The Impact of the Core’s Material on the Absorption of a Quantum Dot–Metal Nanoshell Hybrid System †
Abstract
:1. Introduction
2. Methods
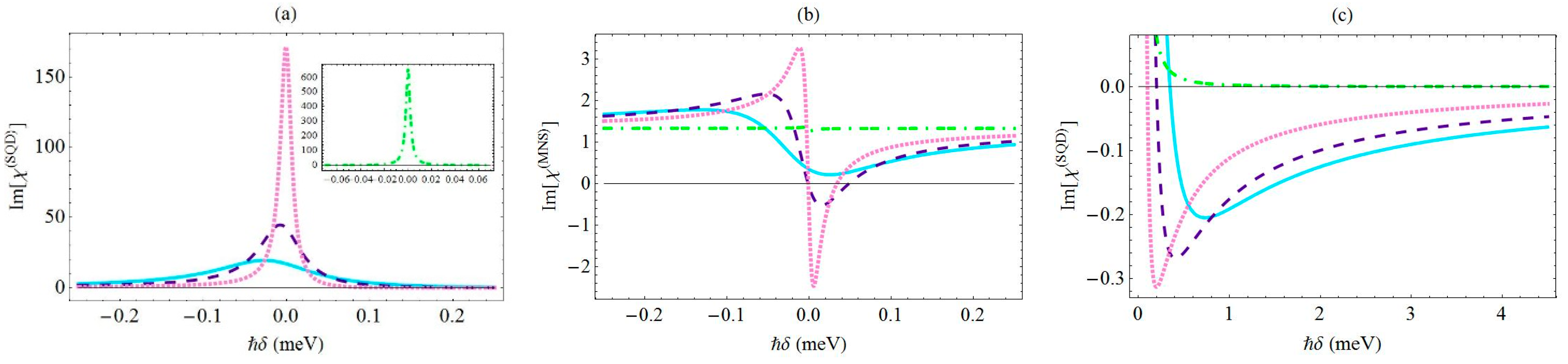
3. Parameters and Results
4. Discussion and Conclusions
Author Contributions
Funding
Institutional Review Board Statement
Informed Consent Statement
Data Availability Statement
Conflicts of Interest
References
- Sadeghi, S.M. The inhibition of optical excitations and enhancement of Rabi flopping in hybrid quantum dot–metallic nanoparticle systems. Nanotechnology 2009, 20, 225401. [Google Scholar] [CrossRef] [PubMed]
- Sadeghi, S.M. Plasmonic metaresonances: Molecular resonances in quantum dot–metallic nanoparticle conjugates. Phys. Rev. B 2009, 79, 233309. [Google Scholar] [CrossRef]
- Zhang, W.; Govorov, A.O.; Bryant, G.W. Semiconductor-metal nanoparticle molecules: Hybrid excitons and the nonlinear Fano effect. Phys. Rev. Lett. 2006, 97, 146804. [Google Scholar] [CrossRef] [PubMed]
- Yan, J.-Y.; Zhang, W.; Duan, S.-Q.; Zhao, X.-G.; Govorov, A.O. Optical properties of coupled metal semiconductor and metal-molecule nanocrystal complexes: Role of multipole effects. Phys. Rev. B 2008, 77, 165301. [Google Scholar] [CrossRef]
- Artuso, R.D.; Bryant, G.W. Strongly coupled quantum dot-metal nanoparticle systems: Exciton-induced transparency, discontinuous response, and suppression as driven quantum oscillator effects. Phys. Rev. B 2010, 82, 195419. [Google Scholar] [CrossRef]
- Ko, M.-C.; Kim, N.-C.; Choe, S., II; So, G.-H.; Jang, P.-R.; Kim, Y.-J.; Kim, I.-G.; Li, J.-B. Plasmonic effect on the optical properties in a hybrid V-Type three-level quantum dot-metallic nanoparticle nanosystem. Plasmonics 2018, 13, 39–46. [Google Scholar] [CrossRef]
- Malyshev, A.V.; Malyshev, V.A. Optical bistability and hysteresis of a hybrid metal-semiconductor nanodimer. Phys. Rev. B 2011, 84, 035314. [Google Scholar] [CrossRef]
- Ridolfo, A.; Di Stefano, O.; Fina, N.; Saija, R.; Savasta, S. Quantum plasmonics with quantum dot-metal nanoparticle molecules: Influence of the Fano effect on photon statistics. Phys. Rev. Lett. 2010, 105, 263601. [Google Scholar] [CrossRef] [PubMed]
- Sadeghi, S.M. Gain without inversion in hybrid quantum dot–metallic nanoparticle systems. Nanotechnology 2010, 21, 455401. [Google Scholar] [CrossRef] [PubMed]
- Kosionis, S.G.; Terzis, A.F.; Sadeghi, S.M.; Paspalakis, E. Optical response of a quantum dot-metal nanoparticle hybrid interacting with a weak probe field. J. Phys. Condens. Matter 2013, 25, 045304. [Google Scholar] [CrossRef] [PubMed]
- Naeimi, Z.; Mohammadzadeh, A.; Miri, M. Optical response of a hybrid system composed of a quantum dot and a core-shell nanoparticle. JOSA B 2019, 36, 2317–2324. [Google Scholar] [CrossRef]
- Nughoro, B.S.; Iskandar, A.A.; Malyshev, V.A.; Knoester, J. Plasmon-assisted two-photon absorption in a semiconductor quantum dot-metallic nanoshell composite. Phys. Rev. B 2020, 102, 045405. [Google Scholar] [CrossRef]
- Huang, C.; Zhang, H.A. Simple derivation of the shell polarizability formula and investigation of the plasmonic behavior of aluminum nanoshells with the Mie theory. Phys. Chem. Chem. Phys. 2021, 23, 23501–23507. [Google Scholar] [CrossRef] [PubMed]
- Johnson, P.B.; Christy, R.W. Optical constants of the noble metals. Phys. Rev. B 1972, 6, 4370. [Google Scholar] [CrossRef]
- Chang-Hasnain, C.J.; Ku, P.-C.; Kim, J.; Chuang, S.-L. Variable optical buffer using slow light in semiconductor nanostructures. Proc. IEEE 2003, 91, 1884–1897. [Google Scholar] [CrossRef]



Disclaimer/Publisher’s Note: The statements, opinions and data contained in all publications are solely those of the individual author(s) and contributor(s) and not of MDPI and/or the editor(s). MDPI and/or the editor(s) disclaim responsibility for any injury to people or property resulting from any ideas, methods, instructions or products referred to in the content. |
© 2022 by the authors. Licensee MDPI, Basel, Switzerland. This article is an open access article distributed under the terms and conditions of the Creative Commons Attribution (CC BY) license (https://creativecommons.org/licenses/by/4.0/).
Share and Cite
Kontakos, A.; Paspalakis, E.; Kosionis, S.G. The Impact of the Core’s Material on the Absorption of a Quantum Dot–Metal Nanoshell Hybrid System. Eng. Proc. 2023, 31, 82. https://doi.org/10.3390/ASEC2022-13805
Kontakos A, Paspalakis E, Kosionis SG. The Impact of the Core’s Material on the Absorption of a Quantum Dot–Metal Nanoshell Hybrid System. Engineering Proceedings. 2023; 31(1):82. https://doi.org/10.3390/ASEC2022-13805
Chicago/Turabian StyleKontakos, Alexandros, Emmanuel Paspalakis, and Spyridon G. Kosionis. 2023. "The Impact of the Core’s Material on the Absorption of a Quantum Dot–Metal Nanoshell Hybrid System" Engineering Proceedings 31, no. 1: 82. https://doi.org/10.3390/ASEC2022-13805
APA StyleKontakos, A., Paspalakis, E., & Kosionis, S. G. (2023). The Impact of the Core’s Material on the Absorption of a Quantum Dot–Metal Nanoshell Hybrid System. Engineering Proceedings, 31(1), 82. https://doi.org/10.3390/ASEC2022-13805

