Habitat Characteristics of the Endangered Himalayan Red Panda in Panchthar–Ilam–Taplejung Corridor, Eastern Nepal
Abstract
1. Introduction
2. Materials and Methods
2.1. Study Area
2.2. Field Survey
2.3. Ten-Tree Plotless Method
2.4. Data Analysis
3. Results
3.1. Distribution and Abundance of the Himalayan Red Panda
3.2. Vegetation Composition of the Himalayan Red Panda Habitat
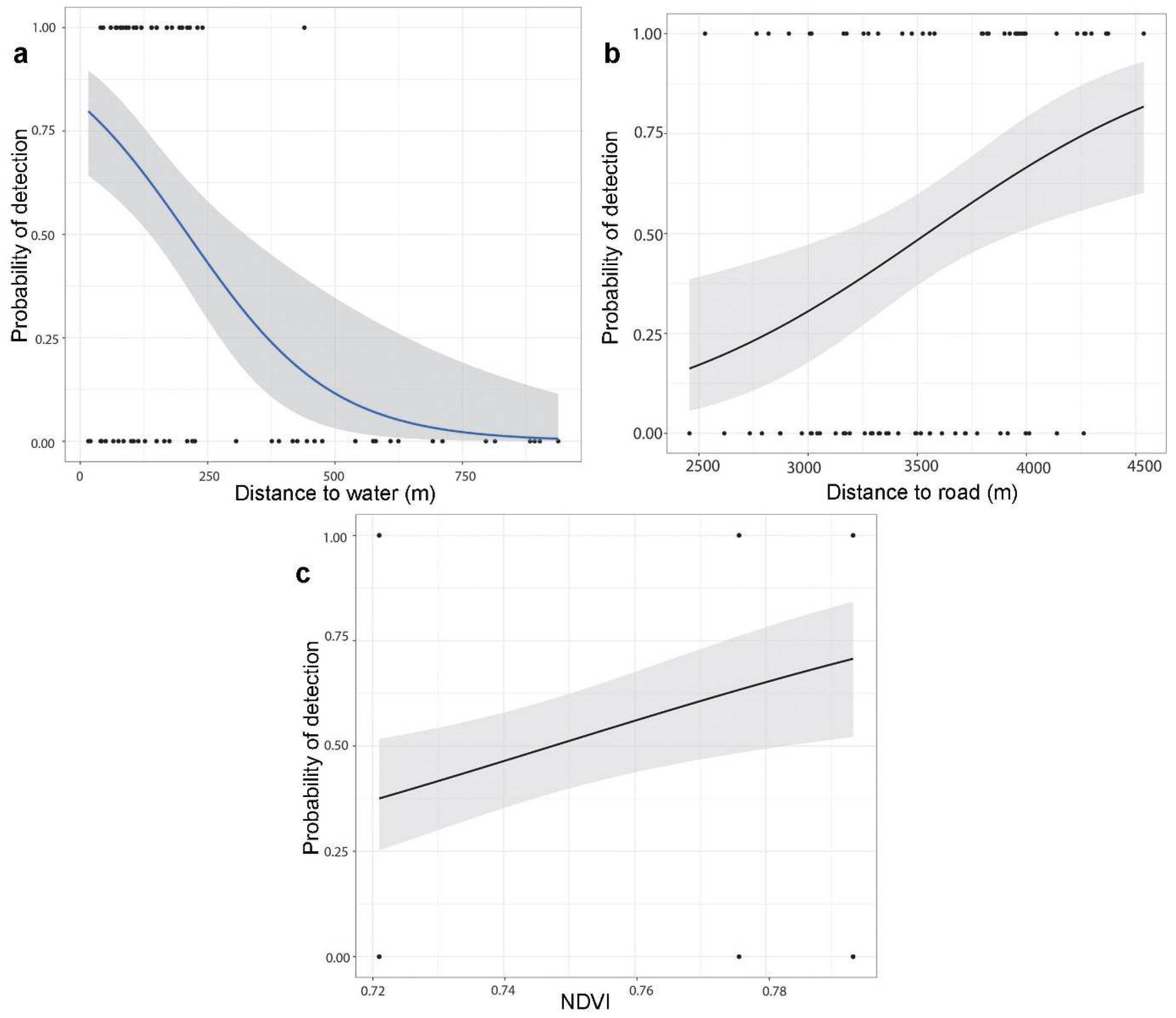
3.3. Factors Associated with Himalayan Red Panda Distribution
4. Discussion
5. Conclusions
Supplementary Materials
Author Contributions
Funding
Institutional Review Board Statement
Informed Consent Statement
Data Availability Statement
Acknowledgments
Conflicts of Interest
References
- Wei, F.W.; Feng, Z.J.; Wang, Z.W.; Zhou, A.; Hu, J.C. Use of the nutrients in bamboo by the red panda (Ailurus fulgens). J. Zool. 1999, 248, 535–541. [Google Scholar] [CrossRef]
- Yonzon, P.B.; Hunter, M.L., Jr. Ecological Study of the Red Panda in the Nepal-Himalaya; Glatson, A.R., Ed.; Red Panda Biology, Academic Publication: The Hauge, The Netherlands, 1989; pp. 1–7. [Google Scholar]
- Hu, Y.; Hu, Y.; Zhou, W.; Wei, F. Conservation genomics and metagenomics of Giant and Red pandas in the Wild. Annu. Rev. Anim. Biosci. 2024, 12, 69–89. [Google Scholar] [CrossRef]
- Hu, Y.; Wei, F.; Thapa, A. Red panda genomics and the evidence for two species. In Red Panda; Elsevier: Amsterdam, The Netherlands, 2022; pp. 413–420. [Google Scholar] [CrossRef]
- Hu, Y.; Thapa, A.; Fan, H.; Ma, T.; Wu, Q.; Ma, S.; Zhang, D.; Wang, B.; Li, M.; Yan, L.; et al. Genomic evidence for two phylogenetic species and long-term population bottlenecks in red pandas. Sci. Adv. 2020, 6, eaax5751. [Google Scholar] [CrossRef]
- Hu, Y.; Thapa, A.; Wei, F. Ailurus fulgens (Himalayan red panda) and Ailurus styani (Chinese red panda). Trends Genet. 2020, 36, 624–625. [Google Scholar] [CrossRef] [PubMed]
- Shrestha, S.; Thapa, A.; Bista, D.; Robinson, N.; Sherpa, A.P.; Acharya, K.P.; Jnawali, S.R.; Lama, S.T.; Lama, S. Distribution and habitat attributes associated with the Himalayan red panda in the westernmost distribution range. Ecol. Evol. 2021, 11, 4023–4034. [Google Scholar] [CrossRef] [PubMed]
- Dalui, S.; Singh, S.K.; Joshi, B.D.; Ghosh, A.; Basu, S.; Khatri, H.; Sharma, L.K.; Chandra, K.; Thakur, M. Geological and pleistocene glaciations explain the demography and disjunct distribution of red panda (A. fulgens) in eastern Himalayas. Sci. Rep. 2021, 11, 65. [Google Scholar] [CrossRef] [PubMed]
- Glatston, A.; Wei, F.; Zaw, T.; Sherpa, A. Ailurus fulgens (Errata Version Published in 2017); The IUCN Red List of Threatened Species: Cambridge, UK, 2015; E.T714A110023718. [Google Scholar]
- Jnawali, S.; Leus, K.; Molur, S.; Glatston, A.; Walker, S. Population and Habitat Viability Assessment (PHVA) and Species Conservation Strategy (SCS) Workshop Report; National Trust for Nature Conservation: Kathmandu, Nepal; Conservation Breeding Specialist Group and Zoo Outreach Organization: Coimbatore, India, 2012. [Google Scholar]
- Thapa, A.; Hu, Y.; Wei, F. The endangered red panda (Ailurus fulgens): Ecology and conservation approaches across the entire range. Biol. Conserv. 2018, 220, 112–121. [Google Scholar] [CrossRef]
- Thapa, A.; Wu, R.; Hu, Y.; Nie, Y.; Singh, P.B.; Khatiwada, J.R.; Yan, L.; Gu, X.; Wei, F. Predicting the potential distribution of the endangered red panda across its entire range using MaxEnt modeling. Ecol. Evol. 2018, 8, 10542–10554. [Google Scholar] [CrossRef] [PubMed]
- DNPWC; DFSC. Red Panda Action Plan for Nepal (2019–2013); Department of National Park and Wildlife Conservation and Department of Forest and Soil Conservation: Kathmandu, Nepal, 2018.
- Jnawali, S.; Baral, H.; Lee, S.; Acharya, K.; Upadhyay, G.; Pandey, M.; Griffiths, J. The Status of Nepal Mammals: The National Red List Series; Preface by Simon M. Stuart Chair IUCN Species Survival Commission; Department of National Parks and Wildlife Conservation: Kathmandu, Nepal, 2011; Volume 4.
- Pradhan, S.; Saha, G.K.; Khan, J.A. Ecology of the red panda Ailurus fulgens in the Singhalila National Park, Darjeeling, India. Biol. Conserv. 2001, 98, 11–18. [Google Scholar] [CrossRef]
- Choudhury, A. An overview of the status and conservation of the red panda Ailurus fulgens in India, with reference to its global status. Oryx 2001, 35, 250–259. [Google Scholar] [CrossRef]
- Wei, F.W.; Feng, Z.J.; Wang, Z.W.; Hu, J.C. Current distribution, status and conservation of wild red pandas Ailurus fulgens in China. Biol. Conserv. 1999, 89, 285–291. [Google Scholar] [CrossRef]
- Yonzon, P.B.; Hunter, M.L. Conservation of the red panda Ailurus fulgens. Biol. Conserv. 1991, 57, 1–11. [Google Scholar] [CrossRef]
- Bista, D.; Paudel, P.K.; Jnawali, S.R.; Sherpa, A.P.; Shrestha, S.; Acharya, K.P. Red panda fine-scale habitat selection along a Central Himalayan longitudinal gradient. Ecol. Evol. 2019, 9, 5260–5269. [Google Scholar] [CrossRef] [PubMed]
- Dendup, P.; Humle, T.; Bista, D.; Penjor, U.; Lham, C.; Gyeltshen, J. Habitat requirements of the Himalayan red panda (Ailurus fulgens) and threat analysis in Jigme Dorji National Park, Bhutan. Ecol. Evol. 2020, 10, 9444–9453. [Google Scholar] [CrossRef] [PubMed]
- Dorji, S.; Vernes, K.; Rajaratnam, R. Habitat correlates of the red panda in the temperate forests of Bhutan. PLoS ONE 2011, 6, e26483. [Google Scholar] [CrossRef] [PubMed][Green Version]
- Wei, F.W.; Feng, Z.J.; Wang, Z.W.; Hu, J.C. Habitat use and separation between the giant panda and the red panda. J. Mammal. 2000, 81, 448–455. [Google Scholar] [CrossRef]
- Thapa, K.; Thapa, G.J.; Bista, D.; Jnawali, S.R.; Acharya, K.P.; Khanal, K.; Kandel, R.C.; Thapa, M.K.; Shrestha, S.; Lama, S.T.; et al. Landscape variables affecting the Himalayan red panda Ailurus fulgens occupancy in wet season along the mountains in Nepal. PLoS ONE 2020, 15, e0243450. [Google Scholar] [CrossRef] [PubMed]
- Panthi, S.; Khanal, G.; Acharya, K.P.; Aryal, A.; Srivathsa, A. Large anthropogenic impacts on a charismatic small carnivore: Insights from distribution surveys of red panda Ailurus fulgens in Nepal. PLoS ONE 2017, 12, e0180978. [Google Scholar] [CrossRef]
- Bista, D.; Shrestha, S.; Sherpa, P.; Thapa, G.J.; Kokh, M.; Lama, S.T.; Khanal, K.; Thapa, A.; Jnawali, S.R. Distribution and habitat use of red panda in the Chitwan-Annapurna Landscape of Nepal. PLoS ONE 2017, 12, e0178797. [Google Scholar] [CrossRef]
- Thapa, A.; Hu, Y.; Aryal, P.C.; Singh, P.B.; Shah, K.B.; Wei, F. The endangered red panda in Himalayas: Potential distribution and ecological habitat associates. Glob. Ecol. Conserv. 2020, 21, e00890. [Google Scholar] [CrossRef]
- Bista, D.; Paudel, R. An overview of the status and conservation initiatives of Red Panda Ailurus fulgens (Cuvier, 1825) in Nepal. Initiation 2014, 5, 171–181. [Google Scholar] [CrossRef]
- Bista, D.; Baxter, G.S.; Hudson, N.J.; Murray, P.J. Red panda tourism gives hope in the mid-mountain range of the Eastern Himalaya, yet inappropriate practices may lead to failure. Conserv. Sci. Pract. 2023, 5, e13036. [Google Scholar] [CrossRef]
- Bista, D.; Baxter, G.S.; Hudson, N.J.; Murray, P.J. Seasonal resource selection of an arboreal habitat specialist in a human-dominated landscape: A case study using red panda. Curr. Zool. 2023, 69, 1–11. [Google Scholar] [CrossRef]
- Bista, D.; Baxter, G.S.; Hudson, N.J.; Lama, S.T.; Murray, P.J. Effect of disturbances and habitat fragmentation on an arboreal habitat specialist mammal using GPS telemetry: A case of the red panda. Landsc. Ecol. 2022, 37, 795–809. [Google Scholar] [CrossRef] [PubMed]
- Bista, D.; Lama, S.T.; Weerman, J.; Sherpa, A.P.; Pandey, P.; Thapa, M.K.; Acharya, H.; Hudson, N.J.; Baxter, G.S.; Murray, P.J. Improved trapping and handling of an arboreal, montane mammal: Red panda Ailurus fulgens. Animals 2021, 11, 921. [Google Scholar] [CrossRef]
- Lama, S.; Shrestha, S.; Koju, N.P.; Sherpa, A.P.; Tamang, M. Assessment of the impacts of livestock grazing on endangered red panda (Ailurus fulgens) habitat in Eastern Nepal. Open J. Ecol. 2020, 10, 97–110. [Google Scholar] [CrossRef][Green Version]
- Williams, B.H. Red panda in eastern Nepal: How do they fit into ecoregional conservation of the eastern Himalaya. Conserv. Biol. Asia 2003, 16, 236–250. [Google Scholar]
- Bista, D.; Baxter, G.S.; Murray, P.J. What is driving the increased demand for red panda pelts? Hum. Dimens. Wildl. 2020, 25, 324–338. [Google Scholar] [CrossRef]
- Karki, S.; Maraseni, T.; Mackey, B.; Bista, D.; Lama, S.T.; Gautam, A.P.; Sherpa, A.P.; Koju, U.; Shrestha, A.; Cadman, T. Reaching over the gap: A review of trends in and status of red panda research over 193 years (1827–2020). Sci. Total Environ. 2021, 781, 146659. [Google Scholar] [CrossRef]
- Acharya, K.P.; Shrestha, S.; Paudel, P.K.; Sherpa, A.P.; Jnawali, S.R.; Acharya, S.; Bista, D. Pervasive human disturbance on habitats of endangered red panda Ailurus fulgens in the central Himalaya. Glob. Ecol. Conserv. 2018, 15, e00420. [Google Scholar] [CrossRef]
- Lama, S.T.; Ross, J.G.; Bista, D.; Sherpa, A.P.; Regmi, G.R.; Suwal, M.K.; Sherpa, P.; Weerman, J.; Lama, S.S.; Thapa, M. First photographic record of marbled cat Pardofelis marmorata Martin, 1837 (Mammalia, Carnivora, Felidae) in Nepal. Nat. Conserv. 2019, 32, 19–34. [Google Scholar] [CrossRef]
- Grimmett, R.; Inskipp, C.; Inskipp, T.; Baral, H.S. Birds of Nepal; Bloomsbury Publishing: London, UK, 2016. [Google Scholar]
- Mueller-Dumbois, D.; Ellenberg, H. Aims and Methods in Vegetation Ecology; John Wiley and Sons: New York, NY, USA, 1974; p. 547. [Google Scholar]
- Williams, B.H. The Status of Red Panda in Jamuna and Mabu Village of Eastern Nepal. Master’s Thesis, The Faculty of the Department of Environmental Studies, San Jose State University, San Jose, CA, USA, 2004. [Google Scholar]
- Polunin, O.; Stainton, A. Flowers of the Himalaya; Oxford University Press: Oxford, UK, 1984. [Google Scholar]
- Odum, E.P.; Barrett, G.W. Fundamentals of Ecology; Saunders: Philadelphia, PA, USA, 1971; Volume 3. [Google Scholar]
- Panthi, S.; Wang, T.; Sun, Y.; Thapa, A. An assessment of human impacts on endangered red pandas (Ailurus fulgens) living in the Himalaya. Ecol. Evol. 2019, 9, 13413–13425. [Google Scholar] [CrossRef] [PubMed]
- Barton, K. MuMIn: Multi-Model Inference, R package version 1.15. 6 CRAN; 2020. Available online: https://cran.r-project.org/web/packages/MuMIn/index.html (accessed on 25 May 2024). [CrossRef]
- Burnham, K.P.; Anderson, D.R. Model Selection and Multimodel Inference: A Practical Information-Theoretic Approach; Springer: New York, NY, USA, 2002. [Google Scholar]
- Mahato, N. Status of Red Panda Ailurus fulgens (Cuvier, 1825) in the Kanchanjungha Conservation Area. Bachelor’s Thesis, Institute of Forestry, Tribhuvan University, Pokhara, Nepal, 2003. Volume 40. [Google Scholar]
- Kandel, K. Distribution and habitat use of red panda (Ailurus fulgen) in Eastern Nepal. Master’s Thesis, Central Department of Zoology, Tribhuvan University, Kathmandu, Nepal, 2009. [Google Scholar]
- Panthi, S.; Aryal, A.; Raubenheimer, D.; Lord, J.; Adhikari, B. Summer diet and distribution of the red panda (Ailurus fulgens fulgens) in Dhorpatan Hunting Reserve, Nepal. Zool. Stud. 2012, 51, 701–709. [Google Scholar]
- Thapa, A.; Basnet, K. Seasonal diet of wild red panda (Ailurus fulgens) in Langtang National Park, Nepal Himalaya. Int.J. Conserv. Sci. 2015, 6, 261–270. [Google Scholar]
- Thapa, A.; Thapa, S.; Poudel, S. Gaurishankar Conservation Area-A prime habitat for red panda (Ailurus fulgens) in Central Nepal. Initiation 2013, 5, 43–49. [Google Scholar] [CrossRef]
- Bhatta, M.; Shah, K.B.; Devkota, B.; Paudel, R.; Panthi, S. Distribution and habitat preference of red panda (Ailurus fulgens fulgens) in Jumla District, Nepal. Open J. Ecol. 2014, 4, 989–1001. [Google Scholar] [CrossRef]
- Mallick, J.K. Status of red panda Ailurus fulgens in Neora Valley National Park, Darjeeling District, West Bengal, India. Small Carniv. Conserv. 2010, 43, 30–36. [Google Scholar]
- Wei, F.; Zhang, Z. Red Panda Ecology; William Andrew: Norwich, NY, USA, 2011; pp. 193–212. [Google Scholar]
- Dorji, S.; Rajaratnam, R.; Vernes, K. The Vulnerable red panda Ailurus fulgens in Bhutan: Distribution, conservation status and management recommendations. Oryx 2012, 46, 536–543. [Google Scholar] [CrossRef][Green Version]
- Kandel, K.; Huettmann, F.; Suwal, M.K.; Regmi, G.R.; Nijman, V.; Nekaris, K.; Lama, S.T.; Thapa, A.; Sharma, H.P.; Subedi, T.R. Rapid multi-nation distribution assessment of a charismatic conservation species using open access ensemble model GIS predictions: Red panda (Ailurus fulgens) in the Hindu-Kush Himalaya region. Biol. Conserv. 2015, 181, 150–161. [Google Scholar] [CrossRef]
- Panthi, S.; Coogan, S.C.; Aryal, A.; Raubenheimer, D. Diet and nutrient balance of red panda in Nepal. Naturwissenschaften 2015, 102, 54. [Google Scholar] [CrossRef]
- Bista, D.; Paudel, P.K.; Ghimire, S.; Shrestha, S. National Survey of Red Panda to Assess Its Status, Habitat and Distribution in Nepal; Final report submitted to WWF/USAID/Hariyo Ban Program; Baluwatar: Kathmandu, Nepal, 2016. [Google Scholar]
- Yonzon, P.B.; Hunter, M.L., Jr. Cheese, tourists, and red pandas in the Nepal Himalayas. Conserv. Biol. 1991, 5, 196–202. [Google Scholar] [CrossRef]
- Zhou, X.; Jiao, H.; Dou, Y.; Aryal, A.; Hu, J.; Hu, J.; Meng, X. The winter habitat selection of red panda (Ailurus fulgens) in the Meigu Dafengding National Nature Reserve, China. Curr. Sci. 2013, 105, 1425–1429. [Google Scholar]
- Pettorelli, N.; Ryan, S.; Mueller, T.; Bunnefeld, N.; Jedrzejewska, B.; Lima, M.; Kausrud, K. The Normalized Difference Vegetation Index (NDVI): Unforeseen successes in animal ecology. Clim. Res. 2011, 46, 15–27. [Google Scholar] [CrossRef]



| Plot Type | Dominance | Div. Index | Evenness (E) | Species Richness | Var (H) | Index of Similarity |
|---|---|---|---|---|---|---|
| Sign plot | 0.1163 | 2.4658 | 0.1232 | 20 | 0.0021 | 70.58% |
| No-sign plot | 0.0920 | 2.7178 | 0.0876 | 31 | 0.0165 |
| Model | k | AICc | ∆AICc | Weight |
|---|---|---|---|---|
| Distance to water + distance to road + NDVI | 78 | 79.462 | 0 | ~1 |
| Bamboo density + distance to water | 79 | 86.753 | 7.291 | 0.00068 |
| Distance to water | 80 | 92.138 | 12.675 | 3.13 × 10−6 |
| Distance to water +NDVI | 79 | 93.832 | 14.370 | 5.74 × 10−7 |
| Bamboo density + distance to water + distance to road + NDVI | 77 | 106.889 | 106.889 | 1.23 × 10−12 |
| Distance to road +NDVI | 79 | 108.448 | 28.986 | 2.58 × 10−13 |
| Bamboo density | 80 | 112.144 | 112.144 | 3.13 × 10−6 |
| Bamboo density + distance to water + distance to road | 78 | 112.150 | 32.688 | 6.36 × 10−15 |
| Variables | Estimate | Standard Error | z Value | p-Value |
|---|---|---|---|---|
| Intercept | 15.71 | 8.418 | 1.867 | 0.0619 |
| Distance to water | −0.0107 | 0.0028 | −3.770 | 0.0001 |
| Distance road | 0.0031 | 0.0009 | 3.518 | 0.0004 |
| NDVI | −33.63 | 13.77 | −2.441 | 0.0146 |
Disclaimer/Publisher’s Note: The statements, opinions and data contained in all publications are solely those of the individual author(s) and contributor(s) and not of MDPI and/or the editor(s). MDPI and/or the editor(s) disclaim responsibility for any injury to people or property resulting from any ideas, methods, instructions or products referred to in the content. |
© 2024 by the authors. Licensee MDPI, Basel, Switzerland. This article is an open access article distributed under the terms and conditions of the Creative Commons Attribution (CC BY) license (https://creativecommons.org/licenses/by/4.0/).
Share and Cite
Limbu, A.; Thapa, A.; Khanal, L.; Gurung, S.; Cruz, N.J.; Thapa, T.B. Habitat Characteristics of the Endangered Himalayan Red Panda in Panchthar–Ilam–Taplejung Corridor, Eastern Nepal. Ecologies 2024, 5, 342-353. https://doi.org/10.3390/ecologies5030021
Limbu A, Thapa A, Khanal L, Gurung S, Cruz NJ, Thapa TB. Habitat Characteristics of the Endangered Himalayan Red Panda in Panchthar–Ilam–Taplejung Corridor, Eastern Nepal. Ecologies. 2024; 5(3):342-353. https://doi.org/10.3390/ecologies5030021
Chicago/Turabian StyleLimbu, Anjali, Arjun Thapa, Laxman Khanal, Sandesh Gurung, Nicolas James Cruz, and Tej Bahadur Thapa. 2024. "Habitat Characteristics of the Endangered Himalayan Red Panda in Panchthar–Ilam–Taplejung Corridor, Eastern Nepal" Ecologies 5, no. 3: 342-353. https://doi.org/10.3390/ecologies5030021
APA StyleLimbu, A., Thapa, A., Khanal, L., Gurung, S., Cruz, N. J., & Thapa, T. B. (2024). Habitat Characteristics of the Endangered Himalayan Red Panda in Panchthar–Ilam–Taplejung Corridor, Eastern Nepal. Ecologies, 5(3), 342-353. https://doi.org/10.3390/ecologies5030021

