1,5-Acrylodan: A Fluorescent Bioconjugate Sensor of Protic Environments
Abstract
1. Introduction
2. Materials and Methods
2.1. Preparation of 1,5-Acrylodan
2.1.1. 1-Bromo-5-nitronaphthalene (1)
2.1.2. 5-Bromonaphthalen-1-amine (2)
2.1.3. 5-Bromo-N,N-dimethylnaphthalen-1-amine (3)
2.1.4. Ethyl 5-(Dimethylamino)-1-naphthoate (4)
2.1.5. 1-(5-(Dimethylamino)naphthalen-1-yl)cyclopropan-1-ol (5)
2.1.6. 1-(5-(Dimethylamino)naphthalen-1-yl)prop-2-en-1-one (6)
2.2. 1,5-Acrylodan-Human Serum Albumin Conjugate (1,5-AC-HSA)
3. Results
3.1. Synthesis of 1,5-Acrylodan (6)
3.2. Photophysical Characterization of 1,5-Acrylodan
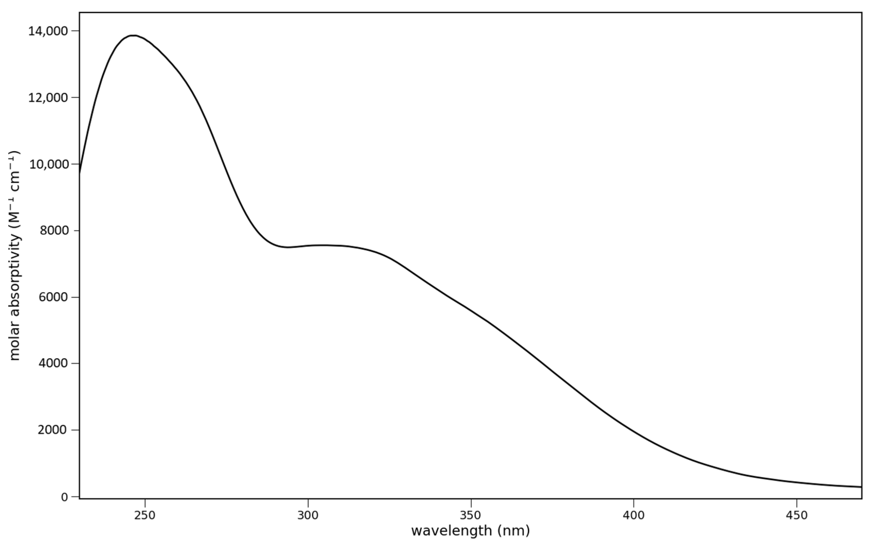
3.2.1. Absorption Spectroscopy
3.2.2. Fluorescence Spectroscopy
3.3. Synthesis of 1,5-Acrylodan-Human Serum Albumin Conjugate and Denaturation Studies
3.3.1. Synthesis of AC-HSA
3.3.2. Denaturation Studies
4. Discussion
4.1. 1,5-Acrylodan
4.2. 1,5-AC-HSA
5. Conclusions
Supplementary Materials
Author Contributions
Funding
Data Availability Statement
Conflicts of Interest
References
- Padeste, C.; Grubelnik, A.; Tiefenauer, L. Ferrocene–Avidin Conjugates for Bioelectrochemical Applications. Biosens. Bioelectron. 2000, 15, 431–438. [Google Scholar] [CrossRef] [PubMed]
- Sahoo, H. Fluorescent Labeling Techniques in Biomolecules: A Flashback. RSC Adv. 2012, 2, 7017. [Google Scholar] [CrossRef]
- Hermanson, G.T. Bioconjugate Techniques, 2nd ed.; Elsevier Science: Burlington, MA, USA, 2010; ISBN 978-0-12-370501-3. [Google Scholar]
- Fanali, G.; Di Masi, A.; Trezza, V.; Marino, M.; Fasano, M.; Ascenzi, P. Human Serum Albumin: From Bench to Bedside. Mol. Asp. Med. 2012, 33, 209–290. [Google Scholar] [CrossRef]
- Wysocki, L.M.; Lavis, L.D. Advances in the Chemistry of Small Molecule Fluorescent Probes. COCHBI 2011, 15, 752–759. [Google Scholar] [CrossRef] [PubMed]
- Parisio, G.; Marini, A.; Biancardi, A.; Ferrarini, A.; Mennucci, B. Polarity Sensitive Fluorescent Probes in Lipid Bilayers: Bridging Spectroscopic Behavior and Microenvironment Properties. J. Phys. Chem. B 2011, 115, 9980–9989. [Google Scholar] [CrossRef]
- Chapman, C.F.; Maroncelli, M. Fluorescence Studies of Solvation and Solvation Dynamics in Ionic Solutions. J. Phys. Chem. 1991, 95, 9095–9114. [Google Scholar] [CrossRef]
- Niko, Y.; Kawauchi, S.; Konishi, G. Solvatochromic Pyrene Analogues of Prodan Exhibiting Extremely High Fluorescence Quantum Yields in Apolar and Polar Solvents. Chem. Eur. J. 2013, 19, 9760–9765. [Google Scholar] [CrossRef]
- Thakur, R.; Das, A.; Chakraborty, A. Interaction of Human Serum Albumin with Liposomes of Saturated and Unsaturated Lipids with Different Phase Transition Temperatures: A Spectroscopic Investigation by Membrane Probe PRODAN. RSC Adv. 2014, 4, 14335–14347. [Google Scholar] [CrossRef]
- Krishnakumar, S.S.; Panda, D. Spatial Relationship between the Prodan Site, Trp-214, and Cys-34 Residues in Human Serum Albumin and Loss of Structure through Incremental Unfolding. Biochemistry 2002, 41, 7443–7452. [Google Scholar] [CrossRef]
- Chen, T.; Lee, S.W.; Abelt, C.J. 1,5-Prodan Emits from a Planar Intramolecular Charge-Transfer Excited State. ACS Omega 2018, 3, 4816–4823. [Google Scholar] [CrossRef]
- Zharkova, O.M.; Rakhimov, S.I.; Morozova, Y.P. Quantum-Chemical Investigation of the Spectral Properties of Fluorescent Probes Based on Naphthalene Derivatives (Prodan, Promen). Russ. Phys. J. 2013, 56, 411–419. [Google Scholar] [CrossRef]
- Nikitina, Y.Y.; Iqbal, E.S.; Yoon, H.J.; Abelt, C.J. Preferential Solvation in Carbonyl-Twisted PRODAN Derivatives. J. Phys. Chem. A 2013, 117, 9189–9195. [Google Scholar] [CrossRef] [PubMed]
- Prendergast, F.G.; Meyer, M.; Carlson, G.L.; Iida, S.; Potter, J.D. Synthesis, Spectral Properties, and Use of 6-Acryloyl-2-Dimethylaminonaphthalene (Acrylodan). A Thiol-Selective, Polarity-Sensitive Fluorescent Probe. J. Biol. Chem. 1983, 258, 7541–7544. [Google Scholar] [CrossRef] [PubMed]
- Kawski, A. Ground-and Excited-State Dipole Moments of 6-Propionyl-2-(Dimethylamino) Naphthalene Determined from Solvatochromic Shifts. Zeit. Naturforsch. A 1999, 54, 379–381. [Google Scholar] [CrossRef]
- Chalovich, J.M.; Lutz, E.; Baxley, T.; Schroeter, M.M. Acrylodan-Labeled Smooth Muscle Tropomyosin Reports Differences in the Effects of Troponin and Caldesmon in the Transition from the Active State to the Inactive State. Biochemistry 2011, 50, 6093–6101. [Google Scholar] [CrossRef][Green Version]
- Hickey, J.M.; Sahni, N.; Chaudhuri, R.; D’Souza, A.; Metters, A.; Joshi, S.B.; Russell Middaugh, C.; Volkin, D.B. Effect of Acrylodan Conjugation and Forced Oxidation on the Structural Integrity, Conformational Stability, and Binding Activity of a Glucose Binding Protein SM4 Used in a Prototype Continuous Glucose Monitor. Prot. Sci. 2017, 26, 527–535. [Google Scholar] [CrossRef]
- Allert, M.J.; Hellinga, H.W. Discovery of Thermostable, Fluorescently Responsive Glucose Biosensors by Structure-Assisted Function Extrapolation. Biochemistry 2022, 61, 276–293. [Google Scholar] [CrossRef]
- Hibbs, R.E.; Talley, T.T.; Taylor, P. Acrylodan-Conjugated Cysteine Side Chains Reveal Conformational State and Ligand Site Locations of the Acetylcholine-Binding Protein. J. Biol. Chem. 2004, 279, 28483–28491. [Google Scholar] [CrossRef]
- Fruen, B.R.; Balog, E.M.; Schafer, J.; Nitu, F.R.; Thomas, D.D.; Cornea, R.L. Direct Detection of Calmodulin Tuning by Ryanodine Receptor Channel Targets Using a Ca 2+ -Sensitive Acrylodan-Labeled Calmodulin. Biochemistry 2005, 44, 278–284. [Google Scholar] [CrossRef]
- Simard, J.R.; Kamp, F.; Hamilton, J.A. Acrylodan-Labeled Intestinal Fatty Acid-Binding Protein to Measure Concentrations of Unbound Fatty Acids. In Methods in Membrane Lipids; Dopico, A.M., Ed.; Methods in Molecular Biology; Humana Press: Totowa, NJ, USA, 2007; Volume 400, pp. 27–43. ISBN 978-1-58829-662-7. [Google Scholar]
- Lutz, E.; Schroeter, M.M.; Baxley, T.; Chalovich, J.M. Kinetics of Smooth Muscle Acrylodan-Tropomyosin Transitions on Actin. Biophys. J. 2011, 100, 113a–114a. [Google Scholar] [CrossRef]
- Kivi, R.; Loog, M.; Jemth, P.; Järv, J. Kinetics of Acrylodan-Labelled cAMP-Dependent Protein Kinase Catalytic Subunit Denaturation. Protein J. 2013, 32, 519–525. [Google Scholar] [CrossRef] [PubMed]
- Flora, K.; Brennan, J.D.; Baker, G.A.; Doody, M.A.; Bright, F.V. Unfolding of Acrylodan-Labeled Human Serum Albumin Probed by Steady-State and Time-Resolved Fluorescence Methods. Biophys. J. 1998, 75, 1084–1096. [Google Scholar] [CrossRef] [PubMed]
- Tayyab, S.; Siddiqui, M.U.; Ahmad, N. Experimental Determination of the Free Energy of Unfolding of Proteins. Biochem. Ed. 1995, 23, 162–164. [Google Scholar] [CrossRef]
- Lakowicz, J.R. Principles of Fluorescence Spectroscopy; Springer US: Boston, MA, USA, 1999; ISBN 978-1-4757-3063-0. [Google Scholar]
- Wang, R.; Sun, S.; Bekos, E.J.; Bright, F.V. Dynamics Surrounding Cys-34 in Native, Chemically Denatured, and Silica-Adsorbed Bovine Serum Albumin. Anal. Chem. 1995, 67, 149–159. [Google Scholar] [CrossRef]
- Kamal, J.K.; Zhao, L.; Zewail, A.H. Ultrafast Hydration Dynamics in Protein Unfolding: Human Serum Albumin. Proc. Natl. Acad. Sci. USA 2004, 101, 13411–13416. [Google Scholar] [CrossRef]
- Horner, L.; Hallenbach, W.; Vogt, M. Chemie an Starren Grenzflächen, 11. Aerosile Mit Kovalent Beweglich Und Starr Verknüpften Fluoreszenzträgern / Chemistry on Rigid Surfaces, 11. Aerosils with Covalently Movable and Rigid Linked Fluorophors. Zeit. Naturforsch. B 1989, 44, 225–232. [Google Scholar] [CrossRef]
- Kulinkovich, O.G.; Sviridov, S.V.; Vasilevski, D.A. Titanium(IV) Isopropoxide-Catalyzed Formation of 1-Substituted Cyclopropanols in the Reaction of Ethylmagnesium Bromide with Methyl Alkanecarboxylates. Synthesis 1991, 1991, 234. [Google Scholar] [CrossRef]
- Reichardt, C.; Welton, T. Solvents and Solvent Effects in Organic Chemistry; Wiley-VCH Verlag GmbH: Weinheim, Germany, 2011. [Google Scholar]
- Catalán, J.; Díaz, C. A Generalized Solvent Acidity Scale: The Solvatochromism of o-tert-Butylstilbazolium Betaine Dye and Its Homomorph o, o′-Di-tert-butylstilbazolium Betaine Dye. Liebigs Ann. Chem. 1997, 1997, 1941–1949. [Google Scholar] [CrossRef]
- Silvonek, S.S.; Giller, C.B.; Abelt, C.J. Alternate Syntheses of Prodan and Acrylodan. Org. Prep. Proced. Int. 2005, 37, 589–594. [Google Scholar] [CrossRef]
- Evans, D.A.; Borg, G.; Scheidt, K.A. Remarkably Stable Tetrahedral Intermediates: Carbinols from Nucleophilic Additions to N-Acylpyrroles. Angew. Chem. Int. Ed. 2002, 41, 3188–3191. [Google Scholar] [CrossRef]
- Moreno, F.; Cortijo, M.; González-Jiménez, J. Interaction of Acrylodan with Human Serum Albumin. A Fluorescence Spectroscopic Study. Photochem. Photobiol. 1999, 70, 695–700. [Google Scholar] [CrossRef]
- Petersen, C.E.; Ha, C.-E.; Harohalli, K.; Feix, J.B.; Bhagavan, N.V. A Dynamic Model for Bilirubin Binding to Human Serum Albumin. J. Biol. Chem. 2000, 275, 20985–20995. [Google Scholar] [CrossRef]











| λabs (EtOH) nm | λem (Tol) nm | λem (iPrOH) nm | Slope λem−1 vs. ET(30) | Φ (tol) | Φ (iPrOH) | Slope log(Io/I) vs. SA | |
|---|---|---|---|---|---|---|---|
| 1,5-Acrylodan | 308 | 573 | 651 | −137 | 0.26 | 0.002 | 2.94 |
| 1,5-Prodan | 332 | 544 | 636 | −169 | 0.44 | 0.021 | 2.48 |
Disclaimer/Publisher’s Note: The statements, opinions and data contained in all publications are solely those of the individual author(s) and contributor(s) and not of MDPI and/or the editor(s). MDPI and/or the editor(s) disclaim responsibility for any injury to people or property resulting from any ideas, methods, instructions or products referred to in the content. |
© 2024 by the authors. Licensee MDPI, Basel, Switzerland. This article is an open access article distributed under the terms and conditions of the Creative Commons Attribution (CC BY) license (https://creativecommons.org/licenses/by/4.0/).
Share and Cite
Morrin, J.; Petitt, M.; Abelt, C. 1,5-Acrylodan: A Fluorescent Bioconjugate Sensor of Protic Environments. Organics 2024, 5, 493-506. https://doi.org/10.3390/org5040026
Morrin J, Petitt M, Abelt C. 1,5-Acrylodan: A Fluorescent Bioconjugate Sensor of Protic Environments. Organics. 2024; 5(4):493-506. https://doi.org/10.3390/org5040026
Chicago/Turabian StyleMorrin, Jake, Matthew Petitt, and Christopher Abelt. 2024. "1,5-Acrylodan: A Fluorescent Bioconjugate Sensor of Protic Environments" Organics 5, no. 4: 493-506. https://doi.org/10.3390/org5040026
APA StyleMorrin, J., Petitt, M., & Abelt, C. (2024). 1,5-Acrylodan: A Fluorescent Bioconjugate Sensor of Protic Environments. Organics, 5(4), 493-506. https://doi.org/10.3390/org5040026

