Dietary Intake and Body Composition of Fixed-Shift Workers During the Climacteric: An Intervention Study with Exogenous Melatonin
Abstract
1. Introduction
2. Materials and Methods
2.1. Study Design
2.2. Population
2.3. Study Sample
2.4. Sample Calculation
2.5. Inclusion and Exclusion Criteria
2.6. Intervention Group (Melatonin) and Control Group (Placebo)
2.7. Urine Collection and Analysis
2.8. Data Collection
2.9. Dietary Intake Data Collection
- (1)
- Listing all foods and beverages consumed on the previous day without interrupting the participant or asking detailed questions.
- (2)
- The interviewer quickly reviews the list and asks detailed questions about each item, including description, quantity, brand, and preparation method.
- (3)
- The interviewer reviews the times and occasions of meals and snacks, helping the participants recall any items not initially reported.
- (4)
- Checking for commonly omitted items such as juices, snacks, and alcoholic beverages.
- (5)
- Final review by the interviewer, rechecking times and quantities to ensure all information is accurately recorded.
2.10. Body Composition Data Collection
2.11. Sleep Quality
2.12. Ethical Procedures
2.13. Statistical Analysis
3. Results
3.1. Sociodemographic Data
3.2. Food Consumption and Body Composition
3.3. Results After Intervention
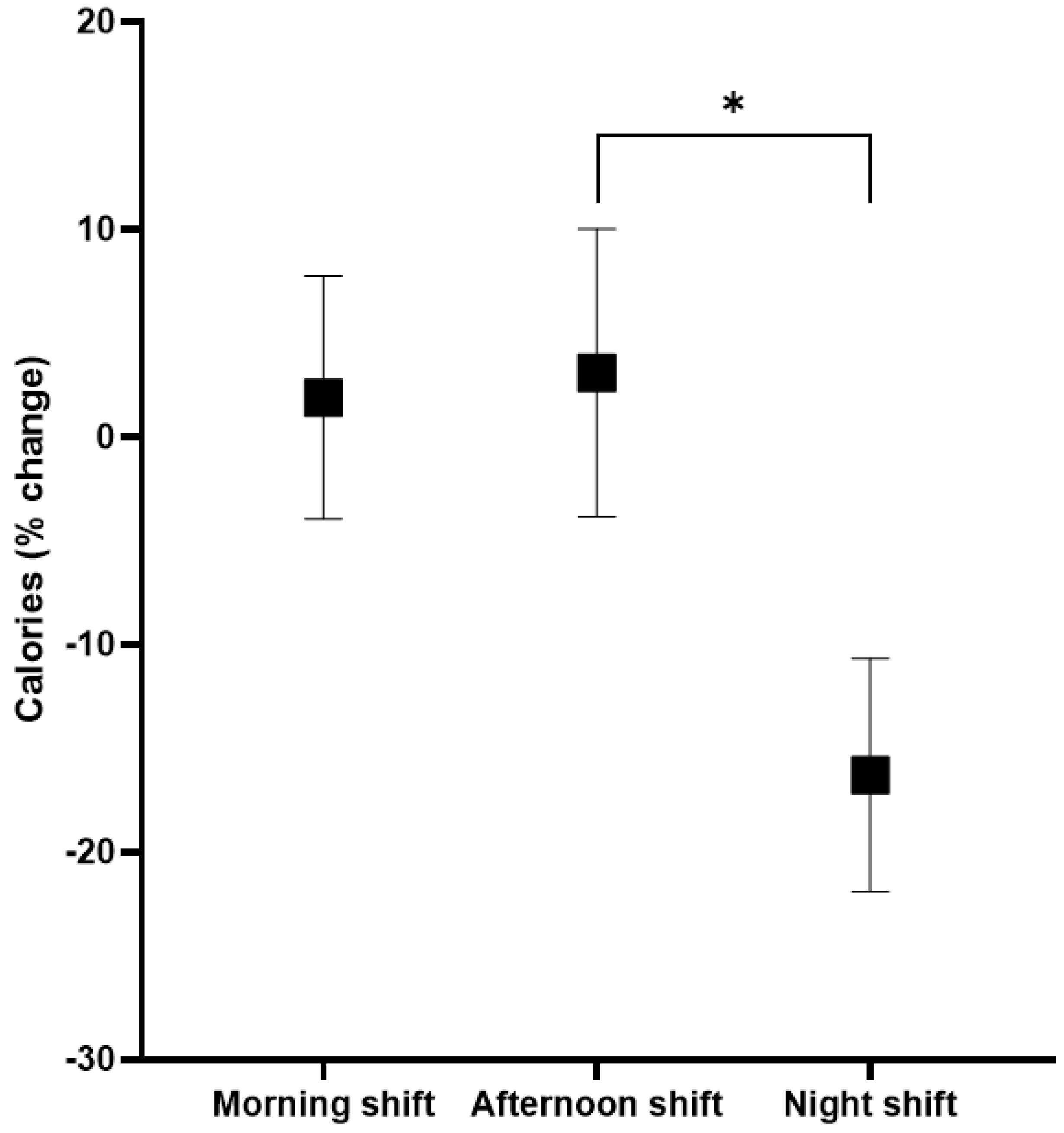
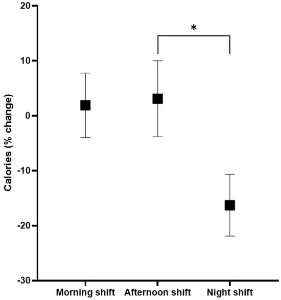
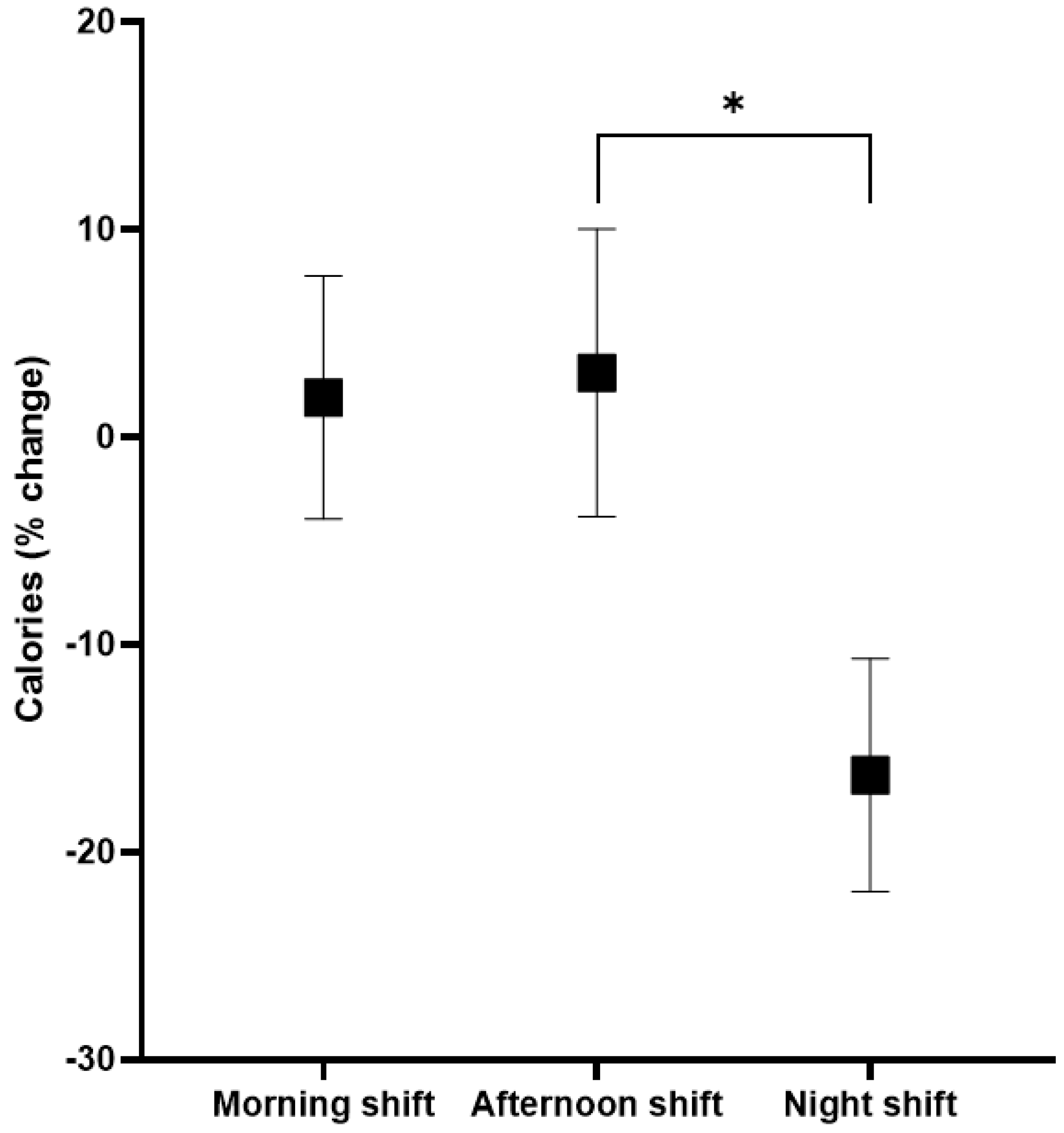
3.4. Dietary Intake
3.5. Body Composition
4. Discussion
5. Conclusions
Author Contributions
Funding
Institutional Review Board Statement
Informed Consent Statement
Data Availability Statement
Conflicts of Interest
References
- Schettini, M.A.S.; Passos, R.F.d.N.; Koike, B.D.V. Shift Work and Metabolic Syndrome Updates: A Systematic Review. Sleep Sci. 2023, 16, 237–247. [Google Scholar] [CrossRef]
- Torquati, L.; Mielke, G.I.; Brown, W.J.; Kolbe-Alexander, T. Shift work and the risk of cardiovascular disease. A systematic review and meta-analysis including dose-response relationship. Scand. J. Work. Environ. Health 2018, 44, 229–238. [Google Scholar] [CrossRef] [PubMed]
- Moreno, C.R.C.; Marqueze, E.C.; Sargent, C.; Wright, K.P.; Ferguson, S.A.; Tucker, P. Working Time Society consensus statements: Evidence-based effects of shift work on physical and mental health. Ind. Health 2019, 57, 139–157. [Google Scholar] [CrossRef]
- Heath, G.; Coates, A.; Sargent, C.; Dorrian, J. Sleep duration and chronic fatigue are differently associated with the dietary profile of shift workers. Nutrients 2016, 8, 771. [Google Scholar] [CrossRef] [PubMed]
- Heath, G.; Dorrian, J.; Coates, A. Associations between shift type, sleep, mood, and diet in a group of shift working nurses. Scand. J. Work Environ. Health 2019, 45, 402–412. [Google Scholar] [CrossRef]
- Hepsomali, P.; Groeger, J.A. Diet, sleep, and mental health: Insights from the uk biobank study. Nutrients 2021, 13, 2573. [Google Scholar] [CrossRef]
- Huang, X.; Chen, X.; Zhao, S.; Hou, J.; Huang, L.; Xu, J.; Wang, W.; He, M.; Shen, O.; Zhang, J. Metabolomic Profiles of Shift Workers and Day Workers: A Cross-Sectional Study. Obesity 2021, 29, 1074–1082. [Google Scholar] [CrossRef]
- Marquezea, E.C.; Lemosa, L.C.; Soaresa, N.; Lorenzi-Filhob, G.; Morenoa, C.R.C. Weight gain in relation to night work among nurses. Work 2012, 41 (Suppl. S1), 2043–2048. [Google Scholar] [CrossRef]
- Amaral, F.G.D.; Cipolla-Neto, J. A brief review about melatonin, a pineal hormone. Arch. Endocrinol. Metab. 2018, 62, 472–479. [Google Scholar] [CrossRef] [PubMed]
- Amaral, F.G.D.; Andrade-Silva, J.; Kuwabara, W.M.T.; Cipolla-Neto, J. New insights into the function of melatonin and its role in metabolic disturbances. Expert Rev. Endocrinol. Metab. 2019, 14, 293–300. [Google Scholar] [CrossRef]
- Chojnacki, C.; Kaczka, A.; Gasiorowska, A.; Fichna, J.; Chojnacki, J.; Brzozowski, T. The effect of long-term melatonin supplementation on psychosomatic disorders in postmenopausal women. J. Physiol. Pharmacol. 2018, 69, 10. [Google Scholar]
- Wei, T.; Li, C.; Heng, Y.; Gao, X.; Zhang, G.; Wang, H.; Zhao, X.; Meng, Z.; Zhang, Y.; Hou, H. Association between night-shift work and level of melatonin: Systematic review and meta-analysis. Sleep Med. 2020, 75, 502–509. [Google Scholar] [CrossRef]
- Cipolla-Neto, J.; Do Amaral, F.G. Melatonin as a Hormone: New Physiological and Clinical Insights. Endocr. Rev. 2018, 39, 990–1028. [Google Scholar] [CrossRef] [PubMed]
- Cipolla-Neto, J.; Amaral, F.G.; Afeche, S.C.; Tan, D.X.; Reiter, R.J. Melatonin, energy metabolism, and obesity: A review. J. Pineal Res. 2014, 56, 371–381. [Google Scholar] [CrossRef]
- Treister-Goltzman, Y.; Peleg, R. Melatonin and the health of menopausal women: A systematic review. J. Pineal Res. 2021, 71, e12743. [Google Scholar] [CrossRef]
- Marqueze, E.C.; Nogueira, L.F.R.; Vetter, C.; Skene, D.J.; Cipolla-Neto, J.; Moreno, C.R.C. Exogenous melatonin decreases circadian misalignment and body weight among early types. J. Pineal Res. 2021, 71, e12750. [Google Scholar] [CrossRef]
- Kravitz, H.M.; Kazlauskaite, R.; Joffe, H. Sleep, Health, and Metabolism in Midlife Women and Menopause: Food for Thought. Obstet. Gynecol. Clin. N. Am. 2018, 45, 679–694. [Google Scholar] [CrossRef] [PubMed]
- Baker, F.C.; Lampio, L.; Saaresranta, T.; Polo-Kantola, P. Sleep and Sleep Disorders in the Menopausal Transition. Sleep Med. Clin. 2018, 13, 443–456. [Google Scholar] [CrossRef] [PubMed]
- Noll, P.R.E.S.; Campos, C.A.S.; Leone, C.; Zangirolami-Raimundo, J.; Noll, M.; Baracat, E.C.; Júnior, J.M.S.; Sorpreso, I.C.E. Dietary intake and menopausal symptoms in postmenopausal women: A systematic review. Climacteric 2021, 24, 128–138. [Google Scholar] [CrossRef] [PubMed]
- Vetrani, C.; Barrea, L.; Rispoli, R.; Verde, L.; De Alteriis, G.; Docimo, A.; Auriemma, R.S.; Colao, A.; Savastano, S.; Muscogiuri, G. Mediterranean Diet: What Are the Consequences for Menopause? Front. Endocrinol. 2022, 13, 886824. [Google Scholar] [CrossRef] [PubMed]
- Jehan, S.; Jean-Louis, G.; Zizi, F.; Auguste, E.; Pandi-Perumal, S.R.; Gupta, R.; Attarian, H.; McFarlane, S.I.; Hardeland, R.; Brzezinski, A. Sleep, melatonin, and the menopausal transition: What are the links? Sleep Sci. 2017, 10, 11–18. [Google Scholar] [PubMed]
- Teraž, K.; Pus, K.; Pišot, S.; Cikač, A.; Šimunič, B. Relationship Between Mediterranean Diet Adherence and Body Composition Parameters in Older Adults from the Mediterranean Region. Nutrients 2024, 16, 3598. [Google Scholar] [CrossRef]
- World Health Organization. WHO Global Sodium Benchmarks for Different Food Categories; World Health Organization: Geneva, Switzerland, 2024. [Google Scholar]
- Anon. Metas Regionales Actualizadas de la OPS para la Reducción del Sodio. 2021. Available online: https://iris.paho.org/handle/10665.2/54971 (accessed on 31 January 2025).
- Ortega, R.M.; Perez-Rodrigo, C.; Lopez-Sobaler, A.M. Métodos de evaluación de la ingesta actual: Registro o diario dietético. Nutr. Hosp. 2015, 31, 38–45. [Google Scholar]
- Moshfegh, A.J.; Rhodes, D.G.; Baer, D.J.; Murayi, T.; Clemens, J.C.; Rumpler, W.V.; Paul, D.R.; Sebastian, R.S.; Kuczynski, K.J.; Ingwersen, L.A.; et al. The US Department of Agriculture Automated Multiple-Pass Method reduces bias in the collection of energy intakes. Am. J. Clin. Nutr. 2008, 88, 324–332. [Google Scholar] [CrossRef] [PubMed]
- TACO—Tabela Brasileira de Composição de Alimentos, 4th ed.; Universidade Estadual de Campinas: Campinas, São Paulo, Brazil, 2011; Available online: https://www.cfn.org.br/wp-content/uploads/2017/03/taco_4_edicao_ampliada_e_revisada (accessed on 31 January 2025).
- Realização. Quantificação Alimentar. Available online: https://ian-af.up.pt/sites/default/files/Manual%20Fotogra%CC%81fico%20IAN-AF_1.pdf (accessed on 31 January 2025).
- Bertolazi, A.N.; Fagondes, S.C.; Hoff, L.S.; Dartora, E.G.; da Silva Miozzo, I.C.; de Barba, M.E.F.; Barreto, S.S. Validation of the Brazilian Portuguese version of the Pittsburgh Sleep Quality Index. Sleep Med. 2011, 12, 70–75. [Google Scholar] [CrossRef]
- Vajdi, M.; Moeinolsadat, S.; Noshadi, N.; Pourteymour Fard Tabrizi, F.; Khajeh, M.; Abbasalizad-Farhangi, M.; Alipour, B. Effect of melatonin supplementation on body composition and blood pressure in adults: A systematic review and Dose–Response meta-analysis of randomized controlled trial. Heliyon 2024, 10, e34604. [Google Scholar] [CrossRef] [PubMed]
- Nogueira, L.F.R.; Crispim, C.A.; Cipolla-Neto, J.; de Castro Moreno, C.R.; Marqueze, E.C. The Effect of Exogenous Melatonin on Eating Habits of Female Night Workers with Excessive Weight. Nutrients 2022, 14, 3420. [Google Scholar] [CrossRef]
- Carlos, R.M.; Matias, C.N.; Cavaca, M.L.; Cardoso, S.; Santos, D.A.; Giro, R.; Vaz, J.R.; Pereira, P.; Vicente, F.; Leonardo-Mendonça, R.C.; et al. The effects of melatonin and magnesium in a novel supplement delivery system on sleep scores, body composition and metabolism in otherwise healthy individuals with sleep disturbances. Chronobiol. Int. 2024, 6, 817–828. [Google Scholar] [CrossRef] [PubMed]
- Mendes, L.; Queiroz, M.; Sena, C.M. Melatonin and Vascular Function. Antioxidants 2024, 13, 747. [Google Scholar] [CrossRef] [PubMed]
- Carriedo-Diez, B.; Tosoratto-Venturi, J.L.; Cantón-Manzano, C.; Wanden-Berghe, C.; Sanz-Valero, J. The Effects of the Exogenous Melatonin on Shift Work Sleep Disorder in Health Personnel: A Systematic Review. Int. J. Environ. Res. Public Health 2022, 19, 10199. [Google Scholar] [CrossRef] [PubMed]
- Saggi, M.K.; Phillips, C.L.; Comas, M.; Hoyos, C.M.; Marshall, N.S.; Shiao, J.S.C.; Guo, Y.L.; Lin, T.T.; Cayanan, E.A.; Gordon, C.J. Does daily energy and macronutrient intake differ between work and non-workdays in shift workers? A mixed methods study. Chronobiol. Int. 2023, 40, 1039–1048. [Google Scholar] [CrossRef] [PubMed]
- Amstrup, A.K.; Sikjaer, T.; Pedersen, S.B.; Heickendorff, L.; Mosekilde, L.; Rejnmark, L. Reduced fat mass and increased lean mass in response to 1 year of melatonin treatment in postmenopausal women: A randomized placebo-controlled trial. Clin. Endocrinol. 2016, 84, 342–347. [Google Scholar] [CrossRef] [PubMed]
- ASSOCIAÇÃO BRASILEIRA PARA O ESTUDO DA OBESIDADE E DA SINDROME METABÓLICA—ABESO. Diretrizes Brasileiras de Obesidade 2016, 4th ed.; ABESO: São Paulo, Brazil, 2016; Available online: https://abeso.org.br/wp-content/uploads/2019/12/Diretrizes-Download-Diretrizes-Brasileiras-de-Obesidade-2016 (accessed on 31 January 2025).
- Castro, J. Methodology, Correlational Analysis, and Interpretation of Diet Diary Records of the Food and Fluid Intake of Free-living Humans. Appetite 1994, 23, 179–192. [Google Scholar] [CrossRef] [PubMed]
- Ortega, R.M.; Pérez-Rodrigo, C.; López-Sobaler, A.M. Dietary assessment methods: Dietary records. Nutr. Hosp. 2015, 31 (Suppl. S3), 38–45. [Google Scholar] [CrossRef] [PubMed]





| Shift | MORNING (n = 16) | * | AFTERNOON (n = 15) | * | NIGHT (n = 15) | * | ** | |||
|---|---|---|---|---|---|---|---|---|---|---|
| Variable | n (%) or Mean ± SD | n (%) or Mean ± SD | n (%) or Mean ± SD | |||||||
| Intervention (n = 7) | Placebo (n = 9) | Intervention (n = 8) | Placebo (n = 7) | Intervention (n = 7) | Placebo (n = 8) | |||||
| Age (years) | 49.9 ± 6.6 | 45.1 ± 4.3 | n.s | 47.1 ± 5.7 | 48.5 ± 5.87 | n.s | 43.0 ± 3.5 | 50.0 ± 4.9 | 0.01 | n.s |
| Years working at hospital | 14.4 ± 8.4 | 11.3 ± 3.7 | n.s | 6.4 ± 3.6 | 10.4 ± 9.32 | n.s | 9.9 ± 2.5 | 9.8 ± 4.3 | n.s | n.s |
| Years working night shifts | 4.6 ± 3.5 | 5.2 ± 4.5 | n.s | 9.2 ± 9.2 | 5.2 ± 4.4 | n.s | 7.3 ± 7.0 | 7.7 ± 3.8 | n.s | n.s |
| Minutes sitting on days off | 244 ± 82 | 251 ± 150 | n.s | 300 ± 137 | 326 ± 129 | n.s | 197 ± 96.2 | 251 ± 142 | 0.04 | n.s |
| Menopausal status | n.s | n.s | n.s | n.s | ||||||
| Menopausal | 3 (18.8) | 3 (18.8) | 1 (6.7) | 3 (20.0) | 3 (20.0) | 3 (20.0) | ||||
| Non-menopausal | 4 (25.0) | 6 (37.5) | 7 (46.7) | 4 (26.7) | 4 (26.7) | 5 (33.3) | ||||
| Race/Ethnicity | n.s | n.s | n.s | n.s | ||||||
| White | 2 (12.5) | 6 (37.5) | 4 (26.7) | 4 (26.7) | 2 (13.3) | 4 (26.7) | ||||
| Non-White (Brown, Black, and Yellow) | 5 (31.3) | 3 (18.8) | 4 (26.7) | 3 (20.0) | 5 (33.3) | 4 (26.7) | ||||
| Occupation | n.s | n.s | n.s | n.s | ||||||
| Nurse | 2 (12.5) | 2 (12.5) | 0 (0) | 3 (20.0) | 2 (13.3) | 3 (20.0) | ||||
| Nursing Technician | 5 (31.3) | 7 (48.8) | 8 (53.3) | 4 (26.7) | 5 (33.3) | 5 (33.3) | ||||
| Marital status | n.s | n.s | n.s | n.s | ||||||
| No partner (single, widowed, or separated/divorced) | 1 (6.3) | 2 (12.5) | 5 (33.3) | 3 (20.0) | 2 (13.3) | 3 (20.0) | ||||
| With partner (married or living with partner) | 6 (37.5) | 7 (43.8) | 3 (20.0) | 44 (26.7) | 5 (33.3) | 5 (33.3) | ||||
| Education level | n.s | n.s | n.s | |||||||
| High school graduate | 0 (0) | 0 (0) | 0 (0) | 1 (6.7) | 0 (0) | 0 (0) | ||||
| Completed high school and technical education | 3 (18.8) | 7 (43.8) | 5 (33.3) | 3 (20.0) | 3 (20.0) | 1 (6.7) | ||||
| Higher education in progress or incomplete | 1 (6.3) | 0 (0) | 0 (0) | 0 (0) | 1 (6.7) | 1 (6.7) | ||||
| Completed higher education | 0 (0) | 1 (6.3) | 1 (6.7) | 0 (0) | 1 (6.7) | 0 (0) | ||||
| Postgraduate studies in progress or incomplete | 3 (18.8) | 1 (6.3) | 2 (13.3) | 3 (20.0) | 2 (13.3) | 3 (20.0) | ||||
| Has children | n.s | n.s | n.s | n.s | ||||||
| Yes | 6 (37.5) | 8 (50.0) | 6 (40.0) | 6 (40.0) | 7 (46.7) | 6 (40.0) | ||||
| No | 1 (6.3) | 1 (6.3) | 2 (13.3) | 1 (6.7) | 0 (0) | 2 (13.3) | ||||
| Smoking status | n.s | n.s | n.s | n.s | ||||||
| Never smoked | 7 (43.8) | 8 (50.0) | 8 (53.3) | 6 (40.0) | 6 (40.0) | 6 (40.0) | ||||
| Not currently smoking but past smoker | 0 (0) | 1 (6.3) | 0 (0) | 1 (6.7) | 1 (6.7) | 2 (13.3) | ||||
| Yes | 0 (0) | 0 (0) | 0 (0) | 0 (0) | 0 (0) | 0 (0) | ||||
| Income | n.s | n.s | n.s | n.s | ||||||
| ≤5400.00 | 6 (37.5) | 9 (56.3) | 8 (53.3) | 4 (26.7) | 6 (40.0) | 6 (40.0) | ||||
| 5401.00–9001.00 | 1 (6.3) | 0 (0) | 0 (0) | 3 (20.0) | 1 (6.7) | 2 (13.3) | ||||
| Does not know/does not want to respond | 0 (0) | 0 (0) | 0 (0) | 0 (0) | 0 (0) | 0 (0) | ||||
| Shift | MORNING (n = 16) | * | AFTERNOON (n = 15) | * | NIGHT (n = 15) | * | ** | |||
|---|---|---|---|---|---|---|---|---|---|---|
| Variable | n (%) or Mean ± SD | n (%) or Mean ± SD | n (%) or Mean ± SD | |||||||
| Intervention (n = 7) | Placebo (n = 9) | Intervention (n = 8) | Placebo (n = 7) | Intervention (n = 7) | Placebo (n = 8) | |||||
| Dietary intake | ||||||||||
| Calories (kcal) | 1.522 ± 437 | 1.927 ± 442 | n.s | 1.609 ± 269 | 1.524 ± 254 | n.s | 2.010 ± 408 | 1.921 ± 402 | n.s | 0.03 |
| Proteins (g) | 66.3 ± 21.1 | 69.4 ± 15.1 | n.s | 65.2 ± 10.6 | 76.7 ± 23.3 | n.s | 95.9 ± 31.6 | 78.0 ± 19.8 | n.s | 0.12 |
| Carbohydrates (g) | 191 ± 41.4 | 248 ± 71.6 | n.s | 207 ± 33.4 | 185 ± 26.5 | n.s | 234 ± 34.9 | 261 ± 58.5 | n.s | 0.02 |
| Lipids (g) | 56.4 ± 30.7 | 72.4 ± 13.7 | n.s | 59.3 ± 20.7 | 53.0 ± 21.8 | n.s | 78.4 ± 25.3 | 69.8 ± 20.1 | n.s | 0.11 |
| Body composition | ||||||||||
| Weight (kg) | 66.1 ± 7.15 | 73.7 ± 12.4 | n.s | 77.8 ± 20.5 | 83.6 ± 13.2 | n.s | 70.3 ± 10.9 | 70.4 ± 13.2 | n.s | <0.01 |
| BMI (kg/m²) | 26.0 ± 3.32 | 28.2 ± 3.89 | n.s | 28.3 ± 6.69 | 31.5 ± 4.74 | n.s | 27.8 ± 4.55 | 27.1 ± 5.51 | n.s | 0.04 |
| Fat-free mass (%) | 62.5 ± 6.76 | 56.0 ± 6.71 | n.s | 60.0 ± 10.5 | 52.5 ± 6.47 | n.s | 60.1 ± 8.29 | 62.7 ± 7.07 | n.s | 0.02 |
| Fat-free index (FFMI) | 16.1 ± 0.96 | 15.6 ± 1.18 | n.s | 16.5 ± 1.06 | 16.3 ± 0.99 | n.s | 16.5 ± 1.76 | 16.7 ± 1.69 | n.s | 0.58 |
| Fat mass (%) | 37.5 ± 6.76 | 44.0 ± 6.71 | n.s | 40.0 ± 10.5 | 47.5 ± 6.47 | n.s | 39.9 ± 8.29 | 37.3 ± 7.07 | n.s | 0.02 |
| Fat mass index (FMI) | 9.93 ± 2.81 | 12.6 ± 6.02 | n.s | 11.9 ± 3.79 | 15.2 ± 3.54 | n.s | 11.3 ± 4.14 | 10.4 ± 3.92 | n.s | 0.02 |
| Skeletal muscle mass (%) | 30.1 ± 3.71 | 27.2 ± 3.63 | n.s | 29.5 ± 5.67 | 25.8 ± 2.93 | n.s | 29.2 ± 5.03 | 30.6 ± 4.67 | n.s | 0.07 |
| Shift | MORNING (n = 16) | * | AFTERNOON (n = 15) | * | NIGHT (n = 15) | * | ** | |||
|---|---|---|---|---|---|---|---|---|---|---|
| Variable | n (%) or Mean ± SD | n (%) or Mean ± SD | n (%) or Mean ± SD | |||||||
| Intervention (n = 7) | Placebo (n = 9) | Intervention (n = 8) | Placebo (n = 7) | Intervention (n = 7) | Placebo (n = 8) | |||||
| Dietary intake | ||||||||||
| Calories (kcal) | 1.604 ± 447 | 1.732 ± 374 | n.s | 1.738 ± 315 | 1.517 ± 219 | n.s | 1.624 ± 400 | 1.649 ± 277 | n.s | 0.98 |
| Proteins (g) | 69.8 ± 21.0 | 71.3 ± 19.3 | n.s | 68.4 ± 10.9 | 71.5 ± 14.8 | n.s | 74.1 ± 12.7 | 67.3 ± 14.1 | n.s | 0.79 |
| Carbohydrates (g) | 197 ± 56.5 | 212 ± 61.5 | n.s | 222 ± 55.9 | 175 ± 32.3 | n.s | 199 ± 45.6 | 224 ± 48.0 | n.s | 0.62 |
| Lipids (g) | 60.1 ± 23.3 | 68.7 ± 20.5 | n.s | 67.4 ± 15.7 | 59.2 ± 30.7 | n.s | 61.7 ± 23.0 | 55.6 ± 14.2 | n.s | 0.84 |
| Body composition | ||||||||||
| Weight (kg) | 65.2 ± 7.26 | 73.7 ± 12.9 | n.s | 78.7 ± 20.6 | 81.4 ± 14.3 | n.s | 71.8 ± 13.5 | 70.4 ± 13.6 | n.s | <0.01 |
| BMI (kg/m²) | 25.6 ± 3.31 | 28.2 ± 4.00 | n.s | 28.7 ± 6.68 | 30.6 ± 5.21 | n.s | 28.2 ± 5.16 | 27.0 ± 5.51 | n.s | 0.04 |
| Fat-free mass (%) | 59.2 ± 8.81 | 56.0 ± 7.02 | n.s | 59.3 ± 9.17 | 53.8 ± 8.63 | n.s | 58.4 ± 5.87 | 62.7 ± 7.88 | n.s | 0.05 |
| Fat-free index (FFMI) | 15.6 ± 0.85 | 15.5 ± 0.83 | n.s | 16.6 ± 1.30 | 16.2 ± 1.27 | n.s | 16.4 ± 2.04 | 16.6 ± 1.70 | n.s | 0.24 |
| Fat mass (%) | 38.6 ± 7.58 | 44.0 ± 7.02 | n.s | 40.7 ± 9.17 | 46.2 ± 8.63 | n.s | 41.6 ± 5.87 | 37.3 ± 7.88 | n.s | 0.05 |
| Fat mass index (FMI) | 10.1 ± 3.12 | 12.6 ± 3.72 | n.s | 12.2 ± 5.58 | 14.5 ± 4.54 | n.s | 12.0 ± 3.84 | 10.4 ± 3.99 | n.s | 0.03 |
| Skeletal muscle mass (%) | 28.5 ± 3.00 | 26.3 ± 3.06 | n.s | 30.1 ± 4.68 | 26.8 ± 4.10 | n.s | 27.9 ± 3.47 | 30.1 ± 3.65 | n.s | 0.15 |
Disclaimer/Publisher’s Note: The statements, opinions and data contained in all publications are solely those of the individual author(s) and contributor(s) and not of MDPI and/or the editor(s). MDPI and/or the editor(s) disclaim responsibility for any injury to people or property resulting from any ideas, methods, instructions or products referred to in the content. |
© 2025 by the authors. Licensee MDPI, Basel, Switzerland. This article is an open access article distributed under the terms and conditions of the Creative Commons Attribution (CC BY) license (https://creativecommons.org/licenses/by/4.0/).
Share and Cite
Luz, C.S.S.; Nehme, P.X.S.A.; Saraiva, S.; D’Aurea, C.V.R.; Amaral, F.G.; Cipolla-Neto, J.; Marqueze, E.C.; Moreno, C.R.C. Dietary Intake and Body Composition of Fixed-Shift Workers During the Climacteric: An Intervention Study with Exogenous Melatonin. Obesities 2025, 5, 7. https://doi.org/10.3390/obesities5010007
Luz CSS, Nehme PXSA, Saraiva S, D’Aurea CVR, Amaral FG, Cipolla-Neto J, Marqueze EC, Moreno CRC. Dietary Intake and Body Composition of Fixed-Shift Workers During the Climacteric: An Intervention Study with Exogenous Melatonin. Obesities. 2025; 5(1):7. https://doi.org/10.3390/obesities5010007
Chicago/Turabian StyleLuz, Cristina S. S., Patricia X. S. A. Nehme, Susy Saraiva, Carolina V. R. D’Aurea, Fernanda G. Amaral, Jose Cipolla-Neto, Elaine C. Marqueze, and Claudia R. C. Moreno. 2025. "Dietary Intake and Body Composition of Fixed-Shift Workers During the Climacteric: An Intervention Study with Exogenous Melatonin" Obesities 5, no. 1: 7. https://doi.org/10.3390/obesities5010007
APA StyleLuz, C. S. S., Nehme, P. X. S. A., Saraiva, S., D’Aurea, C. V. R., Amaral, F. G., Cipolla-Neto, J., Marqueze, E. C., & Moreno, C. R. C. (2025). Dietary Intake and Body Composition of Fixed-Shift Workers During the Climacteric: An Intervention Study with Exogenous Melatonin. Obesities, 5(1), 7. https://doi.org/10.3390/obesities5010007

