Nanoparticle-Induced Ionic Effects in Liquid Crystal Devices †
Abstract
:1. Introduction
2. Model
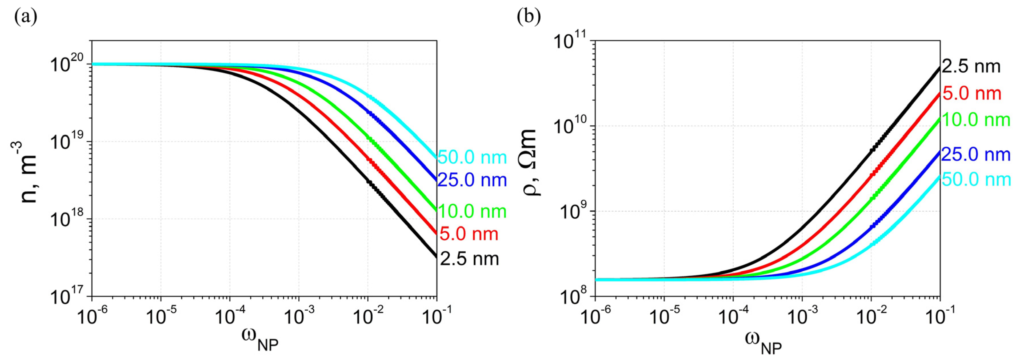
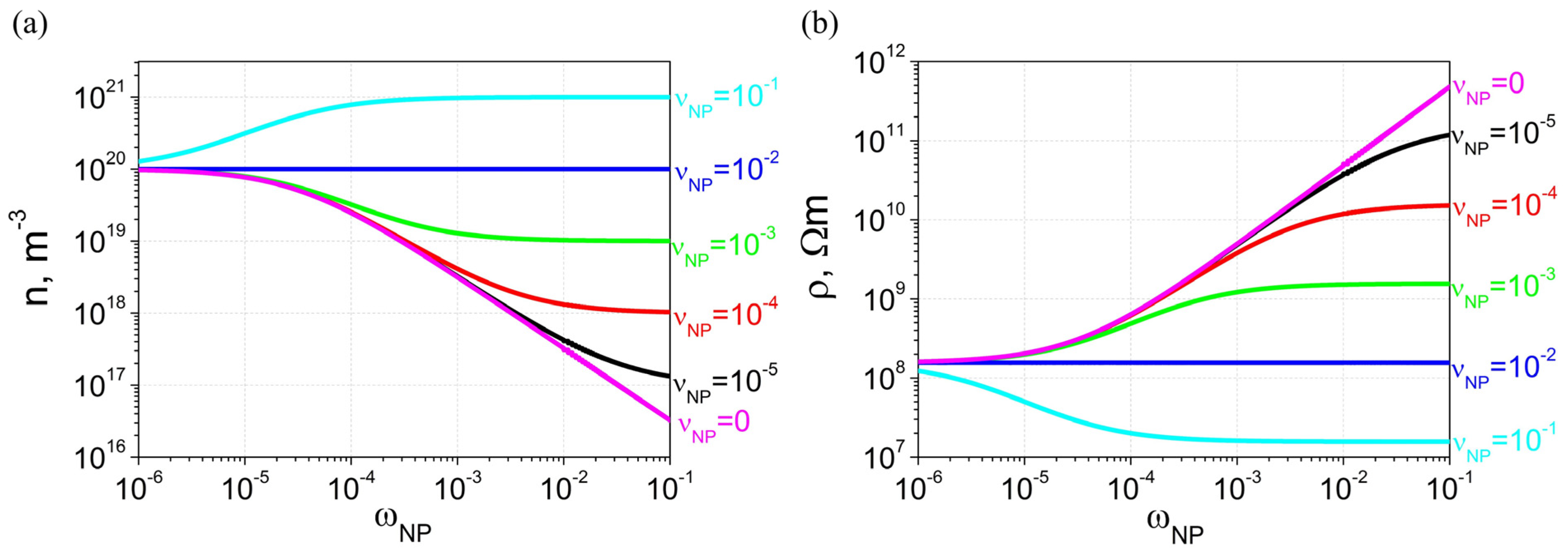
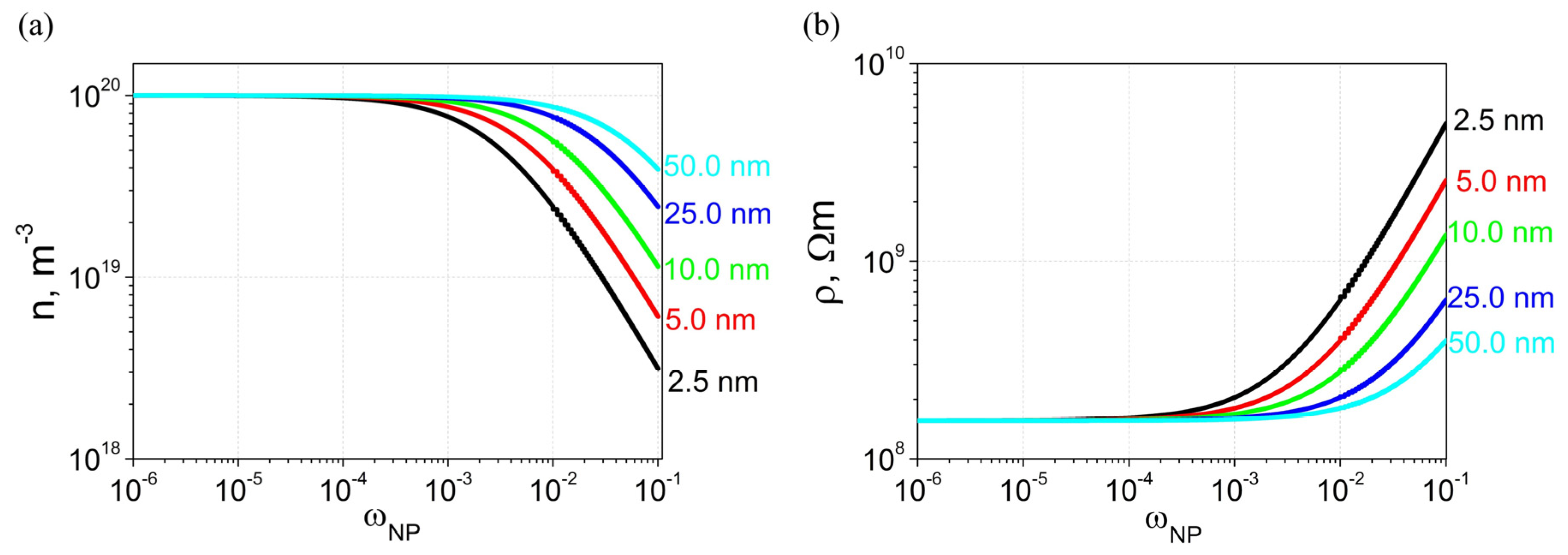
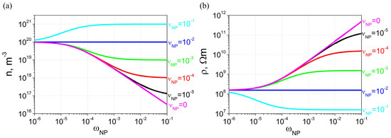
3. Results and Discussion
4. Conclusions
Author Contributions
Funding
Institutional Review Board Statement
Informed Consent Statement
Data Availability Statement
Conflicts of Interest
References
- Xiong, J.; Hsiang, E.-L.; He, Z.; Zhan, T.; Wu, S.-T. Augmented reality and virtual reality displays: Emerging technologies and future perspectives. Light Sci. Appl. 2021, 10, 216. [Google Scholar] [CrossRef] [PubMed]
- Wang, Y.-J.; Lin, Y.-H. Liquid crystal technology for vergence-accommodation conflicts in augmented reality and virtual reality systems: A review. Liq. Cryst. Rev. 2021, 9, 35–64. [Google Scholar] [CrossRef]
- Algorri, J.F.; Zografopoulos, D.C.; Urruchi, V.; Sánchez-Pena, J.M. Recent Advances in Adaptive Liquid Crystal Lenses. Crystals 2019, 9, 272. [Google Scholar] [CrossRef]
- d’Alessandro, A.; Asquini, R. Light Propagation in Confined Nematic Liquid Crystals and Device Applications. Appl. Sci. 2021, 11, 8713. [Google Scholar] [CrossRef]
- Blinov, L.M. Structure and Properties of Liquid Crystals; Springer: New York, NY, USA, 2010. [Google Scholar]
- Chigrinov, V.G. Liquid Crystal Devices: Physics and Applications; Artech House: Boston, MA, USA, 1999; pp. 1–360. [Google Scholar]
- Goodby, J.W.; Cowling, S.J. Conception, Discovery, Invention, Serendipity and Consortia: Cyanobiphenyls and Beyond. Crystals 2022, 12, 825. [Google Scholar] [CrossRef]
- Lagerwall, J.P.F.; Scalia, G. (Eds.) Liquid Crystals with Nano and Microparticles; World Scientific: Singapore, 2016; Volume 2, ISBN 978-981-4619-25-7. [Google Scholar]
- Dierking, I. Nanomaterials in Liquid Crystals. Nanomaterials 2018, 8, 453. [Google Scholar] [CrossRef] [PubMed]
- Lee, W.; Kumar, S. Unconventional Liquid Crystals and Their Applications; De Gruyter: Berlin, Germany; Boston, MA, USA, 2021. [Google Scholar]
- Garbovskiy, Y. Nanomaterials in Liquid Crystals as Ion-Generating and Ion-Capturing Objects. Crystals 2018, 8, 264. [Google Scholar] [CrossRef]
- Garbovskiy, Y. Conventional and unconventional ionic phenomena in tunable soft materials made of liquid crystals and nanoparticles. Nano Express 2021, 2, 012004. [Google Scholar] [CrossRef]
- Garbovskiy, Y. A perspective on the Langmuir adsorption model applied to molecular liquid crystals containing ions and nanoparticles. Front. Soft Matter. 2022, 2, 1079063. [Google Scholar] [CrossRef]
- Gowda, A.; Kumar, S. Recent Advances in Discotic Liquid Crystal-Assisted Nanoparticles. Materials 2018, 11, 382. [Google Scholar] [CrossRef] [PubMed]
- Tomylko, S.; Yaroshchuk, O.; Lebovka, N. Two-step electrical percolation in nematic liquid crystals filled with multiwalled carbon nanotubes. Phys. Rev. E 2015, 92, 012502. [Google Scholar] [CrossRef] [PubMed]
- Tomylko, S.; Yaroshchuk, O.; Koval’chuk, O.; Lebovka, N. Structural evolution and dielectric properties of suspensions of carbon nanotubes in nematic liquid crystals. Phys. Chem. Chem. Phys. 2017, 19, 16456. [Google Scholar] [CrossRef] [PubMed]
- Garbovskiy, Y.; Glushchenko, I. Nano-Objects and Ions in Liquid Crystals: Ion Trapping Effect and Related Phenomena. Crystals 2015, 5, 501–533. [Google Scholar] [CrossRef]
- Cook, G.; Barnes, J.L.; Basun, S.A.; Evans, D.R.; Ziolo, R.F.; Ponce, A.; Reshetnyak, V.Y.; Glushchenko, A.; Banerjee, P.P. Harvesting single ferroelectric domain stressed nanoparticles for optical and ferroic applications. J. Appl. Phys. 2010, 108, 064309. [Google Scholar] [CrossRef]
- Meng, X.; Li, J.; Lin, Y.; Liu, X.; Zhao, J.; Li, D.; He, Z. Optimization approach for the dilute magnetic polymer-dispersed liquid crystal. Opt. Mater. 2022, 131, 112670. [Google Scholar] [CrossRef]
- Barrera, A.; Binet, C.; Dubois, F.; Hébert, P.-A.; Supiot, P.; Foissac, C.; Maschke, U. Dielectric Spectroscopy Analysis of Liquid Crystals Recovered from End-of-Life Liquid Crystal Displays. Molecules 2021, 26, 2873. [Google Scholar] [CrossRef] [PubMed]




| Physical Parameter | Value |
|---|---|
| m−3 (Figure 1, Figure 2, Figure 3 and Figure 4) | |
| nm (Figure 1, Figure 2, Figure 3 and Figure 4) | |
| m−2 (Figure 1, Figure 2, Figure 3 and Figure 4) | |
| m3 (Figure 1) | |
| m3 (Figure 2) | |
| m3 (Figure 3 and Figure 4) | |
| (Figure 4) | |
| m2/Vs (Figure 1, Figure 2, Figure 3 and Figure 4) |
Disclaimer/Publisher’s Note: The statements, opinions and data contained in all publications are solely those of the individual author(s) and contributor(s) and not of MDPI and/or the editor(s). MDPI and/or the editor(s) disclaim responsibility for any injury to people or property resulting from any ideas, methods, instructions or products referred to in the content. |
© 2023 by the authors. Licensee MDPI, Basel, Switzerland. This article is an open access article distributed under the terms and conditions of the Creative Commons Attribution (CC BY) license (https://creativecommons.org/licenses/by/4.0/).
Share and Cite
Lee, N.; Burnes, M.; Foster, S.; Saeed, A.; Guevara, S.; Trevino, I.; Garbovskiy, Y. Nanoparticle-Induced Ionic Effects in Liquid Crystal Devices. Eng. Proc. 2023, 56, 199. https://doi.org/10.3390/ASEC2023-16271
Lee N, Burnes M, Foster S, Saeed A, Guevara S, Trevino I, Garbovskiy Y. Nanoparticle-Induced Ionic Effects in Liquid Crystal Devices. Engineering Proceedings. 2023; 56(1):199. https://doi.org/10.3390/ASEC2023-16271
Chicago/Turabian StyleLee, Noah, Michael Burnes, Segan Foster, Abdul Saeed, Sergio Guevara, Iyanna Trevino, and Yuriy Garbovskiy. 2023. "Nanoparticle-Induced Ionic Effects in Liquid Crystal Devices" Engineering Proceedings 56, no. 1: 199. https://doi.org/10.3390/ASEC2023-16271
APA StyleLee, N., Burnes, M., Foster, S., Saeed, A., Guevara, S., Trevino, I., & Garbovskiy, Y. (2023). Nanoparticle-Induced Ionic Effects in Liquid Crystal Devices. Engineering Proceedings, 56(1), 199. https://doi.org/10.3390/ASEC2023-16271

