Abstract
Green hydrogen is gaining recognition as a viable substitute for fossil fuels, presenting a sustainable solution for global decarbonization. While significant progress has been made in hydrogen production, storage, and utilization, there remains a crucial need to assess its economic viability and integration into current energy systems and to reduce its emission footprint. This review delves into the prospects and challenges of green hydrogen deployment into the renewable energy mix, with a particular focus on cost reduction approaches, storage limitations, transportation, scalability, advancements in electrolysis, and diverse sectoral applications. By analyzing recent technological developments and policy frameworks, this review contributes a thorough evaluation of green hydrogen’s viability to achieve net-zero emissions. Furthermore, this review enhances understanding of the role of green hydrogen in climate change mitigation by identifying major scalability barriers and proffering actionable solutions, assessing life cycle emission reductions, and examining key policy measures required for large-scale adoption. Our analysis emphasizes the importance of advancing green hydrogen storage solutions, increasing the efficiency of electrolysis processes, reducing costs, and implementing stronger policy measures to support large-scale adoption. Our findings and results demonstrate that green hydrogen has 66–95% potential of reducing global warming when integrated with other renewables. Its widespread adoption will drastically reduce anticipated climate mitigation costs of $10.0–15.7 trillion in the next decades, with progress in electrolysis technology, cost efficiency, and various industrial applications. Our recommendation for future studies emphasizes improved catalyst durability, material enhancements for electrolyzer, integration of green hydrogen into hybrid renewable energy networks, and establishment of globally coordinated policies to accelerate its deployment. By bridging the divide between technological advancements and practical implementation, this research provides valuable guidance for scientists, policymakers, and industry stakeholders striving for a sustainable energy transition.
1. Introduction
The global population, currently estimated at around 7.5 billion and expected to reach 8.5 billion by 2030, continues to drive rising demands for energy consumption [1,2]. Fossil fuels, including coal, oil, and natural gas, account for the majority of energy production and usage globally. However, the persistent burning of these fuels has significantly increased CO2 emissions into the atmosphere. Figure 1 illustrates the proportion of carbon emissions across different countries [3]. Elevated CO2 levels have sparked environmental concerns such as global warming, acidic rain, ecosystem degradation, deforestation, and climate change.
Figure 1.
World’s carbon emissions, 2021. The * refer to 175 countries.
Climate change disrupts climate patterns, leading to extreme weather events occurring with greater frequency and intensity. These severe weather conditions include heat waves, rising sea levels, shifts in precipitation patterns, global temperature increases, cold waves, floods, droughts, storms, tropical cyclones, heavy rainfall, snowstorms, and fluctuations in ocean currents and freshwater inflow [4]. If the rapid accumulation and continuous release of CO2 into the atmosphere remain unchecked, the consequences will extend beyond floods, droughts, and severe storms to include disruptions in ocean currents, sea-level rise, and the melting of glaciers and Arctic ice, posing significant threats to humanity. Therefore, reducing CO2 emissions through the adoption and use of environmentally sustainable energy sources is essential for mitigating climate change [5].
Unlike traditional fossil fuels, hydrogen fuel combustion does not produce carbon dioxide. As shown in Equation (1), the only byproduct when hydrogen is used for energy generation is water.
The pressing need to lower greenhouse gas emissions has greatly increased the demand for hydrogen in recent years. Figure 2a,b highlights the rising demand and consumption of hydrogen across different sectors, primarily driven by industrial uses like refining, ammonia production, and the growing adoption of clean energy technologies [6,7,8].
Figure 2.
(a) Global demand for hydrogen from 1975 to 2018. (b) Global demand for hydrogen from 2019 to 2024.
Hydrogen has the potential to significantly enhance the renewable electricity sector while expanding the available renewable energy options for businesses and industries. As a versatile energy carrier, it can be produced through various methods, each with distinct environmental impacts. Among these, green hydrogen is regarded as a key enabler of the transition to sustainable energy and a vital solution for addressing climate change [9,10].
The production methods for various shades of hydrogen are presented in Figure 3 [11]. Green hydrogen is produced using renewable energy sources such as solar, wind, or hydropower. In contrast to grey hydrogen, which is made from natural gas and emits carbon dioxide, green hydrogen is created by electrolyzing water, splitting water molecules into hydrogen and oxygen using electricity [11]. Since this process does not release greenhouse gases, it is considered a clean energy source. The production methods and current market share of the various hydrogen types are presented in Table 1. Among all hydrogen types, green hydrogen, produced from renewable sources, is deemed the most appropriate for achieving a completely sustainable energy transition due to its zero carbon emissions [12].
Figure 3.
Shades of hydrogen. The arrow refer to the pathflow.
Table 1.
Overview of hydrogen types, production methods, carbon emissions, and market distribution.
Hydrogen production is categorized into various types based on color, including grey, blue, green, turquoise, and brown. These classifications represent the production methods, environmental implications, and economic viability of each type. Recognizing these distinctions is essential for industries and policymakers striving for a transition to sustainable energy solutions [16].
Grey hydrogen: This variant is generated through steam methane reforming of natural gas without incorporating carbon capture technology. It is one of the most commonly utilized hydrogen production techniques but contributes significantly to CO2 emissions, posing challenges for decarbonization efforts. Despite its environmental drawbacks, grey hydrogen remains cost-effective, with production expenses ranging between $0.90 and $1.78 per kilogram. Additionally, the infrastructure currently used for grey hydrogen can be adapted to facilitate cleaner hydrogen production methods [17].
Green hydrogen: Produced through water electrolysis powered by renewable energy sources, green hydrogen offers a sustainable alternative. However, its widespread adoption is hindered by high production costs, currently estimated between $3.00 and 8.00 per kilogram. Despite this, ongoing advancements in electrolyzer technology and declining renewable energy costs are expected to improve its competitiveness. Furthermore, government policies and incentives aimed at reducing carbon emissions are playing a crucial role in supporting its expansion [17].
Blue hydrogen: Similar to grey hydrogen, blue hydrogen is also produced using steam methane reforming but incorporates carbon capture and storage technology to minimize CO2 emissions. With production costs ranging between $1.20 and 2.60 per kilogram, it serves as a lower-carbon alternative to grey hydrogen [17].
Turquoise hydrogen: Generated through methane pyrolysis, this hydrogen variant results in hydrogen and solid carbon rather than CO2 emissions. Although still in the early research and development phase, turquoise hydrogen has the potential to become a low-emission alternative, provided that technological and economic hurdles are effectively addressed [18].
Brown hydrogen: Produced via coal gasification without carbon capture, brown hydrogen has a significant environmental footprint due to high CO2 emissions. As a result, its role in global hydrogen production is gradually diminishing as cleaner alternatives gain prominence [18].
The dominance of grey hydrogen in industry underscores the financial and infrastructural challenges associated with transitioning to more sustainable hydrogen production methods. Unlike grey and blue hydrogen, which depend on fossil fuels and may face limitations related to carbon capture, green hydrogen is produced without generating greenhouse gas emissions [9,10]. Its production aids in decarbonizing industries such as transportation and heavy manufacturing, aligning with net-zero targets. Additionally, green hydrogen strengthens energy security by decreasing dependence on fossil fuel imports. As global policies increasingly prioritize clean energy, green hydrogen emerges as a crucial solution for long-term climate mitigation, providing the motivation for this research.
In this review, the advancements in green technology, policy support, and strategies to reduce the cost of green hydrogen while promoting its integration with renewable energy sources are explored. It also highlights opportunities for expanding the use of low-carbon green hydrogen solutions. The study examines the increasing demand for green hydrogen, its role in decarbonization, and the key challenges that must be overcome for widespread adoption. Factors driving the expansion of green hydrogen, along with necessary policy interventions, government incentives, and infrastructure investments, are also discussed.
This review is aimed at exploring the potential of green hydrogen as a sustainable energy source and a crucial solution for reducing carbon emissions and addressing the climate crisis. It identifies the key challenges limiting its large-scale adoption and proposes practical strategies to overcome them. This study assesses the projected climate impact of green hydrogen pathways up to 2050, comparing them with fossil fuel-based alternatives. The analysis underscores the role of green hydrogen in lowering carbon emissions and mitigating climate change. Additionally, this review examines cost reduction approaches, efficiency improvements, advancements in materials, innovations in storage and transportation, policy frameworks, and global adoption trends. It also evaluates case studies of successful green hydrogen implementation, thereby validating its integration with renewable energy systems as a pathway toward a low-carbon economy.
2. Potential of Green Hydrogen in Climate Change Mitigation
The industrial era has caused a consistent rise in greenhouse gas emissions from human activities, leading to significant changes in both global and local climates. According to the Intergovernmental Panel on Climate Change (IPCC) model, CO2 emissions from conventional fuels have peaked over the last decade, largely due to economic growth in less-industrialized nations [19]. Energy-related CO2 emissions account for two-thirds of global greenhouse gas (GHG) emissions. In order to avoid “dangerous anthropogenic interference with the climate system”, the IPCC (2021) emphasizes the need for substantial global reductions in GHG emissions by 2050 [20].
The Paris Agreement aims to achieve net-zero GHG emissions and limit global warming to below 2 °C. Projections indicate that global temperatures will likely increase by 1.5 °C by 2040, as depicted in Figure 4 [21], unless emissions are significantly reduced in the near future: “Global warming of 1.5 °C and 2 °C will be exceeded during the 21st century unless deep reductions in CO2 and other greenhouse gas emissions occur in the coming decades,” as stated in the IPCC report from August 2021 [22].
Figure 4.
Temperature rises owing to greenhouse gas emissions. The colors indicate change in temperature.
To limit global temperature, rise to below 2 °C by the year 2100, net human-caused CO2 emissions must be reduced by approximately 25% from 2010 levels by 2030 and achieve net-zero by 2070. The IPCC identifies a 1.5 °C increase as a safer threshold for global warming, emphasizing the importance of reaching carbon neutrality by the middle of the century [21,23,24,25].
The global demand for low-carbon or “clean” hydrogen has risen substantially as a key strategy for cutting carbon dioxide emissions, enhancing energy security, and promoting economic growth in response to the pressing climate crisis. In the coming decade, global investments exceeding 500 billion dollars are anticipated for more than 1000 hydrogen initiatives, supported by governments, businesses, and investors [26]. These investments are largely driven by the expectation that clean hydrogen technologies will significantly improve climate outcomes compared to fossil fuels [27].
Since the late 20th century, minimizing greenhouse gas (GHG) emissions has been a key global objective to restrict the rise in average global temperature to no more than 3 °C above pre-industrial levels [28,29]. Beyond reducing GHG emissions, hydrogen serves as a viable solution for advancing the United Nations’ Sustainable Development Goals (SDGs). Its integration with renewable energy sources (RES) provides an environmentally responsible method for facilitating the necessary transformation of energy systems [30].
The pursuit of a net-zero target by 2050 has become a critical objective for many countries, driven by progress in reducing GHG emissions. These nations aim to optimize energy resources while minimizing emissions to meet these goals. A promising alternative is utilizing hydrogen as a fuel, as it does not emit carbon-based pollutants such as carbon monoxide or carbon dioxide. As a highly adaptable energy source, hydrogen contributes significantly to lowering CO2 emissions in the transportation and industrial sectors when produced through sustainable methods, making it an essential component of the global shift toward cleaner energy [31].
Green hydrogen is increasingly recognized as a key solution for addressing both climate change and sustainable development, with nations from both the Global North and South actively promoting its adoption. Although still in its early stages, it presents a valuable opportunity for resource-rich countries and a viable pathway to decarbonization for developed nations. Producing green hydrogen at a lower cost could enable resource-rich countries in the Global South to expand their energy industries, support national decarbonization efforts, and, if surplus is available, generate export revenues. Scaling up green hydrogen production could also contribute to multiple Sustainable Development Goals, including SDG 6 (clean water and sanitation), SDG 7 (affordable and clean energy), SDG 8 (decent work and economic growth), and SDG 13 (climate action) [32].
The original life cycle analysis (LCA) for 2050 conditions is illustrated in Figure 5 [27]. A comparative assessment was conducted on eight hydrogen production and utilization pathways against their respective fossil fuel counterparts to evaluate their climate impacts. The analysis considered different emission scenarios, where the best-case scenario assumed hydrogen emissions at 1% and a low methane emission intensity of 0.6%, while the worst-case scenario involved hydrogen emissions at 10% with a high methane emission intensity of 2.1%. The climate effects were examined over two distinct periods: a near-term horizon of 20 years and a long-term horizon of 100 years.
Figure 5.
A comparative analysis of the life cycle and climate impact of eight hydrogen pathways in 2050, evaluated against their fossil fuel-based counterparts.
The climate impacts under 2050 conditions vary significantly, ranging from a 93% reduction in warming to a 46% increase in warming, depending on the scenario. In the best-case scenario, hydrogen technology adoption could nearly eliminate fossil fuel-related warming effects, whereas in worst-case scenarios, it may lead to even greater warming.
For blue hydrogen applications with minimal hydrogen and methane emissions, the climate impact is significantly lower than that of fossil fuels, showing a 64–80% reduction in warming over the near term and a 72–86% reduction over the long term. However, under high emission conditions, blue hydrogen technologies may offer a 51% to 68% climate benefit or, in some cases, contribute to a 14% increase in warming in the near term, with a 32% improvement in the long term. Two specific scenarios where warming could increase in the near term under extreme methane and hydrogen emission rates include replacing natural gas-based industrial heating with blue hydrogen and substituting natural gas power generation with blue ammonia-based power generation. Nonetheless, when hydrogen and methane emissions remain at extremely low levels, these technologies can mitigate warming impacts by over 60% in the near term and 85% in the long term.
Green hydrogen technologies, under conditions of low hydrogen emissions, demonstrate significant climate benefits, reducing warming by 91–94% in the near term and 92–95% in the long term compared to fossil fuel alternatives. However, if hydrogen emissions reach 10%, the expected climate benefits of green hydrogen decline by up to 25% in the near term and 13% in the long term. Among the least beneficial fuel-switching applications under high-emission scenarios are the replacement of natural gas-derived fertilizers with hydrogen-based fertilizers and the transition from heavy-duty diesel internal combustion engine (ICE) trucks to hydrogen fuel cell trucks.
The figure also compares findings with results from the Hydrogen Council’s 2021 Life Cycle Assessment under 2050 conditions, which excluded hydrogen emissions and near-term climate impacts while assuming low methane emission intensities. Across all scenarios, the original LCA findings align with the best-case conditions in the present analysis, where low hydrogen and methane emissions result in at least a 75% reduction in warming from hydrogen technologies relative to fossil fuel alternatives.
Additionally, considering hydrogen and methane emissions reveals that battery electric vehicles (BEVs) offer significantly greater climate benefits than blue hydrogen-powered light-duty vehicles (LDVs). Depending on emission levels, blue hydrogen LDVs may be 10–45% more detrimental to the climate in the near term compared to BEVs. In contrast, both hydrogen LDVs and BEVs demonstrate similar benefits when replacing gasoline-powered vehicles in the original LCA. However, the advantage of BEVs is more evident under 2050 conditions due to the assumed 90% renewable energy penetration in the electricity grid, compared to 66% in 2030.
In Summary, hydrogen technologies can provide a more immediate climate advantage than fossil fuel-based solutions, achieving 92–95% efficiency in green hydrogen applications with minimal hydrogen emissions. However, higher emission rates can lessen these climate benefits, making hydrogen technologies 66–82% more environmentally friendly than fossil fuels over both short- and long-term periods. A 10% hydrogen emission rate could reduce the anticipated climate benefits of green hydrogen by up to 13% in the long term and up to 25% in the short term. The least favorable fuel-switching scenarios in high-emission conditions include replacing natural gas-derived fertilizer with hydrogen and substituting hydrogen fuel cell trucks for heavy-duty diesel internal combustion engine (ICE) trucks. Assuming relatively low methane emissions while excluding hydrogen emissions and near-term effects, across all scenarios, the best-case conditions characterized by minimal methane and hydrogen emissions demonstrate that hydrogen technologies can consistently achieve at least a 75% reduction in warming impacts compared to fossil fuel alternatives.
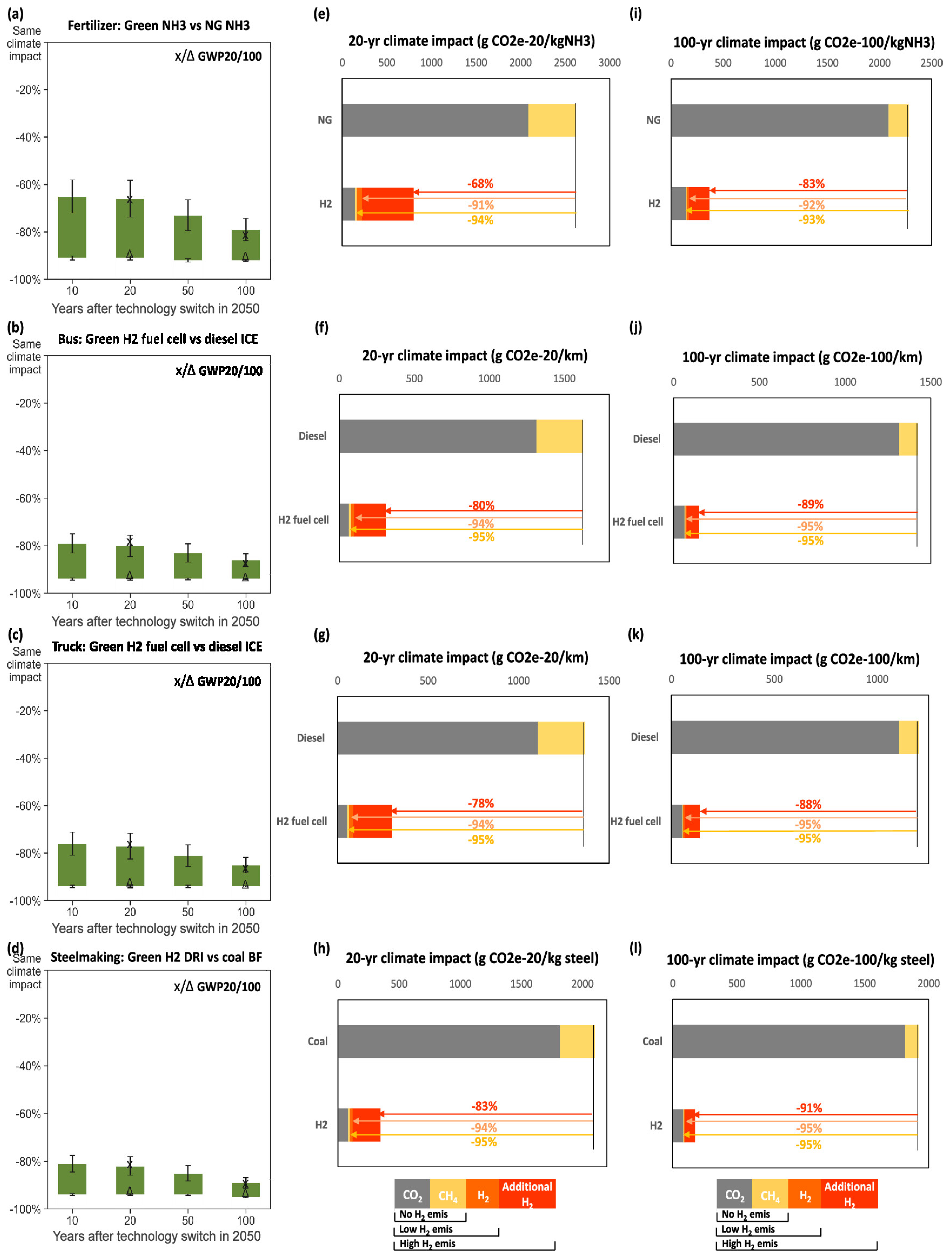
Figure 6a–l [27] presents a comparative analysis of the climate impact of four green hydrogen production pathways in contrast to their fossil fuel-based counterparts, factoring in hydrogen emission rates from 1% to 10%. The study evaluates cumulative radiative forcing over multiple time horizons (10, 20, 50, and 100 years) and annual emissions per functional unit (either per kilometer or per kilogram of product), expressed in CO2 equivalents using both GWP-20 and GWP-100 metrics. This visual representation provides key insights into how varying levels of hydrogen emissions affect the overall climate performance of green hydrogen technologies.
Figure 6.
The climate impacts of four green hydrogen pathways in 2050 evaluated over their life cycles and compared to fossil fuel alternatives, accounting for hydrogen emission rates ranging from 1% to 10%. Panels (a–d) illustrate the percentage change in cumulative radiation resulting from continuous emissions over 10, 20, 50, and 100 years after adopting the technology. Panels (e–l) present the annual emissions per functional unit, such as kilometers traveled or kilograms of product produced, measured in CO2e over 20- and 100-year periods.
Even at the highest emission rate (10%), green hydrogen pathways still offer substantial climate advantages over fossil fuels, reducing warming effects by over 60% across all assessed timeframes. However, when hydrogen emissions are kept at a minimum (1%), these benefits exceed 90%, underscoring the importance of stringent emission control measures to maximize the environmental potential of green hydrogen.
Figure 6a illustrates the transition from natural gas-derived fertilizer to green hydrogen-based fertilizer. Under low hydrogen emission scenarios, this shift can lead to an approximate 90% reduction in warming within the first two decades. However, as hydrogen emissions rise, this reduction declines to around 70%. This emphasizes that while green hydrogen presents a cleaner alternative, uncontrolled hydrogen losses can considerably diminish its climate benefits, particularly in the short term.
The impact of hydrogen leakage varies by sector. As shown in Figure 6a–d, industries such as steel production, heavy-duty transportation, and fertilizer manufacturing experience reductions in climate benefits of approximately 10%, 15%, and 25%, respectively, within the first 20 years following adoption, when hydrogen emissions are elevated. This indicates that while green hydrogen remains a more sustainable choice compared to fossil fuels, its full climate mitigation potential depends on minimizing hydrogen leakage.
Over a 100-year span, the negative effects of hydrogen emissions become less significant, with climate benefits stabilizing at roughly 10% for fertilizer production and around 4% for steel manufacturing. This suggests that although hydrogen losses have a notable short-term impact on climate outcomes, their influence diminishes over longer timeframes.
Unlike blue hydrogen, which is derived from natural gas and contributes to methane emissions due to upstream extraction and processing, green hydrogen is produced via electrolysis powered by renewable energy. Consequently, methane emissions in green hydrogen pathways are minimal, primarily originating from the production of hydrogen end-use equipment. Therefore, while methane emission intensity plays a crucial role in evaluating the climate impact of blue hydrogen, it has a negligible effect on the environmental benefits of green hydrogen.
Additionally, Figure 6 highlights that in regions with high methane emissions, transitioning to green hydrogen provides even greater climate advantages over fossil fuel technologies. This reinforces the role of green hydrogen as a key solution for reducing greenhouse gas emissions and combating climate change.
Even with high hydrogen emission rates, green hydrogen pathways consistently reduce the warming impacts of fossil fuel technologies by more than 60% across all time frames. However, these climate benefits increase to over 90% when hydrogen emissions are minimized (e.g., at 1%). Unlike blue hydrogen pathways, green hydrogen does not produce significant methane emissions, meaning the warming effects of fossil fuel alternatives largely depend on regional methane emission intensities. However, variations in methane emissions have a negligible effect on the overall climate benefits of shifting to hydrogen-based energy sources.
We suggest that policy measures should prioritize reducing hydrogen leakage through infrastructure improvements, stricter regulatory enforcement, and advancements in storage and transportation technologies. Limiting hydrogen emissions is vital to fully harnessing the environmental benefits of transitioning to green hydrogen as a sustainable energy alternative.
2.1. Green Hydrogen Presents a Viable Solution for Both Climate Change Mitigation and Cost Reduction in Sustainable Energy Systems
Figure 7 illustrates the discounted costs at a 5% discount rate (A), undiscounted costs (B), and costs as a percentage of GDP (C) of climate mitigation. In the stacked chart, the dark blue section represents costs when hydrogen is available, whereas the combined dark blue and light blue sections indicate costs in the absence of hydrogen. BECCS represents bioenergy with carbon capture and storage, DACCS stands for direct air carbon capture and storage, and NET+Batt represents nets and batteries [33]. The costs associated with achieving carbon neutrality increase over time across all scenarios, reaching between $8.3 and 12.3 trillion (in constant 2019 dollars) or approximately 4.1% to 6.1% of the global GDP by 2050, as depicted in Figure 7B,C. The most significant cost increase occurs between 2045 and 2050, as the final push toward carbon neutrality becomes more expensive than achieving low emissions. If hydrogen is not utilized (i.e., not converted into electricity, biofuels, e-fuels, or ammonia), the mid-century mitigation costs surge to $10.0–15.7 trillion (6.1–7.8% of global GDP), a 20–28% increase compared to hydrogen-based net-zero scenarios. The higher end of this range (28%) reflects minimal use of negative emissions technologies (NETs) and batteries. While hydrogen constitutes a relatively small portion of overall final energy demand (3–9% in 2050), these cost disparities may appear substantial initially. The rationale behind this is that in sectors difficult to electrify, hydrogen use could lead to significant cost savings. Notably, the hydrogen market is expanding in these areas, which suggests that its use helps reduce the high costs of pollution mitigation in sectors with limited alternatives. According to the scenario assumptions, the international shipping sector shows the greatest potential for hydrogen to reduce greenhouse gas emissions, offering the most significant overall cost reductions up to 6.4% in 2050 under this scenario. Following this, the heavy freight truck industry shows a 5.4% cost reduction, the residential building sector 2.4%, passenger vehicles 1.9%, cement production 1.7%, steel and iron production 0.7%, ammonia fertilizer production 0.3%, and chemicals 0.3% in 2050 compared to scenarios without hydrogen.
Figure 7.
The expense associated with reducing carbon dioxide emissions is analyzed both with and without the availability of hydrogen technology, considering various scenarios. The # explains the various scenarios.
2.2. Case Studies of Successful Green Hydrogen Deployment
With the growing emphasis on sustainable manufacturing, numerous companies and startups are advancing green hydrogen technologies, demonstrating their feasibility and potential for various industrial applications.
One notable implementation of green hydrogen technology is the Fukushima Hydrogen Energy Research Field (FH2R) facility in Namie Town, Fukushima Prefecture, Japan. FH2R is a large-scale green hydrogen facility equipped with a 10 MW alkaline electrolyzer capable of producing approximately 1200 normal cubic meters (Nm3) of hydrogen per hour, primarily powered by 20 MW of on-site solar photovoltaic (PV) capacity (New Energy and Industrial Technology Development Organization, 2020). The hydrogen generated at FH2R is transported via tube trailers and cylinder cradles to various locations in Fukushima Prefecture, where it serves as fuel for stationary fuel cells. Additionally, the green hydrogen produced at FH2R is intended for use in fuel cell vehicles. Currently, renewable energy constitutes around 20% of Japan’s power sector, and achieving the country’s 2050 net-zero target will require a substantial expansion of renewable energy sources. Alongside energy storage solutions and batteries, hydrogen production via water electrolysis is expected to play a crucial role in ensuring grid stability and balancing energy supply [34].
In 2016, steel manufacturer SSAB, mining company LKAB, and electricity provider Vattenfall collaboratively launched the Hydrogen Breakthrough Ironmaking Technology (HYBRIT) initiative to develop a fossil-free steel production process. In August 2020, fossil-free iron pellet production trials began in Sweden, accompanied by the construction and inauguration of a direct reduction plant. A 4 MW electrolyzer facility for green hydrogen production was commissioned in 2021. Additionally, a Lined Rock Cavern (LRC) hydrogen storage pilot facility was completed in 2022. Plans are underway to establish an industrial-scale demonstration plant in 2025, with a projected annual capacity of 1 million tons of fossil-free sponge iron, which SSAB will use for commercial-scale fossil-free steel production. The initiative aims to achieve full-scale commercial delivery of fossil-free steel products by 2026 [34].
San Bernardino, California, became the first location in North America to introduce a hydrogen-powered passenger train. The Zero-Emission Multiple Unit (ZEMU), in collaboration with Stadler Inc. developed a $20 million project designed to operate between Redlands and San Bernardino. Emitting only water vapor, the train contributes to improving regional air quality while supporting California’s objective of achieving carbon neutrality by 2045 [35].
Green H2F Puertollano I is a pioneering green hydrogen and green ammonia pilot project located in Puertollano, within Spain’s Ciudad Real province. It was developed through a collaboration between Iberdrola and fertilizer manufacturer Fertiberia, with technical support from Spain’s National Hydrogen Center. It is the first of four planned green hydrogen initiatives under the Fertiberia–Iberdrola partnership. Puertollano I delivers an integrated supply of green hydrogen and oxygen for ammonia and nitric acid production. The facility features a 100 MW photovoltaic solar system with bifacial panels, a lithium-ion battery storage system with a 20 MWh capacity, and a 20 MW electrolyzer for hydrogen production. This setup enables the annual production of up to 3000 tons of green hydrogen, supplying Fertiberia’s ammonia manufacturing plant while reducing CO2 emissions by approximately 48,000 tons per year. By 2027, the Green H2F Project is projected to achieve a total installed electrolysis capacity of 800 MW [34].
Plug Power, a major provider of hydrogen fuel cell technologies, is establishing a green hydrogen production plant in New York. The St. Gabriel Green Hydrogen Plant is designed to produce 500 tons of liquid green hydrogen daily by the end of 2025. This facility is projected to eliminate 4.3 million metric tons of CO2 emissions across North America, demonstrating the substantial environmental benefits of large-scale green hydrogen production [36].
These case studies emphasize the innovative technologies and strategies being developed for green hydrogen production and adoption. As more companies invest in research and development, the potential for large-scale industrial deployment of green hydrogen becomes increasingly achievable.
3. Green Hydrogen Production Methods
3.1. Electrolysis
Hydrogen naturally occurs in combination with other elements, requiring extraction from compounds such as methane or water before it can be used as an energy carrier [37]. It can be generated from both renewable and non-renewable sources, including coal, natural gas, oil, biomass, nuclear power, and renewable energy, using methods like coal gasification, steam reforming, and electrolysis. The choice of feedstock and production technique significantly influences hydrogen’s potential for decarbonization. Although it is the most abundant element in the universe, hydrogen’s low volumetric energy density, high flammability, and extremely low liquefaction temperature pose challenges for storage and transport.
Green hydrogen, derived from renewable energy, is considered the most viable option for supporting a fully sustainable energy transition. The most widely adopted method for producing green hydrogen is water electrolysis, which utilizes renewable electricity to split water (H2O) into hydrogen (H2) and oxygen (O2), as depicted in Figure 8 [31]. This approach, based on water electrolysis, holds great promise for achieving net-zero emissions.
Figure 8.
Water electrolysis process.
An electrolyzer utilizes electrical current to decompose water molecules into hydrogen and oxygen. The electrolyzer consists of two electrodes, where the splitting of water takes place. A membrane separates the electrolyte from the electrodes, ensuring the segregation of the generated gases. During this process, the membrane directs the oxygen to a specific output, preventing the gases from mixing [31].
Hydrogen is produced at the cathode (negative electrode), while oxygen is generated at the anode (positive electrode) when an adequate electrical current flows through the electrodes, which are separated by an ion-conductive medium. The electrolyzer is contained within an enclosure that houses components such as electrical systems, gas processing, ventilation, cooling, monitoring, control mechanisms, electrolytic cells, auxiliary equipment, feed water treatment systems, and possibly gas compression. The electrolysis process requires energy, with consumption varying based on factors such as operating conditions and the specific electrolysis technology used. Several electrolysis technologies exist, each with distinct advantages and challenges. As shown in Figure 9 [38], high-temperature electrolysis (500–1000 °C) technologies, such as solid oxide electrolysers (SO), utilize steam, whereas low-temperature systems (50–80 °C), including alkaline (ALK), proton exchange membrane (PEM), and anion exchange membrane (AEM) electrolysers, operate with liquid water.
Figure 9.
Electrolyzer technologies for green hydrogen production.
Low-temperature electrolysis:
High-temperature electrolysis:
Total energy demand:
Recent advancements in electrolyzer technology have notably enhanced the efficiency and scalability of electrolysis for hydrogen production. Proton exchange membrane electrolyzers are highly efficient with rapid response times, making them ideal for integrating with intermittent renewable energy sources such as solar and wind. These electrolyzers also function at high current densities and are more compact, allowing for decentralized applications [39]. Conversely, solid oxide electrolyzers operate at elevated temperatures, which improves efficiency by harnessing waste heat from industrial processes. SOEs are especially promising for large-scale hydrogen production due to their ability to integrate directly with power plants, minimizing energy losses [40]. Ongoing advancements in research and development for both proton exchange membrane and solid oxide electrolyzer technologies are anticipated to drive down costs, aiding the transition toward green hydrogen production. For example, the U.S. Department of Energy’s Hydrogen and Fuel Cell Technologies Office (HFTO) plans to reduce the cost of PEM electrolyzers to $100 per kilowatt between 2029 and 2036, a significant decrease from the current average installed. IRENA highlights that implementing a variety of cost-cutting strategies throughout the deployment stages could lead to substantial reductions in the costs associated with producing green hydrogen [41].
Each of these technologies has distinct benefits regarding operating temperature, efficiency, scalability, and application suitability. A major area of research is enhancing their performance, longevity, and cost-effectiveness, which is crucial for their broader implementation in hydrogen production [42].
3.1.1. Alkaline Electrolysis
Alkaline electrolysis offers a sustainable method for hydrogen production. The recent development of the zero-gap system in the Chlor-Alkali electrolyzer, combined with new electrode technologies, has enhanced its performance [43]. In this process, water is decomposed at the cathode to produce hydrogen and hydroxide ions (HO–), as illustrated in Figure 9. The hydroxide ions move through the electrolyte and a separating diaphragm/membrane, where they are discharged at the anode, releasing oxygen (O2). The electrolyte consists of an aqueous solution of either NaOH or KOH, typically with a concentration of 20–40 wt. %, and the operation occurs at temperatures ranging from 343 to 363 K, with pressures up to 3 MPa [44]. A key advantage of alkaline electrolysis is its capacity for continuous operation over extended periods, making it ideal for large-scale hydrogen production. However, challenges like gas crossover, energy efficiency limitations, and the requirement for high-purity water must be overcome to optimize its performance. Progress in membrane materials, catalyst innovation, and system integration with renewable energy sources is essential to improve the feasibility of alkaline electrolysis in the green hydrogen economy [45].
3.1.2. Proton Membrane Electrolysis
When an acidic solid polymer is used as the electrolyte instead of a liquid electrolyte, it is referred to as polymer electrolyte membrane electrolysis or proton exchange membrane electrolysis. Only deionized water, without any electrolytic additives, is supplied to the cell. In PEM electrolysis, water is split into H+, O2, and e- at the anode. The H+ ions (protons) move through the membrane to the cathode, while electrons exit the anode through an external power source and recombine with the protons to form hydrogen [46,47]. The membrane serves both as the gas separator and the electrolyte. The polymer electrolyte water electrolysis system is considered a superior alternative for hydrogen production compared to alkaline water electrolysis (AWE).
PEM electrolysis offers several advantages over alkaline electrolysis, including ecological cleanliness, compact size and mass, high purity hydrogen gas, low gas crossover, reduced power consumption, high proton conductivity, better control over electrical power fluctuations, high-pressure operation, improved safety, and easier handling and maintenance [48]. While the operational costs of PEM are relatively higher, ongoing research and advancements in PEM electrolysis for hydrogen production are actively addressing these challenges. Efforts are focused on developing new catalysts, electrolytes, and current collector methods to sustain this green technology [49]. For PEM electrolyzers, the Faraday efficiency is typically above 99%. The membrane must meet specific requirements, including high ionic conductivity, good oxidative stability, mechanical, chemical, and thermal stability, low gas permeability, good electrical insulation, and high stability to endure the harsh conditions within a PEM electrolysis cell [50].
3.1.3. High-Temperature Electrolysis
The co-electrolysis of carbon dioxide (CO2) and steam at high temperatures presents an effective method for CO2 utilization. This process employs solid oxide electrolysis cells, which function within a temperature range of 500–900 °C. Through this technology, CO2 is converted into carbon monoxide (CO), and when combined with steam, the reaction also generates hydrogen, resulting in the production of syngas. This syngas can then be converted into hydrocarbon fuels and chemicals, providing a pathway to efficiencies that exceed those of lower-temperature electrolysis methods [51]. SOECs are well-known for their ability to electrochemically produce hydrogen by splitting steam into H2 and O2 at the interface between the hydrogen electrode and the electrolyte, as shown in Figure 9. The oxygen ions then move through the electrolyte to the anode side and recombine at the interface between the oxygen electrode and the electrolyte, producing oxygen gas [46].
Developing high temperature electrolyzers such as solid oxide electrolyzer cells comes with significant challenges, particularly in identifying materials that can maintain their structural and chemical stability at high temperatures. These materials must withstand both reducing and oxidizing conditions while also remaining stable under fluctuations in ionic concentrations [52]. To ensure long-term performance, materials must retain their conductivity and mechanical integrity even in extreme environments.
Despite these challenges, advancements in material science and engineering are contributing to improvements in SOEC technology, particularly in minimizing cell degradation. Studies have demonstrated that with effective gas purification, degradation remains minimal over 1000 h of operation at low current densities. However, higher current densities still present difficulties that require further optimization. Addressing these technical barriers is critical to fully realizing the potential of high-temperature electrolysis for large-scale hydrogen production [53].
A major advantage of high-temperature electrolysis (HTEL) is its compatibility with thermal power plants and industrial systems that produce excess heat. By utilizing this waste heat, HTEL can enhance energy efficiency and contribute to lower carbon emissions, making it a promising technology for sustainable hydrogen generation.
3.2. Biomass Gasification
Gasification is a relatively underdeveloped method for hydrogen production, involving the conversion of carbon-based materials or biomass into gas using a high-temperature gasifier. A wide range of biomass sources, including energy crops, wood processing residues, agricultural by-products, forestry waste, and industrial residues, can be utilized for energy generation [54]. However, the efficiency of hydrogen production depends on several factors, such as catalyst selection, operating temperature, biomass type, steam-to-biomass ratio, and particle size [55].
Hydrogen production from biomass is primarily classified into two approaches: (i) thermochemical and (ii) biological. Thermochemical methods include gasification, liquefaction, pyrolysis, and combustion [56,57], while biological processes encompass photo fermentation, dark fermentation, direct biophotolysis, indirect biophotolysis, and the biological water–gas shift reaction [58]. In gasification, hydrogen is extracted through a reaction with steam, making this technique particularly appealing to policymakers aiming to lower the carbon footprint of hydrogen production. The US Department of Energy foresees increased adoption of biomass gasification in the near future. Furthermore, hydrogen can be derived from biomass-based liquids like ethanol and bio-oil, which offer improved transportability compared to solid biomass feedstocks [59].
Gasification is a well-established process that utilizes agents such as oxygen (O2), carbon dioxide (CO2), steam, and air to generate a hydrogen-rich fuel gas mixture containing carbon monoxide (CO), hydrogen (H2), and methane (CH4) at temperatures ranging from 700 to 1200 °C [48,60,61,62,63].
Biomass → H2 + CO2 + CO + N2
At temperatures ranging from 300 to 650 °C, biomass can undergo pyrolysis to generate H2, though the hydrogen yield decreases by 18% in volume at these lower temperatures [64].
Biomass → H2 + CO2 + CO + hydrocarbon gases
3.3. Natural Gas
The most common, efficient, and cost-effective method of hydrogen production is through the use of natural gas, primarily methane, which accounts for around 70% of global hydrogen production and 95% in the US. This method is advantageous, as it leverages the existing gas infrastructure [65]. Natural gas, a type of hydrocarbon, can be converted into hydrogen through three main chemical reaction processes: partial oxidation, steam methane reforming, and autothermal reforming [66]. In the partial oxidation process, hydrogen is produced along with steam and hydrocarbons, and it can be conducted either catalytically or non-catalytically. The steam methane reforming method, which produces hydrogen at a cost of approximately $1.8/kg with an efficiency of about 74%, is widely used [67]. This hydrogen production method is considered commercially valuable [68]. The partial oxidation method generates heat, while steam methane reforming enhances hydrogen production. The autothermal reforming process combines both of these methods [69]. Steam reforming of methane typically involves using steam and a catalyst to break down methane molecules at high temperatures, producing hydrogen and carbon monoxide. However, this method produces significant carbon dioxide emissions between 9 and 12 tons per ton of hydrogen produced. To mitigate these emissions, emerging technologies like carbon capture and storage are being developed. Additionally, using nuclear reactor heat instead of fossil fuel heat in the steam methane reforming process offers a promising approach to reducing emissions. Hydrogen gas (H2) and solid carbon (C) are generated through methane pyrolysis by thermally decomposing methane (CH4) at temperatures between 900 °C and 1200 °C in the absence of oxygen. The process follows the reaction presented in equation and requires external heat, as it is endothermic.
CH4 → C + 2H2
When renewable energy is used, the method produces hydrogen without releasing carbon dioxide. Hydrogen is then refined using pressure swing adsorption (PSA) technology, as shown in Figure 10 [70]. The resulting solid carbon is separated and can be stored or utilized in other applications. A new technique also enables hydrogen extraction from waste plastics, with recent research published in Nature indicating that over 97% of the hydrogen mass can be extracted from plastics through this streamlined process [71].
Figure 10.
Methane splitting process.
Electrolysis, although environmentally sustainable, incurs high costs due to the need for renewable electricity and expensive electrolyzer technology. However, it is anticipated that these costs will decrease as technology advances [72,73]. Biomass gasification proves to be cost-effective in areas with abundant feedstocks, but its scalability is constrained by the availability of biomass and land-use issues [74]. Natural gas reforming remains the most cost-efficient method at present, driven by low natural gas prices, but its carbon emissions and long-term sustainability concerns poses challenges [72,75]. The future of hydrogen production will likely involve a combination of these methods, tailored to regional resources and ongoing technological advancements [75].
The cost and suitability of hydrogen production methods vary across industries. Electrolysis, a process that generates green hydrogen, is particularly beneficial for the renewable energy and clean technology sectors due to its sustainability and zero emissions. However, the high cost of renewable electricity and expensive electrolyzer technology currently makes it less competitive in regions with lower energy costs. As advancements in technology continue, the costs of electrolysis are expected to decline, improving its feasibility in the future [72,73].
Biomass gasification is an economical choice for industries such as agriculture and waste-to-energy, especially in locations with plentiful biomass resources like agricultural or forest residues. However, its scalability is restricted by the availability of biomass and land-use limitations, making it more viable in regions with abundant resources [74].
Natural gas reforming remains the most cost-effective method and is widely used in industries such as petrochemicals and steel manufacturing due to the affordability of natural gas and well-established infrastructure. However, it produces a significant amount of carbon emissions and presents long-term sustainability challenges. With increasingly stringent environmental regulations, industries dependent on natural gas reforming may experience mounting pressure to transition toward cleaner alternatives [72,75].
In conclusion, while electrolysis is ideal for clean energy applications despite its high costs, biomass gasification is a viable option in resource-rich areas, and natural gas reforming, though currently the most affordable, faces sustainability concerns in the long run [76].
4. Advantages of Green Hydrogen
4.1. Environmental Sustainability: Zero Carbon Emissions
The International Energy Agency highlights that rapid and large-scale deployment of clean technologies is essential to meet the challenge of achieving net-zero greenhouse gas emissions [22].
Unlike fossil fuels, hydrogen does not produce carbon dioxide emissions when used as a fuel; instead, its only byproduct is water (Equation (1)). As a result, hydrogen is a key component in reaching net-zero emissions by 2050 and limiting global temperature rise to 1.5 °C, as emphasized by the International Energy Agency. Clean hydrogen, which includes both low-carbon and renewable hydrogen, complements other decarbonization strategies such as renewable energy, biofuels, and improvements in energy efficiency. It is the only scalable, cost-effective, and long-term solution for significantly reducing emissions in sectors that are difficult to decarbonize, including ammonia production, steel manufacturing, shipping, and aviation.
By 2050, hydrogen could prevent up to 80 gigatons of CO2 emissions, accounting for 20% of the required reductions, with an annual mitigation potential of 7 gigatons. Meeting this target would require 660 million metric tons of low-carbon hydrogen, which would comprise 22% of the world’s total energy consumption [76].
Hydrogen is a key enabler for a decarbonized energy system due to its energy storage capacity, resilience, and ability to transport large quantities of energy over long distances via pipelines and ships, thereby facilitating the integration of renewable energy. It also unlocks access to renewable energy sources in remote regions, accelerating the energy transition. In summary, the generation of hydrogen from electricity has transformative potential across various sectors, such as power, gas, chemicals, and fuels, with applications in industrial decarbonization (e.g., steel and fertilizer production), long-distance ground transport, such as heavy-duty trucks, buses, and trains), international shipping and aviation (through synthetic fuels), high-temperature industrial heating, and power generation (including dispatchable power and backup systems). By 2050, the highest demand for hydrogen is expected to come from China, Europe, and North America, collectively representing over 60% of global consumption [76].
Achieving these decarbonization targets will require a significant scale-up of clean hydrogen production. This includes developing 3–4 terawatts (TW) of electrolysis capacity, 4.5–6.5 TW of renewable energy generation, and 140–280 million tons of reforming capacity for low-carbon hydrogen. Additionally, infrastructure must be established to store 1–2.5 gigatons of CO2 annually. Under these conditions, hydrogen-based renewable energy would contribute 15–25% of the 27 TW of new renewable energy capacity required by 2050—ten times the currently installed capacity [77].
4.2. Energy Storage Capabilities and Transportation: Balancing Renewable Energy Supply and Demand
Hydrogen can be stored and later converted back into electricity through fuel cells or used directly in various applications. The method of hydrogen storage depends on whether it is intended for export or local consumption. Hydrogen can be stored in liquid, gaseous, or solid form, allowing for the integration of renewable energy sources like solar and wind into the system. This integration can help lower the overall cost of hydrogen production [78].
Hydrogen can be transported and stored in truck-mounted tanks, though this method presents risks due to hydrogen’s high volatility and explosiveness. Additionally, it is less efficient for energy transport compared to other sources because of hydrogen’s low volumetric energy density. For example, 11 trucks carrying 300 kg of compressed hydrogen are required to transport the energy equivalent of just 10 L of diesel [79].
It is interesting to note the production of renewable hydrogen close to the point of use, although implementing this approach on a large scale may prove challenging for most end users. Alternatives to tank storage include liquefaction, blending with natural gas, and the addition of ammonia. Storing and transporting hydrogen as a liquid is inefficient, as it requires complex liquefaction processes, which can incur high installation costs. However, there remains potential for significant technological advancements that could improve efficiency and reduce the costs associated with this storage method [80].
Another potential method for transporting hydrogen involves utilizing gas pipelines, with efforts underway to develop specialized hydrogen infrastructure. This concept is still in its early stages and is being studied in countries such as the United States, Germany, the Netherlands, France, and Belgium. One possible approach is repurposing existing natural gas pipelines for hydrogen transport, though this presents significant cost challenges. Currently, blending up to 10% hydrogen with natural gas is considered a safe and viable option. Additionally, converting hydrogen into ammonia is seen as an effective solution for long-distance transport, as it enables the storage of large energy volumes for extended periods [81].
4.3. Versatility in Applications
4.3.1. Transportation Sector
Hydrogen-powered vehicles present a promising alternative to traditional battery-powered vehicles, with the potential to outperform them in some areas. The Hydrogen Council’s Path to Hydrogen Competitiveness: A Cost Perspective projects that global sales of hydrogen-powered vehicles will reach 36% by 2050 and 3% by 2030. Many automakers are focusing on hydrogen as a primary energy source for their vehicles due to its reliability and performance. For instance, Toyota’s Mirai fuel cell vehicle uses proton exchange membrane fuel cells, delivering a volume power density of 3.1 km/L and a maximum power output of 144 kilowatts. Hydrogen-fueled cars can run on both compressed and liquid hydrogen, with Honda and Hyundai’s Clarity and NEXO vehicles utilizing highly pressurized hydrogen, while BMW’s hydrogen-enhanced car operates on liquid hydrogen [81].
Additionally, hydrogen-powered regional trains are already operating in Europe, bringing economic advantages. A study by Shift2Rail suggests that 30% of the current diesel fleet could be replaced by hydrogen-powered trains [82]. The aviation sector, anticipated to see rapid growth in air traffic, is currently exploring hydrogen as a sustainable alternative to kerosene, the primary fuel used for airplanes. Liquid hydrogen, a promising alternative fuel, offers environmental benefits by reducing greenhouse gas emissions and improving air quality. It is also easier to generate from various sources, making it a more sustainable option for aviation fuel [83]. Hydrogen-powered aircraft are expected to have lower maintenance costs, longer engine lifespans, higher energy content, and better combustion efficiency. Additionally, using hydrogen in aviation could reduce dependency on conventional fuels, with the main cost factors being manufacturing and storage technology [84].
By 2050, heavy freight trucks and passenger cars are expected to be significant consumers of energy, following long-distance shipping. Hydrogen can be utilized in the maritime industry via fuel cells or internal combustion engines, with fuel cells being better suited for larger vessels and long-haul journeys. Research has shown that hydrogen is a reliable, secure, and effective fuel for marine transportation [85]. Clean hydrogen, whether generated from renewable sources, fossil fuels, nuclear energy, or through carbon capture, can support industries such as long-distance transportation, chemicals, and steel manufacturing by helping to lower emissions. Moreover, hydrogen-fueled vehicles could enhance electricity security and air quality and contribute to the integration of renewable energy into the electrical grid, offering a reliable energy storage solution [78].
4.3.2. Industrial Sector
Currently, hydrogen is predominantly used in industries such as methanol, ammonia, and oil refining, but it has a long history of application in a wide range of sectors [86]. Due to the growing push to reduce carbon emissions, hydrogen is being increasingly applied in innovative ways to produce both new and traditional products. For example, the steel industry is exploring hydrogen as a potential replacement for coal and other carbon-emitting fuels in its processes [87]. Additionally, hydrogen could play a significant role in decarbonizing concrete production, which is typically a very energy-intensive process [88].
The application of hydrogen in industrial processes has grown significantly, particularly with the advancement of the hydrogen industry in the 20th century. A notable example of hydrogen’s industrial use is the Haber–Bosch process, which combines hydrogen and nitrogen to produce ammonia. More than half of the hydrogen produced worldwide is utilized in ammonia production, a key ingredient in fertilizers [86]. Additionally, hydrogen plays a critical role in refining processes and the production of methanol, which is essential for a range of chemical processes.
Hydrogen is frequently utilized as an intermediate feedstock in the chemical, petrochemical, and oil refining sectors, typically produced on-site via the steam reforming of coal or natural gas. For instance, ammonia is usually produced by combining hydrogen derived from natural gas with nitrogen from the air. Currently, two major industries rely heavily on hydrogen: the chemical industry, particularly for producing fertilizers and ammonia, and the petrochemical sector, where it is primarily used for petroleum products. The steel industry is now beginning to explore hydrogen as well [86].
In oil refining, hydrogen plays a crucial role in converting crude oil into more valuable fuels. Crude oil is often treated with hydrogen to eliminate sulfur, ensuring the oil meets the desired fuel specifications. The reaction between sulfur and hydrogen forms hydrogen sulfide, which can then be removed to further refine the fuel [88]. At present, most hydrogen production is focused on ammonia synthesis, oil refining, and methanol production, where it is used either as a component or catalyst. With the anticipated reduction in the cost of clean hydrogen, The Road Map to a US Hydrogen Economy predicts that hydrogen will become a key fuel and component across numerous industries as the demand for carbon emission reductions increases [86].
4.3.3. Heating
Hydrogen boilers offer a significant advantage overheat pumps due to their higher temperature output, making them more effective for heating buildings with poor insulation [22]. Several green initiatives are underway, aiming to replace existing natural gas networks with hydrogen-based networks that can heat and power homes without generating harmful emissions. In these systems, a fuel cell acts as the energy converter, differing from traditional heaters that burn oil or gas to generate heat. Instead, in a fuel cell, hydrogen reacts with oxygen to produce both heat and electricity, eliminating the need for combustion and reducing environmental impacts. These advancements align with efforts to transition to cleaner, more sustainable heating solutions.
5. Challenges Facing the Adoption of Green Hydrogen
5.1. Cost Considerations: High Initial Investment and Operational Costs
The cost of hydrogen production from natural gas is affected by various technical and economic factors, with capital expenditures and gas prices being the most significant. Fuel costs are the primary expense, making up 45% to 75% of production costs. Some of the most affordable hydrogen production occurs in regions with low gas prices, such as Russia, the Middle East, and North America. However, increasing gas import prices in countries like China, India, Korea, and Japan are raising hydrogen production costs [89,90]. While water electrolysis currently represents less than 0.1% of global hydrogen production, its potential is growing as the cost of renewable electricity, especially from solar PV and wind, continues to decrease.
Electrolytically produced hydrogen is gaining attention as a low-carbon fuel. In regions with excess renewable energy, building electrolyzers may become a more cost-effective method for hydrogen production, especially when considering transport costs [91]. In the US, the production cost of green hydrogen is around $2–3 per kilogram, as shown in Figure 11 [9,92], while brown hydrogen, made from inexpensive coal, also costs $2–3 per kilogram [93]. Blue hydrogen, derived from natural gas with carbon capture and storage, costs between $4 and 8 per kilogram in the US and $7 to 11 per kilogram in Europe and Australia [94]. The price of green hydrogen from renewable energy sources through electrolysis ranges from $10 to 15 per kilogram [95]. Grey hydrogen produced from fracked natural gas is priced at $2 per kilogram in the US, though it has risen to $5–6 per kilogram in Europe, Australia, and Asia due to increasing natural gas prices [96]. According to Connelly et al. [97], global hydrogen demand was 87 million metric tons (MT) in 2020, and it is expected to grow to 500–680 million MT by 2050. The hydrogen market, valued at $130 billion in 2020, is forecast to expand at an annual rate of 9.2% until 2030. However, most of the hydrogen produced today comes from fossil fuels, with only a small portion being “green.” Currently, hydrogen production consumes 2% of the world’s coal [98]. While initial capital and operational costs are high, these expenses are expected to decrease as technology progresses and economies of scale are achieved. As manufacturing processes improve, and larger-scale production becomes more common, the prices of electrolyzers, renewable energy systems, and storage technologies are anticipated to drop. Moreover, government subsidies and policies designed to support the green hydrogen industry may help alleviate some of these costs, ultimately making green hydrogen a more feasible and sustainable energy alternative.
Figure 11.
Production cost of green hydrogen.
A promising approach under investigation is the integration of renewable energy sources with hydrogen production. Since electricity contributes approximately 60–70% of the total cost of green hydrogen production [99], utilizing excess renewable energy during periods of low demand can help reduce expenses. Countries such as Germany and Australia are investing in hybrid renewable–hydrogen projects that incorporate wind, solar, and hydroelectric power to improve cost efficiency and ensure a consistent electricity supply for electrolysis.
Additionally, government policies and financial incentives from both public and private sectors play a vital role in overcoming cost barriers. The European Union’s Hydrogen Strategy plans to allocate around EUR 470 billion by 2050 to expand hydrogen infrastructure [100]. Likewise, the U.S. Department of Energy has introduced the Hydrogen Earthshot initiative, aiming to lower the cost of clean hydrogen to $1 per kilogram within the next decade [101]. These efforts can drive advancements in research, development, and commercialization of affordable hydrogen technologies.
5.2. Storage and Transportation Infrastructure Requirements
Historically, hydrogen has been produced near its point of use due to the lack of specialized transportation infrastructure. While natural gas pipelines span over 3 million kilometers globally, hydrogen pipelines extend to only about 5000 km. Hydrogen refueling stations are available at 470 locations worldwide [102], in comparison to the roughly 200,000 gasoline and diesel refueling stations in the United States and the European Union. It is possible to repurpose natural gas infrastructure for hydrogen transport (IRENA, IEA, and REN21, upcoming), although this infrastructure is not yet available everywhere. Moreover, to accommodate synthetic fuels produced from green hydrogen, the existing infrastructure may need significant expansion [12].
Hydrogen storage and transportation present numerous challenges that must be addressed for large-scale adoption. Because of hydrogen’s low energy density, it needs to be stored under high pressure or in a cryogenic state, resulting in significant costs and energy losses [103]. Transporting hydrogen through pipelines is complicated by the risk of material embrittlement, necessitating specialized infrastructure [104]. Similarly, road transport requires specialized tanks, which increase costs [105]. Both storage and transportation processes incur energy losses, impacting overall efficiency [106]. Furthermore, hydrogen’s flammability introduces safety concerns, requiring stringent safety measures and infrastructure [107]. The limited infrastructure currently in place demands substantial investment to establish pipelines and refueling stations for widespread hydrogen utilization [108].
To address the challenges associated with storing and transporting green hydrogen, several innovative solutions are being actively developed. One approach involves utilizing advanced high-pressure gas storage systems. Hydrogen can be stored at pressures of up to 700 bar in reinforced composite tanks, enhancing storage density while ensuring safety and efficiency [109]. These tanks are increasingly being integrated into fuel cell vehicles and industrial applications.
Another viable solution is cryogenic liquid hydrogen storage, where hydrogen is cooled to −253 °C, significantly increasing its energy density. However, this method requires highly insulated storage tanks to minimize evaporation losses. Recent advancements in cryogenic materials and insulation technology are improving the efficiency of liquid hydrogen storage, making it more suitable for large-scale applications such as aerospace and maritime transport [110].
Beyond conventional storage methods, chemical hydrogen carriers like ammonia and liquid organic hydrogen carriers (LOHCs) are being explored. Ammonia, which can be transported using existing fuel infrastructure, serves as a stable and efficient hydrogen carrier. It can be decomposed to release hydrogen when needed, making it a promising option for long-distance transportation [111]. Similarly, LOHCs allow hydrogen to be chemically bonded and stored in liquid form, improving safety and simplifying handling challenges [112].
For large-scale distribution, dedicated hydrogen pipelines are being developed alongside retrofitted natural gas pipelines to facilitate hydrogen transportation. Germany and other European nations are investing in hydrogen backbone networks to support cross-border trade, fostering regional and global hydrogen markets [113]. Additionally, international shipping routes for hydrogen transport are being studied, with countries like Japan and Australia spearheading initiatives to establish supply chains using liquefied hydrogen tankers.
5.3. Technological Hurdles: Improving Electrolysis Efficiency and Reducing Equipment Costs
Energy sources for the electrolyzer can include the grid, a directly connected renewable energy plant, or a combination of both. If powered solely by renewable energy sources, hydrogen can be guaranteed to be “green”. Electrolyzers connected to the grid offer the benefit of producing hydrogen over longer periods and at a lower cost. However, the sustainability of hydrogen must be evaluated in light of the CO2 emissions associated with grid electricity, which may include power generated from fossil fuel-based facilities. This could present challenges for hydrogen producers, particularly if national emission factors are used to calculate relative carbon emissions [12].
The investment cost of electrolyzers, their capacity factor (a measure of their actual usage), and the price of renewable electricity are key factors influencing the cost of green hydrogen production. By 2020, the investment required for an alkaline electrolyzer was approximately $750–800 per kW. Even when using free electricity, if the electrolyzer operates at a low capacity factor (less than 10%, or fewer than 876 full-load hours annually), the investment costs are spread over a small number of hydrogen units, leading to higher hydrogen costs of $5–6/kg or more, as shown in Figure 12 [12]. In contrast, grey hydrogen typically costs about $1–2/kg, assuming a natural gas price of around $1.9–5.5 per gigajoule [GJ]. However, the cost per kilogram of green hydrogen becomes less influenced by investment expenditures when the load factor is higher. In this case, the contribution of the electrolyzer investment to the overall cost of producing hydrogen decreases, and the price of electricity becomes the more significant cost factor. The process’s efficiency determines the electricity costs for hydrogen at specific electricity prices. For example, with electricity priced at $20 per megawatt hour (MWh) and an electrolyzer efficiency of 0.65, the electricity portion of the total cost would increase to $30 per MWh of hydrogen, or $1/kg. Due to the high costs of electrolyzers, affordable electricity (around $20/MWh) is essential for manufacturing green hydrogen at prices competitive with grey hydrogen, as shown in Figure 12. Currently, green hydrogen producers are focused on reducing these costs through various methods (IRENA, upcoming). As the cost of electrolyzers decreases, it will become feasible to produce cost-competitive green hydrogen, even with higher-cost renewable electricity.
Figure 12.
The production cost of hydrogen, contingent on the electrolyzer system, electricity prices, and the number of hours the system operates.
Additionally, there are extra costs related to hydrogen transportation. These costs depend on factors such as volume, distance, and energy carrier. For example, transporting compressed hydrogen over 1000 km by truck costs approximately $3.5 per kilogram. Shipping green ammonia is a more affordable option for large volumes, adding only $0.15/kg of hydrogen (excluding conversion charges, like cracking). Transporting hydrogen via large pipelines (about 2000 tons per day) over short distances can achieve similarly low costs [114]. The cost of transporting hydrogen via pipelines can be as low as one-tenth the cost of transporting the same amount of energy as electricity [115].
At present, grey and blue hydrogen, which are produced from fossil fuels, are generally more affordable than green hydrogen. In 2021, hydrogen produced from natural gas without carbon capture ranged from $1.0 to 2.5 per kg, while hydrogen produced with carbon capture and storage cost between $1.5 and 3.0 per kg. In contrast, green hydrogen was produced at a cost of $4.0 to 9.0 per kg [116]. The cost of hydrogen from natural gas is highly susceptible to market fluctuations, as seen in 2022 when the price of grey hydrogen tripled due to rising gas prices following Russia’s invasion of Ukraine. In the future, the price of hydrogen from fossil fuels without emission controls is expected to increase due to carbon pricing penalties [116]. However, by 2030, green hydrogen, particularly from solar photovoltaics (PVs), is anticipated to become cost-competitive with hydrogen from fossil fuels, driven by declining renewable energy costs and technological improvements. In regions such as North Africa, the Middle East, and China, hydrogen produced from hybrid solar PV and wind systems could reach $1.5–2.0 per kg by 2030 [116] and potentially drop below $1.0 per kg by 2050 [116].
Green hydrogen, produced through electrolysis using renewable energy, is currently more costly than fossil fuels but is expected to become more affordable as technology progresses. The global price of green hydrogen typically ranges from $3 to 6 per kilogram (ARENA, 2020) [117]. Pricing varies by region, depending on the availability of renewable energy and the scale of production. In Europe, the cost of green hydrogen is between $4.5 and 6 per kilogram, with expected price reductions as electrolyzer technology advances [12]. In areas like Australia and the Middle East, where solar and wind resources are plentiful, green hydrogen costs are projected to decrease to $2 to 3 per kilogram by 2030 due to the availability of inexpensive renewable electricity [117]. When compared to fossil fuels, green hydrogen is still relatively expensive. Natural gas costs around $3 to 5 per MMBtu, which translates to about $0.5 to 1 per kilogram of hydrogen when produced via steam methane reforming [118]. Coal, priced at approximately $50 to 100 per ton, yields $0.2 to 0.5 per kilogram of hydrogen through coal gasification [13]. While green hydrogen is currently more expensive, its potential as a sustainable, low-carbon energy source makes it a promising option as technology evolves and renewable energy becomes increasingly affordable.
A key strategy for reducing costs is the large-scale deployment of electrolyzers, which can lower capital expenditures through mass production and automation. Advances in manufacturing processes and materials are expected to reduce the cost of electrolyzers by up to 60% by 2030 [119]. Additionally, enhancing the efficiency of electrolysis technology, such as the development of high-temperature solid oxide electrolyzers, can significantly decrease electricity consumption, which is the largest cost component of green hydrogen production [120].
The high initial cost of electrolyzer equipment must be further reduced to enable the scalability of green hydrogen. Currently, the cost of proton exchange membrane and alkaline electrolyzers ranges from $800 to 1500 per kilowatt (kW), making large-scale hydrogen production expensive [121]. To address this, researchers are focusing on developing cost-effective materials, such as non-precious metal catalysts, to replace the expensive platinum and iridium catalysts used in PEM electrolyzers. This innovation has the potential to significantly lower overall system costs and improve economic feasibility.
Scaling up production and improving electrolyzer efficiency are also essential for reducing operational costs. Large-scale production facilities can take advantage of economies of scale, potentially reducing the cost of green hydrogen to $1.5–2 per kilogram by 2030, down from the current $4–6 per kilogram [122]. Technological innovations, such as high-temperature solid oxide electrolyzers (SOECs), which offer higher efficiency and lower electricity consumption, are also being explored.
6. Green Hydrogen Policies and Initiatives
Policies that encourage clean hydrogen markets and restrict emissions from fossil fuel-based hydrogen production are essential to driving demand for clean hydrogen. Achieving this will require significant investments from users, distributors, and suppliers. For instance, Utah’s largest coal-fired power plant is being converted into a facility powered by natural gas and “green” hydrogen, generated from renewable energy sources like solar and wind. In June 2022, the U.S. Department of Energy announced a $504.4 million loan guarantee to the Intermountain Power Agency. By 2045, the plant is expected to run entirely on green hydrogen, though it will initially operate with a mix of natural gas and 30% hydrogen. Green hydrogen will be stored in natural underground salt caverns beneath the facility, enabling long-term energy storage and supporting the use of intermittent solar and wind energy in the region [123].
6.1. Government Policies and Incentives Supporting Green Hydrogen
Government policies and incentives are essential for advancing the development of green hydrogen, although their impact has been limited so far. While some state and federal legislators have begun to take steps to encourage green hydrogen, their policies have not yet led to a significant increase in private investment in green hydrogen technologies [124]. One of the primary reasons for the higher costs of green hydrogen production compared to grey and blue hydrogen is the expense of equipment, such as electrolyzers. However, as demand for green hydrogen grows, the production of necessary equipment is expected to scale, and technological innovations will likely reduce costs. As a result, green hydrogen is projected to become more cost-competitive and eventually more affordable than grey and blue hydrogen [123]. In addition to lowering equipment costs, ongoing government support and long-term policies will be crucial in accelerating the transition and establishing green hydrogen as a mainstream energy solution.
6.1.1. The Inflation Reduction Act
The Inflation Reduction Act (“IRA”) of 2022 had a number of provisions pertaining to the manufacturing of hydrogen. The IRA, most notably, established two forms of clean hydrogen tax credits that have the potential to significantly boost private investment in these technologies [123]. The IRA offers a ten-year production tax credit (also known as the “PTC”) for qualifying clean hydrogen. This credit ranges from $0.60 to 3.00 per kilogram of hydrogen, depending on the carbon emissions of the hydrogen supply’s lifecycle [125]. This PTC can have an even greater impact when paired with currently available federal tax incentives for renewable energy producing plants [126]. Alternatively, sustainable hydrogen energy storage facilities might choose to obtain an up to thirty percent investment tax credit (“ITC”) from the IRA in place of the PTC. Like the PTC, the ITC rises gradually as the carbon intensity of a qualifying hydrogen source decreases [123].
6.1.2. The Infrastructure Investment and Jobs Act
The 2021 Infrastructure Investment and Jobs Act (“IIJA”) is another recent federal legislation that provides strong support for investments in clean hydrogen. The IIJA allocates $9.5 billion in funding across three different clean hydrogen technology programs. The first program, which receives the majority of the funds, focuses on developing at least four Regional Clean Hydrogen Hubs, or “H2Hubs”. According to the IIJA, an H2Hub is defined as “a network of nearby clean hydrogen producers, potential clean hydrogen consumers, and connective infrastructure”. These hubs will be funded through a grant program administered by the Department of Energy. The other two programs under the IIJA include the “Clean Hydrogen Electrolysis Program”, which aims to reduce the cost of electrolyzers, and the “Clean Hydrogen Manufacturing and Recycling Program”, which supports the creation of domestic clean hydrogen supply chains and fosters greater consumer acceptance of clean hydrogen technologies [123].
Recent global policy initiatives have significantly accelerated the adoption of green hydrogen, recognizing its crucial role in achieving global decarbonization objectives.
In November 2023, the World Bank, in collaboration with international partners, launched the 10 GW Clean Hydrogen Initiative to expedite the deployment of clean hydrogen technologies. The initiative aims to demonstrate the feasibility of the emerging clean hydrogen industry, reduce financing costs, and increase adoption by developing scalable solutions [127].
The Organisation for Economic Co-operation and Development (OECD) has outlined various policy measures to support the adoption of green hydrogen. These include investing in research and development to lower electrolyzer costs, expanding renewable electricity generation, introducing carbon pricing mechanisms, and establishing international standards to reduce uncertainty and promote trade [128].
The International Renewable Energy Agency (IRENA) has published guidelines to help integrate green hydrogen into the broader energy system. These guidelines stress the importance of involving civil society and industry stakeholders to maximize benefits and ensure a smooth transition [129].
At the regional level, the European Union’s Green Deal highlights the role of hydrogen in reducing greenhouse gas emissions by at least 55% by 2030, underscoring the EU’s commitment to building a hydrogen-based economy [130].
Bilateral agreements have also been formed to promote green hydrogen. For example, Australia and the United Kingdom launched the Global Clean Power Alliance Finance Mission, aimed at fostering collaboration in renewable energy technologies, including green hydrogen, and supporting clean energy financing for Pacific Island countries [131].
These policy developments demonstrate a growing global consensus on the vital role of green hydrogen in achieving a sustainable, low-carbon future.
However, geopolitical changes have a significant impact on the adoption of green hydrogen, especially in developing economies. As countries focus on energy security and seek alternatives to fossil fuels, investments in hydrogen production and trade are growing. Nations with abundant renewable energy resources, such as those in Africa, Latin America, and the Middle East, have the potential to emerge as major exporters of green hydrogen. However, infrastructure challenges, policy instability, and financial limitations often impede the large-scale implementation of hydrogen projects in these regions [132].
International collaborations and trade agreements are playing a vital role in enabling technology transfer and investment in hydrogen initiatives. For instance, the European Union is actively working with African countries to establish hydrogen supply chains as part of its decarbonization efforts [133]. Likewise, the Middle East is positioning itself as a key player in the hydrogen sector, using its solar and wind resources to produce hydrogen on a large scale [134].
Nonetheless, geopolitical conflicts, trade restrictions, and regional instability can introduce market uncertainties. Countries dependent on fossil fuel exports may resist transitioning to hydrogen, while others may implement trade barriers to protect local industries. Moreover, differences in regulatory frameworks and financial incentives can lead to unequal access to hydrogen technologies, slowing adoption in emerging markets [135].
To ensure a fair and sustainable transition, global cooperation through policy alignment, investment support, and capacity-building programs is crucial. By addressing geopolitical uncertainties and promoting strategic partnerships, green hydrogen can become a viable energy solution for both developed and developing economies.
6.1.3. Industry Collaborations and Partnerships
The Global Programme for Green Hydrogen in Industry collaborated with the United Nations Industrial Development Organization (UNIDO) and its Sustainable and Inclusive Industrial Development (SDG-9) mandate. The program aims to support the local production and use of green hydrogen to facilitate a just transition in industries within developing nations and transition economies. It is structured around two primary work pillars: the Technical Cooperation Program and the Global Partnership for Hydrogen in Industry (Phase I). The first pillar focuses on enhancing knowledge and building capacity for the application of green hydrogen in industry among national policymakers and business leaders. This collaboration provides a platform for Member States, businesses, investors, the private sector, academic institutions, and research entities to discuss policy, raise public awareness, share knowledge, and collaborate on projects. The second pillar focuses on the planning and execution of green hydrogen initiatives in industry, in partnership with businesses and governments in developing countries and transition economies. These initiatives focus on decarbonizing industries that are difficult to fully eliminate emissions from, promoting innovation and the adoption of locally produced green hydrogen. This, in turn, is expected to drive job creation and stimulate economic growth in the regions involved. Additionally, the establishment of national policy frameworks and incentives to foster a supportive environment for the use of green hydrogen is a crucial aspect of these efforts [136].
The International Hydrogen Energy Centre, a joint initiative between UNIDO and the Chinese government in Beijing, provides support for both pillars, as shown in Figure 13 [97]. As a knowledge partner, the center fosters global collaboration, contributes to the development of green hydrogen economies, and supports technology research, development, and implementation.
Figure 13.
The structure of the UNIDO Global Program for Green Hydrogen in Industry.
To ensure the continued operation of the Global Partnership, UNIDO launched the “Global Partnership for Hydrogen in Industry Phase II”. This initiative aims to address the challenges identified in Phase I (an ongoing project) and facilitate the implementation of green hydrogen for industrial use in developing countries.
The German Federal Ministry of Economic Cooperation and Development (BMZ) has donated EUR 750,000 to support the initiative, furthering ongoing projects and promoting collaboration between UNIDO and GIZ (German Corporation for International Cooperation, Bonn, Germany). This funding will provide a framework for joint project development among UNIDO and its partners. Additional contributions from the governments of Austria, Italy, Spain, Denmark, and the United Arab Emirates are currently under discussion for Phase II. Furthermore, the GEF-8 program cycle will fund a global green hydrogen initiative that UNIDO, the World Bank, and IRENA are working on. UNIDO will lead the global component of the program, which includes analyzing industrial clusters that could evolve into green hydrogen hubs and offering support to enhance institutional capacity and technological readiness [136].
6.2. Innovations and Research Advancements Towards Green Hydrogen Deployment
The development of green hydrogen energy relies on an integrated approach, combining technological advancements with well-designed policies and strategies. Interestingly, there is a lack of extensive review articles addressing this complex subject. Researchers have analyzed the potential of green hydrogen as a viable renewable energy source and assessed its economic feasibility, particularly in relation to fuel-cell electric vehicles for road transport [137,138,139,140,141].
Research on the potential of green hydrogen across various regions, including China, Australia, Africa, and India, has attracted considerable interest. Comprehensive studies have explored several aspects of green hydrogen, such as establishing standards, defining key terms, confirming sources, addressing challenges, and assessing strategic directions in relation to the dynamics of supply and demand [142,143]. Efforts have also focused on evaluating the current status of the green hydrogen industry, available support systems, and promotional opportunities, particularly in the context of carbon reduction and the pursuit of carbon neutrality goals [144,145,146]. A central area of focus has been identifying appropriate technologies for green hydrogen production and determining effective strategies for integrating hydrogen storage with power generation, particularly in conjunction with wind energy [146,147].
Moreover, research has delved into various dimensions of green hydrogen, including its limitations, the economic impact of fossil fuels, certification processes, fostering innovation, and the timeline for transitioning away from coal [148,149]. Recent studies have underscored the promising potential of green hydrogen production and use, especially after evaluating low-carbon hydrogen production systems [150,151]. Additionally, studies have explored the probabilistic feasibility of scaling up green hydrogen supply and identifying investment opportunities in its production. However, further research is needed to address cost efficiency, technological challenges, and issues related to storage and transportation to facilitate its widespread adoption.
7. Future Outlook and Potential
Clean hydrogen has attracted significant global attention due to the urgent need to combat climate change and the increasing economic feasibility of renewable energy sources. Countries rich in renewable energy resources are prioritizing the production of green hydrogen, while fossil fuel-exporting nations are turning to blue hydrogen as a strategic approach to diversify their economies during the energy transition. Table 2 presents the current global net-zero targets for low-carbon hydrogen. The International Renewable Energy Agency (IRENA) predicts that clean hydrogen will be crucial in transforming the energy sector, potentially reducing global carbon emissions by approximately 10% by 2050. Similarly, the U.S. Environmental Protection Agency (EPA), under its 1.5 °C climate scenario, estimates that hydrogen and its derivatives could account for up to 12% of global energy consumption by mid-century. These projections are consistent with the International Energy Agency’s roadmap for achieving carbon neutrality by 2050. However, the Hydrogen Council’s forecasts are even more optimistic, suggesting that hydrogen could represent 22% of total energy consumption by that time [152].
Table 2.
Global objectives for net-zero emissions on the role of low-carbon hydrogen in reducing emissions [153].
The global green hydrogen market is projected to grow rapidly, driven by the increasing need for decarbonization and the adoption of renewable energy. Valued at around $2.14 billion in 2021, the market is expected to reach $135.73 billion by 2031, marking a compound annual growth rate (CAGR) of 51.6% [154]. Green hydrogen is anticipated to see significant demand across various sectors, particularly in transportation, where it will play a pivotal role in fuel cell electric vehicles (FCEVs), helping to reduce carbon emissions [155]. For power generation, green hydrogen is increasingly utilized to enhance grid stability and provide a clean energy storage solution [156]. In industrial sectors, such as petrochemicals and steel manufacturing, green hydrogen is being adopted to decarbonize operations and achieve sustainability objectives [155].
IRENA forecasts that by mid-century, green hydrogen production and its derivatives could account for 30% of global electricity demand [157]. It is projected that by 2050, the electricity required to produce hydrogen could reach 21,000 terawatt-hours, approximately equal to the current global electricity consumption. According to IRENA, the green hydrogen market could be valued at $50–60 billion by 2050, covering the entire hydrogen electrolysis value chain. The Najjar [158] predicts that the hydrogen fuel cell industry could be worth between $21 and 25 billion by mid-century. IRENA also anticipates that at least 66% of the hydrogen supply will come from green hydrogen production, with blue hydrogen making up the remaining 34%. By 2050, the organization projects that two-thirds of green hydrogen will be used domestically, with the remaining third allocated for commercial purposes.
Europe is at the forefront of green hydrogen adoption, driven by robust policies and substantial investments focused on achieving carbon neutrality [159]. In the Asia–Pacific region, nations like China and Australia are rapidly scaling up their green hydrogen production to support industrial development and energy transitions [160]. Meanwhile, in North America, the United States is seeing significant investments in hydrogen infrastructure, with companies securing substantial funding to grow their operations [161]. The expansion of the green hydrogen market is fueled by its growing importance in clean energy transitions across diverse sectors and regions, backed by technological innovations and global sustainability efforts.
For clean hydrogen to be widely adopted, several obstacles need to be addressed. IRENA has highlighted various challenges that impede the broad use of clean hydrogen in the energy transition. The main issue is the higher production cost of hydrogen compared to fossil fuels, which are more carbon intensive. Additionally, the technology needed to fully harness the potential of clean hydrogen in the energy sector is inadequate, and substantial energy losses occur during hydrogen production and conversion. Other challenges include the limited availability of renewable energy sources and the uncertainty surrounding regulatory frameworks [162]. Technology transfer is vital in this aspect, as it promotes innovation, lowers costs, and speeds up the adoption of green hydrogen. This is key to scaling up green hydrogen production, enhancing electrolyzer efficiency, and reducing expenses, all of which are essential for meeting the global objective of achieving near-zero emissions by 2050 [163].
8. Conclusions
This study clearly highlights green hydrogen’s significant potential in advancing the decarbonization of the energy sector and mitigating climate change. As the urgency to address climate change grows, hydrogen is increasingly recognized as a critical element in achieving the global net-zero transition, particularly for decarbonizing hard-to-abate sectors.
Our research shows that the climate advantages of green hydrogen depend significantly on factors such as the production process, the availability of renewable electricity, and the timing of its use. The environmental impact of hydrogen technologies varies, with green hydrogen technologies nearly eliminating warming, while those with higher carbon emissions may contribute to greater warming compared to the fossil fuels they replace. For green hydrogen applications, the reduction in warming is between 66% and 95%, depending on the surplus of renewable electricity available. As such, green hydrogen, generated through electrolysis using renewable energy, is a highly promising option for the energy transition to decarbonize the economy and combat climate change in contrast to the conventional steam reforming process that produces CO2 emissions.
It was also deduced that the costs of climate mitigation by mid-century, without utilizing green hydrogen, could rise to between $10.0 and 15.7 trillion (6.1–7.8% of global GDP), representing a 20–28% increase compared to scenarios that include hydrogen-based net-zero solutions. The adoption of green hydrogen is crucial for achieving the global decarbonization goals set for 2050, due to its numerous advantages.
However, realizing its full potential and reducing costs to a point where green hydrogen can compete with conventional fossil fuels will require further innovation, investment, cost reduction, robust equipment, more efficient transportation and storage facilities, and favorable policy support.
To address these challenges, we recommended intensified future research on lowering production costs through improved electrolysis technologies and environmental impact and lifecycle analysis of green hydrogen production for more efficient integration into renewable energy. Additionally, industries should develop better hydrogen storage and transportation solutions, particularly for long-distance distribution, policymakers and government parastatals should prioritize investments in infrastructure and encourage innovation in green hydrogen technologies. International collaboration on policy could help standardize hydrogen adoption and foster global market growth.
Recent projections suggest that by 2050, the cost of producing green hydrogen could decrease to around $1.5/kg, positioning it as a viable and sustainable substitute for conventional hydrogen sources. Shifting to green hydrogen presents a substantial opportunity to enhance sustainability and lower carbon emissions in both the energy and industrial sectors, contributing to the long-term mitigation of global climate change.
Author Contributions
Conceptualization, I.E.; methodology, I.E.; validation, I.E., F.E. and O.O.; formal analysis, I.E.; investigation, I.E.; resources, I.E., F.E. and O.O.; data curation, I.E.; writing—original draft preparation, I.E.; writing—review and editing, I.E., F.E. and O.O.; visualization, I.E., F.E. and O.O.; supervision, O.O. All authors have read and agreed to the published version of the manuscript.
Funding
This research received no external funding.
Conflicts of Interest
The authors declare no conflicts of interest.
References
- Mombekova, G.; Nurgabylov, M.; Baimbetova, A.; Keneshbayev, B.; Izatullayeva, B. The Relationship Between Energy Consumption, Population, and Economic Growth in Developing Countries. Int. J. Energy Econ. Policy 2024, 14, 368–374. [Google Scholar] [CrossRef]
- Feltrin, A.N. Energy Equality and the Challenges of Population Growth. Religions 2018, 6, 313. [Google Scholar] [CrossRef]
- Visual Capitalist. Global Carbon Atlas 2022. Available online: https://www.visualcapitalist.com/carbon-emissions-by-country-2022 (accessed on 28 March 2025).
- Olaleru, S.A.; Kirui, J.; Elegbeleye, F.; Aniyikaiye, T. Green Technology Solution to Global Climate Change Mitigation. Energy Environ. Storage J. 2021, 1, 26–41. [Google Scholar] [CrossRef]
- Elegbeleye, I.F. Studies of Interaction of Dye Molecules with TiO2 Brookite Clusters for Application in Dye-Sensitized Solar Cells. Ph.D. Thesis, University of Venda, Thohoyandou, Limpopo, South Africa, 2020. Available online: https://univendspace.univen.ac.za/handle/11602/1477 (accessed on 28 March 2025).
- Alirahmi, S.M.; Assareh, E.; Pourghassab, N.N.; Delpisheh, M.; Barelli, L.; Baldinelli, A. Green Hydrogen & Electricity Production via Geothermal-Driven Multi-Generation System: Thermo-Dynamic Modeling and Optimization. Fuel 2022, 308, 122049. [Google Scholar] [CrossRef]
- Vasseghian, Y.; Arunkumar, P.; Joo, S.W.; Gnanasekaran, L.; Kamyab, H.; Rajendran, S.; Balakrishnan, D.; Chelliapan, S.; Klemeš, J.J. Metal-Organic Framework-Enabled Pesticides Are an Emerging Tool for Sustainable Cleaner Production and Environmental Hazard Reduction. J. Clean. Prod. 2022, 373, 133966. [Google Scholar] [CrossRef]
- International Energy Agency. The Future of Hydrogen. 2019. Available online: https://www.iea.org/reports/the-future-of-hydrogen (accessed on 8 October 2024).
- Reda, B.; Elzamar, A.A.; AlFazzani, S.; Ezzat, S.M. Green Hydrogen as a Source of Renewable Energy: A Step Towards Sustainability, An Overview. Environ. Dev. Sustain. 2024, 1–21. [Google Scholar] [CrossRef]
- Hassan, Q.; Algburi, S.; Sameen, A.Z.; Salman, H.M.; Jaszczur, M. Green Hydrogen: A Pathway to a Sustainable Energy Future. Int. J. Hydrogen Energy 2024, 50, 310–333. [Google Scholar] [CrossRef]
- Osman, A.I.; Mehta, N.; Elgarahy, A.M.; Hefny, M.; Al-Hinai, A.; Al-Muhtaseb, A.A.H.; Rooney, D.W. Hydrogen Production, Storage, Utilization and Environmental Impacts: A Review. Environ. Chem. Lett. 2022, 20, 153–188. [Google Scholar] [CrossRef]
- Kartal, F.; Sezer, S.; Ozeveren, U. Investigation of steam and CO2 gasification for biochar using a circulating fluidized bed gasifier model in Aspen HYSYS. J. CO2 Util. 2022, 62, 102078. [Google Scholar] [CrossRef]
- International Energy Agency (IEA). The Future of Hydrogen: Seizing Today’s Opportunities; IEA: Paris, France, 2020. [Google Scholar]
- McKinsey & Company. Hydrogen: A Clean Fuel for the Future; McKinsey & Company: New York, NY, USA, 2022. [Google Scholar]
- International Energy Agency (IEA). The Role of Carbon Capture, Utilization, and Storage in the Hydrogen Economy; IEA: Paris, France, 2021. [Google Scholar]
- Arcos, J.M.M.; Santos, D.M. The hydrogen color spectrum: Techno-economic analysis of the available technologies for hydrogen production. Gases 2023, 3, 25–46. [Google Scholar] [CrossRef]
- Center on Global Energy Policy, Columbia University. Hydrogen Fact Sheet: Production of Low-Carbon Hydrogen. 2021. Available online: https://www.energypolicy.columbia.edu/sites/default/files/pictures/HydrogenProduction_CGEP_FactSheet_052621.pdf (accessed on 28 March 2025).
- World Economic Forum. The Many Colours of Hydrogen Explained. 2021. Available online: https://www.weforum.org/stories/2021/07/clean-energy-green-hydrogen/ (accessed on 28 March 2025).
- Xi-Liu, Y.U.E.; Qing-Xian, G.A.O. Contributions of Natural Systems and Human Activity to Greenhouse Gas Emissions. Adv. Clim. Chang. Res. 2018, 9, 243–252. [Google Scholar] [CrossRef]
- Mostefaoui, M.; Ciais, P.; McGrath, M.J.; Peylin, P.; Patra, P.K.; Ernst, Y. Greenhouse Gas Emissions and Their Trends over the Last Three Decades across Africa. Earth Syst. Sci. Data 2024, 16, 245–275. [Google Scholar] [CrossRef]
- Thapa, B.S.; Thapa, B. Green Hydrogen as a Future Multi-Disciplinary Research at Kathmandu University. J. Phys. Conf. Ser. 2020, 1608, 012020. [Google Scholar] [CrossRef]
- House of Commons Science and Technology Committee. The Role of Hydrogen in Achieving Net Zero: Fourth Report of Session 2022–23 (HC 99); UK Parliament: London, UK, 2022. [Google Scholar]
- Climateurope. What Is Climate and Climate Change? Available online: https://www.climateurope.eu/what-is-climate-and-climate-change (accessed on 8 October 2024).
- Adedeji, O.; Reuben, O.; Olatoye, O. Global Climate Change. J. Geosci. Environ. Prot. 2014, 2, 114–122. [Google Scholar] [CrossRef]
- Climate Change Information Resources, New York Metropolitan Region. Available online: https://www.earth.columbia.edu/news/2005/story03-25-05.html (accessed on 8 October 2021).
- Hydrogen Council. Hydrogen Insights 2023: An Update on the State of the Global Hydrogen Economy, with a Deep Dive into North America; Hydrogen Council: Brussels, Belgium, 2023; Available online: https://hydrogencouncil.com/wp-content/uploads/2023/05/Hydrogen-Insights-2023.pdf (accessed on 12 January 2024).
- Sun, T.; Shrestha, E.; Hamburg, S.P.; Kupers, R.; Ocko, I.B. Climate Impacts of Hydrogen and Methane Emissions Can Considerably Reduce the Climate Benefits across Key Hydrogen Use Cases and Time Scales. Environ. Sci. Technol. 2024, 58, 5299–5309. [Google Scholar] [CrossRef]
- Fasullo, J.T.; Otto-Bliesner, B.L.; Stevenson, S. ENSO’s changing influence on temperature, precipitation, and wildfire in a warming climate. Geophys. Res. Lett. 2018, 45, 9216–9225. [Google Scholar] [CrossRef]
- Hare, B.; Höhne, N.; Gütschow, J.; Schaeffer, M.; Vieweg-Mersmann, M. Climate action tracker. 2015. Available online: https://climateactiontracker.org/documents/39/CAT_2015-10-01_INDCsLowerProjectedWarming_CATUpdate.pdf (accessed on 1 October 2015).
- Hassan, Q.; Algburi, S.; Sameen, A.Z.; Salman, H.M.; Al-Jiboory, A.K. A review of green hydrogen production by renewable resources. Energy Harvest. Syst. 2024, 11, 20220127. [Google Scholar] [CrossRef]
- Baker Hughes. Water Electrolysis for Hydrogen Production; Baker Hughes: Houston, TX, USA, 2023. [Google Scholar]
- Obaideen, K.; Shehata, N.; Sayed, E.T.; Abdelkareem, M.A.; Mahmoud, M.S.; Olabi, A.G. The role of wastewater treatment in achieving sustainable development goals (SDGs) and sustainability guideline. Energy Nexus 2022, 7, 100112. [Google Scholar] [CrossRef]
- Wolfram, P.; Kyle, P.; Fuhrman, J.; O’Rourke, P.; McJeon, H. The hydrogen economy can reduce costs of climate change mitigation by up to 22%. One Earth 2024, 7, 885–895. [Google Scholar] [CrossRef]
- IRENA Coalition for Action. Decarbonising End-Use Sectors: Practical Insights on Green Hydrogen; International Renewable Energy Agency: Abu Dhabi, United Arab Emirates, 2021; Available online: https://www.irena.org/Publications/2021/Feb/Decarbonising-end-use-sectors-Practical-insights-on-green-hydrogen (accessed on 28 March 2025).
- Stadler Rail. Stadler Delivers North America’s First Hydrogen-Powered Passenger Train to San Bernardino County Transportation Authority. 2024. Available online: https://stadlerrail.com/hu/media/article/flirt-h2-sbcta-and-stadler-strengthen-sustainable-rail-transport-in-the-usa/1138/ (accessed on 8 April 2025).
- Plug Power. Plug Power and Olin Corporation Partner to Produce Green Hydrogen in 15 Ton Per Day Plant to Serve North America. 2022. Available online: https://www.ir.plugpower.com/press-releases/news-details/2022/Plug-Power-and-Olin-Corporation-Partner-to-Produce-Green-Hydrogen-in-15-Ton-Per-Day-Plant-to-Serve-North-America/default.aspx (accessed on 8 April 2025).
- Li, X.; Raorane, C.J.; Xia, C.; Wu, Y.; Tran, T.K.N.; Khademi, T. Latest approaches on green hydrogen as a potential source of renewable energy towards sustainable energy: Spotlighting of recent innovations, challenges, and future insights. Fuel 2023, 334, 126684. [Google Scholar] [CrossRef]
- Fernández-Arias, P.; Antón-Sancho, Á.; Lampropoulos, G.; Vergara, D. On green hydrogen generation technologies: A bibliometric review. Appl. Sci. 2024, 14, 2524. [Google Scholar] [CrossRef]
- Liu, R.T.; Xu, Z.L.; Li, F.M.; Chen, F.Y.; Yu, J.Y.; Yan, Y.; Chen, Y.; Xia, B.Y. Recent advances in proton exchange membrane water electrolysis. Chem. Soc. Rev. 2023, 52, 5652–5683. [Google Scholar] [CrossRef] [PubMed]
- Wang, L.; Pérez-Fortes, M.; Madi, H.; Diethelm, S.; Maréchal, F. Optimal design of solid-oxide electrolyzer based power-to-methane systems: A comprehensive comparison between steam electrolysis and co-electrolysis. Appl. Energy 2018, 211, 1060–1079. [Google Scholar] [CrossRef]
- Bianco, E.; Blanco, H. Green Hydrogen: A Guide to Policy Making; IRENA: Abu Dhabi, United Arab Emirates, 2020. [Google Scholar]
- Franco, A.; Giovannini, C. Recent and future advances in water electrolysis for green hydrogen generation: Critical analysis and perspectives. Sustainability 2023, 15, 16917. [Google Scholar] [CrossRef]
- Manabe, A.; Kashiwase, M.; Hashimoto, T.; Hayashida, T.; Kato, A.; Hirao, K.; Shimomura, I.; Nagashima, I. Basic Study of Alkaline Water Electrolysis. Electrochim. Acta 2013, 100, 249–256. [Google Scholar] [CrossRef]
- Rashid, M.M.; Al Mesfer, M.K.; Naseem, H.; Danish, M. Hydrogen Production by Water Electrolysis: A Review of Alkaline Water Electrolysis, PEM Water Electrolysis, and High Temperature Water Electrolysis. Int. J. Eng. Adv. Technol. 2019, 8, 81–85. [Google Scholar]
- Zhao, Y.; Zhang, L.; Li, X.; Wang, H.; Liu, Y.; Chen, J.; Li, Y.; Li, H.; Li, J.; Zhang, J. Advancements in Hydrogen Production Using Alkaline Electrolysis Systems Integrated with Renewable Energy Sources: A Review. Int. J. Hydrogen Energy 2024, 49, 5123–5140. [Google Scholar] [CrossRef]
- Shiva Kumar, S.; Himabindu, V. Hydrogen Production by PEM Water Electrolysis—A Review. Mater. Sci. Energy Technol. 2019, 2, 442–454. [Google Scholar] [CrossRef]
- Fallah Vostakola, M.; Ozcan, H.; El-Emam, R.S.; Amini Horri, B. Recent Advances in High-Temperature Steam Electrolysis with Solid Oxide Electrolysers for Green Hydrogen Production. Energies 2023, 16, 3327. [Google Scholar] [CrossRef]
- Carmo, M.; Fritz, D.L.; Mergel, J.; Stolten, D. A Comprehensive Review on PEM Water Electrolysis. Int. J. Hydrogen Energy 2013, 38, 4901–4934. [Google Scholar] [CrossRef]
- Mika, Ł.; Sztekler, K.; Bujok, T.; Boruta, P.; Radomska, E. Seawater Treatment Technologies for Hydrogen Production by Electrolysis—A Review. Energies 2024, 17, 6255. [Google Scholar] [CrossRef]
- Chen, Y.; Brandon, N.P.; Brightman, E.; Costa, R.; White, T.; Neville, T.; Kilner, J.A. High Temperature Co-Electrolysis of Steam and CO2 in an SOC Stack: Performance and Durability. Fuel Cells 2013, 13, 638–643. [Google Scholar] [CrossRef]
- Jaradat, M.; Almashaileh, S.; Bendea, C.; Juaidi, A.; Bendea, G.; Bungau, T. Green Hydrogen in Focus: A Review of Production Technologies, Policy Impact, and Market Developments. Energies 2024, 17, 3992. [Google Scholar] [CrossRef]
- Elder, R.; Cumming, D.; Mogensen, M.B. High Temperature Electrolysis. In Carbon Dioxide Utilisation: Closing the Carbon Cycle; Styring, P., Quadrelli, E.A., Armstrong, K., Eds.; Elsevier: Amsterdam, The Netherlands, 2015; pp. 183–209. [Google Scholar]
- Acar, C.; Dincer, I. Hydrogen Production. In Comprehensive Energy Systems; Dincer, I., Ed.; Elsevier: Amsterdam, The Netherlands, 2018; pp. 1–40. [Google Scholar]
- Demirbaş, A. Biomass resource facilities and biomass conversion processing for fuels and chemicals. Energy Convers. Manag. 2001, 42, 1357–1378. [Google Scholar] [CrossRef]
- Hosseini, S.E.; Wahid, M.A. Hydrogen production from renewable and sustainable energy resources: Promising green energy carrier for clean development. Renew. Sustain. Energy Rev. 2016, 57, 850–866. [Google Scholar] [CrossRef]
- Liu, S.; Zhu, J.; Chen, M.; Xin, W.; Yang, Z.; Kong, L. Hydrogen production via catalytic pyrolysis of biomass in a two-stage fixed bed reactor system. Int. J. Hydrogen Energy 2014, 39, 13128–13135. [Google Scholar] [CrossRef]
- Wang, Z.; He, T.; Qin, J.; Wu, J.; Li, J.; Zi, Z.; Liu, G.; Wu, J.; Sun, L. Gasification of biomass with oxygen-enriched air in a pilot scale two-stage gasifier. Fuel 2015, 150, 386–393. [Google Scholar] [CrossRef]
- Levin, D.B.; Pitt, L.; Love, M. Biohydrogen production: Prospects and limitations to practical application. Int. J. Hydrogen Energy 2004, 29, 173–185. [Google Scholar] [CrossRef]
- Bakenne, A.; Nuttall, W.; Kazantzis, N. Sankey-Diagram-based insights into the hydrogen economy of today. Int. J. Hydrogen Energy 2016, 41, 7744–7753. [Google Scholar] [CrossRef]
- Dunn, S. Hydrogen futures: Toward a sustainable energy system. Int. J. Hydrogen Energy 2002, 27, 235–264. [Google Scholar] [CrossRef]
- Lützkendorf, T.; Frischknecht, R. (Net-) zero-emission buildings: A typology of terms and definitions. Build. Cities 2020, 1, 1–22. [Google Scholar] [CrossRef]
- Safari, F.; Dincer, I. A review and comparative evaluation of thermochemical water splitting cycles for hydrogen production. Energy Convers. Manag. 2020, 205, 112182. [Google Scholar] [CrossRef]
- Millet, P.; Mbemba, N.; Grigoriev, S.A.; Fateev, V.N.; Aukauloo, A.; Etiévant, C. Electrochemical performances of PEM water electrolysis cells and perspectives. Int. J. Hydrogen Energy 2011, 36, 4134–4142. [Google Scholar] [CrossRef]
- Hutsol, T.; Glowacki, S.; Tryhuba, A.; Kovalenko, N.; Pustova, Z.; Rozkosz, A.; Sukmaniuk, O. Current Trends of Biohydrogen Production from Biomass—Green Hydrogen; International Visegrad Fund: Bratislava, Slovakia, 2021. [Google Scholar]
- Mirza, U.K.; Ahmad, N.; Harijan, K.; Majeed, T. A vision for hydrogen economy in Pakistan. Renew. Sustain. Energy Rev. 2009, 13, 1111–1115. [Google Scholar] [CrossRef]
- Bradhurst, D.H.; Heuer, P.M.; Stolarski, G.Z.A. Hydrogen Production and Storage. 1981. Available online: https://trid.trb.org/View/170286 (accessed on 28 March 2025).
- Abad, A.V.; Dodds, P.E. Production of Hydrogen; No. 2015; Elsevier: Amsterdam, The Netherlands, 2017; Volume 3. [Google Scholar]
- Acar, C.; Dincer, I. Comparative assessment of hydrogen production methods from renewable and non-renewable sources. Int. J. Hydrogen Energy 2014, 39, 1–12. [Google Scholar] [CrossRef]
- Krumpelt, M.; Krause, T.R.; Carter, J.D.; Kopasz, J.P.; Ahmed, S. Fuel processing for fuel cell systems in transportation and portable power applications. Catal. Today 2002, 77, 3–16. [Google Scholar] [CrossRef]
- Hydrogen Europe. Clean Hydrogen Production Pathways; Hydrogeneurope.eu Report; Hydrogen Europe: Brussels, Belgium, 2024. [Google Scholar]
- Van Rensburg, P.; Pretorius, I.S. Enzymes in winemaking: Harnessing natural catalysts for efficient biotransformations. S. Afr. J. Enol. Vitic. 2000, 21, 52–73. [Google Scholar]
- International Renewable Energy Agency (IRENA). Green Hydrogen: A Guide for Policymakers; International Renewable Energy Agency: Abu Dhabi, United Arab Emirates, 2020. [Google Scholar]
- Dash, S.; Singh, A.; Jose, S.; Elangovan, D.; Surapraraju, S.K.; Natarajan, S.K. Advances in green hydrogen production through alkaline water electrolysis: A comprehensive review. Int. J. Hydrogen Energy 2024, 83, 614–629. [Google Scholar] [CrossRef]
- Searcy, E.; Flynn, P. The impact of biomass availability and processing cost on optimum size and processing technology selection. Appl. Biochem. Biotechnol. 2009, 154, 92–107. [Google Scholar] [CrossRef]
- Jiang, H.; Qi, B.; Du, E.; Zhang, N.; Yang, X.; Yang, F.; Wu, Z. Modeling hydrogen supply chain in renewable electric energy system planning. IEEE Trans. Ind. Appl. 2021, 58, 2780–2791. [Google Scholar] [CrossRef]
- Hydrogen Council. Hydrogen for Net-Zero: A Pathway to Achieving the Global Climate Goals; Hydrogen Council: Brussels, Belgium, 2021; Available online: https://hydrogencouncil.com/wp-content/uploads/2021/11/Hydrogen-for-Net-Zero.pdf (accessed on 28 March 2025).
- Hydrogen Council. Hydrogen for Net Zero—A Critical Cost-Competitive Energy Vector; Hydrogen Council: Brussels, Belgium, 2021. [Google Scholar]
- Maka, A.O.; Mehmood, M. Green hydrogen energy production: Current status and potential. Clean Energy 2024, 8, 1–7. [Google Scholar] [CrossRef]
- U.S. Department of Energy. Hydrogen Storage. Available online: https://www.energy.gov/eere/fuelcells/hydrogen-storage (accessed on 28 March 2025).
- Zhang, T.; Uratani, J.; Huang, Y.; Xu, L.; Griffiths, S.; Ding, Y. Hydrogen liquefaction and storage: Recent progress and perspectives. Renew. Sustain. Energy Rev. 2023, 176, 113204. [Google Scholar] [CrossRef]
- Yue, M.; Lambert, H.; Pahon, E.; Roche, R.; Jemei, S.; Hissel, D. Hydrogen energy systems: A critical review of technologies, applications, trends and challenges. Renew. Sustain. Energy Rev. 2021, 146, 111180. [Google Scholar] [CrossRef]
- Shift2Rail. Study on the Usage of Fuel Cells and Hydrogen in the Railway Environment; Shift2Rail: Brussels, Belgium, 2021; Available online: https://rail-research.europa.eu/wp-content/uploads/2019/04/Report-2.pdf (accessed on 11 March 2025).
- Tzanetis, K.F.; Posada, J.A.; Ramirez, A. Analysis of biomass hydrothermal liquefaction and biocrude-oil upgrading for renewable jet fuel production: The impact of reaction conditions on production costs and GHG emissions performance. Renew. Energy 2017, 113, 1388–1398. [Google Scholar] [CrossRef]
- Eichman, J.; Townsend, A.; Melaina, M. Economic Assessment of Hydrogen Technologies Participating in California Electricity Markets (No. NREL/TP-5400-65856); National Renewable Energy Laboratory (NREL): Golden, CO, USA, 2016. [Google Scholar]
- Deniz, C.; Zincir, B. Environmental and economical assessment of alternative marine fuels. J. Clean. Prod. 2016, 113, 438–449. [Google Scholar] [CrossRef]
- U.S. Department of Energy. Hydrogen Use in Industry. Available online: https://www.energy.gov/eere/fuelcells/h2scale (accessed on 28 March 2025).
- European Parliament. Hydrogen in Steelmaking: A Key to Decarbonization. Available online: https://www.europarl.europa.eu/RegData/etudes/BRIE/2020/641552/EPRS_BRI(2020)641552_EN.pdf (accessed on 28 March 2025).
- Linde Group. The Role of Hydrogen in Removing Sulfur from Liquid Fuels. Available online: https://assets.linde.com/-/media/global/corporate/corporate/documents/sustainable-development/climate-change/the-role-of-hydrogen-in-removing-sulfur-from-liquid-fuels-w-disclaimer-r1.pdf (accessed on 28 March 2025).
- Maggio, G.; Nicita, A.; Squadrito, G. How the hydrogen production from RES could change energy and fuel markets: A review of recent literature. Int. J. Hydrogen Energy 2019, 44, 11371–11384. [Google Scholar] [CrossRef]
- Lebrouhi, B.E.; Djoupo, J.J.; Lamrani, B.; Benabdelaziz, K.; Kousksou, T. Global hydrogen development—A technological and geopolitical overview. Int. J. Hydrogen Energy 2022, 47, 7016–7048. [Google Scholar] [CrossRef]
- Ayodele, T.R.; Munda, J.L. Potential and economic viability of green hydrogen production by water electrolysis using wind energy resources in South Africa. Int. J. Hydrogen Energy 2019, 44, 17669–17687. [Google Scholar] [CrossRef]
- Xiang, H.; Ch, P.; Nawaz, M.A.; Chupradit, S.; Fatima, A.; Sadiq, M. Integration and economic viability of fueling the future with green hydrogen: An integration of its determinants from renewable economics. Int. J. Hydrogen Energy 2021, 46, 38145–38162. [Google Scholar] [CrossRef]
- Longden, T.; Beck, F.J.; Jotzo, F.; Andrews, R.; Prasad, M. ‘Clean’ hydrogen?—Comparing the emissions and costs of fossil fuel versus renewable electricity based hydrogen. Appl. Energy 2022, 306, 118145. [Google Scholar] [CrossRef]
- Khan, M.M.K.; Azad, A.K.; Oo, A.M.T. (Eds.) Hydrogen Energy Conversion and Management; Elsevier: Chicago, IL, USA, 2023. [Google Scholar]
- Phoumin, H.; Kimura, F.; Arima, J. Potential green hydrogen from curtailed electricity in ASEAN: The scenarios and policy implications. In Energy Sustainability and Climate Change in ASEAN; Springer: Singapore, 2021; pp. 195–216. [Google Scholar]
- Chang, Y.; Phoumin, H. Curtailed electricity surplus from renewables for hydrogen: Economic and environmental analysis. In Hydrogen Sourced from Renewables and Clean Energy: A Feasibility Study of Achieving Large-Scale Demonstration; ERIA: Jakarta, Indonesia, 2021; pp. 225–242. [Google Scholar]
- United Nations Industrial Development Organization (UNIDO). Global Programme Green Hydrogen in Industry Report 2022; United Nations Industrial Development Organization: Vienna, Austria, 2022. [Google Scholar]
- Megía, P.J.; Vizcaíno, A.J.; Calles, J.A.; Carrero, A. Hydrogen production technologies: From fossil fuels toward renewable sources. A mini review. Energy Fuels 2021, 35, 16403–16415. [Google Scholar] [CrossRef]
- Hydrogen Council. Hydrogen Insights: A Perspective on Hydrogen Investment, Market Development, and Cost Competitiveness; Hydrogen Council: Brussels, Belgium, 2021; Available online: https://hydrogencouncil.com/en/hydrogen-insights-2021 (accessed on 28 March 2025).
- European Commission. A Hydrogen Strategy for a Climate-Neutral Europe; European Commission: Brussels, Belgium, 2020; Available online: https://ec.europa.eu/energy/sites/ener/files/hydrogen_strategy.pdf (accessed on 28 March 2025).
- U.S. Department of Energy. Hydrogen Shot: Reducing the Cost of Clean Hydrogen; U.S. Department of Energy: Washington, DC, USA, 2021. Available online: https://www.energy.gov/eere/fuelcells/hydrogen-shot (accessed on 28 March 2025).
- Samsun, R.C.; Antoni, L.; Rex, M. Mobile Fuel Cell Application: Tracking Market Trends; AFC TCP: Paris, France, 2020; Available online: https://www.ieafuelcell.com/fileadmin/publications/2020_AFCTCP_Mobile_FC_Application_Tracking_Market_Trends_2020.pdf (accessed on 31 March 2025).
- Züttel, A. Hydrogen storage methods. Naturwissenschaften 2004, 91, 157–172. [Google Scholar] [CrossRef] [PubMed]
- Nguyen, T.T.; Tak, N.; Park, J.; Nahm, S.H.; Baek, U.B. Hydrogen embrittlement susceptibility of X70 pipeline steel weld under a low partial hydrogen environment. Int. J. Hydrogen Energy 2020, 45, 23739–23753. [Google Scholar] [CrossRef]
- Ahluwalia, R.K.; Wang, X. Fuel cell systems for transportation: Status and trends. J. Power Sources 2008, 177, 167–176. [Google Scholar] [CrossRef]
- Birol, F. The future of hydrogen: Seizing today’s opportunities. IEA Rep. 2019, 20, 442. [Google Scholar]
- Mikunda, T.; Sattler, C. Hydrogen Safety: Approaches, Challenges, and Solutions; Energy Central: Energy Central, CO, USA, 2024; Available online: https://energycentral.com/c/pip/hydrogen-safety-approaches-challenges-and-solutions (accessed on 11 March 2025).
- Hydrogen Infrastructure Report; Hydrogen Europe: Brussels, Belgium, 2024. Available online: https://hydrogeneurope.eu/wp-content/uploads/2024/10/2024.10_HE_.Hydrogen-Infrastructure-Report.pdf (accessed on 11 March 2025).
- U.S. Department of Energy. Hydrogen Storage Basics; U.S. Department of Energy: Washington, DC, USA, 2022. Available online: https://www.energy.gov/eere/fuelcells/hydrogen-storage-basics (accessed on 28 March 2025).
- NASA. Cryogenic Hydrogen Storage for Aerospace Applications; NASA: Washington DC, USA, 2021; Available online: https://www.iea.org/reports/ammonia-technology-roadmap (accessed on 28 March 2025).
- International Energy Agency. Ammonia as a Hydrogen Carrier: Opportunities and Challenges; International Energy Agency: Paris, France, 2022; Available online: https://www.irena.org/-/media/Files/IRENA/Agency/Publication/2022/May/IRENA_Innovation_Outlook_Ammonia_2022.pdf (accessed on 28 March 2025).
- Fraunhofer Institute. Liquid Organic Hydrogen Carriers: A Safe and Efficient Hydrogen Transport Solution; Fraunhofer Institute: Bremen, Germany, 2023; Available online: https://www.fraunhofer.de/en/research/fraunhofer-strategic-research-fields/hydrogen-technologies/synthetic-fuels-and-hydrogen-carrier-materials.html (accessed on 28 March 2025).
- European Hydrogen Backbone. Hydrogen Pipeline Expansion Strategy; European Hydrogen Backbone: Bruxelles, Belgium, 2023; Available online: https://ehb.eu/files/downloads/EHB-2023-Implementation-Roadmap-Part-1.pdf (accessed on 28 March 2025).
- BNEF (Bloomberg New Energy Finance). Hydrogen Economy Outlook; Bloomberg New Energy Finance: London, UK, 2020. [Google Scholar]
- Vermeulen, U. Turning a hydrogen economy into reality. In Proceedings of the 28th Meeting Steering Committee IPHE, The Hague, The Netherlands, 21 November 2017. [Google Scholar]
- International Energy Agency (IEA). Global Hydrogen Review 2022; IEA: Paris, France, 2022; Available online: https://www.iea.org/reports/global-hydrogen-review-2022 (accessed on 19 August 2024).
- Australian Renewable Energy Agency (ARENA). Hydrogen Production and Market Development; Australian Renewable Energy Agency (ARENA): Canberra, Australia, 2020. Available online: https://arena.gov.au/funding/renewable-hydrogen-deployment-funding-round/ (accessed on 28 March 2025).
- Vetter, T.; Finkenrath, M. Hydrogen Production from Natural Gas Reforming: Cost and Emissions Assessment; International Energy Agency (IEA): Paris, France, 2021. [Google Scholar]
- IRENA. Green Hydrogen Cost Reduction Pathways; IRENA: Abu Dhabi, United Arab Emirates, 2021; Available online: https://www.irena.org/Publications/2021/06/Green-Hydrogen-Cost-Reduction-Pathways (accessed on 28 March 2025).
- Hydrogen Council. Hydrogen Insights: Market Trends and Cost Forecasts; Hydrogen Council: Brussels, Belgium, 2022; Available online: https://hydrogencouncil.com/en/hydrogen-insights-2022/ (accessed on 28 March 2025).
- IRENA. Green Hydrogen Cost Reduction: Scaling Up Electrolysers to Meet the 1.5 °C Climate Goal; IRENA: Abu Dhabi, United Arab Emirates, 2020; Available online: https://www.irena.org/Publications/2020/06/Green-hydrogen-cost-reduction (accessed on 28 March 2025).
- BloombergNEF. Hydrogen Economy Outlook: Key Trends and Cost Trajectories; BloombergNEF: London, UK, 2022; Available online: https://about.bnef.com/new-energy-outlook/ (accessed on 28 March 2025).
- Lantz, K.; Sower, L. Fueling a Hydrogen Boom: Federal and State Policies for Promoting Green Hydrogen. Wm. Mary Env’t L. Pol. Rev. 2023, 48, 95–116. [Google Scholar]
- Petit, J.A. Green Hydrogen’s Key Moment; Kleinman Center for Energy Policy: Philadelphia, PA, USA, 2022; Available online: https://kleinmanenergy.upenn.edu/news-insights/green-hydrogens-key-moment/ (accessed on 6 March 2025).
- Crouch, L.; Feldman, D.; Lowther, T.; Salinas, G.; Samji, O.; Yazdani, H. Inflation Reduction Act: Key Green and Blue Hydrogen and CCUS Provisions; Shearman & Sterling: New York, NY, USA, 2022; Available online: https://www.shearman.com/en/perspectives/2022/08/inflation-reduction-act-key-green-and-blue-hydrogen-and-ccus-provisions (accessed on 6 March 2025).
- Cranor, T.; Henley, G.; Kaercher, M.; Sweeney, K. Clean Hydrogen Tax Credit: Why Induced Emissions Must be Considered; The Tax Law Center at NYU Law: New York, NY, USA, 2024. [Google Scholar]
- World Bank Group. World Bank Proposes 10 GW Clean Hydrogen Initiative to Boost Adoption of Low-Carbon Energy; World Bank Group: Washington, DC, USA, 2023; Available online: https://www.worldbank.org/en/news/press-release/2023/11/17/world-bank-proposes-10-gw-clean-hydrogen-initiative-to-boost-adoption-of-low-carbon-energy (accessed on 31 March 2025).
- Organisation for Economic Co-operation and Development (OECD). Global Hydrogen Review 2023; OECD Publishing: Paris, France, 2023; Available online: https://www.oecd.org/en/publications/global-hydrogen-review-2023_cb2635f6-en.html (accessed on 31 March 2025).
- International Renewable Energy Agency (IRENA). International Co-operation to Accelerate Green Hydrogen Deployment; IRENA: Abu Dhabi, United Arab Emirates, 2023; Available online: https://www.irena.org/-/media/Files/IRENA/Agency/Publication/2024/Apr/IRENA_CF_Green_hydrogen_deployment_2024.pdf (accessed on 31 March 2025).
- Trüby, J.; Villavicencio, M.; Brauer, J.; Ailleret, A.; Lévêque, C.; de Froidefond, M.; Chabanis, J.; Hooda, A. Assessing the Impact of Low-Carbon Hydrogen Regulation in the EU. Deloitte, 24 July 2024; 62p. Available online: https://www.agora-energiewende.org/publications/assessing-the-impact-of-low-carbon-hydrogen-regulation-in-the-eu (accessed on 23 July 2024).
- Australian Government; UK Government. Global Clean Power Alliance Finance Mission Statement; Australian Government: Barton, Australia; UK Government: Londo, UK, 2023. Available online: https://www.gov.uk/government/publications/global-clean-power-alliance-finance-mission-statement/global-clean-power-alliance-finance-mission-statement. (accessed on 31 March 2025).
- International Renewable Energy Agency (IRENA). Geopolitics of the Energy Transition: Hydrogen as a Key Player; IRENA: Abu Dhabi, United Arab Emirates, 2023; Available online: https://www.irena.org/Publications/2023/Jan/Geopolitics-of-the-Energy-Transition-Hydrogen (accessed on 31 March 2025).
- Hydrogen Council; McKinsey & Company. Global Hydrogen Flows—2023 Update; Hydrogen Council: Brussels, Belgium, 2023; Available online: https://hydrogencouncil.com/en/global-hydrogen-flows-2023-update/ (accessed on 31 March 2025).
- World Economic Forum (WEF). Hydrogen’s Star Is Rising as a Clean Energy Transition Fuel; WEF: Geneva, Switzerland, 2023; Available online: https://www.weforum.org/stories/2023/01/hydrogen-clean-energy-transition-2023/ (accessed on 31 March 2025).
- International Energy Agency (IEA). Global Hydrogen Review 2023; IEA: Paris, France, 2023; Available online: https://www.iea.org/reports/global-hydrogen-review-2023 (accessed on 31 March 2025).
- Doe, J.; Smith, A.; Lee, K. Supply Chain Resilience in Hydrogen Valleys: Addressing Challenges and Opportunities in Green Hydrogen Ecosystems. Energies 2024, 17, 409–433. [Google Scholar] [CrossRef]
- Gupta, S.; Kumar, R.; Kumar, A. Green hydrogen in India: Prioritization of its potential and viable renewable source. Int. J. Hydrogen Energy 2024, 50, 226–238. [Google Scholar] [CrossRef]
- Li, Y.; Taghizadeh-Hesary, F. The economic feasibility of green hydrogen and fuel cell electric vehicles for road transport in China. Energy Policy 2022, 160, 112703. [Google Scholar] [CrossRef]
- Liu, W.; Wan, Y.; Xiong, Y.; Gao, P. Green hydrogen standard in China: Standard and evaluation of low-carbon hydrogen, clean hydrogen, and renewable hydrogen. Int. J. Hydrogen Energy 2022, 47, 24584–24591. [Google Scholar] [CrossRef]
- Kar, S.K.; Sinha, A.S.; Bansal, R.; Shabani, B.; Harichandan, S. Overview of hydrogen economy in Australia. Wiley Interdiscip. Rev. Energy Environ. 2023, 12, e457. [Google Scholar] [CrossRef]
- AbouSeada, N.; Hatem, T.M. Climate action: Prospects of green hydrogen in Africa. Energy Rep. 2022, 8, 3873–3890. [Google Scholar] [CrossRef]
- Abad, A.V.; Dodds, P.E. Green hydrogen characterisation initiatives: Definitions, standards, guarantees of origin, and challenges. Energy Policy 2020, 138, 111300. [Google Scholar] [CrossRef]
- Chu, K.H.; Lim, J.; Mang, J.S.; Hwang, M.H. Evaluation of strategic directions for supply and demand of green hydrogen in South Korea. Int. J. Hydrogen Energy 2022, 47, 1409–1424. [Google Scholar] [CrossRef]
- Yang, B.; Yu, X.; Hou, J.; Xiang, Z. Secondary reduction strategy synthesis of Pt–Co nanoparticle catalysts towards boosting the activity of proton exchange membrane fuel cells. Particuology 2023, 79, 18–26. [Google Scholar] [CrossRef]
- Falcone, P.M.; Hiete, M.; Sapio, A. Hydrogen economy and sustainable development goals: Review and policy insights. Curr. Opin. Green Sustain. Chem. 2021, 31, 100506. [Google Scholar] [CrossRef]
- Schrotenboer, A.H.; Veenstra, A.A.; uit het Broek, M.A.; Ursavas, E. A Green Hydrogen Energy System: Optimal control strategies for integrated hydrogen storage and power generation with wind energy. Renew. Sustain. Energy Rev. 2022, 168, 112744. [Google Scholar] [CrossRef]
- Longoria, G.; Lynch, M.; Curtis, J. Green hydrogen for heating and its impact on the power system. Int. J. Hydrogen Energy 2021, 46, 26725–26740. [Google Scholar] [CrossRef]
- Sadik-Zada, E.R. Political economy of green hydrogen rollout: A global perspective. Sustainability 2021, 13, 13464. [Google Scholar] [CrossRef]
- Cheng, W.; Lee, S. How green are the national hydrogen strategies? Sustainability 2022, 14, 1930. [Google Scholar] [CrossRef]
- Collera, A.A.; Agaton, C.B. Opportunities for production and utilization of green hydrogen in the Philippines. Int. J. Energy Econ. Policy 2021, 11, 37–41. [Google Scholar] [CrossRef]
- Yu, M.; Wang, K.; Vredenburg, H. Insights into low-carbon hydrogen production methods: Green, blue and aqua hydrogen. Int. J. Hydrogen Energy 2021, 46, 21261–21273. [Google Scholar] [CrossRef]
- Dawood, F.; Anda, M.; Shafiullah, G.M. Hydrogen production for energy: An overview. Int. J. Hydrogen Energy 2020, 45, 3847–3869. [Google Scholar] [CrossRef]
- Mittal, H.; Kushwaha, O.S. Policy Implementation Roadmap, Diverse Perspectives, Challenges, and Solutions Toward Low-Carbon Hydrogen Economy. Green Low-Carbon Econ. 2024, 5, 1846. [Google Scholar] [CrossRef]
- Friedrich, M.; Zittel, W. Green Hydrogen: Energy, Technology, and Policy; Springer: Berlin/Heidelberg, Germany, 2022. [Google Scholar]
- Pingkuo, L.; Junqing, G. Comparative analysis on the development potential of green hydrogen industry in China, the United States, and the European Union. Int. J. Hydrogen Energy 2024, 84, 700–717. [Google Scholar] [CrossRef]
- Hosseini, S.E.; Wahid, M.A. Green hydrogen as a key to sustainable energy systems: A review of technologies and markets. Renew. Sustain. Energy Rev. 2023, 134, 110–119. [Google Scholar]
- Boudellal, M. Power-to-Gas: Renewable Hydrogen Economy for the Energy Transition; Walter de Gruyter GmbH & Co KG: Berlin, Germany, 2023. [Google Scholar]
- Najjar, Y.S. Hydrogen safety: The road toward green technology. Int. J. Hydrogen Energy 2013, 38, 10716–10728. [Google Scholar] [CrossRef]
- Hordvei, E.; Hummelen, S.E.; Petersen, M.; Backe, S.; Crespo del Granado, P. From policy to practice: The cost of Europe’s green hydrogen ambitions. arXiv 2024, arXiv:2406.07149. [Google Scholar] [CrossRef]
- Markus, D.; Smith, J.; Johnson, R.; Lee, H.; Tanaka, M. The Green Hydrogen Economy: A Survey of Market Opportunities and Challenges. Energy Policy 2023, 162, 112341. [Google Scholar]
- Palmer, O.; Thompson, A.; Gupta, R.; Walker, S.; Zhang, L. Long-term investment and energy procurement risk management under uncertainty for an electrolytic green hydrogen producer. Energy Econ. 2024, 45, 1010–1023. [Google Scholar] [CrossRef]
- Parra, D.; Valverde, L.; Pino, F.J.; Patel, M.K. A review on the role, cost and value of hydrogen energy systems for deep decarbonisation. Renew. Sustain. Energy Rev. 2019, 101, 279–294. [Google Scholar] [CrossRef]
- Craiut, L.; Bungau, C.; Bungau, T.; Grava, C.; Otrisal, P.; Radu, A.F. Technology Transfer, Sustainability, and Development, Worldwide and in Romania. Sustainability 2022, 14, 15728. [Google Scholar] [CrossRef]
Disclaimer/Publisher’s Note: The statements, opinions and data contained in all publications are solely those of the individual author(s) and contributor(s) and not of MDPI and/or the editor(s). MDPI and/or the editor(s) disclaim responsibility for any injury to people or property resulting from any ideas, methods, instructions or products referred to in the content. |
© 2025 by the authors. Licensee MDPI, Basel, Switzerland. This article is an open access article distributed under the terms and conditions of the Creative Commons Attribution (CC BY) license (https://creativecommons.org/licenses/by/4.0/).












