Abstract
The purpose of safety analysis is to ensure that hazards and risks that could be a possible source of harm and damage are reduced well enough by dealing with all phases of the safety lifecycle and design of suitable safety barriers. It is known that any error or failure to perform the function of each proposed safety barrier can cause extreme damage to the environment, facilities and humans, and even loss of life. Therefore, it is necessary to ensure the effectiveness of the study or analysis. However, even with the major development in control system fields the problems of uncertainties, classification and optimization are still considered unsolved issues. In recent years several tools are developed based on artificial intelligence to deal with such difficulties. In this work, an approach based on Artificial Neural Networks (ANN) is developed to schedule the SIL values of the safety integrity functions (SIF) of an industrial-fired heater. The SIFs are first deduced from HAZOP study for the fired heater. The SIL risk of the consequences related to personnel health and safety, the economic SIL and environment SIL are considered as inputs of the multilayer network with a predefined hard limit activation function.
1. Introduction
Artificial Intelligence has a broad variety of application some of which we already know and encounter in our everyday life: spam filters recognizing malicious emails, search engine filters finding the “best results”, vacuum cleaner robots or even no playable characters in video games [1,2].
The assumption that the human brain may be deemed quite comparable to computers in some ways offers the spontaneous basis for artificial intelligence (AI) [3,4].
The concept of AI was introduced following the creation of the notion of the Information Technology (IT) revolution, and is an attempt to replace human intelligence with machine intelligence [5]. According the Oxford dictionary, the word intelligence is derived from intellect, which is the faculty of knowing, reasoning and understanding. Intelligent behavior is, therefore, the ability to reason, plan and learn, which in turn requires access to knowledge.
AI requires a myriad of techniques, the most important of which is:
- ✓
- artificial neural networks that rely on recognition system based on machine learning/deep learning to perform learning from observational data and discover their solutions [6].
2. Artificial Neural Networks
Artificial neural networks (ANNs) set out to emulate their biological equivalent. The simple model of neuron was proposed by MCCULLOCH and PITTS (1943), and HEBB (1949) described a technique that became known as ‘HEBBIAN learning’. ROSNBLATT (1961) developed a single layer of neurons called perceptron, which was used for optical pattern recognition [7].
WIDROW and SMITH (1964) purposed the first applications of this technology for control purposes. They developed an adaptive linear element (ADLINE) that was taught to stabilize and control an inverted pendulum. The back propagation training algorithm was investigated by WERBOS (1974) and further developed by RUMELHART (1986) and others, leading to the concept of the multi-layer perceptron (MLP) [8].
Artificial neural networks have the following potential advantages for intelligence control:
- They learn from experience rather than by programming;
- They have the ability to generalize from given training data to unseen data;
- They are fast and can be implemented in real-time;
- They fail gracefully rather than catastrophically [9,10].
2.1. The Formal Neuron
A formal neuron simply performs a weighted sum of those inputs, adds a threshold to that sum, and passes the result through a transfer function (activation function) to obtain its output like Figure 1 indicates [11].
Figure 1.
Formal neuron structure.
where:
2.2. Multi-Layer Networks
In this case, the networks generally have at least three layers, an input layer, one or more hidden layers and an output layer. Information flows from input to output through the hidden layer(s) as in Figure 2 [12].
Figure 2.
Multi-layer network structure.
2.3. Activation Function
Weighted input w and the bias b are summed up to create the transfer function net input, which is once more a scalar. This sum is the argument of the transfer function f.
f is a step function or a sigmoid function. Note that the neuron’s scalar parameters w and b are both adjustable [1,12].
The fundamental concept behind neural networks is that these parameters can be changed to prompt the network to behave in an interesting or desired way. By adjusting the weight or bias parameters, we can instruct the network to perform a certain task. Alternatively, the network itself will adjust these parameters to achieve some desired end.
The shapes most used are presented in Figure 3.
Figure 3.
The function shape: (a) hard-limit function (Heaviside function) all or nothing (Neuron of Mac Culloch and Pitts (1945)); (b) linear function; (c) sigmoid function; (d) Gaussian function.
2.4. Neural Networks Learning
The learning consists of calculating the parameters in such a way that the network outputs are as close as possible to the “desired” outputs, which can be the code of the class to which the form that we want to classify belongs, the function value that we want to approximate or that of the process outputs that we want to model, or even the desired output of the process to be controlled [5,13].
Formal neural network learning techniques are optimization algorithms; they seek to minimize the gap between the network’s actual responses and the desired responses by changing the parameters in successive steps (called “iterations”). The network output fits the data better and better as the training proceeds. However, the error made by the neural network at the end of learning is not zero [14,15].
Basically, there are two types of learning, unsupervised learning and supervised learning:
- Unsupervised learning: the algorithm must operate from unannotated examples. Indeed, in this case, machine learning is entirely independent. Data is then entered into the machine without being provided with examples of results. This mode of learning is also called competitive learning—letting the network self-organize by the local laws that govern the evolution of synaptic weights [16,17].
- Supervised learning: this is the most popular learning paradigm in machine learning and deep learning. As the name suggests, this consists of supervising the learning of the machine by showing it examples (data) of the task it must perform. The applications are numerous: Speech recognition, computer vision, regressions, classifications, etc. The vast majority of machine learning and deep learning problems use supervised learning [16,18].
3. Safety Integrity Level (SIL)
Safety instrumented systems (SIS) are technical systems that are widely used in the process industry. The mission of SIS is to detect the onset of hazardous events and to protect humans, material assets and the environment from their consequences. An SIS can perform several safety instrumented functions (SIF) and it is considered as an independent protection layer (IEC 61508 2010) [19].
A safety function is, thus, expressed in terms of the action to be taken and the required probability to satisfactorily perform this action [20].
As a quantitative target, this probability establishes the safety integrity [21]. The IEC 61508 defines four distinct safety integrity levels, SIL1, SIL2, SIL3 and SIL4, and the quantitative targets to which they are associated depend on whether the safety-related system is operating continuously or in low demand mode, for example, a shutdown system. The PFD or its inverse, the risk reduction factor, is the proper indicator of the first situation’s safety function performance (RRF). Concerning the probability of a hazardous failure every hour is a function that runs constantly [22,23,24].
The four SIL definitions for low demand mode are shown in Table 1. As demonstrated, the more accessible the safety-related system is the higher SIL, and the more stringent becomes the implementation of safety function.
Table 1.
Definitions of SILs for low demand mode.
For determining the SIL, IEC standards have provided various methods that have been applied with differing degrees of success. These methods range from using pure quantitative risk assessments (QRAs) to more qualitative methods, as follows:
- Quantitative methods, such as fault tree analysis (FTA) and Markov graphs;
- Semi-qualitative methods, such as safety layer matrix, calibrated risk graph, and layers of protection analysis (LOPA);
- Qualitative methods, such as risk graph and hazardous event severity matrix.
The issue under this study is to classify the overall SIL for the deduced SIFs in HAZOP study (Table A1) [25].
The risk matrix used to identify SIL of different deduced SIFs takes into account the following: consequences related to environmental impact; consequences connected to production and equipment loss; consequences related to personnel’s health and safety, is presented in Table 2 [20,26].
Table 2.
Risk matrix.
4. Application
In this paper, methodology based on artificial neural networks is presented for the fired heater F201-101 of the crude distillation unit of ADRAR refinery Algeria represented in Figure 4. The unit is a part of ADRAR refinery, located in the south of Algeria.
Figure 4.
Process diagram for crude distillation unit.
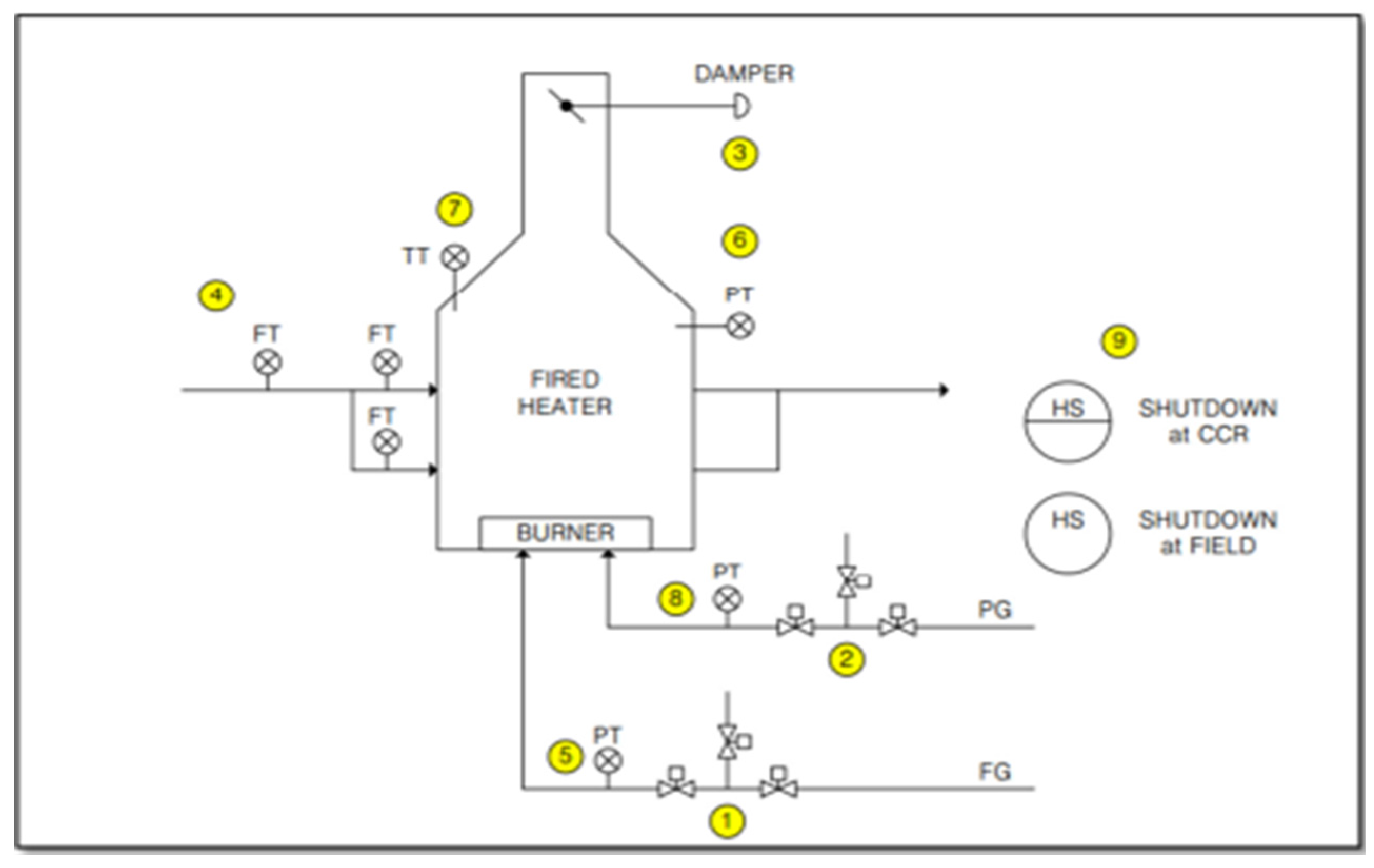
Any fired heater should, in general, be controlled for the following parameters, as in Figure 5:
Figure 5.
Process diagram for crude distillation unit.
- The product flow on each heater pass (in our case the heater has two passes). Some heaters employ a combination of the flow in each pass and the skin temperature of the corresponding tubes to regulate the flow in the tube.
- The internal temperature of the tubes and the product. By using a cascade type controller, which regulates output temperature by pressure of fuel gas in the burners, it is possible to control the temperature of the product so that the set point is 365 c.
- The pressure: the pressure of the fuel gas in the burner’s and the pilot’s gas lines, as well as the pressure inside.
The taken SIFs from [25], which were deduced based on the HAZOP study from [25] with their SILs, are included in the Table 3 (the possible scenarios in case SIF fails are summarized in Table A1.)
Table 3.
SIL matrix values for each SIF.
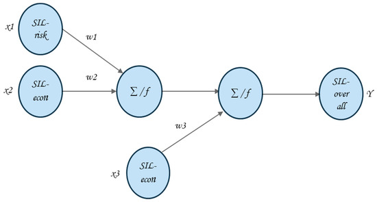
The main objective for this study is to schedule the SILs values to the required SIL for the SIFs presented in Table 4, for this reason we have applied an optimization algorithm using a multi-layer artificial network (Figure 6).
Table 4.
Network parameters.
Figure 6.
Network structure for the studied algorithm.
Inputs x1 and x2 to the neuron are multiplied by weights w1 and w2 and summed up together. The resulting n is the input to the activation function f. The activation function was originally chosen to be a relay function, but for mathematical convenience a hard-limit function is used; it is defined as
The output of the first node becomes an input for the second node.
We used this function in our algorithm to create neurons that make classification decisions, and the typical network is shown in Figure 6.
The following table represents the network parameters.
5. Results and Discussion
The aim of this work is to create a cognition and decision system that classify the SILs values with a predefined activation function to define the overall SIL or the required SIL.
The work is conducted using MATLAB and results are presented in the below table (Table 5).
Table 5.
SIFs deduced from HAZOP study.
As it is shown in the table, the safety integrity level of the heater’s safety instrumented function are classified. The next step to ensure the safety of the fired heater is to compare the obtained results with the calculated SIL resulted from the calculation of the equivalent probability failure under demand of the corresponding safety integrity system. Depending on this comparison, recommendations for the safety system design are raised (i.e., keeping the existing component or proceeding to design configuration in case the calculated SIL is smaller than the required SIL) [25].
The parameters of the considered ANN are obtained during the learning step and they are suitable to be used in any complex system, as in the case of petrochemical plants [27].
Author Contributions
Conceptualization, N.B. and R.B.; methodology, N.B.; validation, N.B. and R.B.; formal analysis, N.B.; investigation, N.B.; resources, N.B.; data curation, R.B.; writing—original draft preparation, N.B.; writing—review and editing, N.B., R.B. and Y.Z.; visualization, N.B., R.B. and Y.Z.; supervision, R.B. and Y.Z.; All authors have read and agreed to the published version of the manuscript.
Funding
This research received no external funding.
Conflicts of Interest
The authors declare no conflict of interest.
Appendix A
Table A1.
SIFs deduced from HAZOP study.
Table A1.
SIFs deduced from HAZOP study.
| SIF | Definition | Type | Scenario |
|---|---|---|---|
| PS 11203 | Low/low pressure in the fuel gas and pilot gas lines. | existing | Burner can extinguish low fuel gas pressure and possible flammable material accumulation |
| TAHH 1 | Temperature High/High in tube | New | High/High temperature in the tube may lead to tube failure and explosion in case where the tube is damaged (pressure of hydrocarbons with fire). The existing protection is the low pressure vapour to extinguish the inside the heater. |
| FS11204 FS11205 | Low/low flow of the crude in each pass | Existing | Low /low flow of the product in each pass will lead to increase the skin temperature of the corresponding heater tube which will lead to tube damage. Fire and explosion is expected. |
| PAHH 2 | High/high alarm in the pressure of both fuel gas and pilot lines | New | Burner can extinguish at high/high fuel gas pressure as a result of gas blowing, and possible flammable material accumulation inside the heater. There is a possibility of explosion during heater restart-up. |
| TS 11207 | High/high temperature in the heater box | Existing | Prolonged exposure to high temperature may cause tube failure which will lead to explosion and unit shutdown. High temperature of the crude may lead to perturbation of distillation column operation, and it may cause harm for the column internal in future. |
| PAHH 3 | High/high pressure in the heater box | New | Increasing the pressure inside the heater box may lead to explosion. The existing physical protection is the explosion windows. |
Table A2.
Personnel safety and health categories.
Table A2.
Personnel safety and health categories.
| Categories | Consequences |
|---|---|
| S0 | No injury or health effect |
| S1 | Slight injury or health effect |
| S2 | Minor injury or health effect |
| S3 | Major injury or health effect |
| S4 | One to three fatalities |
| S5 | Multiple fatalities |
Table A3.
Environment consequences categories.
Table A3.
Environment consequences categories.
| Categories | Consequences |
|---|---|
| E0 | No effect |
| E1 | Slight effect |
| E2 | Minor effect |
| E3 | Local effect |
| E4 | Major effect |
| E5 | Massive effect |
Table A4.
Economic consequences categories.
Table A4.
Economic consequences categories.
| Categories | Consequences |
|---|---|
| L0 | No loss |
| L1 | Slight loss < 10 K USD |
| L2 | Minor loss 10–100 K USD |
| L3 | Local loss 0.1–1 M USD |
| L4 | Major loss 1–10 M USD |
| L5 | Extensive loss > 10 M USD |
References
- You, M.; Li, S.; Li, D.; Xu, S. Applications of Artificial Intelligence for Coal Mine Gas Risk Assessment. Saf. Sci. 2021, 143, 105420. [Google Scholar] [CrossRef]
- Rahmanifard, H.; Plaksina, T. Application of Artificial Intelligence Techniques in the Petroleum Industry: A Review. Artif. Intell. Rev. 2019, 52, 2295–2318. [Google Scholar] [CrossRef]
- Wittwehr, C.; Blomstedt, P.; Gosling, J.P.; Peltola, T.; Raffael, B.; Richarz, A.-N.; Sienkiewicz, M.; Whaley, P.; Worth, A.; Whelan, M. Artificial Intelligence for Chemical Risk Assessment. Comput. Toxicol. 2020, 13, 100114. [Google Scholar] [CrossRef] [PubMed]
- Huang, T.-J. Imitating the Brain with Neurocomputer a “New” Way towards Artificial General Intelligence. Int. J. Autom. Comput. 2017, 14, 520–531. [Google Scholar] [CrossRef]
- Abiodun, O.I.; Jantan, A.; Omolara, A.E.; Dada, K.V.; Mohamed, N.A.; Arshad, H. State-of-the-Art in Artificial Neural Network Applications: A Survey. Heliyon 2018, 4, e00938. [Google Scholar] [CrossRef]
- Cheng, J.; Li, Q.S.; Xiao, R. A New Artificial Neural Network-Based Response Surface Method for Structural Reliability Analysis. Probab. Eng. Mech. 2008, 23, 51–63. [Google Scholar] [CrossRef]
- Nabian, M.A.; Meidani, H. Deep Learning for Accelerated Reliability Analysis of Infrastructure Networks. Comput.-Aided Civ. Infrastruct. Eng. 2018, 33, 443–458. [Google Scholar] [CrossRef]
- Paltrinieri, N.; Comfort, L.; Reniers, G. Learning about Risk: Machine Learning for Risk Assessment. Saf. Sci. 2019, 118, 475–486. [Google Scholar] [CrossRef]
- Adler, R.; Akram, M.N.; Bauer, P.; Feth, P.; Gerber, P.; Jedlitschka, A.; Jöckel, L.; Kläs, M.; Schneider, D. Hardening of Artificial Neural Networks for Use in Safety-Critical Applications—A Mapping Study. arXiv 2019, arXiv:1909.03036. [Google Scholar]
- Goh, Y.M.; Chua, D. Neural Network Analysis of Construction Safety Management Systems: A Case Study in Singapore. Constr. Manag. Econ. 2013, 31, 460–470. [Google Scholar] [CrossRef]
- Anastasi, S.; Madonna, M.; Monica, L. Implications of Embedded Artificial Intelligence-Machine Learning on Safety of Machinery. Procedia Comput. Sci. 2021, 180, 338–343. [Google Scholar] [CrossRef]
- Davoudi Kakhki, F.; Freeman, S.A.; Mosher, G.A. Use of Neural Networks to Identify Safety Prevention Priorities in Agro-Manufacturing Operations within Commercial Grain Elevators. Appl. Sci. 2019, 9, 4690. [Google Scholar] [CrossRef]
- Albawi, S.; Mohammed, T.A.; Al-Zawi, S. Understanding of a Convolutional Neural Network. In Proceedings of the 2017 International Conference on Engineering and Technology (ICET), Antalya, Turkey, 21–23 August 2017; pp. 1–6. [Google Scholar]
- Bengio, Y. Learning Deep Architectures for AI. Found. Trends® Mach. Learn. 2009, 2, 1–127. [Google Scholar] [CrossRef]
- Kumar, M.; Jindal, M.K.; Sharma, R.K. Weka-Based Classification Techniques for Offline Handwritten Gurmukhi Character Recognition. In Proceedings of the Second International Conference on Soft Computing for Problem Solving (SocProS 2012), 28–30 December 2012; Babu, B.V., Nagar, A., Deep, K., Pant, M., Bansal, J.C., Ray, K., Gupta, U., Eds.; Springer: New Delhi, India, 2014; pp. 711–720. [Google Scholar]
- Hertz, J.A. Introduction To The Theory Of Neural Computation; CRC Press: Boca Raton, FL, USA, 2019; ISBN 978-0-429-49966-1. [Google Scholar]
- Fern´ndez, A.S.; Delgado-Mata, C.; Velazquez, R. Training a Single-Layer Perceptron for an Approximate Edge Detection on a Digital Image. In Proceedings of the 2011 International Conference on Technologies and Applications of Artificial Intelligence, Washington, DC, USA, 11–13 November 2011; pp. 189–193. [Google Scholar]
- Carpenter, G.A.; Grossberg, S. A Self-Organizing Neural Network for Supervised Learning, Recognition, and Prediction. IEEE Commun. Mag. 1992, 30, 38–49. [Google Scholar] [CrossRef]
- Fae, E.; Marcel, F. Standard Devices vs IEC 61508 SIL Safety Devices Integration in Process Industry. Annu. Electr. Autom. Knowl. Shar. Event 2018, 15, 199–207. [Google Scholar]
- Bendib, R.; Zennir, Y.; Mechhoud, E.-A.; Bouziane, S. Risk Assessment for a Steam Generator (1050 G1) Skikda Refinery Algeria, Using HAZOP and RQA Methods. In Proceedings of the 2019 International Conference on Advanced Systems and Emergent Technologies (IC_ASET), Hammamet, Tunisia, 19–22 March 2019; pp. 262–267. [Google Scholar]
- Nait-Said, R.; Zidani, F.; Ouzraoui, N. Fuzzy Risk Graph Model for Determining Safety Integrity Level. Int. J. Qual. Stat. Reliab. 2008, 2008, 263895. [Google Scholar] [CrossRef]
- Cruz-Campa, H.J.; Cruz-Gómez, M.J. Determine SIS and SIL Using HAZOPS. Process Saf. Prog. 2010, 29, 22–31. [Google Scholar] [CrossRef]
- Gabriel, A.; Ozansoy, C.; Shi, J. Developments in SIL Determination and Calculation. Reliab. Eng. Syst. Saf. 2018, 177, 148–161. [Google Scholar] [CrossRef]
- Torres-Echeverria, A.C. On the Use of LOPA and Risk Graphs for SIL Determination. J. Loss Prev. Process Ind. 2016, 41, 333–343. [Google Scholar] [CrossRef]
- Riad, B.; Hamid, B.; Hind, R.; Youcef, Z. Design Of an Integration Frame HAZOP-SIL for Safety Optimization of a Fired Heater. In Proceedings of the 2018 International Conference on Electrical Sciences and Technologies in Maghreb (CISTEM), Algiers, Algeria, 29–31 October 2018; pp. 1–6. [Google Scholar]
- Bendib, R.; Mechhoud, E.; Bendjama, H.; Boulksibat, H. Risk Assessment of a Gas Plant (Unit 30 Skikda Refinery) Using Hazop &Bowtie Methods, Simulation of Dangerous Scenarios Using ALOHA Software. Alger. J. Signals Syst. 2020, 5, 25–32. [Google Scholar] [CrossRef]
- Ahn, J.; Chang, D. Fuzzy-Based HAZOP Study for Process Industry. J. Hazard. Mater. 2016, 317, 303–311. [Google Scholar] [CrossRef] [PubMed]
Disclaimer/Publisher’s Note: The statements, opinions and data contained in all publications are solely those of the individual author(s) and contributor(s) and not of MDPI and/or the editor(s). MDPI and/or the editor(s) disclaim responsibility for any injury to people or property resulting from any ideas, methods, instructions or products referred to in the content. |
© 2023 by the authors. Licensee MDPI, Basel, Switzerland. This article is an open access article distributed under the terms and conditions of the Creative Commons Attribution (CC BY) license (https://creativecommons.org/licenses/by/4.0/).





