Next Article in Journal
Remote Embedded System for Agricultural Field Monitoring: Enhancing Resource Allocation in Agriculture
Previous Article in Journal
Predicting Employee Turnover: A Systematic Machine Learning Approach for Resource Conservation and Workforce Stability
 
 
Font Type:
Arial Georgia Verdana
Font Size:
Aa Aa Aa
Line Spacing:
Column Width:
Background:
Proceeding Paper

Temperature and Pressure-Induced Phase Transitions in Cu2ZnSnS4 and Cu2ZnGeS4: Thermodynamic Analysis and Structural Transformations †

1
Higher School of Electrical and Energetic Engineering of Oran (ESGEEO), Oran 31000, Algeria
2
Department of Electronics, Faculty of Technology, University of M’sila, M’Sila 28000, Algeria
*
Author to whom correspondence should be addressed.
Presented at the 4th International Electronic Conference on Applied Sciences, 27 October–10 November 2023; Available online: https://asec2023.sciforum.net/.
Eng. Proc. 2023, 56(1), 127; https://doi.org/10.3390/ASEC2023-16639
Published: 19 December 2023
(This article belongs to the Proceedings of The 4th International Electronic Conference on Applied Sciences)

Abstract

:
This study focuses on investigating the phase transitions in two materials, Cu 2 ZnSnS 4 (CZTS) and Cu 2 ZnGeS 4 (CZGS), which are important for understanding their structural and functional properties. The temperature and pressure-induced tetragonal-orthorhombic phase transitions in these materials are analyzed using density functional theory (DFT) and the quasi-harmonic Debye model. The research aims to examine the changes in the material’s structure and the associated thermodynamic properties during these phase transitions. The results reveal that both compounds exhibit a negative value of δ H m i x , indicating the release of energy during the mixing process, which suggests an exothermic nature. The DFT calculations at zero temperature and pressure demonstrate that the stannite structure represents the ground state configuration of the Cu 2 ZnSnS 4 system (with x G e = 0%), compared to the wurtzite-stannite structure. The calculations also show that the difference in enthalpies of formation ( δ H) between the stannite and wurtzite-stannite phases for CZTS is estimated to be 8.884 meV per atom. Regarding Cu 2 ZnGeS 4 , the wurtzite-stannite structure is found to be the most stable, closely followed by the stannite structure, with enthalpies of formation of −4.833 eV·atom 1 and −4.804 eV·atom 1 , respectively. Notably, there are no definitive reports on enthalpy studies for the Cu 2 ZnGeS 4 system in the existing literature. Understanding the behavior of these materials under different conditions can contribute to the development of improved performance and stability of devices based on CZTS and CZGS.

1. Introduction

Photovoltaics stands out as a highly promising avenue for achieving a cost-effective alternative energy source, and the research efforts directed towards this domain are consistently on the rise. The materials utilized as the absorber layer in solar cells must meet several key criteria: they should feature an appropriate bandgap, exhibit a notable light absorption coefficient across the solar radiation spectrum, demonstrate enhanced mobility of charge carriers generated by light, incorporate economically viable and eco-friendly components, seamlessly integrate with thin-film deposition methods, and maintain compatibility with the overall fabrication processes.
In the past few years, ternary and quaternary chalcogenides have captured the interest of researchers worldwide. These materials, with their versatile properties, have been extensively studied for numerous applications aimed at enhancing the efficiency of light conversion in devices, improving overall performance, and achieving cost-effectiveness. Quaternary chalcogenide semiconductors are a subgroup of chalcogenide materials that consist of a combination of four elements. Typically, these elements encompass sulfur, selenium, tellurium, and one or more additional elements derived from groups 3 to 6 of the periodic table.
Quaternary chalcogenides have found significant utility in solar cell technology. Examples such as Cu 2 ZnSnS 4 and Cu 2 ZnGeS 4 are renowned for their exceptional capability to efficiently transform sunlight into electrical energy [1,2,3]. Furthermore, these compounds are constructed from elements that are both environmentally friendly and abundantly available in the Earth’s crust. This characteristic holds the potential to decrease the manufacturing expenses associated with solar cells [4]. These materials exhibit various potential phases stemming from rearrangements of their cations. For instance, there are stannite or kesterite-type structures, which are essentially derived from sphalerite unit cells through the organization of metals within cation sites. Additionally, there exist wurtzite-stannite or wurtzite-kesterite structures, which emerge from the wurtzite lattice and conform to the valence octet rule. Each phase can be characterized by its unique geometry. The stannite (I-42m) and kesterite (I-4) structures both exhibit tetragonal symmetry, and the wurtzite-stannite (Pmn21) and wurtzite-kesterite (Pc) structures possess an orthorhombic geometry. Furthermore, an intriguing phase known as the ’disordered kesterite’ phase (I-42m) has been identified. In this phase, there is a random distribution of copper and zinc atoms within the 2c and 2d Wyckoff positions [5].
In this study, the objective is to conduct ab initio calculations to investigate the structural and thermodynamic characteristics of the quaternary compounds Cu 2 ZnSnS 4 and Cu 2 ZnGeS 4 . Specifically, we will focus on the stannite and wurtzite-stannite structural configurations. To achieve this, we will employ an advanced computational technique rooted in the density functional theory (DFT) framework, utilizing the WIEN2K computational code. Throughout this investigation, we will meticulously compute and analyze lattice parameters, bulk modulus, enthalpy of formation per atom, and various other pertinent thermodynamic properties. The structure of the article is outlined as follows. The Section 2 offers a theoretical outline of the computational approach utilized. Subsequently, the Section 3 will present the findings and engage in corresponding discussions. Lastly, a concise summary of this present research is provided in the Section 4.

2. Computational Methods

In this study, we employed first-principles calculations to thoroughly examine the geometry optimization, structural characteristics, and thermodynamic properties of the stannite (St) and wurtzite-stannite (WSt) structures of Cu 2 ZnSnS 4 (CZTS) and Cu 2 ZnGeS 4 (CZGS). To achieve this, we employed the full-potential linear-augmented-plane-wave plus local-orbital method within the density functional theory framework, facilitated by the WIEN2K code [6]. For this investigation, we considered conventional cells of CZTS in the form of a 64-atom (2 × 2 × 2) supercell. Meanwhile, in the case of the wurtzite-stannite (WSt) phase, a (1 × 1 × 2) supercell was employed. The calculations were conducted utilizing 64-atom supercells for both the stannite (St) and wurtzite-stannite (WSt) phases. The exchange-correlation effects were accounted for using the generalized gradient approximation (GGA), employing the revised Perdew–Burcke–Ernzerhof (PBEsol) parameterization [7]. Throughout the computations, all atomic positions were meticulously relaxed to minimize quantum-mechanical forces.

3. Results

As previously mentioned, the structural optimization and relaxation were conducted by adjusting the lattice parameters within a specified unit cell. These adjustments were carried out for various fixed unit cell volumes around the experimentally established ground state volume. The objective was to minimize the total energy of the supercell by varying the volume of the supercell, as well as the b/a and c/a parameters. This procedure allowed us to determine the equilibrium lattice parameters accurately. To analyze the relationship between volume and energy, we employed the third-order Murnaghan equation-of-state (EOS) to fit the resulting volume–energy curve. The outcomes of this analysis, including the optimized lattice parameters (a, b, c), have been compiled in Table 1. In addition, we have included corresponding experimental results from existing literature sources for reference. From the tabulated data, it is apparent that there is a considerable degree of agreement between our computed lattice parameters for Cu 2 ZnSnS 4 and Cu 2 ZnGeS 4 and the experimental values found in the literature. This congruence underscores the accuracy of our computational approach and its ability to reliably predict structural properties.
The enthalpy of formation per atom ( Δ f H ) for our materials is determined by subtracting the total energy (Emin C Z X S with X = Sn or Ge) of the compound in its equilibrium crystal structure from the sum of energies associated with the constituent elements, considering stoichiometric ratios of Cu, Zn, Sn (or Ge), and S. Our computed ( Δ f H ) values, utilizing the GGAPBEsol approximation, are anticipated and showcased in Table 1, following the subsequent expressions [11]:
Δ f H ( C u 2 Z n X S 4 ) = E C u 2 Z n X S 4 m i n [ 2 E C u m i n + E Z n m i n + E X m i n + 4 E S m i n ] / n
where, X is Sn or Ge atoms and n is the number of atoms in the supercell. As depicted in Table 1, the Cu 2 ZnSnS 4 compound exhibits the stannite structure as its stable phase, with a preference over the wurtzite-stannite structure. Conversely, for Cu 2 ZnGeS 4 , the wurtzite-stannite configuration emerges as the most stable structure. The computational results reveal that the difference in enthalpies of formation between the stannite and wurtzite-stannite phases is relatively minimal in CZTS when compared to CZGS. The difference in enthalpies of formation ( δ H) between the stannite and wurtzite-stannite phases for CZTS is estimated to be 8.884 meV per atom.
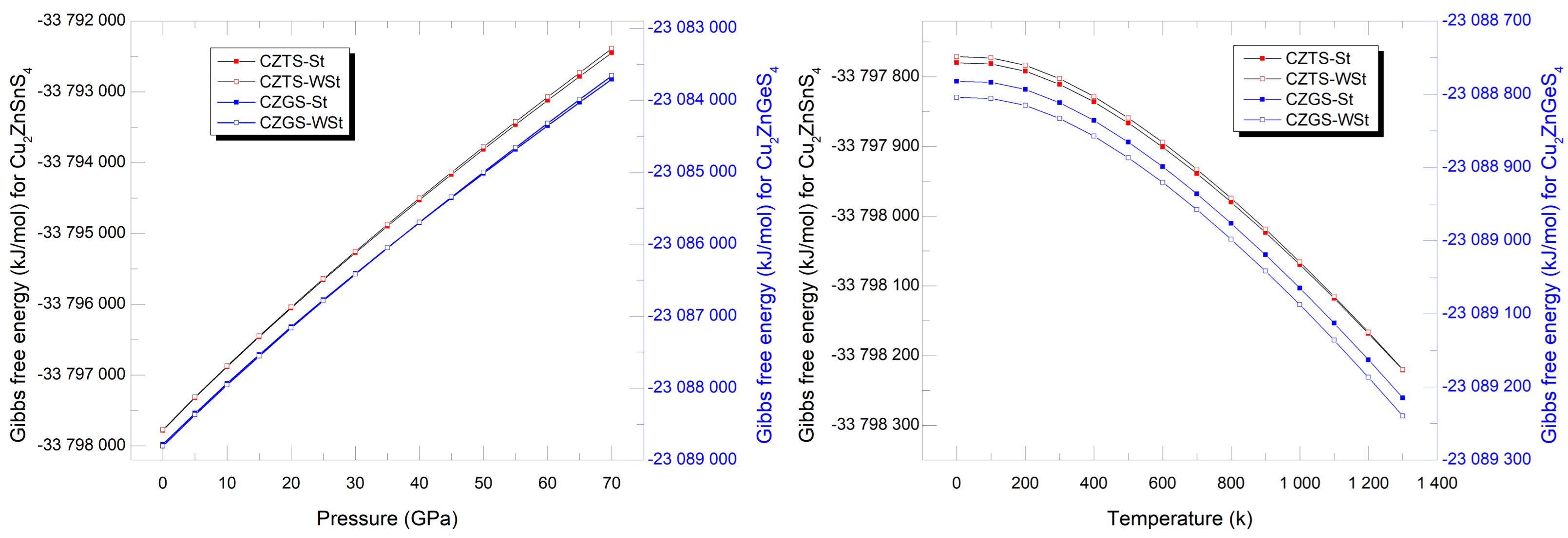
In this research, we employ the quasi-harmonic Debye model code known as GIBBS2, which was developed by Otero-de-la-Roza et al. [12] to forecast thermodynamic properties across a range of temperatures and pressures. Specifically, we utilize the non-equilibrium Gibbs free energy function to investigate the potential occurrence of phase transitions when subjecting the system to different combinations of temperature and pressure.
Examining the plots in Figure 1 reveals that the CZTS compound consistently maintains its stable stannite phase under various applied pressures. On the other hand, for the CZGS compound, the introduction of pressure initiates a phase transition from wurtzite-stannite to stannite at approximately 40 GPa. Additionally, the same figure demonstrates that changes in temperature have no observable impact on the crystal structures of both materials; they remain unaffected regardless of the temperature variations.

4. Conclusions

The structural and thermodynamic characteristics of Cu 2 ZnSnS 4 and Cu 2 ZnGeS 4 under varying temperature and pressure conditions were thoroughly examined through the utilization of DFT calculations in conjunction with the quasi-harmonic Debye model. When germanium is substituted with tin, a common outcome is a reduction in the lattice parameters due to the smaller size of germanium atoms. Additionally, it was found that the mixing enthalpy is negative (indicating an exothermic process) for the stannite-based structure, indicating that the formation of the alloy is thermodynamically favorable.
Through an analysis of the Gibbs energy variations, we gained valuable insights into the thermodynamic behavior and the conformational and structural transitions that these alloys experience under different temperature conditions. Furthermore, our thermodynamic and phase analyses, based on Gibbs calculations, unveiled a noteworthy microstructural evolution in the Cu 2 ZnGeS 4 compound. As pressure increases, this compound undergoes a transition from the orthorhombic wurtzite-stannite phase to the tetragonal stannite phase. In contrast, Cu 2 ZnSnS 4 maintains its tetragonal structure consistently throughout the study.

Author Contributions

Writing—review and editing, M.I.Z.; formal analysis, H.B. and M.H. All authors have read and agreed to the published version of the manuscript.

Funding

This research received no external funding.

Institutional Review Board Statement

Not applicable.

Informed Consent Statement

Not applicable.

Data Availability Statement

Data sharing does not apply to this work.

Conflicts of Interest

The authors declare no conflicts of interest.

References

  1. Tajima, S.; Umehara, M.; Hasegawa, M.; Mise, T.; Itoh, T. Cu2ZnSnS4 photovoltaic cell with improved efficiency fabricated by high temperature annealing after CdS buffer-layer deposition. Prog. Photo. Res. Appl. 2017, 25, 14–22. [Google Scholar] [CrossRef]
  2. Ziane, M.I.; Bennacer, H.; Mostefaoui, M.; Tablaoui, M.; Hadjab, M.; Saim, A.; Bekhedda, K. Anisotropic optical properties of Cu2ZnSn(SxSe1−x)4 solid solutions: First-principles calculations with TB-mBJ+U. Optik 2021, 243, 167490. [Google Scholar] [CrossRef]
  3. Karthik, M.; Abhinav, J.; Shankar, K.V. Morphological and Mechanical Behaviour of Cu–Sn Alloys—A review. Met. Mater. Int. 2021, 27, 1915–1946. [Google Scholar] [CrossRef]
  4. Sanchez, M.F.; Sanchez, T.G.; Courel, M.; Reyes-Vallejo, O.; Sanchez, Y.; Saucedo, E.; Sebastian, P.J. Effect of post annealing thermal heating on Cu2ZnSnS4 solar cells processed by sputtering technique. Sol. Energy 2022, 237, 196–202. [Google Scholar] [CrossRef]
  5. Khelfane, A.; Ziane, M.I.; Tablaoui, M.; Hecini, M.; Ouadjaout, D.; Derbal, M. Composition dependence of the optical band gap and the secondary phases via zinc content in CZTS material. Inorg. Chem. Commun. 2023, 151, 110639. [Google Scholar] [CrossRef]
  6. Schwarz, K.; Blaha, P. Solid state calculations using WIEN2k. Comput. Mater. Sci. 2003, 28, 259. [Google Scholar] [CrossRef]
  7. Perdew, J.P.; Ruzsinszky, A.; Csonka, G.I.; Vydrov, O.A.; Scuseria, G.E.; Constantin, L.A.; Zhou, X.; Burke, K. Constantin, Xiaolan Zhou, and Kieron Burke, Restoring the Density-Gradient Expansion for Exchange in Solids and Surfaces. Phys. Rev. Lett. 2008, 100, 136406. [Google Scholar] [CrossRef] [PubMed]
  8. Nagaoka, A.; Yoshino, K.; Aoyagi, K.; Minemoto, T.; Nose, Y.; Taniyama, T.; Kakimoto, K.; Miyake, H. Thermo physical properties of Cu2ZnSnS4 single crystal. J. Cryst. Growth 2014, 393, 167–170. [Google Scholar] [CrossRef]
  9. Zhao, Y.; Li, D.; Liu, Z. Phase Transitions and Electronic Properties for Zincblende-Derived and Wurtzite-Derived Stannite Cu2ZnSnS4 Under Pressure. J. Electron. Mater. 2017, 48, 2812–2821. [Google Scholar] [CrossRef]
  10. Doverspike, K.; Kershaw, R.; Dwight, K.; Mold, A. Preparation and properties of the system Cu2Zn1−xFexGeS4. Mat. Res. Bull. 1988, 23, 959–964. [Google Scholar] [CrossRef]
  11. Ziane, M.I.; Ouadjaout, D.; Tablaoui, M.; Nouri, R.; Zermane, W.; Djelloul, A.; Bennacer, H.; Mokrani, A.; Hadjab, M.; Abid, H. First-Principle Computed Structural and Thermodynamic Properties of Cu2ZnSn(SxSe1−x)4 Pentanary Solid Solution. J. Electron. Mater. 2019, 48, 11. [Google Scholar] [CrossRef]
  12. Otero-de-la-Roza, A.; Abbasi-Pérez, D.; Luaña, V. Gibbs2: A new version of the quasiharmonic model code. II. Models for solid-state thermodynamics, features and implementation. Comput. Phys. Commun. 2011, 10, 2232–2248. [Google Scholar] [CrossRef]
Figure 1. Influence of pressure and temperature on the Gibbs free energy in CZTS and CZGS compounds.
Figure 1. Influence of pressure and temperature on the Gibbs free energy in CZTS and CZGS compounds.
Engproc 56 00127 g001
Table 1. Optimized lattices parameters (a), (b), and (c), b/a and c/a ratio, and the calculated enthalpies of formation at 0 KT.
Table 1. Optimized lattices parameters (a), (b), and (c), b/a and c/a ratio, and the calculated enthalpies of formation at 0 KT.
Compounda[Å]b[Å]c[Å]b/ac/a Δ H[eV/atom]
Cu 2 ZnSnS 4
   GGAPBEsol[St]5.383-10.767-1.999−4.706
   GGAPBEsol[WSt]7.7576.4756.2170.8340.801−4.698
   Exp.[St]5.455 a-10.880 a-1.994 a-
   Exp.[WSt]7.973 b6.611b6.290 b0.829 b0.781 b-
Cu 2 ZnGeS 4
   GGAPBEsol[ST]5.306-10.421-1.963−4.804
   GGAPBEsol[WSt]7.4356.4236.1280.8630.824−4.833
   Exp.[St]5.346 c-10.518 c-1.968c-
   Exp.[WSt]7.509 c6.479 c6.185 c0.862 c0.824 c-
a Ref. [8]; b Ref. [9]; c Ref. [10].
Disclaimer/Publisher’s Note: The statements, opinions and data contained in all publications are solely those of the individual author(s) and contributor(s) and not of MDPI and/or the editor(s). MDPI and/or the editor(s) disclaim responsibility for any injury to people or property resulting from any ideas, methods, instructions or products referred to in the content.

Share and Cite

MDPI and ACS Style

Ziane, M.I.; Bennacer, H.; Hadjab, M. Temperature and Pressure-Induced Phase Transitions in Cu2ZnSnS4 and Cu2ZnGeS4: Thermodynamic Analysis and Structural Transformations. Eng. Proc. 2023, 56, 127. https://doi.org/10.3390/ASEC2023-16639

AMA Style

Ziane MI, Bennacer H, Hadjab M. Temperature and Pressure-Induced Phase Transitions in Cu2ZnSnS4 and Cu2ZnGeS4: Thermodynamic Analysis and Structural Transformations. Engineering Proceedings. 2023; 56(1):127. https://doi.org/10.3390/ASEC2023-16639

Chicago/Turabian Style

Ziane, Mohamed Issam, Hamza Bennacer, and Moufdi Hadjab. 2023. "Temperature and Pressure-Induced Phase Transitions in Cu2ZnSnS4 and Cu2ZnGeS4: Thermodynamic Analysis and Structural Transformations" Engineering Proceedings 56, no. 1: 127. https://doi.org/10.3390/ASEC2023-16639

APA Style

Ziane, M. I., Bennacer, H., & Hadjab, M. (2023). Temperature and Pressure-Induced Phase Transitions in Cu2ZnSnS4 and Cu2ZnGeS4: Thermodynamic Analysis and Structural Transformations. Engineering Proceedings, 56(1), 127. https://doi.org/10.3390/ASEC2023-16639

Article Metrics

Back to TopTop