Rethinking Biochar’s MRV Systems: A Perspective on Incorporating Agronomic and Organic Chemistry Indicators
Abstract
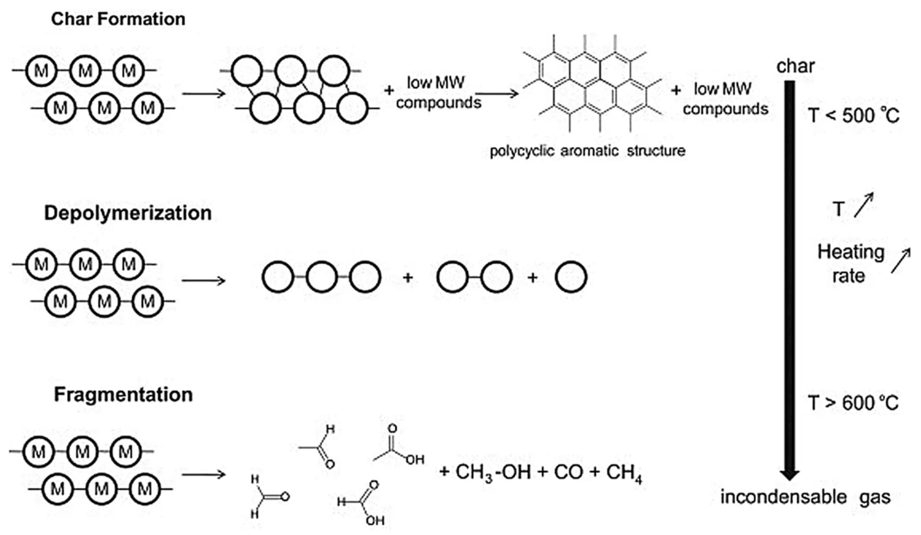
1. Introduction
2. Current Biochar MRV Practices
2.1. Overview of Current MRV Systems and Carbon Markets
2.2. Gaps in Assessing the Usability and Suitability of Biochar
3. Integrating Agronomic and Organic Chemistry Indicators
3.1. Agronomic Indicators
3.1.1. Soil Organic Carbon (SOC) Stocks
3.1.2. Nutrient Dynamics, Soil pH, and Cation-Exchange Capacity
3.1.3. Microbial Activity and Soil Structure
3.2. Organic Chemistry Indicators
3.2.1. Functional Group Analysis
3.2.2. Chemical Interactions and Nutrient Retention
4. Proposed Framework for Enhanced MRV Systems
5. Challenges and Knowledge Gaps
Author Contributions
Funding
Data Availability Statement
Conflicts of Interest
References
- Conte, P.; Agretto, A.; Spaccini, R.; Piccolo, A. Recent Developments in Understanding Biochar’s Physical–Chemistry. Agronomy 2021, 11, 615. [Google Scholar] [CrossRef]
- Biochar: Then and Now. Available online: https://biochar-us.org/biochar-then-now (accessed on 15 September 2024).
- Biochar Can Turn Plant Waste into Healthy Soils and Improve the Environment. Available online: https://agriculture.canada.ca/en/science/story-agricultural-science/scientific-achievements-agriculture/biochar-can-turn-plant-waste-healthy-soils-and-improve-environment (accessed on 15 September 2024).
- Tomczyk, A.; Sokołowska, Z.; Boguta, P. Biochar physicochemical properties: Pyrolysis temperature and feedstock kind effects. Rev. Environ. Sci. Biotechnol. 2020, 19, 191–215. [Google Scholar] [CrossRef]
- Farm and Farm Operator Data: The Backbone of Agriculture Statistics. Available online: https://www150.statcan.gc.ca/n1/pub/96-325-x/2021001/article/00016-eng.htm (accessed on 15 September 2024).
- Gao, S.; DeLuca, T.H. Rangeland application of biochar and rotational grazing interact to influence soil and plant nutrient dynamics. Geoderma 2022, 408, 115572. [Google Scholar] [CrossRef]
- Kuppusamy, S.; Thavamani, P.; Megharaj, M.; Venkateswarlu, K.; Naidu, R. Agronomic and remedial benefits and risks of applying biochar to soil: Current knowledge and future research directions. Environ. Int. 2016, 87, 1–12. [Google Scholar] [CrossRef] [PubMed]
- Kocsis, T.; Ringer, M.; Biró, B. Characteristics and Applications of Biochar in Soil–Plant Systems: A Short Review of Benefits and Potential Drawbacks. Appl. Sci. 2022, 12, 4051. [Google Scholar] [CrossRef]
- Ghadirnezhad Shiade, S.R.; Fathi, A.; Minkina, T.; Wong, M.H.; Rajput, V.D. Biochar application in agroecosystems: A review of potential benefits and limitations. Environ. Dev. Sustain. 2024, 26, 19231–19255. [Google Scholar] [CrossRef]
- Ejack, L.; Whalen, J.K.; Major, J.; Husk, B.R. Biochar application on commercial field crops using farm-scale equipment. Can. Biosyst. Eng./Génie Biosyst. Can. 2021, 63, 6.1–6.8. [Google Scholar] [CrossRef]
- Puro.Earth Biochar. Available online: https://puro.earth/biochar (accessed on 15 September 2024).
- VM0044 Methodology for Biochar Utilization in Soil and Non-Soil Applications. Available online: https://verra.org/methodologies/vm0044-methodology-for-biochar-utilization-in-soil-and-non-soil-applications/ (accessed on 15 September 2024).
- CSI—Production of Biochar. Available online: https://www.carbon-standards.com/en/standards/service-492~production-of-biochar.html (accessed on 15 September 2024).
- UNDP—What Are Carbon Markets and Why Are They Important? Available online: https://climatepromise.undp.org/news-and-stories/what-are-carbon-markets-and-why-are-they-important (accessed on 16 November 2024).
- Government of Canada—The Carbon Essentials: Indigenous Carbon Toolkit. Available online: https://www.canada.ca/content/dam/eccc/documents/pdf/climate-change/ghg-offset/indigenous-toolkit/The%20Carbon%20Essentials_EN-A.pdf (accessed on 16 November 2024).
- European Biochar Certificate (EBC) Guidelines Version 10.3. Available online: https://www.european-biochar.org/media/doc/2/version_en_10_3.pdf (accessed on 15 September 2024).
- European Biochar Certificate (EBC) Positive List 2022. Available online: https://www.european-biochar.org/media/doc/2/positivlist_en_2022_1_v10_1.pdf (accessed on 15 September 2024).
- Climate Action Reserve—US and Canada Biochar Protocol V1.0. Available online: https://www.climateactionreserve.org/wp-content/uploads/2024/04/CAR-US-and-Canada-Biochar-Protocol-V1.0.pdf (accessed on 15 November 2024).
- Climate Action Reserve—Eligible Biochar Feedstocks List, March 2024. Available online: https://www.climateactionreserve.org/wp-content/uploads/2024/03/CAR-Eligible-Biochar-Feedstocks-List-2024-03-19.pdf (accessed on 15 November 2024).
- Climate Action Reserve—Eligible Biochar End Uses List, March 2024. Available online: https://www.climateactionreserve.org/wp-content/uploads/2024/03/CAR-Eligible-Biochar-End-Uses-List-2024-03-19.pdf (accessed on 15 November 2024).
- ASTM D4373-21: Standard Test Method for Rapid Determination of Carbonate Content of Soils. Available online: https://www.astm.org/d4373-21.html (accessed on 17 November 2024).
- Alfattani, R.; Shah, M.A.; Siddiqui, M.I.H.; Ali, M.A.; Alnaser, I.A. Bio-Char Characterization Produced from Walnut Shell Biomass through Slow Pyrolysis: Sustainable for Soil Amendment and an Alternate Bio-Fuel. Energies 2022, 15, 1. [Google Scholar] [CrossRef]
- Phillips, C.L.; Trippe, K.; Reardon, C.; Mellbye, B.; Griffith, S.M.; Banowetz, G.M.; Gady, D. Physical feasibility of biochar production and utilization at a farm-scale: A case-study in non-irrigated seed production. Biomass Bioenergy 2018, 108, 244–251. [Google Scholar] [CrossRef]
- Abdel-Shafy, H.I.; Mansour, M.S.M. A review on polycyclic aromatic hydrocarbons: Source, environmental impact, effect on human health and remediation. Egypt. J. Pet. 2016, 25, 107–123. [Google Scholar] [CrossRef]
- Thapa, R.B.; Coupal, R.H.; Dangi, M.B.; Stahl, P.D. An Assessment of Plant Growth and Soil Properties Using Coal Char and Biochar as a Soil Amendment. Agronomy 2024, 14, 320. [Google Scholar] [CrossRef]
- Wang, J.; Odinga, E.S.; Zhang, W.; Zhou, X.; Yang, B.; Waigi, M.G.; Gao, Y. Polyaromatic hydrocarbons in biochars and human health risks of food crops grown in biochar-amended soils: A synthesis study. Environ. Int. 2019, 130, 104899. [Google Scholar] [CrossRef] [PubMed]
- Government of Canada—Polychlorinated Biphenyls (PCBs). Available online: https://www.canada.ca/en/health-canada/services/healthy-living/your-health/environment/pcbs.html (accessed on 16 November 2024).
- Biomass Crop Residues Availability for Bioprocessing. Available online: https://ofa.on.ca/wp-content/uploads/2017/11/Biomass_Crop_Residues_Availability_for_Bioprocessing_Final_Oct_2_2012.pdf (accessed on 15 September 2024).
- Albalasmeh, A.A.; Quzaih, M.Z.; Gharaibeh, M.A.; Rusan, M.; Mohawesh, O.E.; Rababah, S.R.; Alqudah, A.; Alghamdi, A.G.; Naserin, A. Significance of pyrolytic temperature, application rate and incubation period of biochar in improving hydro-physical properties of calcareous sandy loam soil. Sci. Rep. 2024, 14, 7012. [Google Scholar] [CrossRef]
- Albalasmeh, A.; Gharaibeh, M.A.; Mohawesh, O.; Alajlouni, M.; Quzaih, M.; Masad, M.; El Hanandeh, A. Characterization and Artificial Neural Networks Modelling of methylene blue adsorption of biochar derived from agricultural residues: Effect of biomass type, pyrolysis temperature, particle size. J. Saudi Chem. Soc. 2020, 24, 811–823. [Google Scholar] [CrossRef]
- Hailegnaw, N.S.; Mercl, F.; Pračke, K.; Száková, J.; Tlustoš, P. Effect of biochar on soil properties and plant growth in a pot experiment with an acidic soil. J. Soils Sediments 2019, 19, 2405–2416. [Google Scholar] [CrossRef]
- Yang, Y.; Sun, K.; Han, L.; Chen, Y.; Liu, J.; Xing, B. Biochar stability and impact on soil organic carbon mineralization depend on biochar processing, aging, and soil clay content. Soil Biol. Biochem. 2022, 169, 108657. [Google Scholar] [CrossRef]
- Yang, S.; Chen, X.; Jiang, Z.; Ding, J.; Sun, X.; Xu, J. Effects of Biochar Application on Soil Organic Carbon Composition and Enzyme Activity in Paddy Soil under Water-Saving Irrigation. Int. J. Environ. Res. Public Health 2020, 17, 333. [Google Scholar] [CrossRef]
- Li, Q.; Hu, W.; Li, L.; Li, Y. Interactions between organic matter and Fe oxides at soil micro-interfaces: Quantification, associations, and influencing factors. Sci. Total Environ. 2023, 855, 158710. [Google Scholar] [CrossRef] [PubMed]
- Giannetta, B.; Plaza, C.; Galluzzi, G.; Benavente-Ferraces, I.; García-Gil, J.C.; Panettieri, M.; Gascó, G.; Zaccone, C. Distribution of soil organic carbon between particulate and mineral-associated fractions as affected by biochar and its co-application with other amendments. Agric. Ecosyst. Environ. 2024, 360, 108777. [Google Scholar] [CrossRef]
- Ding, X.; Li, G.; Zhao, X.; Lin, Q.; Wang, X. Biochar application significantly increases soil organic carbon under conservation tillage: An 11-year field experiment. Biochar 2023, 5, 28. [Google Scholar] [CrossRef]
- Bakshi, S.; Banik, C.; Laird, D.A. Quantification and characterization of chemically- and thermally-labile and recalcitrant biochar fractions. Chemosphere 2018, 194, 247–255. [Google Scholar] [CrossRef] [PubMed]
- Fidel, R.B.; Laird, D.A.; Parkin, T.B. Impact of Biochar Organic and Inorganic Carbon on Soil CO2 and N2O Emissions. J. Environ. Qual. 2017, 46, 505–513. [Google Scholar] [CrossRef] [PubMed]
- Dynarski, K.A.; Bossio, D.A.; Scow, K.M. Dynamic Stability of Soil Carbon: Reassessing the “Permanence” of Soil Carbon Sequestration. Front. Environ. Sci. 2020, 8, 514701. [Google Scholar] [CrossRef]
- Lopez-Capel, E.; Krull, E.S.; Bol, R.; Manning, D.A. Influence of recent vegetation on labile and recalcitrant carbon soil pools in central Queensland, Australia: Evidence from thermal analysis-quadrupole mass spectrometry-isotope ratio mass spectrometry. Rapid communications in mass spectrometry. Rapid Commun. Mass Spectrom. 2008, 22, 1751–1758. [Google Scholar] [CrossRef] [PubMed]
- Abu El Haija, K.; Chiang, Y.W.; Santos, R.M. On-Site Determination of Soil Organic Carbon Content: A Photocatalytic Approach. Clean Technol. 2024, 6, 784–801. [Google Scholar] [CrossRef]
- Cayuela, M.L.; Spott, O.; Pascual, M.B.; Sánchez-García, M.; Sánchez-Monedero, M.A. Key biochar properties linked to denitrification products in a calcareous soil. Biochar 2024, 6, 90. [Google Scholar] [CrossRef]
- Wu, Z.; Xu, F.; Yang, C.; Su, X.; Guo, F.; Xu, Q.; Peng, G.; He, Q.; Chen, Y. Highly efficient nitrate removal in a heterotrophic denitrification system amended with redox-active biochar: A molecular and electrochemical mechanism. Bioresour. Technol. 2019, 275, 297–306. [Google Scholar] [CrossRef]
- Li, Q.; Jia, Z.; Fu, J.; Yang, X.; Shi, X.; Chen, R. Biochar enhances partial denitrification/anammox by sustaining high rates of nitrate to nitrite reduction. Bioresour. Technol. 2022, 349, 126869. [Google Scholar] [CrossRef] [PubMed]
- Bekchanova, M.; Campion, L.; Bruns, S.; Kuppens, T.; Lehmann, J.; Jozefczak, M.; Cuypers, A.; Malina, R. Biochar improves the nutrient cycle in sandy-textured soils and increases crop yield: A systematic review. Environ. Evid. 2024, 13, 3. [Google Scholar] [CrossRef]
- Escuer-Gatius, J.; Shanskiy, M.; Soosaar, K.; Astover, A.; Raave, H. High-Temperature Hay Biochar Application into Soil Increases N2O Fluxes. Agronomy 2020, 10, 109. [Google Scholar] [CrossRef]
- Martinsen, V.; Alling, V.; Nurida, N.L.; Mulder, J.; Hale, S.E.; Ritz, C.; Rutherford, D.W.; Heikens, A.; Breedveld, G.D.; Cornelissen, G. pH effects of the addition of three biochars to acidic Indonesian mineral soils. Soil Sci. Plant Nutr. 2015, 61, 821–834. [Google Scholar] [CrossRef]
- Liu, D.; Feng, Z.; Zhu, H.; Yu, L.; Yang, K.; Yu, S.; Zhang, Y.; Guo, W. Effects of corn straw biochar application on soybean growth and alkaline soil properties. BioResources 2020, 15, 1463–1481. [Google Scholar] [CrossRef]
- Heinrich, T.; Park, H.; Orozco, R.; Ding, Z.; Álvarez-López, V.; Mosquera-Losada, M.R.; Steinbeis, L.; Hoffmann, T. Biochar production from late-harvest grass—Challenges and potential for farm-scale implementation. Sustain. Prod. Consum. 2023, 37, 256–267. [Google Scholar] [CrossRef]
- Chew, J.; Zhu, L.; Nielsen, S.; Graber, E.; Mitchell, D.R.G.; Horvat, J.; Mohammed, M.; Liu, M.; van Zwieten, L.; Donne, S.; et al. Biochar-based fertilizer: Supercharging root membrane potential and biomass yield of rice. Sci. Total Environ. 2020, 713, 136431. [Google Scholar] [CrossRef]
- Kasera, N.; Augoustides, V.; Kolar, P.; Hall, S.G.; Vicente, B. Effect of Surface Modification by Oxygen-Enriched Chemicals on the Surface Properties of Pine Bark Biochars. Processes 2022, 10, 2136. [Google Scholar] [CrossRef]
- Tang, Z.; Liu, X.; Li, G.; Liu, X. Mechanism of biochar on nitrification and denitrification to N2O emissions based on isotope characteristic values. Environ. Res. 2022, 212, 113219. [Google Scholar] [CrossRef]
- Grossman, J.M.; O’Neill, B.E.; Tsai, S.M.; Liang, B.; Neves, E.; Lehmann, J.; Thies, J.E. Amazonian Anthrosols Support Similar Microbial Communities that Differ Distinctly from Those Extant in Adjacent, Unmodified Soils of the Same Mineralogy. Microb. Ecol. 2010, 60, 192–205. [Google Scholar] [CrossRef] [PubMed]
- Khodadad, C.L.M.; Zimmerman, A.R.; Green, S.J.; Uthandi, S.; Foster, J.S. Taxa-specific changes in soil microbial community composition induced by pyrogenic carbon amendments. Soil Biol. Biochem. 2011, 43, 385–392. [Google Scholar] [CrossRef]
- Rondon, M.A.; Lehmann, J.; Ramírez, J.; Hurtado, M. Biological nitrogen fixation by common beans (Phaseolus vulgaris L.) increases with bio-char additions. Biol. Fertil. Soils 2007, 43, 699–708. [Google Scholar] [CrossRef]
- Zhang, J.; Shen, J.L. Effects of biochar on soil microbial diversity and community structure in clay soil. Ann. Microbiol. 2022, 72, 35. [Google Scholar] [CrossRef]
- Bolan, S.; Hou, D.; Wang, L.; Hale, L.; Egamberdieva, D.; Tammeorg, P.; Li, R.; Wang, B.; Xu, J.; Wang, T.; et al. The potential of biochar as a microbial carrier for agricultural and environmental applications. Sci. Total Environ. 2023, 886, 163968. [Google Scholar] [CrossRef]
- Hagemann, N.; Joseph, S.; Schmidt, H.P.; Kammann, C.I.; Harter, J.; Borch, T.; Young, R.B.; Varga, K.; Taherymoosavi, S.; Elliott, K.W.; et al. Organic coating on biochar explains its nutrient retention and stimulation of soil fertility. Nat. Commun. 2017, 8, 1089. [Google Scholar] [CrossRef] [PubMed]
- Su, K.; Qin, Q.; Yang, J.; Li, L.; Deng, S. Recent advance on Torrefaction Valorization and application of biochar from agricultural waste for soil remediation. J. Renew. Mater. 2022, 10, 247–261. [Google Scholar] [CrossRef]
- Song, B. Biomass Pyrolysis for Biochar Production: Kinetics, Energetics and Economics. In Biochar: A Regional Supply Chain Approach in View of Climate Change Mitigation; Bruckman, V.J., Varol, E.A., Uzun, B.B., Liu, J., Eds.; Cambridge University Press: Cambridge, UK, 2016; pp. 227–238. [Google Scholar]
- Mehdi, R.; Khoja, A.H.; Naqvi, S.R.; Gao, N.; Amin, N.A. A review on production and surface modifications of biochar materials via biomass pyrolysis process for supercapacitor applications. Catalysts 2022, 12, 798. [Google Scholar] [CrossRef]
- Banik, C.; Lawrinenko, M.; Bakshi, S.; Laird, D.A. Impact of pyrolysis temperature and feedstock on surface charge and functional group chemistry of biochars. J. Environ. Qual. 2018, 47, 452–461. [Google Scholar] [CrossRef]
- Zhao, S.; Ta, N.; Li, Z.; Yang, Y.; Zhang, X.; Liu, D.; Zhang, A.; Wang, X. Varying pyrolysis temperature impacts application effects of biochar on soil labile organic carbon and humic fractions. Appl. Soil Ecol. 2018, 123, 484–493. [Google Scholar] [CrossRef]
- Gezahegn, S.; Sain, M.; Thomas, S.C. Variation in Feedstock Wood Chemistry Strongly Influences Biochar Liming Potential. Soil Syst. 2019, 3, 26. [Google Scholar] [CrossRef]
- Janu, R.; Mrlik, V.; Ribitsch, D.; Hofman, J.; Sedláček, P.; Bielská, L.; Soja, G. Biochar surface functional groups as affected by biomass feedstock, biochar composition and pyrolysis temperature. Carbon Resour. Convers. 2021, 4, 36–46. [Google Scholar] [CrossRef]
- Rathnayake, D.; Schmidt, H.; Leifeld, J.; Mayer, J.; Epper, C.A.; Bucheli, T.D.; Hagemann, N. Biochar from animal manure: A critical assessment on technical feasibility, economic viability, and ecological impact. GCB Bioenergy 2023, 15, 1078–1104. [Google Scholar] [CrossRef]
- US Biochar Initiative—Practical Insights for Applying Biochar to Annual and Perennial Crops. Available online: https://biochar-us.org/biochar-crop-application-guidelines (accessed on 15 September 2024).
- Grain Farmers Ontario (GFO)—About. Available online: https://gfo.ca/about/ (accessed on 15 September 2024).






| Origin | Biomass | EBC-Agro | EBC-Feed | EBC-Urban | EBC-Basic |
|---|---|---|---|---|---|
| Agriculture | Energy Crops * | X | X | X | X |
| Straw/Grains | X | X | X | ||
| Vegetables | X | X | X | ||
| Forestry and Wood | Sawdust | X | X | X | X |
| Tree Barks | X | X | X | X | |
| Wood Chips | X | X | X | X | |
| Municipal Waste | Waste Paper | X | X | ||
| Green Cuttings | X | X | X | ||
| Treated Wood | X | X | |||
| Organic Waste | X | ||||
| Kitchen/Food Waste | Kitchen Residues | X | X | X |
| Field Condition | Total C (t/ha) | Total N (t/ha) | Citrate-P (kg/ha) | Enzyme-P (kg/ha) | CaCl2-P (kg/ha) |
|---|---|---|---|---|---|
| Control | 61.3 ± 4.0 | 4.8 ± 0.5 | 623.5 ± 45.3 | 200.1 ± 6.72 | 82.2 ± 4.57 |
| Biochar (20 t/ha) | 81.7 ± 5.0 | 5.5 ± 0.2 | 391.2 ± 32.9 | 222.8 ± 14.9 | 43.4 ± 5.23 |
| Biochar (40 t/ha) | 102 ± 9.5 | 5.9 ± 0.2 | 432.4 ± 26.6 | 267.2 ± 11.5 | 44.2 ± 1.71 |
Disclaimer/Publisher’s Note: The statements, opinions and data contained in all publications are solely those of the individual author(s) and contributor(s) and not of MDPI and/or the editor(s). MDPI and/or the editor(s) disclaim responsibility for any injury to people or property resulting from any ideas, methods, instructions or products referred to in the content. |
© 2024 by the authors. Licensee MDPI, Basel, Switzerland. This article is an open access article distributed under the terms and conditions of the Creative Commons Attribution (CC BY) license (https://creativecommons.org/licenses/by/4.0/).
Share and Cite
Abu El Haija, K.; Santos, R.M. Rethinking Biochar’s MRV Systems: A Perspective on Incorporating Agronomic and Organic Chemistry Indicators. Sustain. Chem. 2024, 5, 287-307. https://doi.org/10.3390/suschem5040020
Abu El Haija K, Santos RM. Rethinking Biochar’s MRV Systems: A Perspective on Incorporating Agronomic and Organic Chemistry Indicators. Sustainable Chemistry. 2024; 5(4):287-307. https://doi.org/10.3390/suschem5040020
Chicago/Turabian StyleAbu El Haija, Karam, and Rafael M. Santos. 2024. "Rethinking Biochar’s MRV Systems: A Perspective on Incorporating Agronomic and Organic Chemistry Indicators" Sustainable Chemistry 5, no. 4: 287-307. https://doi.org/10.3390/suschem5040020
APA StyleAbu El Haija, K., & Santos, R. M. (2024). Rethinking Biochar’s MRV Systems: A Perspective on Incorporating Agronomic and Organic Chemistry Indicators. Sustainable Chemistry, 5(4), 287-307. https://doi.org/10.3390/suschem5040020

