Data-Driven Spatial Analysis: A Multi-Stage Framework to Enhance Temporary Event Space Attractiveness
Abstract
1. Introduction
Outline of the Study
2. Literature Review
2.1. Urban Livability in an Aging and Remote City
2.2. Urban Livability and Attractiveness in the Case of Matsue
2.3. The Role of Events in Urban Revitalization
2.4. Spatial Cognition and the Perception of Temporary Events
2.5. Challenges in Analyzing User Feedback for Event Improvements
2.6. A Data-Driven Approach for Keyword Extraction
3. Methodology
3.1. Multi-Stage Framework
3.2. Target Events
3.3. Data Collection
3.4. Adaptive Keyword from Interviews
3.4.1. Phase-1
3.4.2. Phase-2
3.4.3. Phase-3
4. Data-Driven Insights for Analyzing Environmental Dynamics
4.1. Proposed Algorithm for Suitable Keyword Weighting in Text Analysis
| Algorithm 1 Proposed Keyword Weighting Algorithm |
|
4.2. Analysis and Key Findings of Data-Driven Environment
5. Impact on Visual Attractiveness of Temporary Event Space
5.1. Spatial Analysis
5.2. Visual Attractiveness from Data-Driven Spatial Analysis
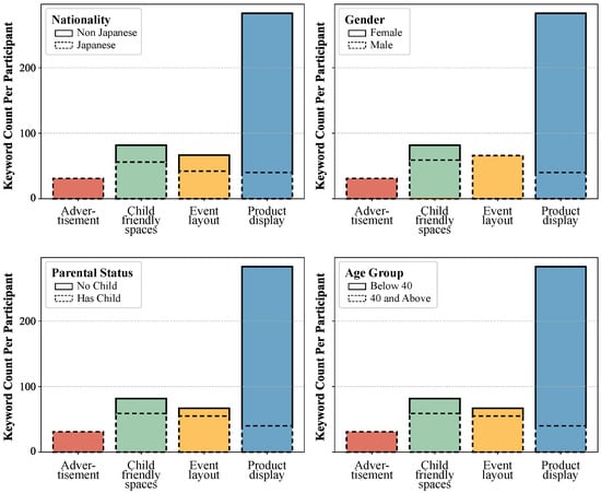
5.3. Participant Behavior Analysis with Different Themes
5.4. Scaling Impact of Interview Expansion
6. Conclusions
Author Contributions
Funding
Institutional Review Board Statement
Informed Consent Statement
Data Availability Statement
Acknowledgments
Conflicts of Interest
Abbreviations
| AI | Artificial Intelligence |
| NLP | Natural Language Processing |
| EV | Event |
| P | Participant |
| SL | Stall Layout |
| PV | Product Visibility |
| DS | Display Strategy |
| GPT | Generative Pre-trained Transformer |
References
- Uwasu, M.; Fuchigami, Y.; Ohno, T.; Takeda, H.; Kurimoto, S. On the valuation of community resources: The case of a rural area in Japan. Environ. Dev. 2018, 26, 3–11. [Google Scholar] [CrossRef]
- Zollet, S.; Qu, M. Revitalising rural areas through counterurbanisation: Community-oriented policies for the settlement of urban newcomers. Habitat Int. 2024, 145, 103022. [Google Scholar] [CrossRef]
- Ji, Y.; Imai, H. Creative Revitalization in Rural Japan: Lessons from Ishinomaki. Asian Stud. 2022, 10, 211–240. [Google Scholar] [CrossRef]
- Matsue City Office. Results of the Community Development Policy Implementation for Asahi-Yata District (FY2018-FY2019)—Matsue City; Original title in Japanese: Results of the implementation of the Watashi-Yata district regional development measures (FY2018 and FY2019); Technical Report; Matsue City Office: Matsue, Japan, 2018. [Google Scholar]
- Nguyen Tran, Y.; Marsatyasti, N.; Murata, R. Variations of Visual Impression in Corner Space of the Storefronts in Daikanyama, Tokyo. J. Archit. Plan. (Trans. AIJ) 2022, 87, 1922–1932. [Google Scholar] [CrossRef]
- Matsue City Office. Asaichi 2024 Report; Technical Report; Matsue City Office: Matsue, Japan, 2024. [Google Scholar]
- Rezaei, N.; Mirzaei, R.; Abbasi, R. A study on motivation differences among traditional festival visitors based on demographic characteristics, case study: Gol-Ghaltan festival, Iran. J. Conv. Event Tour. 2018, 19, 120–137. [Google Scholar] [CrossRef]
- Masuda, T.; Nisbett, R. Culture and Change Blindness. Cogn. Sci. 2006, 30, 381–399. [Google Scholar] [CrossRef]
- Bansal, G.; Chamola, V.; Hussain, A.; Guizani, M.; Niyato, D. Transforming Conversations with AI—A Comprehensive Study of ChatGPT. Cogn. Comput. 2024, 16, 2487–2510. [Google Scholar] [CrossRef]
- OpenAI. ChatGPT: Optimizing Language Models for Dialogue. 2023. Available online: https://openai.com/chatgpt (accessed on 1 February 2025).
- Chen, M.; Yuan, Q.; Yang, C.; Zhang, Y. Decoding Urban Mobility: Application of Natural Language Processing and Machine Learning to Activity Pattern Recognition, Prediction, and Temporal Transferability Examination. IEEE Trans. Intell. Transp. Syst. 2024, 25, 7151–7173. [Google Scholar] [CrossRef]
- Cantamessa, M.; Montagna, F.; Altavilla, S.; Casagrande-Seretti, A. Data-driven design: The new challenges of digitalization on product design and development. Des. Sci. 2020, 6, e27. [Google Scholar] [CrossRef]
- Döringer, S.; Uchiyama, Y.; Penker, M.; Kohsaka, R. A meta-analysis of shrinking cities in Europe and Japan. Towards an integrative research agenda. Eur. Plan. Stud. 2020, 28, 1693–1712. [Google Scholar] [CrossRef]
- Ahmed, N.O.; El-Halafawy, A.M.; Amin, A.M. A Critical Review of Urban Livability. Eur. J. Sustain. Dev. 2019, 8, 165. [Google Scholar] [CrossRef]
- Kato, H. Declining Population and the Revitalization of Local Regions in Japan. Meiji J. Political Sci. Econ. 2014, 3, 25–35. [Google Scholar]
- Shinji, K. Background, current situation, and issues of policies to promote migration and settlement in rural areas. Geogr. J. 2016, 125, 507–522. [Google Scholar] [CrossRef][Green Version]
- Sorensen, A. Liveable Cities in Japan: Population Ageing and Decline as Vectors of Change. Int. Plan. Stud. 2006, 11, 225–242. [Google Scholar] [CrossRef]
- OECD. OECD 2012 Compact City Policies: A Comparative Assessment; Technical Report; OECD: Paris, France, 2012. [Google Scholar]
- Stephens, C.; Szabó, Á.; Allen, J.; Alpass, F. Livable Environments and the Quality of Life of Older People: An Ecological Perspective. Gerontologist 2018, 59, 675–685. [Google Scholar] [CrossRef]
- Lee, J.; Kurisu, K.; An, K.A.; Hanaki, K. Development of the compact city index and its application to Japanese cities. Urban Stud. 2015, 52, 1054–1070. [Google Scholar] [CrossRef]
- Mizutani, F.; Nakayama, N.; Tanaka, T. An Analysis of the Effects of the Compact City on Economic Activities in Japan. In Proceedings of the ERSA Conference Papers ersa15p160; European Regional Science Association: Louvain-la-Neuve, Belgium, 2015. [Google Scholar]
- MLIT. White Paper on Land, Infrastructure, Transport and Tourism in Japan; Technical Report; MLIT: Tokyo, Japan, 2023. [Google Scholar]
- Yoshida, Y.; Ikaruga, S.; Kobayashi, T.; Shiraishi, R. Supporting method of compact city planning in local metropolitan areas across prefectural borders. Jpn. Archit. Rev. 2024, 7, e12423. [Google Scholar] [CrossRef]
- Yu, O.; Atsushi, T.; Noboru, H. Research on the planning and current status of multi-core collaborative compact cities as seen in urban planning master plans. Collect. Urban Plan. Pap. 2017, 52, 10–17. [Google Scholar] [CrossRef]
- Kajita, S. Can Prefectural Government Cities Play Roles as’ Dams for Preventing Population Outflows?’: A Case Study on Matsue. J. Geogr. Chigaku Zasshi 2016, 125, 627–645. [Google Scholar] [CrossRef]
- Takao, Y. Compact City and Mayoral Entrepreneurship: A Study of Success and Setbacks in Two Japanese Cities. Urban Aff. Rev. 2025, 61, 221–259. [Google Scholar] [CrossRef]
- Japan Power Cities—Institute for Urban Strategies. Profiling Urban Attractiveness 2023 Report; Technical Report; The Mori Memorial Foundation 2023 Japan Power Cities: Tokyo, Japan, 2023. [Google Scholar]
- Japan Power Cities—Institute for Urban Strategies. City Perception Survey Japan; The Mori Foundation: Tokyo, Japan, 2022. [Google Scholar]
- Walters, T.; Insch, A. How community event narratives contribute to place branding. J. Place Manag. Dev. 2018, 11, 130–144. [Google Scholar] [CrossRef]
- Hein, C. Toshikeikaku and Machizukuri in Japanese Urban Planning. Japanstudien 2002, 13, 221–252. [Google Scholar] [CrossRef]
- Fujita, M.; Hamaguchi, N.; Kameyama, Y. Local Community as a Device for Regional Innovation. In Economics, Law, and Institutions in Asia Pacific; Springer: Singapore, 2021. [Google Scholar]
- Camerin, F. Open issues and opportunities to guarantee the “right to the ‘healthy’city” in the post-Covid-19 European city. Contesti 2021, 2, 149–162. [Google Scholar]
- Weekend Morning Market Promotion Project|Matsue City Homepage— city.matsue.lg.jp. Available online: https://www.city.matsue.lg.jp/soshikikarasagasu/sangyokeizaibu_shokokikakuka/sangyoshinko/1/14416.html (accessed on 8 February 2025).
- Son, I.S.; Krolikowski, C. Developing a sense of place through attendance and involvement in local events: The social sustainability perspective. Tour. Recreat. Res. 2024, 49, 1–12. [Google Scholar] [CrossRef]
- Lynch, K.M. The Image of the City; MIT Press: Cambridge, MA, USA, 1960. [Google Scholar]
- Pernecky, T.; Rakić, T. Visual Methods in Event Studies. Event Manag. 2019, 23, 179–190. [Google Scholar] [CrossRef]
- Tang, M. Analysis of Signage using Eye-Tracking Technology. J. Signage Wayfinding 2020, 4, 61–72. [Google Scholar] [CrossRef]
- Cullen, G. The Concise Townscape; Architectural Press: New York, NY, USA, 1995. [Google Scholar]
- Niehaus, K. The temporality of commodified landscapes at events & local constructions of identity in Salzburg. Linguist. Landsc. 2022, 9, 357–386. [Google Scholar]
- Singhal, K. Application of colour theory and visual merchandising principles in retail spaces. World J. Adv. Res. Rev. 2024, 24, 1221–1227. [Google Scholar] [CrossRef]
- Kamarudin, A.M.; Wahab, N.A.A.; Zakariya, K. Discovering the Qualities of Ferringhi Night Market as an urban cultural space. In Proceedings of the UMRAN2015: A Vision of Establishing Green Built Environment, International Islamic University Malaysia, Kuala Lumpur, Malaysia, 28 April 2015. [Google Scholar]
- Nasar, J.L. The evaluative image of the city. J. Am. Plan. Assoc. 1990, 56, 41–53. [Google Scholar] [CrossRef]
- Russell, J.A. Core affect and the psychological construction of emotion. Psychol. Rev. 2003, 110, 145–172. [Google Scholar] [CrossRef]
- Nasar, J.L. Urban Design Aesthetics: The Evaluative Qualities of Building Exteriors. Environ. Behav. 1994, 26, 377–401. [Google Scholar] [CrossRef]
- Mehta, V. Look Closely and You Will See, Listen Carefully and You Will Hear: Urban Design and Social Interaction on Streets. J. Urban Des. 2009, 14, 29–64. [Google Scholar] [CrossRef]
- Gehl, J.; Svarre, B. How to Study Public Life; Island Press: Washington, DC, USA, 2013. [Google Scholar]
- Franck, K.; Stevens, Q. Loose Space Possibility and Diversity in Urban Life; Routledge: London, UK, 2006. [Google Scholar]
- Nguyen Tran, Y.; Nguyen Tran, T.; Kouno, R.; Loh, J. Visual Impression of Urban Waterways in Shrinking Cities: Case Study of Matsue Canal Network around the Castle. IOP Conf. Ser. Earth Environ. Sci. 2024, 1363, 012072. [Google Scholar] [CrossRef]
- Sina, A.S.; Young Kim, H. Enhancing consumer satisfaction and retail patronage through brand experience, cognitive pleasure, and shopping enjoyment: A comparison between lifestyle and product-centric displays. J. Glob. Fash. Mark. 2018, 10, 129–144. [Google Scholar] [CrossRef]
- Antchak, V.; Ramsbottom, O. Atmospherics and servicescapes. In Proceedings of the Fundamentals of Event Design; Routledge: London, UK, 2019. [Google Scholar]
- Jagtap, R.D.; Singh, D.P. Inclusive stimulating space planning for sustainable urban agglomeration. Braz. J. Dev. 2024, 10, e69384. [Google Scholar] [CrossRef]
- Röggla, T.; Shirzadian, N.; Zheng, Z.; Panza, A.; Cesar, P. Enhancing Music Events Using Physiological Sensor Data. In Proceedings of the MM ’17: The 25th ACM International Conference on Multimedia, Mountain View, CA, USA, 23–27 October 2017. [Google Scholar]
- Xu, A.; Huang, S.W.; Bailey, B.P. Voyant: Generating structured feedback on visual designs using a crowd of non-experts. In Proceedings of the 17th ACM Conference on Computer Supported Cooperative Work & Social Computing, Baltimore, MD, USA, 15–19 February 2014. [Google Scholar]
- Kanev, G.; Mladenova, T.; Valova, I. Leveraging User Experience for Enhancing Product Design: A Study of Data Collection and Evaluation. In Proceedings of the 2023 5th International Congress on Human-Computer Interaction, Optimization and Robotic Applications (HORA), Istanbul, Turkey, 8–10 June 2023; pp. 1–6. [Google Scholar]
- Narahara, T. KURASHIKI VIEWER: Qualitative Evaluations of Architectural Spaces inside Virtual Reality. In Proceedings of the 27th International Conference of the Association for Computer-Aided Architectural Design Research in Asia, CAADRIA, Sydney, Australia, 9–15 April 2022; The Association for Computer-Aided Architectural Design Research in Asia: Hong Kong, China, 2022; pp. 11–18. [Google Scholar]
- Anthropic. Claude: A Next-Generation AI Assistant. 2023. Available online: https://www.anthropic.com/claude (accessed on 1 February 2025).
- Google. Gemini: Multimodal AI Model by Google. 2023. Available online: https://blog.google/technology/ai/google-gemini-ai/ (accessed on 1 February 2025).
- DeepSeek. DeepSeek: Advanced AI for Natural Language Processing. 2023. Available online: https://www.deepseek.com (accessed on 1 February 2025).
- Microsoft. GitHub Copilot: Your AI Pair Programmer. 2023. Available online: https://github.com/features/copilot (accessed on 1 February 2025).
- Grootendorst, M. KeyBERT: Minimal keyword extraction with BERT. arXiv 2020, arXiv:2010.11918. [Google Scholar]
- Campos, R.; Mangaravite, V.; Pasquali, A.; Jorge, A.M.; Nunes, C.; Jatowt, A. YAKE! Keyword extraction from single documents using multiple local features. Inf. Sci. 2020, 509, 257–289. [Google Scholar] [CrossRef]
- Xia, L.; Jia, Q.S.; Cao, X.R. A tutorial on event-based optimization—A new optimization framework. Discret. Event Dyn. Syst. 2014, 24, 103–132. [Google Scholar] [CrossRef]
- Tai, R.H.; Bentley, L.R.; Xia, X.; Sitt, J.M.; Fankhauser, S.C.; Chicas-Mosier, A.M.; Monteith, B.G. An examination of the use of large language models to aid analysis of textual data. Int. J. Qual. Methods 2024, 23, 16094069241231168. [Google Scholar] [CrossRef]
- Gallego, G.; Delbrück, T.; Orchard, G.; Bartolozzi, C.; Taba, B.; Censi, A.; Leutenegger, S.; Davison, A.J.; Conradt, J.; Daniilidis, K.; et al. Event-based vision: A survey. IEEE Trans. Pattern Anal. Mach. Intell. 2020, 44, 154–180. [Google Scholar] [CrossRef]
- Fridlin, S.L.; Pereira, L.D.; Perez, A.P. Relationship between data collected during the interview and auditory processing disorder. Rev. CEFAC 2014, 16, 405–412. [Google Scholar] [CrossRef]
- Rodriguez, E.; Nakamura, S. Social Impact of Cultural Events Using Data Science. Soc. Sci. Res. J. 2020, 14, 410–425. [Google Scholar]
- Fernandez, R.; Cohen, L. Sentiment Analysis in Public Event Engagement. J. Comput. Soc. Sci. 2021, 9, 155–172. [Google Scholar]
- Williams, S.; Kim, D. Market Analysis Using Keyword Extraction. Econ. Data Rev. 2020, 8, 200–215. [Google Scholar]
- Driscoll, B. Sentiment analysis and the literary festival audience. Continuum 2015, 29, 861–873. [Google Scholar] [CrossRef]
- Valdivia García, A. Sentiment Analysis-Based Methods for Cultural Monuments. Doctoral Thesis, Universidad de Granada, Granada, Spain, 2019. [Google Scholar]
- Taylor, J.; Wong, C. Improving Event Analysis with AI-Driven Keyword Extraction. J. Comput. Event Stud. 2022, 16, 228–243. [Google Scholar]
- Yamamoto, H.; Silva, L. Network Modeling for Public Event Interactions. Annu. Conf. Soc. Data Sci. 2021, 11, 79–94. [Google Scholar]
- Foster, D.; Rivera, C. Keyword Categorization for Thematic Event Analysis. J. Inf. Syst. 2021, 15, 265–280. [Google Scholar]
- Galdas, P. Revisiting bias in qualitative research: Reflections on its relationship with funding and impact. Int. J. Qual. Methods 2017, 16, 1609406917748992. [Google Scholar] [CrossRef]
- Mehrabi, N.; Morstatter, F.; Saxena, N.; Lerman, K.; Galstyan, A. A survey on bias and fairness in machine learning. ACM Comput. Surv. (CSUR) 2021, 54, 1–35. [Google Scholar] [CrossRef]
- Crociani, L.; Lämmel, G.; Vizzari, G. Multi-scale simulation for crowd management: A case study in an urban scenario. In Proceedings of the Autonomous Agents and Multiagent Systems: AAMAS 2016 Workshops, Best Papers, Singapore, 9–10 May 2016; Revised Selected Papers. Springer: Berlin/Heidelberg, Germany, 2016; pp. 147–162. [Google Scholar]
- Rose, S.; Engel, D.; Cramer, N.; Cowley, W. Automatic keyword extraction from individual documents. In Proceedings of the Text Mining: Applications and Theory; John Wiley & Sons, Ltd.: Hoboken, NJ, USA, 2010; pp. 1–20. [Google Scholar]
- Mihalcea, R.; Tarau, P. TextRank: Bringing order into text. In Proceedings of the 2004 Conference on Empirical Methods in Natural Language Processing, Barcelona, Spain, 25–26 July 2004; pp. 404–411. [Google Scholar]
- Spärck Jones, K. A statistical interpretation of term specificity and its application in retrieval. J. Doc. 1972, 28, 11–21. [Google Scholar] [CrossRef]
- Karlgren, J.; Li, R.; Meyersson Milgrom, E.M. Text Mining for Processing Interview Data in Computational Social Science. arXiv 2020, arXiv:2011.14037. [Google Scholar]
- Ushio, A.; Liberatore, F.; Camacho-Collados, J. Back to the Basics: A Quantitative Analysis of Statistical and Graph-Based Term Weighting Schemes for Keyword Extraction. arXiv 2021, arXiv:2104.08028. [Google Scholar]
- Wang, X.; Zhang, L.; Klabjan, D. Keyword-based Topic Modeling and Keyword Selection. arXiv 2020, arXiv:2001.07866. [Google Scholar]
- nana.media. [Imagine Coffee Morning Market] Held Once a Month! Handmade Sweets and Fresh Vegetables Lined Up|Matsue City|na-na (Nana)|Tottori and Shimane Gourmet, Outing, and Lifestyle Magazine—na-na.media. 2023. Available online: https://na-na.media/imagine-coffee-morning/ (accessed on 9 February 2025).
- Shoji, U. Matsue, San-in Broadcasting Co., Ltd.: Yonago city, Japan, 2014.
- Market, M.F. Matsue Farmers Market Homepage. Available online: https://matsue-junkan-fmkt.com/report (accessed on 8 February 2025).
- Majiid, A.; Mian, R.U.H.; Kurohara, K.; NGUYEN-TRAN, Y.K. Approach to Visual Attractiveness of Event Space Through Data-Driven Environment and Spatial Perception. In Proceedings of the 5th International Civil Engineering and Architecture Conference (CEAC 2025), Tokyo, Japan, 28–31 March 2025. [Google Scholar]
- Jordan, T.; Gibson, F.W.; Stinnett, B.; Howard, D. Stakeholder Engagement in Event Planning: A Case Study of One Rural Community’s Process. Event Manag. 2019, 23, 61–74. [Google Scholar] [CrossRef]
- Bello, A.H. “Eventful”: Revolutionizing Event Management through Technology Integration and User-Centered Design. Saudi J. Eng. Technol. 2024, 9, 173–191. [Google Scholar] [CrossRef]
- Ruperto, A.; Kerr, G.M. A Study of Community Events Held by Not-for-Profit Organizations in Australia. J. Nonprofit Public Sect. Mark. 2009, 21, 298–308. [Google Scholar] [CrossRef]














| Interview Phase | Event Name | Target Attend. | Stalls (No.) | Avg. Dur. | Voice Data * Volume | Inter- Viewees (No.) | Male/ Female | JP/ Non-JP | Single/ Married | With/ Without Kids |
|---|---|---|---|---|---|---|---|---|---|---|
| On-site | Ev-1 | 20–30 | 8 | – | – | 11 | 6/5 | 11/0 | 6/5 | N/A |
| Ev-2 | 30–50 | 11 | 4 m 12 s | 647 | 15 | 5/10 | 15/0 | 3/12 | – | |
| Ev-3 | 80–100 | 22 | – | – | 11 | 6/5 | 11/0 | 3/11 | – | |
| Ev-1 | 20–30 | N/A | 16 m 06 s | T:25745 | T:8 | T:5/3 | T:3/5 | T:3/5 | T:4/4 | |
| Video | I:20096 | I:6 | I:5/1 | I:2/4 | I:2/4 | I:3/3 | ||||
| S:5649 | S:2 | S:0/2 | S:1/1 | S:1/1 | S:1/1 | |||||
| Ev-2 | 30–50 | |||||||||
| Ev-3 | 80–100 | |||||||||
| Ev-1 | 20–30 | N/A | 12 m 30 s | T:26790 | T:8 | T:5/3 | T:3/5 | T:3/5 | T:4/4 | |
| Virtual | I:19753 | I:6 | I:5/1 | I:2/4 | I:2/4 | I:3/3 | ||||
| S:7037 | S:2 | S:0/2 | S:1/1 | S:1/1 | S:1/1 | |||||
| Ev-2 | 30–50 | |||||||||
| Ev-3 | 80–100 |
| Event | Activities | Physical Elements | Atmosphere |
|---|---|---|---|
| Ev-1 | do, move, eat, drink, sell, buy | chair, drink, farm, table, cooler | color, attention, seem, festival, experience |
| Ev-2 | do, drink, eat, sell, buy, sit | drink, table, notice, yummy, fruits | color, lively, hot, experience, festival |
| Ev-3 | do, drink, eat, move, sell, buy | chair, drink, packaging, back, table | color, seem to be, expect to see, hot |
| Stall Layout | Events |
|---|---|
| SL1 (16) | EV1-02, EV1-06, EV1-07, EV1-09, EV1-10, EV2-01, EV2-09, EV2-10, EV2-11, EV3-03, EV3-09, EV3-10, EV3-12, EV3-15, EV3-16, EV3-20 |
| SL2 (16) | EV1-01, EV1-03, EV1-05, EV2-03, EV2-05, EV2-07, EV3-01, EV3-04, EV3-05, EV3-06, EV3-07, EV3-08, EV3-11, EV3-13, EV3-14, EV3-21 |
| SL3 (10) | EV1-04, EV1-08, EV2-02, EV2-04, EV2-06, EV2-08, EV3-02, EV3-17, EV3-18, EV3-19 |
| Participant Group | Nationality | Gender | |||
|---|---|---|---|---|---|
| Japanese | Non-Japanese | Female | Male | ||
| Keyword Count | 206 | 678 | 418 | 466 | |
| Participant Group | Parental Status | Age Group | |||
| Has Child | No Child | 40 and Above | Below 40 | ||
| Keyword Count | 310 | 574 | 310 | 574 | |
Disclaimer/Publisher’s Note: The statements, opinions and data contained in all publications are solely those of the individual author(s) and contributor(s) and not of MDPI and/or the editor(s). MDPI and/or the editor(s) disclaim responsibility for any injury to people or property resulting from any ideas, methods, instructions or products referred to in the content. |
© 2025 by the authors. Licensee MDPI, Basel, Switzerland. This article is an open access article distributed under the terms and conditions of the Creative Commons Attribution (CC BY) license (https://creativecommons.org/licenses/by/4.0/).
Share and Cite
Nguyen-Tran, Y.-K.; Majiid, A.; Mian, R.-u.-h. Data-Driven Spatial Analysis: A Multi-Stage Framework to Enhance Temporary Event Space Attractiveness. World 2025, 6, 54. https://doi.org/10.3390/world6020054
Nguyen-Tran Y-K, Majiid A, Mian R-u-h. Data-Driven Spatial Analysis: A Multi-Stage Framework to Enhance Temporary Event Space Attractiveness. World. 2025; 6(2):54. https://doi.org/10.3390/world6020054
Chicago/Turabian StyleNguyen-Tran, Yen-Khang, Aliffi Majiid, and Riaz-ul-haque Mian. 2025. "Data-Driven Spatial Analysis: A Multi-Stage Framework to Enhance Temporary Event Space Attractiveness" World 6, no. 2: 54. https://doi.org/10.3390/world6020054
APA StyleNguyen-Tran, Y.-K., Majiid, A., & Mian, R.-u.-h. (2025). Data-Driven Spatial Analysis: A Multi-Stage Framework to Enhance Temporary Event Space Attractiveness. World, 6(2), 54. https://doi.org/10.3390/world6020054
