The Interplay Between Vitamin D Deficiency, Iron Status, and Anemia Risk in Moroccan Women of Reproductive Age: A Cross-Sectional Analysis
Abstract
1. Introduction
2. Materials and Methods
2.1. Study Design and Population
2.2. Measurements
2.2.1. Socio-Demographic and Anthropometric Measurements
2.2.2. Lifestyle Factors
Nutrient Intakes Estimate
Sun Exposure Behaviors
Physical Activity Assessment
Laboratory Assessment
Biomarkers Cut-Off Points Definition
2.3. Statistical Analysis
2.3.1. Logistic Regression
2.3.2. ROC Analysis
3. Results
4. Discussion
5. Conclusions
Supplementary Materials
Author Contributions
Funding
Institutional Review Board Statement
Informed Consent Statement
Data Availability Statement
Conflicts of Interest
References
- Kinyoki, D.; Osgood-Zimmerman, A.E.; Bhattacharjee, N.V.; Local Burden of Disease Anaemia Collaborators; Schaeffer, L.E.; Lazzar-Atwood, A.; Lu, D.; Ewald, S.B.; Donkers, K.M.; Letourneau, I.D.; et al. Anemia Prevalence in Women of Reproductive Age in Low- and Middle-Income Countries between 2000 and 2018. Nat. Med. 2021, 27, 1761–1782. [Google Scholar] [CrossRef] [PubMed]
- Cui, A.; Zhang, T.; Xiao, P.; Fan, Z.; Wang, H.; Zhuang, Y. Global and Regional Prevalence of Vitamin D Deficiency in Population-Based Studies from 2000 to 2022: A Pooled Analysis of 7.9 Million Participants. Front. Nutr. 2023, 10, 1070808. [Google Scholar] [CrossRef] [PubMed]
- Horton, S.; Ross, J. The Economics of Iron Deficiency. Food Policy 2003, 28, 51–75. [Google Scholar] [CrossRef]
- Heath, A.; Kim, I.; Hodge, A.; English, D.; Muller, D. Vitamin D Status and Mortality: A Systematic Review of Observational Studies. Int. J. Environ. Res. Public Health 2019, 16, 383. [Google Scholar] [CrossRef]
- Liu, Z.; Sun, R.; Li, J.; Cheng, W.; Li, L. Relations of Anemia With the All-Cause Mortality and Cardiovascular Mortality in General Population: A Meta-Analysis. Am. J. Med. Sci. 2019, 358, 191–199. [Google Scholar] [CrossRef]
- Wagner, C.L.; Hollis, B.W. The Implications of Vitamin D Status During Pregnancy on Mother and Her Developing Child. Front. Endocrinol. 2018, 9, 500. [Google Scholar] [CrossRef]
- Smith, E.R.; Shankar, A.H.; Wu, L.S.-F.; Aboud, S.; Adu-Afarwuah, S.; Ali, H.; Agustina, R.; Arifeen, S.; Ashorn, P.; Bhutta, Z.A.; et al. Modifiers of the Effect of Maternal Multiple Micronutrient Supplementation on Stillbirth, Birth Outcomes, and Infant Mortality: A Meta-Analysis of Individual Patient Data from 17 Randomised Trials in Low-Income and Middle-Income Countries. Lancet Glob. Health 2017, 5, e1090–e1100. [Google Scholar] [CrossRef] [PubMed]
- WHO. Haemoglobin Concentrations for the Diagnosis of Anaemia and Assessment of Severity. Vitamin and Mineral Nutrition Information System. Geneva, World Health Organization, 2011 (WHO/NMH/NHD/MNM/11.1). Available online: https://iris.who.int/bitstream/handle/10665/85839/WHO_NMH_NHD_MNM_11.1_eng.pdf?sequence=22&isAllowed=y (accessed on 22 May 2021).
- WHO. Global Nutrition Targets 2025: Anaemia Policy Brief (WHO/NMH/NHD/14.4); World Health Organization: Geneva, Switzerland, 2014. [Google Scholar]
- World Health Organization. Nutritional Anaemias: Tools for Effective Prevention and Control; World Health Organization: Geneva, Switzerland, 2017; ISBN 978-92-4-151306-7. [Google Scholar]
- Bills, C.E. The Chemistry of Vitamin D. J. Am. Med. Assoc. 1938, 110, 2150. [Google Scholar] [CrossRef]
- Pilz, S.; März, W.; Cashman, K.D.; Kiely, M.E.; Whiting, S.J.; Holick, M.F.; Grant, W.B.; Pludowski, P.; Hiligsmann, M.; Trummer, C.; et al. Rationale and Plan for Vitamin D Food Fortification: A Review and Guidance Paper. Front. Endocrinol. 2018, 9, 373. [Google Scholar] [CrossRef]
- Roseland, J.M.; Phillips, K.M.; Patterson, K.Y.; Pehrsson, P.R.; Taylor, C.L. Vitamin D in Foods. In Vitamin D; Elsevier: Amsterdam, The Netherlands, 2018; pp. 41–77. ISBN 978-0-12-809963-6. [Google Scholar]
- Fleet, J.C.; Shapses, S.A. Vitamin D. In Present Knowledge in Nutrition; Elsevier: Amsterdam, The Netherlands, 2020; pp. 93–114. ISBN 978-0-323-66162-1. [Google Scholar]
- Dimitrov, V.; Barbier, C.; Ismailova, A.; Wang, Y.; Dmowski, K.; Salehi-Tabar, R.; Memari, B.; Groulx-Boivin, E.; White, J.H. Vitamin D-Regulated Gene Expression Profiles: Species-Specificity and Cell-Specific Effects on Metabolism and Immunity. Endocrinology 2021, 162, bqaa218. [Google Scholar] [CrossRef]
- Ciepiela, P.; Dulęba, A.J.; Kowaleczko, E.; Chełstowski, K.; Kurzawa, R. Vitamin D as a Follicular Marker of Human Oocyte Quality and a Serum Marker of in Vitro Fertilization Outcome. J. Assist. Reprod. Genet. 2018, 35, 1265–1276. [Google Scholar] [CrossRef] [PubMed]
- Pérez-Fernandez, R.; Alonso, M.; Segura, C.; Muñoz, I.; Garcia-Caballero, T.; Diéguez, C. Vitamin D Receptor Gene Expression in Human Pituitary Gland. Life Sci. 1996, 60, 35–42. [Google Scholar] [CrossRef] [PubMed]
- Aucella, F.; Scalzulli, R.P.; Gatta, G.; Vigilante, M.; Carella, A.M.; Stallone, C. Calcitriol Increases Burst-Forming Unit-Erythroid Proliferation in Chronic Renal Failure. Nephron Clin. Pract. 2004, 95, c121–c127. [Google Scholar] [CrossRef] [PubMed]
- Alon, D.B.; Chaimovitz, C.; Dvilansky, A.; Lugassy, G.; Douvdevani, A.; Shany, S.; Nathan, I. Novel Role of 1,25(OH)(2)D(3) in Induction of Erythroid Progenitor Cell Proliferation. Exp. Hematol. 2002, 30, 403–409. [Google Scholar] [CrossRef]
- Norman, A.W. Vitamin D Receptor: New Assignments for an Already Busy Receptor. Endocrinology 2006, 147, 5542–5548. [Google Scholar] [CrossRef]
- Bacchetta, J.; Zaritsky, J.J.; Sea, J.L.; Chun, R.F.; Lisse, T.S.; Zavala, K.; Nayak, A.; Wesseling-Perry, K.; Westerman, M.; Hollis, B.W.; et al. Suppression of Iron-Regulatory Hepcidin by Vitamin D. J. Am. Soc. Nephrol. 2014, 25, 564–572. [Google Scholar] [CrossRef]
- Zughaier, S.M.; Alvarez, J.A.; Sloan, J.H.; Konrad, R.J.; Tangpricha, V. The Role of Vitamin D in Regulating the Iron-Hepcidin-Ferroportin Axis in Monocytes. J. Clin. Transl. Endocrinol. 2014, 1, e19–e25. [Google Scholar] [CrossRef] [PubMed]
- Ganz, T.; Nemeth, E. Hepcidin and Iron Homeostasis. Biochim. Biophys. Acta BBA Mol. Cell Res. 2012, 1823, 1434–1443. [Google Scholar] [CrossRef]
- Smith, E.M.; Tangpricha, V. Vitamin D and Anemia: Insights into an Emerging Association. Curr. Opin. Endocrinol. Diabetes Obes. 2015, 22, 432–438. [Google Scholar] [CrossRef]
- Malczewska-Lenczowska, J.; Sitkowski, D.; Surała, O.; Orysiak, J.; Szczepańska, B.; Witek, K. The Association between Iron and Vitamin D Status in Female Elite Athletes. Nutrients 2018, 10, 167. [Google Scholar] [CrossRef]
- Sim, J.J.; Lac, P.T.; Liu, I.L.A.; Meguerditchian, S.O.; Kumar, V.A.; Kujubu, D.A.; Rasgon, S.A. Vitamin D Deficiency and Anemia: A Cross-Sectional Study. Ann. Hematol. 2010, 89, 447–452. [Google Scholar] [CrossRef] [PubMed]
- Liu, T.; Zhong, S.; Liu, L.; Liu, S.; Li, X.; Zhou, T.; Zhang, J. Vitamin D Deficiency and the Risk of Anemia: A Meta-Analysis of Observational Studies. Ren. Fail. 2015, 37, 929–934. [Google Scholar] [CrossRef] [PubMed]
- Blanco-Rojo, R.; Pérez-Granados, A.M.; Toxqui, L.; Zazo, P.; De La Piedra, C.; Vaquero, M.P. Relationship between Vitamin D Deficiency, Bone Remodelling and Iron Status in Iron-Deficient Young Women Consuming an Iron-Fortified Food. Eur. J. Nutr. 2013, 52, 695–703. [Google Scholar] [CrossRef] [PubMed]
- Mogire, R.M.; Muriuki, J.M.; Morovat, A.; Mentzer, A.J.; Webb, E.L.; Kimita, W.; Ndungu, F.M.; Macharia, A.W.; Cutland, C.L.; Sirima, S.B.; et al. Vitamin D Deficiency and Its Association with Iron Deficiency in African Children. Nutrients 2022, 14, 1372. [Google Scholar] [CrossRef] [PubMed]
- Soepnel, L.M.; Mabetha, K.; Draper, C.E.; Silubonde, T.M.; Smuts, C.M.; Pettifor, J.M.; Norris, S.A. A Cross-Sectional Study of the Associations between Biomarkers of Vitamin D, Iron Status, and Hemoglobin in South African Women of Reproductive Age: The Healthy Life Trajectories Initiative, South Africa. Curr. Dev. Nutr. 2023, 7, 100072. [Google Scholar] [CrossRef] [PubMed]
- Arabi, S.M.; Ranjbar, G.; Bahrami, L.S.; Vafa, M.; Norouzy, A. The Effect of Vitamin D Supplementation on Hemoglobin Concentration: A Systematic Review and Meta-Analysis. Nutr. J. 2020, 19, 11. [Google Scholar] [CrossRef]
- Azizi-Soleiman, F.; Vafa, M.; Abiri, B.; Safavi, M. Effects of Iron on Vitamin D Metabolism: A Systematic Review. Int. J. Prev. Med. 2016, 7, 126. [Google Scholar] [CrossRef] [PubMed]
- Toxqui, L.; Pérez-Granados, A.M.; Blanco-Rojo, R.; Wright, I.; González-Vizcayno, C.; Vaquero, M.P. Effects of an Iron or Iron and Vitamin D–Fortified Flavored Skim Milk on Iron Metabolism: A Randomized Controlled Double-Blind Trial in Iron-Deficient Women. J. Am. Coll. Nutr. 2013, 32, 312–320. [Google Scholar] [CrossRef]
- Heldenberg, D.; Tenenbaum, G.; Weisman, Y. Effect of Iron on Serum 25-Hydroxyvitamin D and 24,25-Dihydroxyvitamin D Concentrations. Am. J. Clin. Nutr. 1992, 56, 533–536. [Google Scholar] [CrossRef]
- Holick, M.F. Vitamin D Deficiency. N. Engl. J. Med. 2007, 357, 266–281. [Google Scholar] [CrossRef]
- Holick, M.F. The Vitamin D Deficiency Pandemic: Approaches for Diagnosis, Treatment and Prevention. Rev. Endocr. Metab. Disord. 2017, 18, 153–165. [Google Scholar] [CrossRef] [PubMed]
- Cardarelli, R.; Koranchelian, T.; Internationaler Währungsfonds (Eds.) Morocco’s Quest for Stronger and Inclusive Growth. International Monetary Fund: Washington, DC, USA, 2023; ISBN 9798400225406. [Google Scholar]
- Mogire, R.M.; Mutua, A.; Kimita, W.; Kamau, A.; Bejon, P.; Pettifor, J.M.; Adeyemo, A.; Williams, T.N.; Atkinson, S.H. Prevalence of Vitamin D Deficiency in Africa: A Systematic Review and Meta-Analysis. Lancet Glob. Health 2020, 8, e134–e142. [Google Scholar] [CrossRef]
- Loudyi, F.M.; Kassouati, J.; Kabiri, M.; Chahid, N.; Kharbach, A.; Aguenaou, H.; Barkat, A. Vitamin D Status in Moroccan Pregnant Women and Newborns: Reports of 102 Cases. Pan Afr. Med. J. 2016, 24, 170. [Google Scholar] [CrossRef]
- Benjeddou, K.; Qandoussi, L.; Mekkaoui, B.; Rabi, B.; El Hamdouchi, A.; Raji, F.; Saeid, N.; Belghiti, H.; Elkari, K.; Aguenaou, H. Effect of Multiple Micronutrient Fortified Milk Consumption on Vitamin D Status among School-Aged Children in Rural Region of Morocco. Appl. Physiol. Nutr. Metab. 2019, 44, 461–467. [Google Scholar] [CrossRef] [PubMed]
- El Maataoui, A.; Biaz, A.; El Machtani, S.; Bouhsain, S.; Dami, A.; El Maghraoui, A.; Ouzzif, Z. Vitamin D Status in Healthy Moroccan Men and Women Aged 50 Years and Older: A Cross-Sectional Study. Arch. Osteoporos. 2016, 11, 24. [Google Scholar] [CrossRef]
- Allali, F.; El Aichaoui, S.; Khazani, H.; Benyahia, B.; Saoud, B.; El Kabbaj, S.; Bahiri, R.; Abouqal, R.; Hajjaj-Hassouni, N. High Prevalence of Hypovitaminosis D in Morocco: Relationship to Lifestyle, Physical Performance, Bone Markers, and Bone Mineral Density. Semin. Arthritis Rheum. 2009, 38, 444–451. [Google Scholar] [CrossRef] [PubMed]
- Sebbari, F.; Khallouki, F.; Salamatullah, A.M.; Bourhia, M.; Metouekel, A.; El Bouhali, B. Assessment of Vitamin D Status in the Drâa-Tafilalet Population (Morocco) Based on Sociodemographic, Health, and Nutritional Factors. Nutrients 2024, 16, 2118. [Google Scholar] [CrossRef]
- Ibn Yacoub, Y.; Amine, B.; Laatiris, A.; Wafki, F.; Znat, F.; Hajjaj-Hassouni, N. Bone Density in Moroccan Women with Systemic Scleroderma and Its Relationships with Disease-Related Parameters and Vitamin D Status. Rheumatol. Int. 2012, 32, 3143–3148. [Google Scholar] [CrossRef]
- El Maghraoui, A.; Ouzzif, Z.; Mounach, A.; Rezqi, A.; Achemlal, L.; Bezza, A.; Tellal, S.; Dehhaoui, M.; Ghozlani, I. Hypovitaminosis D and Prevalent Asymptomatic Vertebral Fractures in Moroccan Postmenopausal Women. BMC Women’s Health 2012, 12, 11. [Google Scholar] [CrossRef]
- Hmamouchi, I.; Allali, F.; El Handaoui, B.; Amine, H.; Rostom, S.; Abouqal, R.; Hajjaj-Hassouni, N. The Relation between Disease Activity, Vitamin D Levels and Bone Mineral Density in Men Patients with Ankylosing Spondylitis. Rheumatol. Rep. 2013, 5, 3. [Google Scholar] [CrossRef]
- Baki, S.; El Mghari, G.; El Ansari, N.; Harkati, I.; Tali, A.; Chabaa, L. Statut de la vitamine de la vitamine D chez les femmes marocaines vivant a Marrakech. Ann. Endocrinol. 2015, 76, 490. [Google Scholar] [CrossRef]
- Dadda, S.; El Houate, B.; El Bouhali, B. Multifactorial Hypovitaminosis D among Women in the South-East Oases of Morocco. Arch. Osteoporos. 2022, 18, 14. [Google Scholar] [CrossRef] [PubMed]
- Zouine, N.; Lhilali, I.; Menouni, A.; Godderis, L.; El Midaoui, A.; El Jaafari, S.; Zegzouti Filali, Y. Development and Validation of Vitamin D- Food Frequency Questionnaire for Moroccan Women of Reproductive Age: Use of the Sun Exposure Score and the Method of Triad’s Model. Nutrients 2023, 15, 796. [Google Scholar] [CrossRef] [PubMed]
- Lhilali, I.; Zouine, N.; Godderis, L.; El Midaoui, A.; El Jaafari, S.; Filali-Zegzouti, Y. Relationship between Vitamin D Insufficiency, Lipid Profile and Atherogenic Indices in Healthy Women Aged 18–50 Years. Eur. J. Investig. Health Psychol. Educ. 2024, 14, 2337–2357. [Google Scholar] [CrossRef]
- PNN, Enquête Nationale sur la Nutrition, Diversité Alimentaire, Carence en Fer, Carence en Vitamine A, Carence en Iode. 2019. Available online: https://www.sante.gov.ma/Documents/2022/07/rapport%20ENN%202019-2020%20ajout%20preface%20(1).pdf (accessed on 2 January 2022).
- Dadda, S.; Azekour, K.; Sebbari, F.; El Houate, B.; El Bouhali, B. Sun Exposure, Dressing Habits, and Vitamin D Status in Morocco. E3S Web Conf. 2021, 319, 01097. [Google Scholar] [CrossRef]
- Mehdad, S.; Belghiti, H.; Zahrou, F.E.; Guerinech, H.; Mouzouni, F.Z.; El Hajjab, A.; El Berri, H.; El Ammari, L.; Benaich, S.; Benkirane, H.; et al. Vitamin D Status and Its Relationship with Obesity Indicators in Moroccan Adult Women. Nutr. Health 2022, 29, 2601060221094376. [Google Scholar] [CrossRef]
- Derbel, S.; Zarraa, L.; Assarrar, I.; Bouichrat, N.; Rouf, S.; Latrech, H. Assessment of Vitamin D Status in Obese and Non-Obese Patients: A Case-Control Study. Diabetes Epidemiol. Manag. 2025, 17, 100237. [Google Scholar] [CrossRef]
- Lhilali, I.; Zouine, N.; Menouni, A.; Godderis, L.; Kestemont, M.-P.; El Midaoui, A.; El Jaafari, S.; Filali-Zegzouti, Y. Sun Exposure Score and Vitamin D Levels in Moroccan Women of Childbearing Age. Nutrients 2023, 15, 688. [Google Scholar] [CrossRef]
- Webb, A.R.; Kline, L.; Holick, M.F. Influence of Season and Latitude on the Cutaneous Synthesis of Vitamin D3: Exposure to Winter Sunlight in Boston and Edmonton Will Not Promote Vitamin D3 Synthesis in Human Skin. J. Clin. Endocrinol. Metab. 1988, 67, 373–378. [Google Scholar] [CrossRef]
- Royaume du Maroc. Ministère de la Santé. Direction de la Population. Lutte Contre Les Troubles Dus Aux Carences en Micronutriments: Manuel à L’Usage Des Professionnels de Santé. 2008. Available online: http://www.abhatoo.net.ma/maalama-textuelle/developpement-economique-et-social/developpement-social/sante/sante-publique/lutte-contre-les-troubles-dus-aux-carences-en-micronutriments-manuel-a-l-usage-des-professionnels-de-sante-2008 (accessed on 13 February 2018).
- Programme National de Nutrition. Available online: https://www.sante.gov.ma/Documents/2019/06/Programme%20National%20de%20Nutrition.pdf (accessed on 21 April 2021).
- Glenn, D. Israel. Determining Sample Size 1. University of Florida IFAS Extension. 2012, pp. 1–5. Available online: http://Edis.Ifas.Ufl.Edu (accessed on 12 January 2021).
- Chaparro, C.M.; Suchdev, P.S. Anemia Epidemiology, Pathophysiology, and Etiology in Low- and Middle-Income Countries. Ann. N. Y. Acad. Sci. 2019, 1450, 15–31. [Google Scholar] [CrossRef]
- Briguglio, M.; Hrelia, S.; Malaguti, M.; Lombardi, G.; Riso, P.; Porrini, M.; Perazzo, P.; Banfi, G. The Central Role of Iron in Human Nutrition: From Folk to Contemporary Medicine. Nutrients 2020, 12, 1761. [Google Scholar] [CrossRef] [PubMed]
- Wang, H.; Chen, W.; Li, D.; Yin, X.; Zhang, X.; Olsen, N.; Zheng, S.G. Vitamin D and Chronic Diseases. Aging Dis. 2017, 8, 346. [Google Scholar] [CrossRef] [PubMed]
- de Souza, S.S.; Camargos, A.F.; Ferreira, M.C.F.; de Assis Nunes Pereira, F.; de Rezende, C.P.; Araújo, C.A.A.; Silva Filho, A.L. Hemoglobin Levels Predict Quality of Life in Women with Heavy Menstrual Bleeding. Arch. Gynecol. Obstet. 2010, 281, 895–900. [Google Scholar] [CrossRef] [PubMed]
- Gröber, U.; Schmidt, J.; Kisters, K. Important Drug-Micronutrient Interactions: A Selection for Clinical Practice. Crit. Rev. Food Sci. Nutr. 2020, 60, 257–275. [Google Scholar] [CrossRef]
- Kalus, U.; Pruss, A.; Wodarra, J.; Kiesewetter, H.; Salama, A.; Radtke, H. Influence of Blood Donation on Levels of Water-soluble Vitamins. Transfus. Med. 2008, 18, 360–365. [Google Scholar] [CrossRef]
- WHO Consultation on Obesity (1997: Geneva, Switzerland) World Health Organization. Division of Noncommunicable Diseases & World Health Organization. Programme of Nutrition, Family and Reproductive Health. (1998) Obesity: Preventing and Managing the Global Epidemic: Report of a WHO Consultation on Obesity, Geneva, 3–5 June 1997. Available online: https://iris.who.int/handle/10665/63854 (accessed on 22 September 2018).
- Neve, J. Aliments et préparations typiques de la population Marocaine, outils pour estimer la consommation alimentaire. CIRIHA (The Information and Research Centre for Food Intolerances and Hygiene), 2008. Brussels, Belgium. Available online: http://www.ciriha.org/index.php/publications/outils-dietetique/product/7-aliments-et-preparations-typiques-de-la-population-marocaine (accessed on 15 April 2018).
- The French Agency for Food, Environmental and Occupationnal Health Safty (ANSES). Ciqual French Food Composition 2017; ANSES: Paris, France, 2017.
- U.S. Department of Agriculture. Agricultural Research Service USDA Food and Nutrient Database for Dietary Studies 2015–2016; U.S. Department of Agriculture: Washington, DC, USA, 2018.
- Skolmowska, D.; Głąbska, D. Analysis of Heme and Non-Heme Iron Intake and Iron Dietary Sources in Adolescent Menstruating Females in a National Polish Sample. Nutrients 2019, 11, 1049. [Google Scholar] [CrossRef]
- Pretorius, B.; Schönfeldt, H.C.; Hall, N. Total and Haem Iron Content Lean Meat Cuts and the Contribution to the Diet. Food Chem. 2016, 193, 97–101. [Google Scholar] [CrossRef]
- Willett, W.C.; Howe, G.R.; Kushi, L.H. Adjustment for Total Energy Intake in Epidemiologic Studies. Am. J. Clin. Nutr. 1997, 65, 1220S–1228S; discussion 1229S–1231S. [Google Scholar] [CrossRef]
- Food and Agriculture Organization (FAO); World Health Organization (WHO). Vitamin and Mineral Requirements in Human Nutrition, 2nd ed.; Weltgesundheitsorganisation: Geneva, Switzerland, 2004; ISBN 978-92-4-154612-6. [Google Scholar]
- Forde, C. Scoring the International Physical Activity Questionnaire (IPAQ); University of Dublin: Dublin, Ireland, 2018; p. 3. [Google Scholar]
- Craig, C.; Marshall, A.; Sjostrom, M.; Bauman, A.; Lee, P.; Macfarlane, D.; Lam, T.; Stewart, S. International physical activity questionnaire-short form. J. Am. Coll. Health 2017, 65, 492–501. [Google Scholar]
- World Health Organization. WHO Guideline on Use of Ferritin Concentrations to Assess Iron Status in Individuals and Populations; World Health Organization: Geneva, Switzerland, 2020; ISBN 978-92-4-000012-4. [Google Scholar]
- Bouillon, R.; Van Schoor, N.M.; Gielen, E.; Boonen, S.; Mathieu, C.; Vanderschueren, D.; Lips, P. Optimal Vitamin D Status: A Critical Analysis on the Basis of Evidence-Based Medicine. J. Clin. Endocrinol. Metab. 2013, 98, E1283–E1304. [Google Scholar] [CrossRef]
- Holick, M.F. Vitamin D Status: Measurement, Interpretation, and Clinical Application. Ann. Epidemiol. 2009, 19, 73–78. [Google Scholar] [CrossRef] [PubMed]
- Bouillon, R.; Manousaki, D.; Rosen, C.; Trajanoska, K.; Rivadeneira, F.; Richards, J.B. The Health Effects of Vitamin D Supplementation: Evidence from Human Studies. Nat. Rev. Endocrinol. 2022, 18, 96–110. [Google Scholar] [CrossRef] [PubMed]
- Levey, A.S. A More Accurate Method To Estimate Glomerular Filtration Rate from Serum Creatinine: A New Prediction Equation. Ann. Intern. Med. 1999, 130, 461. [Google Scholar] [CrossRef]
- Hosmer, D.W.; Lemeshow, S.; Sturdivant, R.X. Applied Logistic Regression, 1st ed.; Wiley Series in Probability and Statistics; Wiley: Hoboken, NJ, USA, 2013; ISBN 978-0-470-58247-3. [Google Scholar]
- Zhou, X.; Obuchowski, N.A.; McClish, D.K. Statistical Methods in Diagnostic Medicine, 1st ed.; Wiley Series in Probability and Statistics; Wiley: Hoboken, NJ, USA, 2011; ISBN 978-0-470-18314-4. [Google Scholar]
- Schober, P.; Boer, C.; Schwarte, L.A. Correlation Coefficients: Appropriate Use and Interpretation. Anesth. Analg. 2018, 126, 1763–1768. [Google Scholar] [CrossRef]
- Ouzennou, N.; Tikert, K.; Belkedim, G.; Jarhmouti, F.E. Prévalence et Déterminants Sociaux de l’Anémie Chez les Femmes Enceintes dans la Province d’Essaouira; Santé Publique: Rabat, Maroc, 2018; Volume 30, pp. 737–745. [Google Scholar] [CrossRef]
- Bakrim, S.; Hichou, N.E.; Driss, E.K.B.; Aboulaghras, S.; Balahbib, A.; Bouyahya, A.; Masrar, A. Prevalence of Anemia and Associated Factors in a Moroccan Population from the Northwestern Region of Morocco (M’diq-Fnideq-Martil Prefecture). Pan Afr. Med. J. 2023, 44, 131. [Google Scholar]
- Suh, Y.J.; Lee, J.E.; Lee, D.H.; Yi, H.G.; Lee, M.H.; Kim, C.S.; Nah, J.W.; Kim, S.K. Prevalence and Relationships of Iron Deficiency Anemia with Blood Cadmium and Vitamin D Levels in Korean Women. J. Korean Med. Sci. 2016, 31, 25. [Google Scholar] [CrossRef] [PubMed]
- Shin, J.Y.; Shim, J.Y. Low Vitamin D Levels Increase Anemia Risk in Korean Women. Clin. Chim. Acta 2013, 421, 177–180. [Google Scholar] [CrossRef]
- Seong, J.M.; Park, C.E.; Gi, M.Y.; Cha, J.A.; Moon, A.E.; Lee, J.H.; Sung, H.H.; Lim, J.H.; Oh, S.H.; Chung, C.H.; et al. Gender Difference in the Relationship between Anemia and Vitamin D in Korean Adults: The Fifth Korea National Health and Nutrition Examination Survey. J. Clin. Biochem. Nutr. 2021, 69, 299–304. [Google Scholar] [CrossRef]
- Braithwaite, V.; Crozier, S.; D’Angelo, S.; Prentice, A.; Cooper, C.; Harvey, N.; Jones, K.; The MAVIDOS Trial Group. The Effect of Vitamin D Supplementation on Hepcidin, Iron Status, and Inflammation in Pregnant Women in the United Kingdom. Nutrients 2019, 11, 190. [Google Scholar] [CrossRef]
- Pistis, K.D.; Westerberg, P.-A.; Qureshi, A.R.; Beshara, S.; Sterner, G.; Bárány, P.; Linde, T. The Effect of High-Dose Vitamin D Supplementation on Hepcidin-25 and Erythropoiesis in Patients with Chronic Kidney Disease. BMC Nephrol. 2023, 24, 20. [Google Scholar] [CrossRef]
- Thomas, C.E.; Guillet, R.; Queenan, R.A.; Cooper, E.M.; Kent, T.R.; Pressman, E.K.; Vermeylen, F.M.; Roberson, M.S.; O’Brien, K.O. Vitamin D Status Is Inversely Associated with Anemia and Serum Erythropoietin during Pregnancy. Am. J. Clin. Nutr. 2015, 102, 1088–1095. [Google Scholar] [CrossRef] [PubMed]
- Zhao, Y.; Mei, G.; Zhou, F.; Kong, B.; Chen, L.; Chen, H.; Wang, L.; Tang, Y.; Yao, P. Vitamin D Decreases Pancreatic Iron Overload in Type 2 Diabetes through the NF-κB-DMT1 Pathway. J. Nutr. Biochem. 2022, 99, 108870. [Google Scholar] [CrossRef]
- Shawki, A.; Knight, P.B.; Maliken, B.D.; Niespodzany, E.J.; Mackenzie, B. H+-Coupled Divalent Metal-Ion Transporter-1. In Current Topics in Membranes; Elsevier: Amsterdam, The Netherlands, 2012; Volume 70, pp. 169–214. ISBN 978-0-12-394316-3. [Google Scholar]
- Pike, J.W.; Meyer, M.B. The Vitamin D Receptor: New Paradigms for the Regulation of Gene Expression by 1,25-Dihydroxyvitamin D3. Endocrinol. Metab. Clin. N. Am. 2010, 39, 255–269. [Google Scholar] [CrossRef]
- Greenwood, A.; von Hurst, P.R.; Beck, K.L.; Mazahery, H.; Lim, K.; Badenhorst, C.E. Relationship between Vitamin D, Iron, and Hepcidin in Premenopausal Females, Potentially Confounded by Ethnicity. Eur. J. Nutr. 2023, 62, 3361–3368. [Google Scholar] [CrossRef]
- Michalski, E.S.; Nguyen, P.H.; Gonzalez-Casanova, I.; Nguyen, S.V.; Martorell, R.; Tangpricha, V.; Ramakrishnan, U. Serum 25-Hydroxyvitamin D but Not Dietary Vitamin D Intake Is Associated with Hemoglobin in Women of Reproductive Age in Rural Northern Vietnam. J. Clin. Transl. Endocrinol. 2017, 8, 41–48. [Google Scholar] [CrossRef]
- Zhang, Y.; Wang, X.; Wang, J.; Hu, W.; Song, X.; Yuan, D.; Yan, X. The Association between Standardized Serum 25-Hydroxyvitamin D Concentration and Risk of Anemia: A Population-Based Cross-Sectional Study. Int. J. Clin. Pract. 2022, 2022, 8384306. [Google Scholar] [CrossRef] [PubMed]
- Smith, E.M.; Alvarez, J.A.; Martin, G.S.; Zughaier, S.M.; Ziegler, T.R.; Tangpricha, V. Vitamin D Deficiency Is Associated with Anaemia among African Americans in a US Cohort. Br. J. Nutr. 2015, 113, 1732–1740. [Google Scholar] [CrossRef] [PubMed]
- Lavoie, A.; Lemire, M.; Lévesque, B.; Ayotte, P. Determinants of Iron Deficiency and Anemia among Nunavimmiut: Results from the Qanuilirpitaa? 2017 Nunavik Health Survey. Can. J. Public Health Rev. Can. Sante Publique 2024, 115, 152–167. [Google Scholar] [CrossRef] [PubMed]
- El-Adawy, E.H.; Zahran, F.E.; Shaker, G.A.; Seleem, A. Vitamin D Status in Egyptian Adolescent Females with Iron Deficiency Anemia and Its Correlation with Serum Iron Indices. Endocr. Metab. Immune Disord. Drug Targets 2019, 19, 519–525. [Google Scholar] [CrossRef]
- Alfhili, M.A.; Basudan, A.M.; Alfaifi, M.; Awan, Z.A.; Algethami, M.R.; Alsughayyir, J. Patterns of 25-Hydroxyvitamin D3, Calcium Status, and Anemia in the Saudi Population: A Cross-Sectional Study. Life 2022, 12, 2119. [Google Scholar] [CrossRef]
- Tadmouri, G.O.; Sastry, K.S.; Chouchane, L. Arab Gene Geography: From Population Diversities to Personalized Medical Genomics. Glob. Cardiol. Sci. Pract. 2014, 2014, 54. [Google Scholar] [CrossRef] [PubMed]
- Kang, W.; Barad, A.; Clark, A.G.; Wang, Y.; Lin, X.; Gu, Z.; O’Brien, K.O. Ethnic Differences in Iron Status. Adv. Nutr. 2021, 12, 1838–1853. [Google Scholar] [CrossRef] [PubMed]
- Hsu, S.; Hoofnagle, A.N.; Gupta, D.K.; Gutierrez, O.M.; Peralta, C.A.; Shea, S.; Allen, N.B.; Burke, G.; Michos, E.D.; Ix, J.H.; et al. Race, Ancestry, and Vitamin D Metabolism: The Multi-Ethnic Study of Atherosclerosis. J. Clin. Endocrinol. Metab. 2020, 105, e4337–e4350. [Google Scholar] [CrossRef]
- Dahmani, F.; Benkirane, S.; Kouzih, J.; Woumki, A.; Mamad, H.; Masrar, A. Profil Épidémiologique Des Hémoglobinopathies: Étude Autour Du Cas Index: Étude Transversale Descriptive. Pan Afr. Med. J. 2017, 27, 150. [Google Scholar] [CrossRef] [PubMed]
- Laghmich, A.; Alaoui Ismaili, F.Z.; Zian, Z.; Barakat, A.; Ghailani Nourouti, N.; Bennani Mechita, M. Hemoglobinopathies in the North of Morocco: Consanguinity Pilot Study. BioMed Res. Int. 2019, 2019, 6857417. [Google Scholar] [CrossRef]
- Alaoui-Ismaili, F.-Z.; Laghmich, A.; Ghailani-Nourouti, N.; Barakat, A.; Bennani-Mechita, M. Xmn I Polymorphism in Sickle Cell Disease in North Morocco. Hemoglobin 2020, 44, 190–194. [Google Scholar] [CrossRef]
- Bouillon, R. Vitamin D Status in Africa Is Worse than in Other Continents. Lancet Glob. Health 2020, 8, e20–e21. [Google Scholar] [CrossRef]
- Clemens, T.L.; Henderson, S.L.; Adams, J.S.; Holick, M.F. Increased Skin Pigment Reduces the Capacity of Skin to Synthesise Vitamin D3. Lancet 1982, 319, 74–76. [Google Scholar] [CrossRef] [PubMed]
- Alshwaiyat, N.; Ahmad, A.; Wan Hassan, W.M.R.; Al-jamal, H. Association between Obesity and Iron Deficiency (Review). Exp. Ther. Med. 2021, 22, 1268. [Google Scholar] [CrossRef]
- Wortsman, J.; Matsuoka, L.Y.; Chen, T.C.; Lu, Z.; Holick, M.F. Decreased Bioavailability of Vitamin D in Obesity. Am. J. Clin. Nutr. 2000, 72, 690–693. [Google Scholar] [CrossRef]
- Bustamante, M.; Hernandez-Ferrer, C.; Sarria, Y.; Harrison, G.I.; Nonell, L.; Kang, W.; Friedländer, M.R.; Estivill, X.; González, J.R.; Nieuwenhuijsen, M.; et al. The Acute Effects of Ultraviolet Radiation on the Blood Transcriptome Are Independent of Plasma 25OHD3. Environ. Res. 2017, 159, 239–248. [Google Scholar] [CrossRef] [PubMed]
- Damian, M.-T.; Vulturar, R.; Login, C.C.; Damian, L.; Chis, A.; Bojan, A. Anemia in Sports: A Narrative Review. Life 2021, 11, 987. [Google Scholar] [CrossRef]
- Haas, J.D.; Brownlie, T. Iron Deficiency and Reduced Work Capacity: A Critical Review of the Research to Determine a Causal Relationship. J. Nutr. 2001, 131, 676S–690S. [Google Scholar] [CrossRef]
- Kift, R.; Rhodes, L.E.; Farrar, M.D.; Webb, A.R. Is Sunlight Exposure Enough to Avoid Wintertime Vitamin D Deficiency in United Kingdom Population Groups? Int. J. Environ. Res. Public Health 2018, 15, 1624. [Google Scholar] [CrossRef]
- Bouillon, R. Comparative Analysis of Nutritional Guidelines for Vitamin D. Nat. Rev. Endocrinol. 2017, 13, 466–479. [Google Scholar] [CrossRef] [PubMed]
- Spiro, A.; Buttriss, J.L. Vitamin D: An Overview of Vitamin D Status and Intake in Europe. Nutr. Bull. 2014, 39, 322–350. [Google Scholar] [CrossRef] [PubMed]
- Benhammou, S.; Heras-González, L.; Ibáñez-Peinado, D.; Barceló, C.; Hamdan, M.; Rivas, A.; Mariscal-Arcas, M.; Olea-Serrano, F.; Monteagudo, C. Comparison of Mediterranean Diet Compliance between European and Non-European Populations in the Mediterranean Basin. Appetite 2016, 107, 521–526. [Google Scholar] [CrossRef]
- Barich, F.; Laamiri, F.Z.; Benaich, S.; Serbouti, C.; Rami, A.; El, H.; Benkirane, H.; Kari, K.E.; Barkat, A.; Rjimati, E.A.; et al. Nutritional Status of Reproductive Age Women Living in the Urban Area of Morocco. Agric. Food Sci. Med. 2019, 6, 476–483. [Google Scholar]
- Mziwira, M.; El Ayachi, M.; Belahsen, R.; Lairon, D. INSERM, UMR476, «Nutriments Lipidiques et Prévention des Maladies Métaboliques»; INRA 1260; Univ Aix-Marseille 1 & 2, Faculté de Médecine, IPHMIFR 125, Marseille, F-13385 France Dietary Habits of a Mediterranean Population of Women in an Agricultural Region of Morocco. Afr. J. Food Agric. Nutr. Dev. 2015, 15, 9807–9825. [Google Scholar] [CrossRef]
- Hurrell, R.; Egli, I. Iron Bioavailability and Dietary Reference Values. Am. J. Clin. Nutr. 2010, 91, 1461S–1467S. [Google Scholar] [CrossRef]



| Characteristics | All Participants (n = 463) | Anemic (n = 108) | Non Anemic (n = 355) | p-Value 1 |
|---|---|---|---|---|
| Median (IQR) or n (%) | ||||
| Anemia status (HB < 12 g/dL) | 463 (100) | 108(23.3) | 355(76.6) | <0.001 |
| Socio-demographic characteristics: | ||||
| Age, years | 29.0 (11.0) | 28.0 (10.0) | 29.0 (11.0) | 0.639 |
| Education | ||||
| Illiterate | 84 (18.1) | 20 (18.5) | 64 (18.0) | |
| ≤10 years (secondary, college) | 222 (47.9) | 56 (51.9) | 166 (46.8) | |
| ≥11 years (university or higher) | 157 (33.9) | 32 (29.6) | 125 (35.2) | 0.259 |
| Localization | ||||
| Urban | 299 (64.6) | 60 (55.6) | 239 (67.3) | |
| Rural | 164 (35.4) | 48 (44.4) | 116 (32.7) | 0.025 |
| Anthropometric measures | ||||
| BMI, kg/m2 | 26.5 (6.4) | 27.6 (7.0) | 25.8 (6.9) | 0.001 |
| BMI classification | ||||
| Underweight (<18 kg/m2) | 6 (1.3) | 1 (0.9) | 5 (1.4) | |
| Normal (<25 kg/m2) | 173 (37.4) | 29 (26.9) | 144 (40.6) | 0.024 |
| Overweight (25 to <30 kg/m2) | 176 (38.0) | 43 (39.8) | 133 (37.5) | |
| Obesity (≥30 kg/m2) | 108 (23.3) | 35 (32.4) | 73 (20.6) | |
| Lifestyle factors; | ||||
| PAC score, MET min/week | 1597.6 (1892.4) | 1358.4 (1178.8) | 1778.2 (1765.0) | <0.0001 |
| PAC levels (%) | <0.0001 | |||
| Low | 53 (11.5) | 29 (12.3) | 24 (6.8) | |
| Moderate | 373 (80.7) | 75 (86.4) | 298 (83.9) | |
| High | 36 (7.8) | 3 (2.8) | 33 (9.3) | |
| Dietary intake | ||||
| Energy, kcal/day | 1678.4 (651.3) | 1748.1 (758.3) | 1652.6 (596.8) | 0.295 |
| Vitamin D intake, µg/day | 2.7 (2.74) | 2.3 (2.3) | 2.8 (2.76) | 0.035 |
| Vitamin D intake categories | ||||
| Low (<5 µg/day) | 376 (81.2) | 91 (84.3) | 285 (80.3) | |
| Adequate (≥5 µg/day) | 87 (18.8) | 17 (15.7) | 70 (19.7) | 0.352 |
| Iron intake, mg/day | 11.4 (6.1) | 9.2 (6.4) | 11.5 (5.1) | 0.011 |
| Iron intake categories | ||||
| Low (<58.8 mg/day) | 463 (100) | 108 (23.3) | 355 (76.7) | - |
| Adequate (≥58.8 mg/day) | 0 (0.0) | 0 (0.0) | 0 (0.0) | |
| Heminic iron intake, mg/day | 0.5 (0.2) | 0.4 (0.3) | 0.5 (0.2) | 0.051 |
| Non-Heminic iron intake, mg/day | 11.0 (5.3) | 8.4 (6.5) | 10.1 (5.1) | 0.012 |
| Sun exposure behaviors | ||||
| Sunscore (SES), median (IQR) | 15.5 (8.5) | 14.4 (6.9) | 15.9 (10.5) | 0.060 |
| Sunscore categories (%) | ||||
| Insufficient–Moderate | 247 (53.3) | 60 (55.6) | 156 (43.9) | 0.034 |
| Sufficient–High | 216 (46.7) | 48 (44.4) | 199 (56.1) | |
| Parameters | All Participants (n = 463) | 25(OH)D (ng/mL) Cut-Off Points | p-Value 1 | ||
|---|---|---|---|---|---|
| 20 (n = 334) | 20–30 (n = 82) | >30 (n = 47) | |||
| Median (IQR) or n (%) | |||||
| 25(OH)D (ng/mL) | 14.4 (10.8) | 11.7 (5.6) | 24.3 (4.7) | 34.9 (12.2) | <0.001 |
| Cut-off points, | |||||
| <12 ng/mL | 99 (29.7) | ||||
| 12–20 ng/mL | 334 (72.1) | ||||
| 20–30 ng/mL | 82 (17.1) | ||||
| >30 ng/mL | 47 (10.2) | ||||
| BC parameters: | |||||
| Hemoglobin (g/dL) | 12.8 (2.2) | 12.2 (3.0) | 13.4 (1.5) | 13.1 (1.4) | <0.001 |
| Erythrocytes (M/ mm3) | 4.5 (0.5) | 4.4 (0.5) | 4.6 (0.4) | 4.5 (0.4) | 0.005 |
| Hematocrit (%) | 40.0 (5.7) | 38.1 (6.8) | 41.5 (5.4) | 40.1 (3.8) | <0.001 |
| MCV (fl) | 88.0 (8.0) | 86.3 (9.7) | 89.2 (6.2) | 90.0 (7.0) | <0.001 |
| MCH (pg Hb/erythrocytes) | 28.0 (3.4) | 27.3 (4.8) | 29.0 (2.1) | 29.0 (2.0) | <0.001 |
| MCHC (g/dL) | 32.1 (1.4) | 31.7 (2.0) | 32.3 (1.2) | 32.2 (1.0) | <0.001 |
| White blood cells (/mm3) 10−3 | 2.1 (0.07) | 6.7 (2.6) | 6.4 (3.1) | 6.6 (2.8) | 0.643 |
| Iron markers: | |||||
| Ferritin (µg/L) | 13.4 (20.8) | 11.4 (15.5) | 14.8 (29.4) | 32.8 (44.9) | 0.002 |
| Iron (μg/dL) | 55.5 (50.5) | 51.1 (49.8) | 53.0 (47.8) | 77.3 (60.6) | 0.604 |
| Renal function: | |||||
| Plasma creatinine (mg/dL) | 0.7 (0.1) | 0.6 (0.1) | 0.7 (0.1) | 0.7 (0.1) | 0.231 |
| eGFR (mL/min/1.73 m2) | 196.9 (96.16) | 184.5 (93.7) | 215.4 (94.0) | 204.8 (86.3) | 0.010 |
| Inflammatory marker: | |||||
| CRP (mg/dL) | 3.75 (4.57) | 3.8 (4.3) | 3.1 (4.9) | 4.1 (6.7) | 0.366 |
| Inflammation present (CRP > 5): | |||||
| Yes | 101 (21.8) | 81 (24.3) | 12 (14.6) | 8 (17.0) | 0.118 |
| No | 362 (78.2) | 253 (75.7) | 70 (85.4) | 39 (17.0) | |
| All Participants (n = 463) | 25 (OH)D (ng/mL) Cut-Off Points | p-Value 1 | |||
|---|---|---|---|---|---|
| <20 (n = 334) | 20–30 (n = 82) | >30 (n = 47) | |||
| N (%) | |||||
| Anemia status (HB < 12 mg/dL) | <0.001 | ||||
| Non-anemic | 355 (76.7) | 233 (65.6) | 46 (13.0) | 76 (21.4) | |
| Anemic | 108 (23.3) | 101 (93.5) | 6 (5.6) | 1 (11.0) | |
| Anemia severity (n = 108) | |||||
| Mild to moderate (10.9 < Hb < 12 g/dL) | 101 (93.51) | 94 (93.1) | 6 (5.6) | 1 (0.6) | 0.771 |
| Severe (HB < 8 g/dL) | 7 (6.48) | 7 (100) | 0 (0.0) | 0 (0.0) | |
| Iron deficiency | |||||
| No | 331 (71.5) | 225 (68.0) | 43 (19.0) | 63 (13.0) | |
| Yes | 132 (27.6) | 109 (82.6) | 19 (14.4) | 4 (3.0) | 0.001 |
| Iron deficiency anemia | |||||
| No | 409 (88.3) | 285 (69.7) | 77 (18.8) | 47 (11.5) | |
| Yes | 54 (11.7) | 49 (90.7) | 5 (9.3) | 0 (0.0) | 0.003 |
| Unadjusted Model | Adjusted Model | |||||
|---|---|---|---|---|---|---|
| β (SE) | OR (95% CI) | p-Value | Β (SE) | OR (95% CI) | p-Value | |
| Outcome: Anemia | ||||||
| Vitamin D status | ||||||
| Sufficient–insufficient (>20 ng/mL) | Reference | Reference | ||||
| Deficient (<20 ng/mL) | 2.17 (0.43) | 8.79 (4.06, 23.00) | <0.001 | 1.97 (0.45) | 7.17 (3.19, 19.28) | <0.001 |
| Physical activity intensity | ||||||
| Moderate to high | Reference | Reference | ||||
| Low | 1.67 (0.31) | 5.35 (2.88, 9.91) | <0.001 | 1.76 (0.34) | 5.80 (2.96, 11.62) | <0.001 |
| Iron deficiency | ||||||
| No | Reference | Reference | ||||
| Yes | 1.54 (0.23) | 4.70 (2.95, 7.49) | <0.001 | 1.61 (0.26) | 5.02 (2.99, 8.45) | <0.001 |
| Geographic localization | ||||||
| Rural | Reference | Reference | ||||
| Urban | 0.50 (0.22) | 1.64 (1.06, 2.55) | 0.026 | 0.57 (0.25) | 1.77 (1.07, 2.94) | 0.021 |
| Sunscore categories (%) | ||||||
| Sufficient to high SES | Reference | Reference | ||||
| Insufficient to moderate SES | 0.46 (0.22) | 1.59 (1.03, 2.46) | 0.034 | 0.31 (0.25) | 1.33 (0.82, 2.17) | 0.221 |
| Iron intake (mg/day) | −0.07 (0.02) | 0.93 (0.88–0.98) | 0.008 | −0.05 (0.02) | 0.94 (0.88, 0.99) | 0.041 |
| Outcome: Iron deficiency | ||||||
| Vitamin D status | ||||||
| Sufficient–insufficient (>20 ng/mL) | Reference | Reference | ||||
| Deficient (<20 ng/mL) | 0.75 (0.25) | 2.12 (1.28, 3.50) | 0.003 | 0.75 (0.26) | 2.20 (1.32, 3.77) | 0.007 |
| Age (years) | −0.04 (0.01) | 0.95 (0.92, 0.98) | 0.009 | −0.04 (0.01) | 0.95 (0.92, 0.98) | 0.012 |
| Non-heminic iron intake (mg/day) | −0.04 (0.02) | 0.95 (0.90, 1.00) | 0.084 | −0.05 (0.02) | 0.95 (−1.10, 1.00) | 0.037 |
| Education level | ||||||
| Illiterate | Reference | Reference | ||||
| Literate | −0.38 (0.18) | 0.67 (0.46, 0.97) | 0.037 | −0.30(0.14) | 0.74 (0.54, 0.99) | 0.069 |
| Outcome: Iron deficiency anemia | ||||||
| Vitamin D status | ||||||
| Sufficient–insufficient (>20 ng/mL) | Reference | Reference | ||||
| Deficient (<20 ng/mL) | 1.42 (0.48) | 4.16 (1.62, 10.71) | 0.003 | 1.41 (0.48) | 4.10 (1.73, 12.08) | 0.004 |
| Iron intake (mg/day) | −0.08 (0.03) | 0.92 (0.86, 0.98) | 0.013 | −0.08 (0.03) | 0.91 (0.85, 0.99) | 0.030 |
| Geographic localization | ||||||
| Rural | Reference | Reference | ||||
| Urban | 0.60 (0.29) | 1.82 (1.02, 3.23) | 0.039 | 0.55 (0.30) | 1.74 (0.96, 3.15) | 0.084 |
| Education level | ||||||
| Illiterate | Reference | Reference | ||||
| Literate | −0.397 (0.20) | 0.67 (0.44, 1.00) | 0.052 | −0.38 (0.21) | 0.68 (0.44, 1.03) | 0.070 |
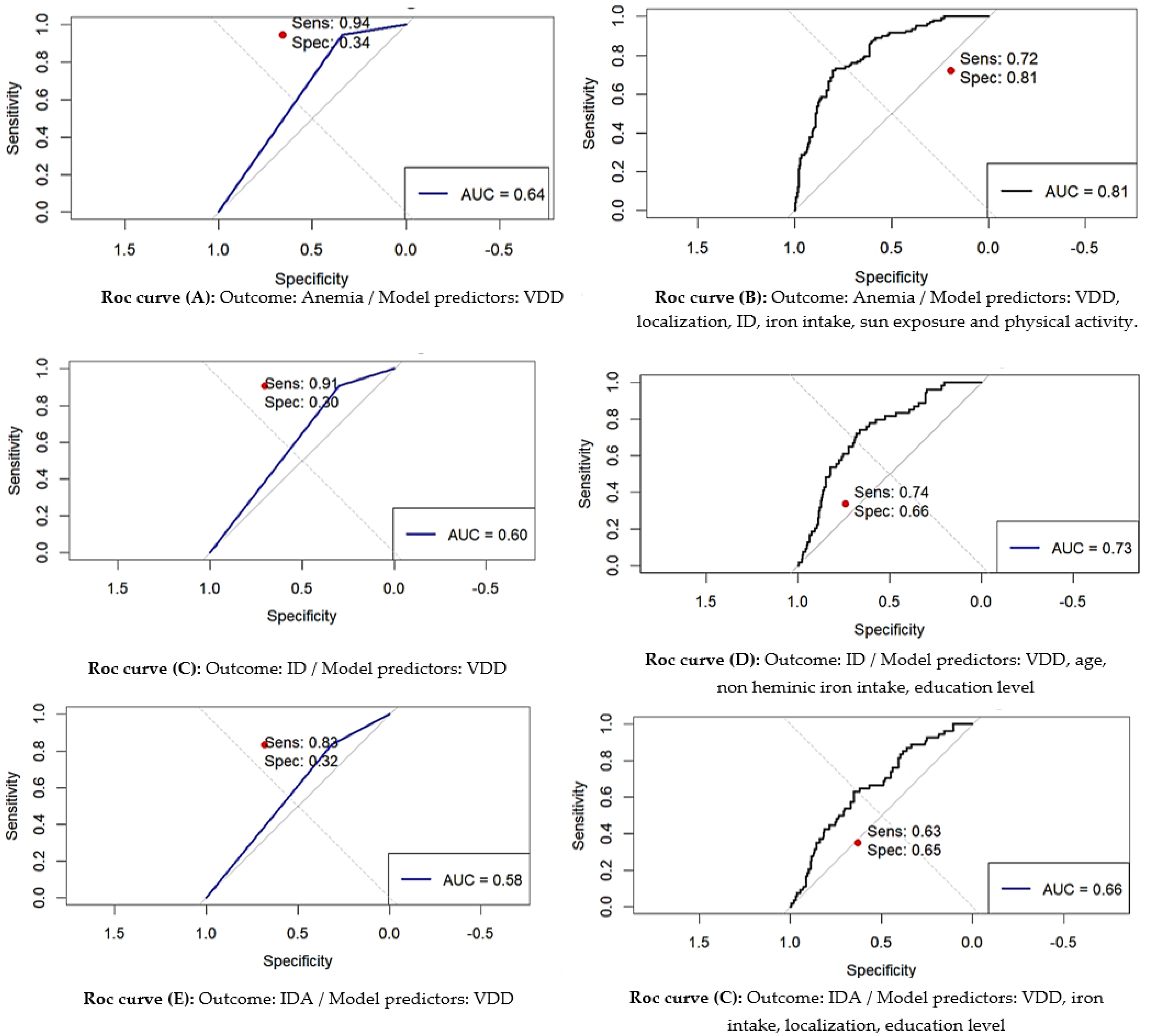
| Outcome | Predictors | AUC | 95% CI for AUC | p-Value for AUC | Optimal Threshold | Youden Index | Optimal Sensitivity | Optimal Specificity |
|---|---|---|---|---|---|---|---|---|
| Anemia | VDD | 0.643 | 0.610–0.676 | <0.001 | 0.175 | 0.285 | 0.944 | 0.341 |
| VDD, localization, ID, iron intake and physical activity, sun exposure | 0.813 | 0.768–0.855 | <0.001 | 0.269 | 0.528 | 0.722 | 0.806 | |
| ID | VDD | 0.575 | 0.535–0.616 | <0.001 | 0.250 | 0.151 | 0.833 | 0.317 |
| VDD, age, non-heminic iron intake, education level | 0.654 | 0.604–0.704 | <0.001 | 0.233 | 0.243 | 0.634 | 0.648 | |
| IDA | VDD | 0.603 | 0.557–0.644 | <0.001 | 0.093 | 0.206 | 0.907 | 0.298 |
| VDD, iron intake, localization, education level | 0.712 | 0.643–0.776 | <0.001 | 0.123 | 0.389 | 0.741 | 0.648 |
Disclaimer/Publisher’s Note: The statements, opinions and data contained in all publications are solely those of the individual author(s) and contributor(s) and not of MDPI and/or the editor(s). MDPI and/or the editor(s) disclaim responsibility for any injury to people or property resulting from any ideas, methods, instructions or products referred to in the content. |
© 2024 by the authors. Licensee MDPI, Basel, Switzerland. This article is an open access article distributed under the terms and conditions of the Creative Commons Attribution (CC BY) license (https://creativecommons.org/licenses/by/4.0/).
Share and Cite
Zouine, N.; Lhilali, I.; Godderis, L.; El Midaoui, A.; El Jaafari, S.; Filali-Zegzouti, Y. The Interplay Between Vitamin D Deficiency, Iron Status, and Anemia Risk in Moroccan Women of Reproductive Age: A Cross-Sectional Analysis. Epidemiologia 2024, 5, 805-827. https://doi.org/10.3390/epidemiologia5040055
Zouine N, Lhilali I, Godderis L, El Midaoui A, El Jaafari S, Filali-Zegzouti Y. The Interplay Between Vitamin D Deficiency, Iron Status, and Anemia Risk in Moroccan Women of Reproductive Age: A Cross-Sectional Analysis. Epidemiologia. 2024; 5(4):805-827. https://doi.org/10.3390/epidemiologia5040055
Chicago/Turabian StyleZouine, Noura, Ilham Lhilali, Lode Godderis, Adil El Midaoui, Samir El Jaafari, and Younes Filali-Zegzouti. 2024. "The Interplay Between Vitamin D Deficiency, Iron Status, and Anemia Risk in Moroccan Women of Reproductive Age: A Cross-Sectional Analysis" Epidemiologia 5, no. 4: 805-827. https://doi.org/10.3390/epidemiologia5040055
APA StyleZouine, N., Lhilali, I., Godderis, L., El Midaoui, A., El Jaafari, S., & Filali-Zegzouti, Y. (2024). The Interplay Between Vitamin D Deficiency, Iron Status, and Anemia Risk in Moroccan Women of Reproductive Age: A Cross-Sectional Analysis. Epidemiologia, 5(4), 805-827. https://doi.org/10.3390/epidemiologia5040055

