetable water (and process water). In the two-phase system, wastewaters are produced at a lower volume and have less organic load; however, large amounts of semisolid wastes are also produced [1,2].
Nowadays, chemical, biological, and integrated technologies are used for the treatment of these wastewaters. As they present low biodegradability due to their antibacterial activity given by the phenolic content, the use of different physicochemical operations is necessary to reduce toxicity. In addition, these processes are also efficient in reducing suspended solids and, consequently, organic matter content [1]. Bioremediation through microalgae is an interesting option because it is an environmentally friendly process, as wastewaters can be used as cheap nutrient sources for microalgal biomass production, which could be a source of stored chemical bond energy, especially lipids, carbohydrates, and proteins [3,4]. In fact, microalgal cultivation has been successfully used in the treatment of two-phase olive mill wastewaters, combined with other physicochemical operations (e.g., [4,5,6]).
The main objective of this work was to evaluate the potential for bioremediation of two OMWs with different origins—olive washing (OWW) and olive oil extraction (OMW)—by microalgae. Three species of green microalgae, Chlorella vulgaris, Auxenochlorella protothecoides, and Scenedesmus obliquus, were used, as well as the cyanobacterium Arthrospira maxima.
2. Materials and Methods
2.1. Microalgae
The microalgae cultures were obtained from the National Laboratory of Energy and Geology (LNEG) in Lumiar, Lisbon, Portugal. Chlorella vulgaris (INETI 58) and Auxenochlorella protothecoides (UTEX 25) were maintained in an inorganic medium containing, per liter, 1.25 g of KNO3, 1.25 g of KH2PO4, 1 g of MgSO4.7H2O, 0.11 g of CaCl2.2H2O, 0.5 g of NaHCO3, 10 mL of Fe-EDTA solution, and 10 mL of trace elements solution (Chu medium). Scenedesmus obliquus (ACOI 204/07) was maintained in Bristol medium containing, per liter, 250 mg of NaNO3, 75 mg of K2HPO4, 33 mg of CaCl2.2H2O, 75 mg of MgSO4.7H2O, 175 mg of KH2PO4, 25 mg of NaCl, 60 mg of Fe-EDTA, and 10 mL of Chu medium. Arthrospira (Spirulina) maxima (Setchell & Gardner, LB 2342) was maintained in a standard inorganic medium for Spirulina containing, per liter, 1.25 g of NaNO3, 8.4 g of NaHCO3, 500 mg of NaCl, 500 mg of K2SO4, 250 mg of K2HPO4, 40 mg of EDTA, 26.5 mg of CaCl2.2H2O, 5 mg of FeSO4.7H2O, 100 mg of MgSO4.7H2O, and 1 mL of trace elements solution [7].
2.2. Wastewaters
The olive mill wastewaters used in this work were obtained from an olive oil extraction plant in the Douro region, northern Portugal, which uses a continuous centrifugation process with two outlets (olive oil and pomace). It was collected as part of the liquid fraction of the pomace reservoir (hereafter referred to as OMW) and washing wastewater from another reservoir (OWW).
2.3. Experimental Setup
Prior to microalgae culture, wastewaters were pre-treated through a 24 h sedimentation and a tyndallisation process, which consisted of heating at 80 °C during 2 h, followed by cooling at room temperature, and repeating these processes three days in succession. Tyndallised wastewater was stored at 4 °C until further use. Then, the culture media were prepared by diluting the OMWs with inorganic media (appropriate for each species), which were 5% and 50%, v/v, for OMW and OWW, respectively. Finally, 5% (v/v) of each microalgae inoculum was added. All experiments were conducted in duplicate in 250 mL Erlenmeyer flasks incubated in an orbital shaker (New Brunswick Scientific) at 23 ± 2 °C under an agitation speed of 100 rpm and kept under continuous illumination (light intensity of 20–25 µmol photons m−2 s−1 supplied by a white 18 W LED lamp). Wastewaters without inoculum were used as a control.
2.4. Analytical Determinations
The following parameters were determined for raw wastewaters: pH, electric conductivity (EC), turbidity, total suspended solids (TSS), total organic carbon (TOC), chemical oxygen demand (COD), biochemical oxygen demand (BOD), polyphenols, orthophosphate (P-PO4), total nitrogen (TN), and nitrates (NO3).
pH, EC, turbidity values, and TSS were directly measured by using a pH meter (Crison micro pH 2000), a conductivity meter (VWR C030), a turbidimeter (2100N IS, HACH), and a UV/VIS-Spectrophotometer (HACH), respectively. TOC and TN were analyzed in a Shimadzu TOC–L with a TN unit and an ASI-L autosampler. COD and BOD were measured according to Standard Methods 5220D and 5210D (using a System Oxitop Control), respectively [8]. Polyphenols were determined through spectrophotometry using the Folin–Ciocalteu reagent (Merck) and expressed as equivalent mg gallic acid L−1. P-PO4 was measured according to Standard Method 4500-P E [8] and NO3 according to [9].
Microalgae growth was monitored daily by calculating the biomass dry weight (DW) by filtering the samples with a glass microfiber of 1.6 μm pore size and drying overnight at 105 °C. Biomass productivity (PX, mg L−1 day−1) was calculated according to the equation
where DW, mg/L is the biomass concentration at any time of the experiment and DW0 g/L is the biomass concentration at the beginning of the experiment (t = 0 days). After filtration of the culture samples, the filtrate was collected and characterized in terms of pH, COD, polyphenols, P-PO4, and NO3 to evaluate the efficiency of the treatment.
Px = (DW − DW0)/(t − t0),
3. Results and Discussion
3.1. Wastewater Compositions
The main physicochemical characteristics of sedimented wastewaters used in this work are summarized in Table 1. Particularly evident are the high turbidity (given by high TSS) and organic matter content, particularly in OMW, which presents excessive TOC, COD, and BOD5 values. From an environmental point of view, this is a problem, and an efficient solution for the treatment of these wastewaters is required. Polyphenol contents are also relevant. These compounds are transferred to OMW during olive crushing and olive oil washing, and phenolic compounds are toxic to microorganisms and plants [1]. Therefore, to reduce the organic matter, turbidity, and toxicity, the effluent was diluted with inorganic media at 5% and 50% (v/v), for OMW and OWW, prior to the microalgal cultivation.
Table 1.
Characterization of the wastewaters used.
It is reported that an optimal C/N/P mass ratio of 46.1/7.7/1 can be deduced for microalgae [10]. It seems that the wastewaters in this work were N-deficient, particularly in OWW, as C/N ratios are high (17.8 and 71.5 in OMW and OWW, respectively), whereas N/P ratios are close to optimum (7.7) in OMW and very low (1.9) in OWW.
3.2. Microalgal Growth
From the growth curves represented in Figure 1, the complexity of the effluents is clear. During the first 3 days, the four species of microalgae showed similar behavior, with low productivity (lag phase) followed by an abrupt increase in the biomass in the case of C. vulgaris and A. protothecoides and, finally, a deceleration growth phase. The species S. obliquus showed the least adaptability to both wastewaters.
Figure 1.
Evolution of the concentration of biomass, given by dry weight (DW), over time in OWW and OMW.
Higher productivities (Table 2) were achieved in OMW, as this wastewater has a higher amount of organic matter, which leads to greater availability of nutrients for the growth of microalgae. However, in the case of OMW, cellular death was observed after 4 days (Figure 1, OMW). This means that despite the greater availability of nutrients, the toxicity of the effluent is overpowering.
Table 2.
Maximal productivities for each species in olive washing wastewater diluted at 50% (OWW) and olive oil extraction diluted at 5% (OMW).
Overall, in both wastewaters, C. vulgaris and A. protothecoides showed the highest productivities (Table 2). Using A. protothecoides, a maximum value of 165.8 mg L−1 day−1 was achieved for OMW, and for OWW, it was 107.9 mg L−1 day−1 using C. vulgaris.
3.3. Bioremediation Potential
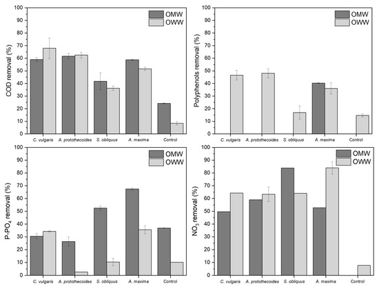
To evaluate the bioremediation potential of the microalgae, the removal of the pollutant in terms of COD, polyphenols, P-PO4, and NO3 was calculated. Microalgae can consume organic carbon from wastewaters using a heterotrophic path if light is absent or a mixotrophic one by combining autotrophic (photosynthesis) and heterotrophic metabolisms [11]. Phenolic compounds are considered toxic to many microalgae, but they can also be considered carbon and energy sources. It is suggested that microalgae can remove phenolic compounds through mineralization to carbon dioxide or biochemical modification to other compounds [12]. Nitrogen and phosphorous are the two most important macronutrients in microalgae metabolism. Microalgae can assimilate NO3, which is one of the most common inorganic nitrogen forms in aquatic environments, by first reducing it to ammonium, and it can incorporate phosphorous in its orthophosphate forms (H2PO4− and HPO42−) through phosphorylation [13].
One can see in Figure 2 that in control (non-inoculated) wastewaters some removal of the pollutants was verified, which can be explained by the proliferation of other heterotrophic microorganisms, such as bacteria, fungi, and protozoa, which compete with microalgae. The most easily reduced pollutant by microalgae was nitrate. A removal of more than 50% in all cultures was observed. Generally, comparing wastewaters, all microalgae present similar performances when removing COD. Despite the great availability of organic matter, the best removals were 62% for OMW and 68% for OWW in cultures of C. protothecoides and C. vulgaris, respectively. The effluents were somewhat recalcitrant to the microalgae treatment. The most significant removals of P-PO4 were verified with Arthrospira (67.0% for OMW and 36.0% for washing wastewater). Because phenolic compounds are toxic for microalgae, a significant removal was not expected, particularly in OMW. In fact, the removal of polyphenols did not exceed 45 % for OWW using both Chlorella species, and in OMW, only Arthrospira maxima could consume this pollutant (~40%).
Figure 2.
Removals of COD, polyphenols, P-PO4, and NO3 by microalgae in OMW and OWW.
4. Conclusions
Although microalgae can grow in these olive mill wastewaters and show potential for their bioremediation, further studies will not be feasible if this effluent is not subjected to a more complex primary treatment due to its toxicity. Some viable options could be physicochemical methods, such as coagulation–flocculation, and chemical oxidation, such as Fenton or photo-Fenton, to reduce organic matter, turbidity, and toxicity.
Considering the pollutants removal and biomass productivities, the species C. vulgaris and A. protothecoides could be employed in the secondary treatment of olive mill wastewaters.
Author Contributions
Conceptualization, L.M., O.T. and M.S.L.; methodology, L.M. and O.T.; software, L.M. and O.T.; validation, L.M., O.T., M.S.L. and J.A.P.; formal analysis, L.M.; investigation, L.M. and O.T.; resources, P.B.T., J.A.P. and M.S.L.; writing—original draft preparation, L.M.; writing—review and editing, L.M., O.T., P.B.T., M.S.L. and J.A.P.; visualization, L.M., M.S.L. and J.A.P.; supervision, P.B.T., J.A.P. and M.S.L.; project administration, M.S.L.; funding acquisition, P.B.T., J.A.P. and M.S.L. All authors have read and agreed to the published version of the manuscript.
Funding
Leonilde Marchão acknowledges the financial support provided by national funds through FCT—Portuguese Foundation for Science and Technology (PD/BD/150259/2019) under the Doctoral Programme “Agricultural Production Chains—from fork to farm” (PD/00122/2012) and from the European Social Funds and the Regional Operational Programme Norte 2020. The authors also acknowledge the OBTain (NORTE-01-0145-FEDER-000084) project co-financed by the European Regional Development Fund (ERDF) through NORTE 2020 and FCT for the financial support to CQVR (UIDB/00616/2020).
Institutional Review Board Statement
Not applicable.
Informed Consent Statement
Not applicable.
Data Availability Statement
Data are contained within the article.
Conflicts of Interest
The authors declare no conflicts of interest.
References
- Amor, C.; Marchão, L.; Lucas, M.S.; Peres, J.A. Application of Advanced Oxidation Processes for the Treatment of Recalcitrant Agro-Industrial Wastewater: A Review. Water 2019, 11, 205. [Google Scholar] [CrossRef]
- Ioannou-Ttofa, L.; Michael-Kordatou, I.; Fattas, S.C.; Eusebio, A.; Ribeiro, B.; Rusan, M.; Amer, A.R.B.; Zuraiqi, S.; Waismand, M.; Linder, C.; et al. Treatment efficiency and economic feasibility of biological oxidation, membrane filtration and separation processes, and advanced oxidation for the purification and valorization of olive mill wastewater. Water Res. 2017, 114, 1–13. [Google Scholar] [CrossRef] [PubMed]
- Marchão, L.; Fernandes, J.R.; Sampaio, A.; Peres, J.A.; Tavares, P.B.; Lucas, M.S. Microalgae and immobilized TiO2/UV-A LEDs as a sustainable alternative for winery wastewater treatment. Water Res. 2021, 203, 117464. [Google Scholar] [CrossRef]
- Hodaifa, G.; Malvis, A.; Maaitah, M. Combination of physicochemical operations and algal culture as a new bioprocess for olive mill wastewater treatment. Biomass Bioenergy 2020, 138, 105603. [Google Scholar] [CrossRef]
- Malvis, A.; Hodaifa, G.; Halioui, M.; Seyedsalehi, M.; Sánchez, S. Integrated process for olive oil mill wastewater treatment and its revalorization through the generation of high added value algal biomass. Water Res. 2019, 151, 332–342. [Google Scholar] [CrossRef] [PubMed]
- Maaitah, M.; Hodaifa, G.; Malvis, A.; Sánchez, S. Kinetic growth and biochemical composition variability of Chlorella pyrenoidosa in olive oil washing wastewater cultures enriched with urban wastewater. J. Water Process Eng. 2020, 35, 101197. [Google Scholar] [CrossRef]
- Vonshak, A. Laboratory techniques for the cultivation of microalgae. In CRC Handbook of Microalgal Mass; Culture, R.A., Ed.; CRC Press: Boca Raton, FL, USA, 1986; pp. 117–143. [Google Scholar]
- APHA. Standard Methods for the Examination of Water and Wastewater, 20th ed.; American Public Health Association: Washington, DC, USA, 1998; Volume 51. [Google Scholar] [CrossRef]
- Comissão Técnica C 720/CT 72. Determinação de Nitratos. Parte 1: Método Espectrométrico do 2,6 Dimetilfenol. NP 4338-1, 1st ed.; Instituto Português da Qualidade: Monte da Caparica, Portugal, 1996. [Google Scholar]
- Hillebrand, H.; Sommer, U. The nutrient stoichiometry of benthic microalgal growth: Redfield are optimal proportions. Limnol Ocean. 1999, 44, 440–446. [Google Scholar] [CrossRef]
- Mata, T.M.; Martins, A.; Caetano, N.S. Microalgae for biodiesel production and other applications: A review. Renew Sustain. Energy Rev. 2010, 14, 217–232. [Google Scholar] [CrossRef]
- Lindner, A.V.; Pleissner, D. Utilization of phenolic compounds by microalgae. Algal Res. 2019, 42, 101602. [Google Scholar] [CrossRef]
- Gonçalves, A.L.; Pires, J.C.M.; Simões, M. A review on the use of microalgal consortia for wastewater treatment. Algal Res. 2017, 24, 403–415. [Google Scholar] [CrossRef]
Disclaimer/Publisher’s Note: The statements, opinions and data contained in all publications are solely those of the individual author(s) and contributor(s) and not of MDPI and/or the editor(s). MDPI and/or the editor(s) disclaim responsibility for any injury to people or property resulting from any ideas, methods, instructions or products referred to in the content. |
© 2023 by the authors. Licensee MDPI, Basel, Switzerland. This article is an open access article distributed under the terms and conditions of the Creative Commons Attribution (CC BY) license (https://creativecommons.org/licenses/by/4.0/).

