Abstract
In the United States, approximately 10 billion gallons of mixing water is required annually to produce close to 400 million cubic yards of concrete. In response to the declining supply of freshwater in some locations and with the goal of decreasing the environmental footprint of the concrete industry, there is current interest in either full or partial replacement of fresh water with seawater in concrete mixtures. Research indicates that the early-age strength of seawater concrete is typically higher than that of normal concrete, but that the long-term strength is affected less. This study investigates the early-age properties of seawater concrete by measuring its ultrasonic pulse velocity. This nondestructive test method is commonly used to assess the quality of concrete, and its value correlates well with the compressive strength. Neat-cement-paste specimens were prepared at several water–cement ratios using either fresh water or salt water at various salinities (36, 24, and 12 g/L). The highest salinity of 36 g/L was chosen because it is the approximate salinity of the ocean, while 24 and 12 g/L represent either brackish water or seawater that has been mixed with freshwater. The ultrasonic pulse velocity of the specimens was measured at various points in time until 28 days. Additionally, the compressive strength was measured at both 7 and 28 days. By comparing the evolution of the ultrasonic pulse velocity and the compressive strength between the various mixtures, the effect of seawater on the early-age properties of seawater concrete can be better understood.
1. Introduction
Due to the decreasing availability and increasing demand for freshwater, it is attractive to consider the full or partial replacement of mixing water with either seawater or brackish water. Typically, only potable water is incorporated into concrete mixes with durability being the primary concern associated with the use of seawater. The chloride and sulfate ions in the seawater can lead to corrosion of the steel reinforcement and sulfate attack [1], respectively. While other research in the literature has investigated ways to minimize these drawbacks [2], the focus of this study is to investigate the increase in early-age properties of seawater concrete.
Research has indicated that the 7-day and 28-day compressive strengths of cement paste can be increased by as much as 50% by using seawater as the mixing water [3]. However, some researchers have reported smaller increases in the compressive strength of cement paste [4] and even decreases in the compressive strength of cement mortar prepared with seawater [5]. The reason for these differences can be attributed to the variation in the exact chemical composition of the seawater and the Portland cement. In order to better understand the impact of seawater on the properties of concrete, an investigation was conducted to understand the effects of water–cement ratio and seawater salinity on the 7-day and 28-day compressive strength of cement paste. Additionally, the ultrasonic pulse velocity (UPV) was measured at various points in time to explore if the compressive strength and UPV are affected in the same way.
2. Materials and Methods
Seawater-cement-paste specimens were prepared using a Type I/II Portland cement and seawater that was prepared using an artificial sea salt. A number of (6)—50 mm cube specimens were prepared for each mix design. Water–cement ratios of 0.35, 0.40, 0.45, and 0.50 and salinities of 0 g/L, 12 g/L, 24 g/L, and 36 g/L were chosen. Table 1 contains information about the 12 different mix designs that were studied and Table 2 contains the typical chemical composition of seawater.
Table 1.
Cement cube mix designs.
The cement cubes were prepared according to ASTM C109 [6]. After 24 h, the specimens were demolded and were subjected to curing in saturated lime water at a temperature of 23 °C. The ultrasonic pulse velocity (UPV) was measured with 150 kHz probes at a gain of 100 V. The UPV was calculated by dividing the travel time of the pulse by the edge length of the cube. The UPV for each cube was recorded as the average value of the UPV calculated in two perpendicular directions, the probes being placed on the faces of the cubes that were vertical during casting. The UPV was measured at 1, 2, 3, 7, 10, 16, 22, and 28 days after mixing and the compressive strength was measured at 7 and 28 days. From 1 to 7 days, the UPV was recorded as the average value from 6 identical cubes, after which, it was recorded as the average value from 3 identical cubes. The values of the compressive strength were recorded as the average value from 3 identical cubes. The compressive-strength tests were conducted according to ASTM C109, with the load applied to specimen faces that were in contact with the true plane surfaces of the mold at a loading rate of 300 lb/s.
Table 2.
Typical composition of seawater according to ASTM D1141 [7].
Table 2.
Typical composition of seawater according to ASTM D1141 [7].
| Ion | Concentration (g/L) |
|---|---|
| Cl− | 19.8 |
| Na+ | 11.0 |
| SO42− | 2.8 |
| Mg2+ | 1.3 |
| Ca2+ | 0.42 |
| K+ | 0.40 |
3. Results and Discussion
3.1. Ultrasonic Pulse Velocity
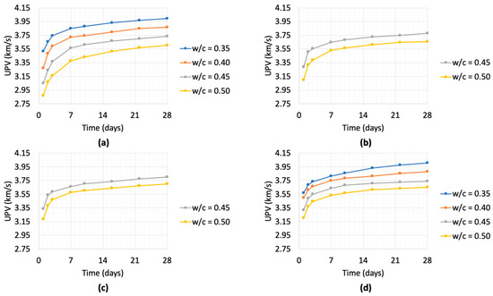
Table 3 contains the results for the UPV of the seawater-cement-paste specimens. As seen in Figure 1, the UPV initially increases rapidly for approximately 3 days, and then continues to increase at a lower rate. For all salinities studied, the UPV decreased with an increase in the water–cement ratio. At a given water–cement ratio, an increase in the salinity generally causes an increase in 1-day UPV. This effect of salinity on the 1-day UPV is more pronounced as the water–cement ratio increases. For a water–cement ratio of 0.35, the replacement of freshwater with seawater (36 g/L) causes a 1% increase in the 1-day UPV, while for a water–cement ratio of 0.50, there is an 11% increase. The 28-day UPV is less effected by mixing-water salinity than the 1-day UPV.
Table 3.
Ultrasonic pulse velocity of seawater-cement-paste specimens.
Figure 1.
Ultrasonic pulse velocity of seawater-cement-paste specimens with mixing water salinities of (a) 0 g/L; (b) 12 g/L; (c) 24 g/L; (d) 36 g/L.
3.2. Compressive Strength
Table 4 contains the results of the 7- and 28-day compressive-strength tests. The numbers in parentheses indicate the percent change in the compressive strength with respect to the mixes prepared using fresh water. For each water–cement ratio investigated, the 7-day compressive strength increased as the salinity of the mixing water increased, with the exception of a water–cement ratio of 0.50, where there was a drop in the compressive strength between a salinity of 24 g/L and 36 g/L. The percent increase in the 7-day compressive strength caused by replacing fresh water (0 g/L) with seawater (36 g/L) grew as the water–cement ratio increased. At water–cement ratios of 0.35, 0.40, 0.45, and 0.50, the percent increase in the 7-day compressive strength was 15%, 21%, 35%, and 37%, respectively. This demonstrates that the replacement of fresh water with seawater does cause an increase in the 7-day compressive strength and that this effect is highly dependent on the water–cement ratio of the mix.
Table 4.
Compressive strength of seawater-cement-paste specimens.
For the 28-day compressive-strength results, the effect of seawater is less pronounced, and changing the salinity produces a lower variability in the strength. For the lower water–cement ratios (0.35 and 0.40), there was a slight increase in the 28-day compressive strength between fresh water (0 g/L) and seawater (36 g/L). While for the higher water–cement ratios (0.45 and 0.50), there was a slight decrease in the 28-day compressive strength between fresh water and seawater.
4. Conclusions
The results indicate that replacement of fresh mixing water with either seawater or brackish water has an effect on both the UPV and the compressive strength of cement paste. The seawater and brackish water act as accelerators, causing the early-age properties to increase, but have a lesser effect on the properties at 28 days. There appears to be a correlation between 1-day UPV and the 7-day compressive strength, and a correlation between the 28-day UPV and 28-day compressive strength as described below.
The use of seawater or brackish water causes both a notable increase in the 1-day UPV and 7-day compressive strength relative to using freshwater. The largest percent increase in 1-day UPV was 11% and the largest increase in 7-day compressive strength was 37%, both with w/c = 0.50 and 36 g/L.
As the water–cement ratio is increased, the effect of mixing-water salinity on both the 1-day UPV and 7-day compressive strength is more pronounced. When using a water–cement ratio of 0.50, there is a larger percent increase in both properties relative to freshwater than when using a water–cement ratio of 0.35.
For low values of the water–cement ratio (0.35 and 0.40), the use of seawater causes a slight increase in both the 28-day UPV and 28-day compressive strength relative to using freshwater. The largest increase in strength was 3% (w/c = 0.35 and 36 g/L).
The effect of the mixing water’s salinity on the 1-day UPV and 7-day compressive strength is more pronounced than both properties at 28 days. Overall, seawater and brackish water cause an increase in both the 1-day UPV and 7-day compressive strength, while there is almost no change or a small increase in both the 28-day UPV and 28-day compressive strength.
These correlations indicate that UPV measurements of seawater concrete can be used to predict the effect of seawater on compressive strength.
Funding
This research received no external funding.
Institutional Review Board Statement
Not applicable.
Informed Consent Statement
Not applicable.
Data Availability Statement
The author confirms that the data supporting the findings of this study are available within the article.
Acknowledgments
The author thanks the Manhattan College Summer Grant Program for supporting this research.
Conflicts of Interest
The author declares no conflict of interest.
References
- Qu, F.; LI, W.; Dong, W.; Tam, V.W.; Yu, T. Durability deterioration of concrete under marine environment from material to structure: A critical review. J. Build. Eng. 2021, 35, 102074. [Google Scholar] [CrossRef]
- Li, Q.; Geng, H.; Huang, Y.; Shui, Z. Chloride resistance of concrete with metakaolin addition and seawater mixing: A comparative study. Constr. Build. Mater. 2015, 101, 184–192. [Google Scholar] [CrossRef]
- Wang, J.; Liu, E.; Li, L. Multiscale investigations on hydration mechanisms in seawater OPC paste. Constr. Build. Mater. 2018, 191, 891–903. [Google Scholar] [CrossRef]
- Sikora, P.; Cendrowski, K.; Elrahman, M.A.; Chung, S.; Mijowska, E.; Stephan, D. The effects of seawater on the hydration, microstructure and strength development of Portland cement pastes incorporating colloidal silica. Appl. Nanosci. 2020, 10, 2627–2638. [Google Scholar] [CrossRef]
- Lim, E.D.; Roxas, C.L.; Gallardo, R.; Nishida, T.; Otsuki, N. Strength and corrosion behavior of mortar mixed and/or cured with seawater with various fly ash replacement ratios. Asian J. Civ. Eng. 2015, 16, 835–849. [Google Scholar]
- ASTM C109/C109M; Standard Test Method for Compressive Strength of Hydraulic Cement Mortars (Using 2-in. or [50-mm] Cube Specimens). ASTM International: West Conshohocken, PA, USA, 2020.
- ASTM D1141; Standard Practice for Preparation of Substitute Ocean Water. ASTM International: West Conshohocken, PA, USA, 2021.
Disclaimer/Publisher’s Note: The statements, opinions and data contained in all publications are solely those of the individual author(s) and contributor(s) and not of MDPI and/or the editor(s). MDPI and/or the editor(s) disclaim responsibility for any injury to people or property resulting from any ideas, methods, instructions or products referred to in the content. |
© 2023 by the author. Licensee MDPI, Basel, Switzerland. This article is an open access article distributed under the terms and conditions of the Creative Commons Attribution (CC BY) license (https://creativecommons.org/licenses/by/4.0/).
