Next Article in Journal
Identification of Pest Attack on Corn Crops Using Machine Learning Techniques
Previous Article in Journal
Modified Estimator of Finite Population Variance under Stratified Random Sampling
 
 
Font Type:
Arial Georgia Verdana
Font Size:
Aa Aa Aa
Line Spacing:
Column Width:
Background:
Proceeding Paper

Electrode Modified with Carboxylated Multi-Walled Carbon Nanotubes and Electropolymerized Pyrogallol Red for the Determination of Eugenol †

Analytical Chemistry Department, Kazan Federal University, Kremleyevskaya, 18, 420008 Kazan, Russia
*
Author to whom correspondence should be addressed.
Presented at the 4th International Electronic Conference on Applied Sciences, 27 October–10 November 2023; Available online: https://asec2023.sciforum.net/.
Eng. Proc. 2023, 56(1), 169; https://doi.org/10.3390/ASEC2023-15301
Published: 26 October 2023
(This article belongs to the Proceedings of The 4th International Electronic Conference on Applied Sciences)

Abstract

:
Eugenol is the major component of cloves and clove-based products, which are widely used in food, the pharmaceutical industry, and medicine. Its content can be considered a marker of the sample quality. Therefore, simple, sensitive, and reliable methods for eugenol quantification are required. Glassy carbon electrodes (GCEs) modified with carboxylated multi-walled carbon nanotubes (MWCNTs-COOH) and electropolymerized pyrogallol red were developed for the determination of eugenol in essential oils. The working conditions (supporting electrolyte, pH, monomer concentration, and electrolysis parameters) of pyrogallol red were found using voltammetric characteristics of eugenol. The electrodes developed were studied using scanning electron microscopy, voltammetry, and electrochemical impedance spectroscopy. The effectivity of the electrode surface modification was demonstrated. Eugenol determination was performed in differential pulse mode, whose parameters have been optimized. The linear response of the electrodes towards eugenol was obtained in the range of 0.75–100 µM with a detection limit of 0.73 µM. The high selectivity of eugenol determination was observed in the presence of typical inorganic and organic compounds, including essential oils components. The approach developed was tested on commercial clove, cinnamon, and nutmeg essential oils. Validation with the independent method showed similar accuracy and the absence of systematic errors in eugenol determination.

1. Introduction

Eugenol (4-allyl-2-methoxyphenol) is a natural aroma compound and the major component of cloves, clove-based products, and various essential oils [1]. It is widely used in food, the pharmaceutical industry, and medicine. Its content can be considered as a marker of the sample quality. Therefore, simple, sensitive, and reliable methods for eugenol quantification are required.
Eugenol is an electroactive compound due to the presence of phenolic fragments in the structure. Therefore, a wide range of electrochemical approaches are known to date for eugenol quantification. Most of them are based on the application of chemically modified electrodes due to the high sensitivity and selectivity of the response. Among a great variety of electrode surface modifiers, polymers are of interest, although a limited number of polymer-modified electrodes for eugenol has been reported.
A highly water-stable composite of poly(3,4-ethylenedioxythiophene) polystyrene sulfonate decorated with polyvinylpyrrolidone and carbon nanotubes has been used as an electrode surface modifier for the sensitive determination of eugenol in differential pulse mode [2]. A linear dynamic range of 0.15–122.4 μM with a detection limit of 48 nM has been achieved. The practical applicability of the approach developed has been shown on curry powder samples. Electrodes based on molecularly imprinted polymers give a more selective response to eugenol in the presence of structurally related compounds such as phenol [3] or vanillin, methyl eugenol, paeonol, and methyl isoeugenol [4]. Glassy carbon electrodes (GCEs) with a 3D porous 1-aminopropyl-3-methylimidazolium bromide-functionalized graphene-carbon nanotube composite and three-dimensional molecularly imprinted poly(p-aminobenzenethiol-co-p-aminobenzoic acid) yield a linear response to eugenol from 0.50 to 20 μM with a detection limit of 0.10 μM [4] and can be used in curry powder, perfume, and capsule sample analysis. The most impressive analytical characteristics of eugenol (where the linearity of response is 0.0005–1, 1–50, and 50–160 μM with a detection limit of 0.4 nM) have been achieved using polyacrylonitrile molecularly imprinted polymer embedded graphite electrodes [3].
There are no data for the voltammetric determination of eugenol using electrodes modified with electrochemically obtained polymeric coverage that are simple in preparation and eco-friendly. The current work deals with the development of a GCE modified with carboxylated multi-walled carbon nanotubes (MWCNTs-COOH) and electropolymerized pyrogallol red for the determination of eugenol.

2. Materials and Methods

Eugenol (99% purity) from Aldrich (Steinheim, Germany) and pyrogallol red (Sigma-Aldrich, Steinheim, Germany) were used. Their 10 mM (1.0 mM for pyrogallol red) standard solutions were prepared in ethanol (rectificate). Reagents of 96–100% purity from Aldrich (Steinheim, Germany), Sigma-Aldrich (Steinheim, Germany), Acros Organics (Geel, Belgium), and TCI (Fukaya, Japan) were used in the interference study. Other reagents were of c.p. grade and used as received.
MWCNTs-COOH (diameter: 9.5 nm; length: 1.5 μm; carboxylation degree: >8%) from Aldrich (Steinheim, Germany) were used as an electrode surface modifier. Their homogeneous 1.0 mg mL–1 suspension was prepared in a 1% sodium dodecyl sulfate (Panreac, Barcelona, Spain) water solution by sonication for 15 min in an ultrasonic bath (WiseClean WUC-A03H, DAIHAN Scientific Co., Ltd., Wonju-si, Republic of Korea).
Commercially available essential oils from cloves, cinnamon, and nutmeg of various trademarks were used as real samples.
Poly(pyrogallol red) (polyPGR) coverage was obtained at the surface of MWCNTs-COOH/GCE by potentiodynamic electrolysis. Electropolymerization conditions were optimized on the basis of eugenol response at the polymer-modified electrode.
Electrochemical measurements were performed on the potentiostats/galvanostats µAutolab Type III (Eco Chemie B.V., Utrecht, The Netherlands) with Nova 1.7.8 software and Autolab PGSTAT 302N with the FRA 32M module (Metrohm Autolab B.V., Utrecht, The Netherlands) and NOVA 1.10.1.9 software. A glassy electrochemical cell of 10 mL with a three-electrode system (a working GCE of ø = 3 mm (BASi® Inc., West Lafayette, IN, USA) or a modified GCE, an Ag/AgCl reference electrode, and a platinum wire as the auxiliary electrode) was used.
The “Expert-001” pH meter (Econix-Expert Ltd., Moscow, Russia) with a glassy electrode was applied for the pH measurements.
Spectrophotometric measurements were performed on the spectrophotometer PE-5300 (NPO Ecros, Saint Petersburg, Russia).
A MerlinTM (Carl Zeiss, Oberkochen, Germany) high-resolution field emission scanning electron microscope operated at a 5 kV accelerating voltage and a 300 pA emission current was applied for the electrode surface characterization.
Statistical treatment was performed for five replications (three replications in spectrophotometry) at p = 0.95.

3. Results and Discussion

3.1. Pyrogallol Red Electropolymerization

Prior to electrodeposition of polymeric coverage, 2 μL of a MWCNTs-COOH suspension were drop-casted at the GCE and evaporated to dryness at ambient conditions. The use of MWCNTs-COOH provides a high load of polymer as well as sufficient conductivity of the electrode as far as electropolymerized triphenylmethane dyes form insulating coverages [5,6,7]. PolyPGR coverage was obtained in potentiodynamic mode. The irreversible two-step oxidation of pyrogallol red occurred on the cyclic voltammogram (Figure 1), and oxidation steps gradually disappeared with an increasing scan number, which is typical for the electropolymerization of compounds containing phenolic fragments [8].
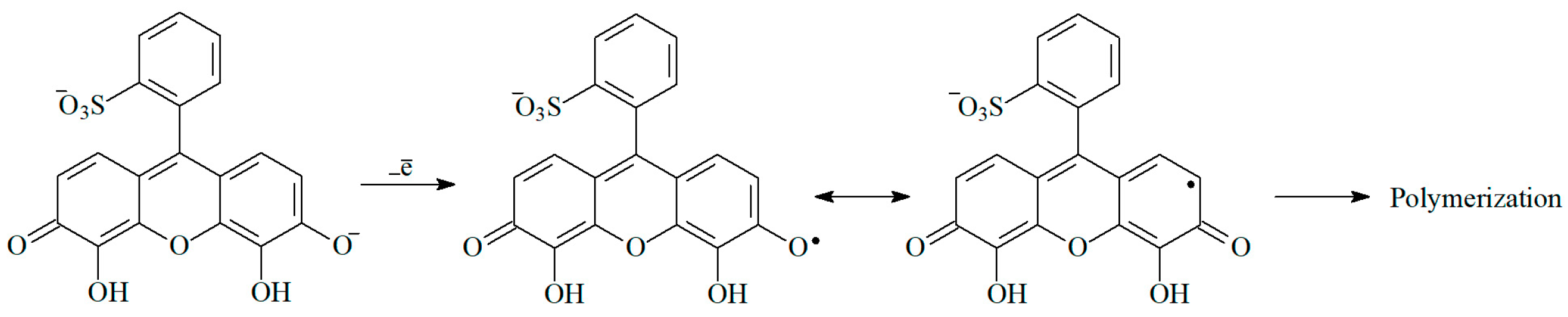
The oxidation of PGR occurs via the formation of a phenoxyl radical, which undergo further polymerization (Scheme 1).
The working conditions (supporting electrolyte, pH, monomer concentration, and electrolysis parameters) of pyrogallol red were found using the voltammetric characteristics of eugenol. The highest oxidation currents of eugenol were registered at the polyPGR-modified electrodes obtained from a 100 μM monomer in a Britton–Robinson buffer, pH 7.0, by 10-fold potential cycling from 0.0 to 1.3 V with a scan rate of 75 mV s–1.
The oxidation potential of eugenol was cathodically shifted on 140 mV vs. the bare GCE (0.78 and 0.64 V, respectively) due to the presence of MWCNTs-COOH and their electrocatalytic properties. The oxidation peak currents were 2.8-fold increased vs. the bare GCE. A 10 mV anodic shift of eugenol oxidation potential to 0.65 V and a two-fold increase of oxidation currents were observed at polyPGR/MWCNTs-COOH/GCE vs. MWCNTs-COOH/GCE, which indicates the synergetic effect of both modifying layers. Moreover, the polyPGR-modified electrodes demonstrated lower capacitive currents compared to MWCNTs-COOH/GCE, and this improved the eugenol oxidation peak shape.

3.2. Electrode Surface and Electrochemical Property Characterization

Scanning electron microscopy showed a successful immobilization of MWCNTs-COOH and polyPGR layers on the GCE surface. MWCNTs-COOH formed a net structure from strongly intertwined tubes. Polymeric coverage was presented by a thin film layer.
The electroactive surface area of the electrodes was calculated on the basis of cyclic voltammetry and chronoamperometry data for the electrooxidation of 1.0 mM [Fe(CN)6]4− ions in 0.1 M KCl. A significant increase in the electroactive surface area (96 ± 3 mm2 for polyPGR/MWCNTs-COOH/GCE, 58 ± 4 mm2 for MWCNTs-COOH/GCE, and 8.9 ± 0.3 mm2 for GCE) was obtained, which explained the improvement in eugenol response at the modified electrodes.
Electrochemical impedance spectroscopy data fitted using Randles’ equivalent circuits (Rs(RetQ) for the bare GCE and Rs(Q[RetW]) for the modified electrodes) clearly confirmed a dramatic decrease in the charge transfer resistance for modified electrodes (3.04 ± 0.09 kΩ for polyPGR/MWCNTs-COOH/GCE and 4.0 ± 0.1 kΩ for MWCNTs-COOH/GCE vs. 72.5 ± 0.9 kΩ for the GCE) and an increase in the electron transfer rate.
The data obtained proves the effectivity of electrode surface modification with polyPGR.

3.3. The Differential Pulse Voltammetric Determnation of Eugenol

The optimization of pulse parameters in differential pulse mode showed that the oxidation potential of eugenol insignificantly decreased with the amplitude growth. Oxidation peak currents were changed dramatically, achieving a maximum at the pulse amplitude of 125 mV and a pulse time of 25 ms. The one well-pronounced oxidation peak at 0.57 V was observed on the differential pulse voltammograms of eugenol in a Britton–Robinson buffer, pH 2.0 (Figure 2a), whose currents linearly grew in the 0.75–100 μM concentration range (the correlation coefficient was 0.9997) (Figure 2b).
The detection limit of eugenol was 0.73 μM. The analytical characteristics obtained were significantly improved compared to those reported for other chemically modified electrodes [9,10,11,12,13]. Moreover, the absence of a preconcentration step and a simple modification of the electrode surface make the method rapid and easy in practice.
The accuracy of the method developed was confirmed by model solution testing for which a recovery of 99.9–100.4% was obtained. A high reproducibility of the method was shown on the basis of relative standard deviation values of 0.8–2.0%.

Selectivity Study

The key point limiting practical application of the voltammetric methods is the insufficient selectivity of the target analyte response. PolyPGR/MWCNTs-COOH/GCE selectivity toward eugenol was studied at a 5.0 μM concentration. Inorganic ions, typical components of essential oils (other phenolics and terpenes), were tested as potential interferences. Corresponding oxidation potentials and tolerance limits are presented in Table 1.
Thus, the method developed showed a high selectivity of eugenol determination and could be applied in essential oil analysis, as confirmed in the further investigations.

3.4. Real Sample Analysis

The developed voltammetric method was applied to real samples—namely, essential oils from cloves, cinnamon, and nutmeg. The preliminary dissolution of the exact weight of the essential oil in ethanol (rectificate) was performed. An additional 10-fold dilution with ethanol was applied to the clove essential oil solution. Ten microliters of clove and cinnamon essential oil solution and 100 μL of nutmeg essential oil solution were used for the voltammetric analysis. The eugenol content in the essential oil was presented as a mass fraction (%).
All samples demonstrated a clear oxidation peak at 0.57 V. The absence of matrix effects in the eugenol quantification was confirmed by the standard addition method, which yielded a recovery of 99–100%.
The results of the essential oil analysis are presented in Figure 3. Voltammetry data agree well with the independent spectrophotometric determination according to [14]. The absence of systematic errors and similar precision of the methods were confirmed by t- and F-tests, which are less than critical values.

Author Contributions

Conceptualization, G.Z.; methodology, A.K. and G.Z.; validation, A.K.; investigation, A.K.; writing—original draft preparation, A.K. and G.Z.; writing—review and editing, G.Z.; visualization, A.K. and G.Z.; supervision, G.Z. All authors have read and agreed to the published version of the manuscript.

Funding

This research received no external funding.

Institutional Review Board Statement

Not applicable.

Informed Consent Statement

Not applicable.

Data Availability Statement

The data presented in this study are available from the corresponding author upon request.

Acknowledgments

The authors thank Aleksei Rogov (Laboratory of Scanning Electron Microscopy, Interdisciplinary Center for Analytical Microscopy, Kazan Federal University) for the scanning electron microscopy measurements.

Conflicts of Interest

The authors declare no conflict of interest.

References

  1. Peter, K.V. (Ed.) Handbook of Herbs and Spices, 2nd ed.; Woodhead Publishing Ltd.: Cambridge, UK, 2012; Volume 1, 336p. [Google Scholar]
  2. Wang, Z.; Yao, Y.; Zhang, H.; Zhang, J.; Ding, W.; Liu, Z.; Xu, J.; Wen, Y. Highly water-stable PEDOT:PSS composite electrode decorated with polyvinylpyrrolidone and carbon nanotubes for sensitive detection of eugenol. Int. J. Electrochem. Sci. 2015, 10, 6997–7012. [Google Scholar] [CrossRef]
  3. Naskar, H.; Ghatak, B.; Biswas, S.; Singh, P.P.; Tudu, B.; Bandyopadhyay, R. Electrochemical detection of eugenol (EU) using polyacrylonitrile molecular imprinted polymer embedded graphite (PAN-MIP/G) electrode. IEEE Sens. J. 2019, 20, 39–46. [Google Scholar] [CrossRef]
  4. Yang, L.; Zhao, F.; Zeng, B. Electrochemical determination of eugenol using a three-dimensional molecularly imprinted poly (p-aminothiophenol-co-p-aminobenzoic acids) film modified electrode. Electrochim. Acta 2016, 210, 293–300. [Google Scholar] [CrossRef]
  5. Chernousova, N.; Ziyatdinova, G. Electrode based on the MWCNTs and electropolymerized thymolphthalein for the voltammetric determination of total isopropylmethylphenols in spices. Micromachines 2023, 14, 636. [Google Scholar] [CrossRef] [PubMed]
  6. Chandrashekar, B.N.; Swamy, B.E.K.; Mahesh, K.R.V.; Chandra, U.; Sherigara, B.S. Electrochemical studies of bromothymol blue at surfactant modified carbon paste electrode by using cyclic voltammetry. Int. J. Electrochem. Sci. 2009, 4, 471–480. [Google Scholar] [CrossRef]
  7. Ziyatdinova, G.; Zhupanova, A.; Davletshin, R. Simultaneous determination of ferulic acid and vanillin in vanilla extracts using voltammetric sensor based on electropolymerized bromocresol purple. Sensors 2022, 22, 288. [Google Scholar] [CrossRef]
  8. Ziyatdinova, G.; Guss, E.; Yakupova, E. Electrochemical sensors based on the electropolymerized natural phenolic antioxidants and their analytical application. Sensors 2021, 21, 8385. [Google Scholar] [CrossRef] [PubMed]
  9. Wang, S.; Zhang, T.; Wang, Z.; Wang, D.; Wang, Z.; Sun, M.; Liu, H. Direct electrochemistry of eugenol at a glassy carbon electrode modified with electrochemically reduced graphene oxide. Int. J. Electrochem. Sci. 2019, 14, 3618–3627. [Google Scholar] [CrossRef]
  10. Afzali, D.; Zarei, S.; Fathirad, F.; Mostafavi, A. Gold nanoparticles modified carbon paste electrode for differential pulse voltammetric determination of eugenol. Mater. Sci. Eng. C 2014, 43, 97–101. [Google Scholar] [CrossRef] [PubMed]
  11. Anu Prathap, M.U.; Wei, C.; Sun, S.; Xu, Z.J. A new insight into electrochemical detection of eugenol by hierarchical sheaf-like mesoporous NiCo2O4. Nano Res. 2015, 8, 2636–2645. [Google Scholar] [CrossRef]
  12. Kang, S.Z.; Liu, H.; Li, X.; Sun, M.; Mu, J. Electrochemical behavior of eugenol on TiO2 nanotubes improved with Cu2O clusters. RSC Adv. 2014, 4, 538–543. [Google Scholar] [CrossRef]
  13. Veerapandi, G.; Meenakshi, S.; Anitta, S.; Arul, C.; Ashokkumar, P.; Sekar, C. Precise and quick detection of ascorbic acid and eugenol in fruits, pharmaceuticals and medicinal herbs using hydroxyapatite-titanium dioxide nanocomposite-based electrode. Food Chem. 2022, 382, 132251. [Google Scholar] [CrossRef] [PubMed]
  14. Backheet, E.Y. Micro determination of eugenol, thymol and vanillin in volatile oils and plants. Phytochem. Anal. 1998, 9, 134–140. [Google Scholar] [CrossRef]
Figure 1. Electropolymerization of 100 μM pyrogallol red at the MWCNTs-COOH/GCE in Britton–Robinson buffer, pH 7.0. υ = 100 mV s−1.
Figure 1. Electropolymerization of 100 μM pyrogallol red at the MWCNTs-COOH/GCE in Britton–Robinson buffer, pH 7.0. υ = 100 mV s−1.
Engproc 56 00169 g001
Scheme 1. Electrooxidation of PRG.
Scheme 1. Electrooxidation of PRG.
Engproc 56 00169 sch001
Figure 2. Differential pulse voltammetry of eugenol at the polyPGR/MWCNTs-COOH/GCE in the Britton–Robinson buffer, pH 2.0: (a) baseline-corrected voltammograms for various concentrations of eugenol in the range of 0.75–100 μM; (b) eugenol calibration graph.
Figure 2. Differential pulse voltammetry of eugenol at the polyPGR/MWCNTs-COOH/GCE in the Britton–Robinson buffer, pH 2.0: (a) baseline-corrected voltammograms for various concentrations of eugenol in the range of 0.75–100 μM; (b) eugenol calibration graph.
Engproc 56 00169 g002
Figure 3. Mass fraction of eugenol in the essential oils (n = 5; p = 0.95).
Figure 3. Mass fraction of eugenol in the essential oils (n = 5; p = 0.95).
Engproc 56 00169 g003
Table 1. Oxidation potential and tolerance limits of potential interferences for the determination of 5.0 μM eugenol at the polyPGR/MWCNTs-COOH/GCE.
Table 1. Oxidation potential and tolerance limits of potential interferences for the determination of 5.0 μM eugenol at the polyPGR/MWCNTs-COOH/GCE.
InterferenceEox (V)Tolerance Limit (µM)
K+, Mg2+, Ca2+, NO3ˉ, Clˉ and SO42−5000
Vanillin0.82500
Thymol0.7525
Carvacrol0.7650
Anethole0.90500
α-Pinene1.1500
Limonene1.3500
Phytol, β-pinene, carvone, camphene, fenchene, myrcene, L-menthol, benzyl alcohol, L-borneol5000
Disclaimer/Publisher’s Note: The statements, opinions and data contained in all publications are solely those of the individual author(s) and contributor(s) and not of MDPI and/or the editor(s). MDPI and/or the editor(s) disclaim responsibility for any injury to people or property resulting from any ideas, methods, instructions or products referred to in the content.

Share and Cite

MDPI and ACS Style

Kalmykova, A.; Ziyatdinova, G. Electrode Modified with Carboxylated Multi-Walled Carbon Nanotubes and Electropolymerized Pyrogallol Red for the Determination of Eugenol. Eng. Proc. 2023, 56, 169. https://doi.org/10.3390/ASEC2023-15301

AMA Style

Kalmykova A, Ziyatdinova G. Electrode Modified with Carboxylated Multi-Walled Carbon Nanotubes and Electropolymerized Pyrogallol Red for the Determination of Eugenol. Engineering Proceedings. 2023; 56(1):169. https://doi.org/10.3390/ASEC2023-15301

Chicago/Turabian Style

Kalmykova, Alena, and Guzel Ziyatdinova. 2023. "Electrode Modified with Carboxylated Multi-Walled Carbon Nanotubes and Electropolymerized Pyrogallol Red for the Determination of Eugenol" Engineering Proceedings 56, no. 1: 169. https://doi.org/10.3390/ASEC2023-15301

APA Style

Kalmykova, A., & Ziyatdinova, G. (2023). Electrode Modified with Carboxylated Multi-Walled Carbon Nanotubes and Electropolymerized Pyrogallol Red for the Determination of Eugenol. Engineering Proceedings, 56(1), 169. https://doi.org/10.3390/ASEC2023-15301

Article Metrics

Back to TopTop