You are currently viewing a new version of our website. To view the old version click .
Modelling
  • Article
  • Open Access

8 February 2025

Numerical Investigation of the Combined Effect of Terrain Slope and Wind Velocity on Fire Spread Rate in Natural Pastures

,
,
and
School of Mechanical Engineering, Sharif University of Technology, Tehran 14588-89694, Iran
*
Author to whom correspondence should be addressed.

Abstract

Analyzing wildfire behavior is crucial due to its significant environmental repercussions. Among the various influencing factors, terrain slope and wind velocity are pivotal in governing fire spread characteristics. In the present study, we investigate the influence of negative terrain slopes (up to −45°), backward wind velocities (up to 2 m/s), and their combined effects on the surface fire spread rate using the Wildland-Urban Fire Dynamics Simulator (WFDS). Wind velocity in backward flows reduces the rate of spread by 40% at 30° angles, primarily due to the suppression of radiative heat transfer leading to reduced preheating unburnt areas. However, this effect reduces on lower slopes. The key findings reveal a significant increase in fire intensity and the rate of spread when the terrain slope exceeds 20°. The fire front shape evolves from a relatively flat rounded U-shape to a V-shape; it is shown that a downward slope slightly affects the spread rate, and the fire front shape stays flat.

1. Introduction

As global temperature rises and droughts become more frequent, wildfires increase in both occurrence and intensity [1]. Predicting wildfire behavior is crucial for mitigating its destructive impacts and is achievable through fire spread models [2]. These models are classified as either empirical, relying on observational data, or physics-based, founded on fundamental physical laws. Physical models are based on fundamental principles of combustion, heat transfer, and fluid dynamics. They are capable of simulating wildfire behavior under various environmental conditions, considering various vegetation parameters. The results of these models are validated by comparing simulation results with data recorded during wildfires or controlled experiments [3].
Wildfires can be classified as ground, surface, and crown fires, with surface fires being the most common as they burn readily available surface fuels like litter and low-level plants [4]. This research focuses on the importance of understanding surface fire dynamics due to their prevalent nature and the critical role they play in wildfire spread and behavior. Surface fire activity is heavily influenced by fuel characteristics, weather, and topography, making the analysis of these factors essential for effective wildfire management.
Various parameters influence wildfire spread, including weather conditions, topography, and vegetation type. Topographic factors, such as slope, aspect, natural barriers, and terrain-influenced wind flows, are key to understanding wildfire behavior. Among these, terrain slope directly impacts characteristics of fire behavior, including mass loss rate, flame residence time, and flame tilt [5]. The shape of the fire’s front line is another critical factor in fire spreading, as it transfers energy to surrounding unburnt areas primarily through radiation, with flame temperatures in wildfire scenarios typically ranging from 800 K to 1200 K, which is directly affected by flame tilt [6]. Given the importance of these parameters in shaping wildfire behavior, several studies have investigated the influence of terrain slope on wildfire spread using laboratory-scale experiments and numerical simulation using physical models.
Silvani et al. investigated the impact of terrain slope on the fire spread rate and the shape of the fire front in laboratory-scale tests using an inclinable plate, 0° to 30°. They demonstrated that slope substantially altered the fire spread regime, influencing flame topology and heat transfer ahead of the fire [7]. Dupuy and Maréchal explored preheating the area ahead of the fire and heat transfer mechanisms from 0° to 30° at the same scale [8]. Yang and Chen studied the flame geometry by attaching a propane-fueled burner to a surface with a non-combustible covering [9]. They show that flame length initially increases up to 26° but decreases at steeper angles as the flame attaches to the surface. In another study, Rodrigues et al. examined a specific topographic condition where wildfire spread in a valley was investigated through a set of experimental tests. They found that the presence of a canyon on a slope can lead to extremely dangerous fire behavior [10]. In addition to experimental studies, numerical methods have also been utilized to investigate the impact of wind and terrain slopes on wildfire spread. For instance, Eftekharian et al. performed the OpenFOAM to analyze the influence of upslope terrain on induced wind enhancement and its weakening in downslopes [11]. In another study, they investigated the effect of fuel bed slope on wildfire spread from a point source fire [12]. Accary et al. investigated the effect of wind speed in combination with terrain slope ranging from 0° to 40° using FIRESTAR [13]. Their focus was on mitigating the impact of induced flow on the natural flow caused by the presence of flames. Sánchez-Monroy et al. conducted numerical simulations in 2019 using Fire Dynamics Simulator (FDS) physical models [14]. The study examined the influence of ground upslope at different angles and the fuel load on the rate of surface fire spread, resulting in good agreement between empirical data and numerical simulations. The non-linearity of the rate of spread as the fuel bed slope increases and the transition of heat transfer mechanisms from radiative to convective were also explored.
In addition to terrain slope, wind speed plays a vital role in supplying fresh oxidizer to the fire front and transferring heat generated by the flame to unburned areas. Boboulos and Purvis conducted experimental tests to examine the rate of fire spread on two types of vegetation fuel for both forward and backward fires [15]. Experiments were conducted at 0° to 30° angles and wind speeds up to 5 m per second. The highest rate of fire spread was observed in forward fires in upslope conditions, approximately 40 times faster on a 30° slope with a wind speed of 4 m per second. Robert et al. conducted large-scale fire simulations using FireFOAM, a fully compressible LES (Large Eddy Simulation) code, to investigate the dynamics of line fire spread under the influence of wind considering the atmospheric boundary layer profile [16]. They investigated the interaction between induced flow structures and flame-induced flow structures, like convective rolls and eddy circulations, and their effect on fire front shape.
Jasmine et al. investigated the fire spread in grasslands under sloped terrain and low wind speed (0.1 to 1 m/s) conditions using FDS [17]. The results show that at lower wind velocities, the fire plume was detached or rising, in contrast to higher wind velocities, and the fire propagation was in the buoyancy-dominated regime.
Canfield et al. [18] simultaneously examined the effect of wind speed and fire line length on the rate of fire spread using FIRETEC. The simulations showed that a low-pressure zone forms at the front edge of the fire during wildfire spreading, drawing fresh air into this region. Pimont et al. investigated the contribution of wind speed, ground slope, and fire line length on wildfire spread using FIRETEC [19]. They also separately examined wildfire spread in a valley, representing a real-life scenario of the simultaneous influence of these parameters. This study shows that a wide valley with relatively low wind velocity creates the riskiest conditions for fire control. Narrower valleys with steep slopes near the fire line also result in rapid lateral fire spread. Moinuddin et al. explored the relationship between vegetation height, wind speed, and the rate of fire spread using the wildland fire dynamics model [20]. Their results indicate a linear relationship between the rates of fire spread and wind velocity. Additionally, an increase in fuel height reduces the rate of fire spread while significantly increasing the heat release rate.
Given the significant impact of fuel bed slope and wind speed on critical parameters of wildfire spread in natural habitats, as investigated under various scenarios in the mentioned studies, there is a need for a further exploration of the combined effect of these two factors on fire spread characteristics. While the existing literature has extensively covered the acceleration effects of positive slope and forward wind on fire propagation, a critical gap remains in understanding the dynamics of negative slope and backward wind. Studying the mechanisms behind slowed propagation on negative slopes and in the presence of backward winds not only improves our fundamental understanding of fire science but also has practical implications for wildfire management strategies. While existing models perform well in such low-intensity scenarios, they often oversimplify the complex interactions between terrain, wind, and fire behavior. For instance, Javaloyes et al. highlighted the necessity of refining models to capture these dynamics for better fire management strategies [21]. Similarly, Edalati-nejad et al. noted that even in low-risk environments, subtle variations in slope and wind can lead to unpredictable spread patterns, underscoring the need for detailed analysis [22]. These findings highlight the practical relevance of studying low-intensity fire conditions to improve predictive models and enhance fire suppression efforts in complex terrains. On the other hand, the effect of a negative fuel bed slope and opposite wind has been less investigated physically, and the in-depth effects of these parameters on flame geometry and heat transfer mechanisms remain relatively unseen. In the present study, the primary objective is to investigate the heat transfer mechanisms and evaluate the ability of the WFDS model to replicate experimental results under negative fuel bed slopes ranging from 0° to −45°, a topic that has received relatively limited attention in wildfire studies. Additionally, the study examines the reductive effects of opposing wind (up to 2 m/s) on fire spread over positive fuel bed slopes (0° to +30°). The numerical simulations specifically focus on understanding how these conditions influence heat transfer mechanisms, particularly radiation. The findings of this research provide valuable insights into wildfire behavior in these types of vegetation, contributing to the development of more effective fire management strategies in such environments.

2. Materials and Methods

In the present study, we performed simulations using FDS, free and open-source software tools provided by the National Institute of Standards and Technology (NIST). We used version 6.7.8 of this simulator [23,24]. A complete description and validation of the model (WFDS) used by FDS has been documented in [14,25,26]. The following section explains the main settings and sub-models used in our simulations across all scenarios.
Large eddy simulation (LES) was conducted using the Smagorinsky sub-grid scale model [27] with a constant coefficient of 0.2, as recommended in [28]. Additionally, the van Driest wall function was applied to model the attenuation of turbulent eddies as they approached the walls, ensuring accurate representation of near-wall turbulence [29].

2.1. Simulation

The interaction between turbulent structures and chemical reaction rates was modeled using the eddy dissipation concept [30]. The results obtained using this modeling approach for simulating the combustion of pine needles have previously been compared with experimental data [31], demonstrating a satisfactory agreement. A single-step reaction was considered, with stoichiometry coefficients derived from the wood pyrolysis oxidation reaction, as presented in Equation (1).
C 3.4 H 6.2 O 2.5 + 3.6 O 2 + 3.76 N 2 3.3 CO 2 + 3.1 H 2 O + 13.5 N 2 + 0.16 C 0.9 H 0.1
The diffusion coefficient was calculated using a uniform Schmidt number of 0.5 for all chemical species.
FDS provides two models for representing fuel beds: the boundary fuel model and the Lagrangian Particle Model. In this study, we adopted the Lagrangian Particle Model, using cylindrical particle shapes. The drag coefficient was empirically derived, accounting for both the geometry and shadowing effects of closely packed objects. While it is typically treated as a constant rather than a function of the Reynolds number, for reproducibility of numerical simulation in [14], we conducted simulations using a drag coefficient dependent on the Reynolds number, as defined in Equation (2).
C d = 10 Re e 0.8 Re e   1 10 ( 0.6 + 0.4 Re e 0.8 ) Re e 1   <   Re e   <   1000 1 1000     Re e
where Re e is obtained from Equation (3):
Re e = u L υ
where u is the velocity vector and |u| is velocity magnitude, L is characteristic length of the fuel element, and “υ” is the kinematic viscosity of the gas. The correlation for the convective heat transfer coefficient of the fuel element [32] is provided in Equation (4).
h e = k g σ e 4 C Re e m Pr 1 / 3
where k g is the gas mixture conductivity, σ e is the fuel element surface-to-volume ratio, and coefficients C and m are obtained empirically, as presented in Equation (5).
C , m = 0.909   ,   0.330 Re e     4 0.911   ,   0.385 4   <   Re e     40 0.683   ,   0.466 40   <   Re e

2.2. Validation

We validated our numerical model by reproducing the results of [14], which had been previously verified with experimental results reported in [33]. Subsequently, we adjusted the slope and wind parameters to match the desired conditions. The fuel bed configuration is depicted in Figure 1.
Figure 1. Fuel bed dimension and zone layout from top view (right side) and isometric view (left side).
In the numerical study [14], various scenarios based on fuel bed height and packing ratio were examined. In this study, we simulated a fuel bed height of 15.24 cm with a packing ratio of 0.03. Other key parameters are detailed in Table 1. As noted in this study, we also rounded the fuel bed height to 16 to simplify mesh sizing. To initiate fire spread, a zone with a fuel bed width and length of 5 cm containing hot particles at a temperature of 800 °C was considered. These particles radiate heat for 5 s, as illustrated in Figure 1, indicating the temperature of particles set back to ambient temperature after the fire started to spread.
Table 1. Key parameters used in the validation simulations.
Figure 2 illustrates the applied boundary conditions and specifies the domain dimensions in the validation simulations.
Figure 2. Schematic of applied boundary conditions used for validation simulation.
In the numerical study [14], the stated grid size was 1 or 2 cm, uniformly divided geometry in all directions. In this study, we used cubic elements with edge lengths of 2 cm (total of 12 million cells). As noted in [14], a span-wise symmetry plane was performed to reduce the computational cost. However, we performed validation simulations with the entire span simulated to check this simplification. The simulations were conducted on a desktop computer with an Intel Core i7 processor (3.2 GHz, 8 cores), 32 GB RAM, and a 1 TB HDD storage system. The simulation time for each scenario, based on flow time, ranged from 4 to 12 days.
To determine the fire spread rate, we analyzed cells positioned in the middle of the fuel bed, set at a 10 cm distance from its base. The advancement speed of the cell with the maximum temperature within this area indicates the rate of fire propagation. To compare the rate of fire spread as a function of fuel bed slope, the computed values from this study were plotted alongside the numerical simulation results [14] and experimental results [33] in Figure 3.
Figure 3. Rate of spread as a function of fuel bed slope in the validation section. The circles, triangles, and stars indicate this study’s simulated results, and the simulation results reported in [14] and experimental test data [33], respectively.
As is evident from Figure 3, a suitable agreement between numerical and experimental results was found, especially at high slopes, and a comparison between errors in our simulation and results reported in [14] is given in Table 2.
Table 2. Comparison of simulation errors between the results of the present study and the results reported in [14], in the range of simulated fuel bed slope angles.
The numerical study [14], also states that the front fire gradually deforms from a “U” shape to a “V” shape with an increase in slope, as seen from the bottom of the fuel bed in Figure 4.
Figure 4. FDS HRR-based flame visualizer of a fire front deforming with increasing simulated fuel bed slope angles rendered from a bottomup perspective.
The changes in the shape of the fire front start from low angles and intensify from the angle of 22° onwards, as observed in the images obtained from the experimental tests conducted in [7]. Flame tilt relative to the fuel bed is measured as the angle of the line that connects the middle of the flame base to the top of the flame. Its variation as a function of the fuel bed is illustrated in Figure 5. The angle between the fuel bed’s longitudinal direction and the line connecting the middle of the flame base to the highest point of the flame is used to calculate the tilt angle of a flame. This is determined based on the time-averaged position of cells known as the flame edge, which are identified by a specific Heat Release Rate (HRR) value for these cells, set at 200 kW/m3.
Figure 5. Side view schematic of flame geometry properties. (A): The upper X mark indicates the highest part of the flame, while the lower X mark indicates the middle of the baseline of the flame. Flame tilt as a function of simulated fuel bed slope angles. (B): The circles, triangles, and stars represent the present study simulated results, the simulated results reported in [14], and experimental test data [33], respectively.
Despite a good agreement between the calculated ROS and results from [14], a notable difference in reported flame tilt can be observed. The discrepancy between the results obtained in the current simulation and those reported in [14] may be due to the fact that the method for determining the flame tilt was not explicitly specified in the mentioned reference. It is possible that the approach used in the referenced study differs from the methodology employed in this research. However, the current study’s findings align better with the obtained experimental data.

2.3. Negative Slopes

The validation highlights the significant impact of fuel bed slope on fire spread rate and front shape. Upslope conditions enhance spread, while downslope conditions suppress it. In the numerical study [14], the focus was on positive angles; however, our simulations included negative angles to demonstrate the FDS code’s capability under these conditions.
Sensitivity simulations were conducted prior to the main simulations to evaluate the impact of the computational domain width on the results, aiming to determine the minimum necessary width to optimize computational costs. Details from the sensitivity analysis are not included here. The dimensions ultimately used for the simulations are 10 m in length, 1.5 m in width, and 6.4 m in height, as depicted in Figure 6. By considering the tilt of flame in negative terrain slope, a 4 m clearance from the boundary is considered to capture all the radiation of flame to the unburnt region and reduce the boundary effect on the flow domain. A dense mesh was used for the region where the flame exists, and its smoke was more concentrated. The fuel bed was considered to be 5 m in length, and all the other parameters were reused as their value in validation simulations.
Figure 6. Computational domain and fuel bed dimensions (left side). The grid is divided into a denser zone closer to the flame zone and a marginal zone around it (right side).
Following the experimental test outlined in [33], our simulations were conducted at four negative slope angles, −8°, −16°, −31°, and −45°, under no-wind conditions.

2.4. Grid Independence

Instead of a constant time step, we applied a 0.2 Courant number limit to all the simulations. Also, 100 discrete angles were set because FDS was using the DOM sub-model to solve the Radiative Transfer Equation (RTE). Since radiation is the only heat transfer mechanism driving the fire in downslope conditions, the grid size must be at least on the order of the radiation extinction length [3], or a reduction of two to three times must be implemented. The radiation extinction length value is determined using Equation (6).
δ l = 4 β σ e
where β is the packing ratio of the fuel bed; using this equation, the radiation extinction length was determined to be 4.3 cm. To find the ideal number of cells for the grid that balances result sensitivity and computational costs, we use a mesh size of 2 cm and 4 cm for the denser zone and 2 cm, 4 cm, and 8 cm mesh for the marginal zone. Multiple simulations were conducted for angles −31° and −45°. The investigation focused on spread rate and flame height independence, key parameters in wildfire propagation, as shown in Figure 7.
Figure 7. Rate of spread and flame height as a function of grid cell number at −31° and −45°. Red lines indicate the rate of spread, and black lines indicate flame height. The circles and triangles represent the rate of spread at −45° and −31°, respectively, and squares and rhombi represent the flame height at −45° and −31°, respectively.
By comparing values across different grid sizes, it can be concluded that beyond approximately 4.5 million cells, results become independent of grid size. Therefore, we utilized uniformly distributed cubic elements with edge lengths of 2 cm.

3. Results

3.1. Zero Wind Condition

Dimensionless spread rate is defined as flame propagation velocity divided by its value in the no slope condition. The results presented in Figure 8 are compared with findings from prior studies [33,34,35,36], which investigated similar scenarios involving Red pine, Eucalyptus, and Aleppo pine under laboratory-scale conditions.
Figure 8. Dimensionless rate of spread (Spread of Flame by values of the no slope condition) as a function of fuel bed slope. The dashed line with circled marks, red stars, circles, rhombi, and squares represent the simulated results in the present study, [33], [34], [35], and [36], respectively.
Results at angles 8°, 16°, 31°, and 45° deviated from experimental results [33] by 20, 29, 23, and 11 percent, respectively. The trend of spread rate reduction is transferred to an increasing trend. This increase can be attributed to burning fuel called “firebrands” falling into the bed and accelerating the overall spread rate, creating fire spots in these regions. This condition and its effect on the results can be seen in [34] results available in terrain angles more than 30°. Thus, the Monotonic decrease in the spread rate is due to the lack of modeling of this phenomenon and can be a subject for future studies.
Heat release rate also experiences a slight reduction in simulation time for all angles, illustrated in Figure 9. Overall, the Heat Release Rate (HHR) within this range is significantly lower compared to the HHR values at positive angles, which are notably higher, ranging approximately from 800 kW to 3500 kW as the slope increases from the no slope condition to 45°.
Figure 9. Heat release rate during simulation time in negative fuel bed slope.
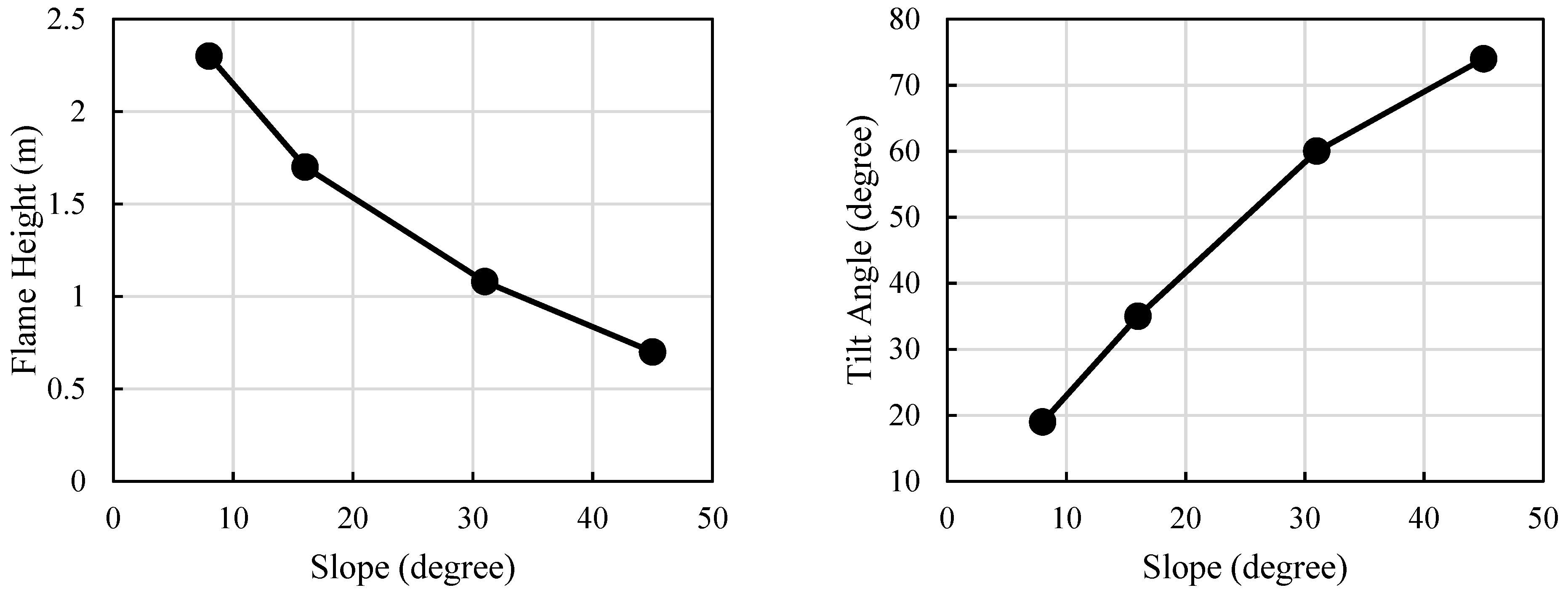
In this condition, the heat release rate at an angle of 45° reaches 82% of the no slope condition. The negative effect of down-slope angles has a slight effect on the HRR. Two other affected parameters, e.g., flame height and flame tilt, were also explored in this study, and the results show that terrain slope in negative angles had a significant effect on these two parameters, as illustrated in Figure 10.
Figure 10. Variation in the geometrical parameter of flame as a function of fuel bed angle. Flame height (right side) and flame tilt angle (left side).
These two parameters significantly impact the radiative transfer mechanism, which is diminished by reduced flame height and its inclination towards the burned zone, leading to a decreased view factor and radiant surface area of the flame. However, Figure 8 and Figure 9 demonstrate that these changes do not significantly affect the rate of fire propagation or heat release, suggesting that flame geometry has minimal impact on fire spread characteristics under conditions with a positive fuel bed slope.

3.2. Backward Wind Combination

Another main parameter affecting fire spread is wind. Backward wind against the direction of fire spread weakens heat transfer mechanisms; thus, we explored its effect at 1, 1.5, and 2 m/s at three angles, 0°, 20°, and 30°. All parameters are the same as in the validation simulations; however, due to a low rate of fire spread, a smaller length is considered for the fuel bed (3 m). The boundary conditions are illustrated in Figure 11.
Figure 11. Schematic of the boundary condition considered for backward flow simulation, (A) from top view and (B) front view.
A synthesis eddy method was executed for inlet conditions using the large eddy simulation method to solve fluid domain motion. In this manner, we used values of 0.05 m for eddy length and 0.2581 m/s for root mean square (RMS) velocity for 3085 eddies. To minimize the unsteady effects within the flow domain, hot particles begin heating only after a time equivalent to three times the duration required for the flow to traverse the domain. This ensures sufficient time for the flow to fully develop and for transient effects to dissipate. Additionally, the velocity time history was plotted at three points along a vertical line located at the center of the fuel bed, at heights of 0.1 m, 0.5 m, and 1 m, as illustrated in Figure 12.
Figure 12. Schematic of the location of the points used to check the time-averaged velocity along the vertical line at the midpoint of the fuel bed. P1, P2, and P3 are located at heights of 0.1 m, 0.5 m, and 1 m, respectively.
A series of ignition-free simulations were conducted under wind speed conditions of 2 m/s, with a fuel bed at 30°. Each cycle lasted 3 s. A total of 20 cycles were simulated, and velocities in three directions were plotted against time at specific points, as shown in Figure 13.
Figure 13. Instantaneous and time-averaged velocities in three directions of the computational domain at specified points as a function of simulation time. Solid lines are instantaneous velocities, and dashed lines are time-averaged velocities.
After five cycles of the required time to flow through the domain (15 s), the specified time reached a pseudo-steady state. This duration was deemed sufficient and applied to all other scenarios in this section.
The rate of fire spread in the investigated angles as a function of wind speed is illustrated in Figure 14. As can be seen, the decreasing effect on the spread rate affected by the backward wind is more significant at higher negative angles compared to the lower angle of the fuel bed, to the extent that the reduction ratio of the 30° angle is 5.75 times higher than in the case without a slope at a speed of 1 m/s. The reason for this can be attributed to the double effect of wind blowing on the flame geometry at higher angles. At these angles, the changes in flame tilt are more severe in terms of the effect on the heat transfer mechanism, especially in radiation form in comparison to lower angles; thus, the preheat of the unburnt area decreases.
Figure 14. Fire spread rate as a function of backward wind speed in the simulations fuel bed range. The circles, triangles, and squares represent the simulated results in the no slope condition, 20°, and 30°, respectively.
The effect of wind on the shape of the fire front in the case of favorable wind causes the fire front to become more pointed, and in the case of adverse wind, it causes the front to flatten and expand uniformly, as seen in Figure 15.
Figure 15. Effect of backward wind on fire front shape at 1 m/s wind velocity from left to right, fire front shape in no slope condition, 20°, and 30°, respectively.
It can be seen that backward wind causes a reduced view factor of flame to the unburnt area, and it can also be seen that the favorable movement of the flow of the hot products in preheating unburnt areas is reduced. In Figure 16, one can observe changes in smoke direction and variations in flame tilt.
Figure 16. Flame geometry and hot product movement as a function of wind speed and fuel bed angle.
The same process was carried out to calculate flame tilt and plot it as a function of wind speed and fuel bed slope, as shown in Figure 17.
Figure 17. Flame tilt as a function of wind speed at different angles. The circles, triangles, and squares represent the simulated results in the no slope condition, 20°, and 30°, respectively.
In Figure 16, the flame tilt for the no slope condition starts at zero and then bends to the other side after applying wind velocity. However, the decrease in flame tilt is not as prominent in the two other fuel bed angles. The reduction in tilt angle continues in these angles, leading to a decrease in the amount of radiative heat rate transferred to the unburnt areas. This can be observed by analyzing the histogram of radiative heat flux incoming to the unburnt areas. To visualize this, we plotted the radiative flux incoming to the center of the fuel bed during flow simulation, as shown in Figure 18.
Figure 18. Radiative heat flux absorbed by the vegetation located in the middle of the fuel bed during simulated flow time, (A) in the no slope condition, (B) at 20°, and (C) at 30°. X marks indicate the ignition time.
Cumulative radiation absorbed is calculated as the summation amount of radiative heat flux at the center of the fuel bed from the ignition of fire spreading until the moment temperature reaches 300 °C at that point, as illustrated in Figure 19.
Figure 19. Cumulative radiation heat absorbed by the vegetation in the middle of the fuel bed before its peak compared between flow velocities at simulated fuel bed angles.
It can be observed from Figure 19 that the preheat amount in the no slope conditions remains relatively consistent across different wind velocities, which can be attributed to minimal changes in flame tilt. However, this difference grows with an increase in slope, leading to a slower fire spread due to reduced preheating in unburnt areas. The decrease in preheating in the no slope conditions for 1.5 m/s and 2 m/s compared to 1 m/s is approximately 1.62% and 4.5%, respectively. In a 30° fuel bed slope, this reduction increases to 19.46% and 29.81% for these speeds, significantly impacting the rate of spread variation concerning fuel bed slope and wind speed.

4. Conclusions

In the present study, we investigated the fire spread in natural habitats by numerical simulations of surface fire propagation through a pine litter fuel bed on a lab scale; the effect of the fuel bed was in the range of −45° to 45° in the absence of wind blowing, and then, a combination of backward wind and negative slope on fire spread is explored. Good agreement between numerical and experimental results was found through validation with a mean error of 10% in positive angles and 20% in negative slopes. The key findings are as follows:
  • Steep slopes: On slopes above 20°, the fire front changes from a U-shape to a V-shape, accelerating the ROS. Quick-response strategies are needed in such areas.
  • Negative slopes: Negative slopes slightly reduce ROS (18% reduction in HHR), indicating that suppression efforts should focus more on wind and fuel load in downhill fires.
  • Backward wind on sloped fuel bed: Backward wind reduces heat transfer to unburned areas, affecting fire behavior. Higher wind speeds on positive slopes reduce radiant heat transfer, slowing fire spread, with up to 29.81% less heat absorption at 30° and 2 m/s wind. This emphasizes the need for physical studies of wind–flame interactions, as a better understanding of this phenomenon can improve fire prediction models and response strategies, particularly in regions with reversed wind patterns.
  • Fire spot modeling: Current models do not simulate fire spots, which accelerate spread. Physical investigations of fire dynamics are crucial for improving predictions and fire management strategies.
These conclusions offer practical guidance for fire suppression in varied conditions. Physical studies are key to refining fire models and tactics.

Author Contributions

Conceptualization, R.S.M. and E.M.B.; methodology, R.S.M. and E.M.B.; software, R.S.M. and E.M.B.; validation, R.S.M. and E.M.B.; formal analysis, R.S.M. and E.M.B.; investigation, R.S.M. and E.M.B.; resources, R.S.M., E.M.B. and B.F.; writing—original draft preparation, R.S.M. and E.M.B.; writing—review and editing, R.S.M. and E.M.B.; visualization, R.S.M.; supervision, B.F. and H.A.; project administration, B.F. All authors have read and agreed to the published version of the manuscript.

Funding

This research received no external funding.

Institutional Review Board Statement

Not applicable.

Data Availability Statement

The original contributions presented in this study are included in the article. Further inquiries can be directed to the corresponding author(s).

Acknowledgments

We want to acknowledge William (Ruddy) E. Mell, Research Combustion Engineer at the U.S. Department of Agriculture, for his kind contributions to our study.

Conflicts of Interest

The authors declare no conflicts of interest.

Nomenclature

C First coefficient in the convection heat transfer coefficient equation
C d Drag coefficient
h e Convective heat transfer coefficient of fuel element
k g Conductivity of gas element
m Second coefficient in the convection heat transfer coefficient equation
P r Prandtl number
R e e Local Reynolds number for fuel element
u Velocity vector
x Longitudinal direction
y Transverse direction
z Height direction
β Fuel packing ratio
σ e Fuel element surface-to-volume ratio

Appendix A

Table A1. Input parameters for solid and gas phases in the WFDS model.
Table A1. Input parameters for solid and gas phases in the WFDS model.
ParameterValueUnit
Ambient temperature27°C
Ambient relative humidity50%
Ambient pressure101,325Pa
Smagorinsky constant0.2-
Prandtl number0.5-
Schmidt number0.5-
Vegetation fuel specification
Density398 k g / m 3
Conductivity0.2 W / ( m . K )
Emissivity0.88-
Arrhenius constant36,300 K / s
Activation energy60,276.5 J / ( m o l . K )
Pyrolysis reaction heat418 k J / k g
Specific heat (temperature depended) 0.01 + 0.0037 T e k J / ( k g . K )
Fuel load12.4 k g / m 2
Mass fraction of char production0.26-
Surface-to-volume ratio3096 1 / m
Char specification
Density200 k g / m 3
Thermal conductivity0.052 W / ( m . K )
Mole fraction of oxygen consumption by char1.65-
Char oxidation constant0.2-
Arrhenius constant430-
Activation energy74,800 J / ( m o l . K )
Char oxidation heat of reaction−32,740 k J / k g
Specific heat (temperature depended) 0.47 + 0.00209 T e + 0.00685 k J / ( k g . K )
Ash specification
Density67 k g / m 3
Thermal conductivity0.1 W / ( m . K )
Specific heat0.8 k J / ( k g . K )
Moisture
Density1000 k g / m 3
Thermal conductivity0.6 W / ( m . K )
Arrhenius constant600,000-
Activation energy48,200 J / ( m o l . K )
Evaporation enthalpy2259 k J / k g
Specific heat4.22 k J / ( k g . K )
Fuel vapor specification
Ash production mass fraction0.02-
Heat of combustion−17,700 k J / k g
Chemical formula C 3.4 H 6.2 O 2.5 -

References

  1. Bishe, E.M.; Norouzi, M.; Afshin, H.; Farhanieh, B. A Case Study on the Effects of Weather Conditions on Forest Fire Propagation Parameters in the Malekroud Forest in Guilan, Iran. Fire 2023, 6, 251. [Google Scholar] [CrossRef]
  2. Mohammadian Bishe, E.; Afshin, H.; Farhanieh, B. Modified Quasi-Physical Grassland Fire Spread Model: Sensitivity Analysis. Sustainability 2023, 15, 13639. [Google Scholar] [CrossRef]
  3. Morvan, D. Physical Phenomena and Length Scales Governing the Behaviour of Wildfires: A Case for Physical Modelling. Fire Technol. 2011, 47, 437–460. [Google Scholar] [CrossRef]
  4. Scott, J.H.; Burgan, R.E. Standard Fire Behavior Fuel Models: A Comprehensive Set for Use with Rothermel’s Surface Fire Spread Model; US Department of Agriculture, Forest Service, Rocky Mountain Research Station: Fort Collins, CO, USA, 2005.
  5. Shojaee Mehr, R.; Mohammadian Bishe, E.; Jafari, M.; Farhanieh, B.; Afshin, H. Numerical Investigation of the Effect of Land Slope on the Rate of Fire Spread in Natural Pastures. Mater. Chem. Mech. 2023, 1, 15–22. [Google Scholar]
  6. Kuznetsov, G.V.; Piskunov, M.V.; Strizhak, P.A. How to Improve Efficiency of Using Water When Extinguishing Fires through the Explosive Breakup of Drops in a Flame: Laboratory and Field Tests. Int. J. Therm. Sci. 2017, 121, 398–409. [Google Scholar] [CrossRef]
  7. Silvani, X.; Morandini, F.; Dupuy, J.-L. Effects of Slope on Fire Spread Observed through Video Images and Multiple-Point Thermal Measurements. Exp. Therm. Fluid. Sci. 2012, 41, 99–111. [Google Scholar] [CrossRef]
  8. Dupuy, J.-L.; Maréchal, J. Slope Effect on Laboratory Fire Spread: Contribution of Radiation and Convection to Fuel Bed Preheating. Int. J. Wildland Fire 2011, 20, 289. [Google Scholar] [CrossRef]
  9. Yang, Z.; Chen, H. Experimental Study on Flame Geometry along the Inclined Surface with and without Sidewalls by Using a Gas Burner. Procedia Eng. 2018, 211, 925–933. [Google Scholar] [CrossRef]
  10. Rodrigues, A.; Ribeiro, C.; Raposo, J.; Viegas, D.X.; André, J. Effect of Canyons on a Fire Propagating Laterally Over Slopes. Front. Mech. Eng. 2019, 5, 41. [Google Scholar] [CrossRef]
  11. Eftekharian, E.; Rashidi, M.; Ghodrat, M.; He, Y.; Kwok, K.C.S. LES Simulation of Terrain Slope Effects on Wind Enhancement by a Point Source Fire. Case Stud. Therm. Eng. 2020, 18, 100588. [Google Scholar] [CrossRef]
  12. Eftekharian, E.; Ghodrat, M.; He, Y.; Ong, R.H.; Kwok, K.C.S.; Zhao, M.; Samali, B. Investigation of Terrain Slope Effects on Wind Enhancement by a Line Source Fire. Case Stud. Therm. Eng. 2019, 14, 100467. [Google Scholar] [CrossRef]
  13. Accary, G.; Fayad, J.; Chatelon, F.-J.; Frangieh, N.; Awad, C.; Meradji, S.; Marcelli, T.; Rossi, J.-L.; Morvan, D.; Rossi, L. Simulation of Induced-Wind-Dominated Fire on Sloping Terrain. In Advances in Forest Fire Research 2022; Imprensa da Universidade de Coimbra: Coimbra, Portugal, 2022; pp. 375–380. [Google Scholar]
  14. Sánchez-Monroy, X.; Mell, W.; Torres-Arenas, J.; Butler, B.W. Fire Spread Upslope: Numerical Simulation of Laboratory Experiments. Fire Saf. J. 2019, 108, 102844. [Google Scholar] [CrossRef]
  15. Boboulos, M.; Purvis, M.R.I. Wind and Slope Effects on ROS during the Fire Propagation in East-Mediterranean Pine Forest Litter. Fire Saf. J. 2009, 44, 764–769. [Google Scholar] [CrossRef]
  16. Ong, R.H.; Patruno, L.; He, Y.; Efthekarian, E.; Zhao, Y.; Hu, G.; Kwok, K.C.S. Large-Eddy Simulation of Wind-Driven Flame in the Atmospheric Boundary Layer. Int. J. Therm. Sci. 2022, 171, 107032. [Google Scholar] [CrossRef]
  17. Innocent, J.; Sutherland, D.; Moinuddin, K. Field-Scale Physical Modelling of Grassfire Propagation on Sloped Terrain under Low-Speed Driving Wind. Fire 2023, 6, 406. [Google Scholar] [CrossRef]
  18. Canfield, J.M.; Linn, R.R.; Sauer, J.A.; Finney, M.; Forthofer, J. A Numerical Investigation of the Interplay between Fireline Length, Geometry, and Rate of Spread. Agric. For. Meteorol. 2014, 189–190, 48–59. [Google Scholar] [CrossRef]
  19. Pimont, F.; Dupuy, J.-L.; Linn, R.R. Coupled Slope and Wind Effects on Fire Spread with Influences of Fire Size: A Numerical Study Using FIRETEC. Int. J. Wildland Fire 2012, 21, 828. [Google Scholar] [CrossRef]
  20. Moinuddin, K.A.M.; Sutherland, D.; Mell, W. Simulation Study of Grass Fire Using a Physics-Based Model: Striving towards Numerical Rigour and the Effect of Grass Height on the Rate of Spread. Int. J. Wildland Fire 2018, 27, 800. [Google Scholar] [CrossRef]
  21. Ángel Javaloyes, M.; Pendás-Recondo, E.; Sánchez, M. A General Model for Wildfire Propagation with Wind and Slope. SIAM J. Appl. Algebr. Geom. 2023, 7, 414–439. [Google Scholar] [CrossRef]
  22. Edalati-nejad, A.; Ghodrat, M.; Sharples, J.J. On the Interaction of Wind, Fire Intensity and Downslope Terrain with Implications for Building Standards in Wildfire-Prone Areas. Int. J. Wildland Fire 2023, 32, 1619–1632. [Google Scholar] [CrossRef]
  23. McGrattan, K.B.; Baum, H.R.; Rehm, R.G.; Hamins, A.; Forney, G.P.; Floyd, J.E.; Hostikka, S.; Prasad, K. Fire Dynamics Simulator—Technical Reference Guide; National Institute of Standards and Technology: Gaithersburg, MD, USA, 2000. [Google Scholar]
  24. McGrattan, K.; Hostikka, S.; McDermott, R.; Floyd, J.; Weinschenk, C.; Overholt, K. Fire Dynamics Simulator Technical Reference Guide Volume 1: Mathematical Model. NIST Spec. Publ. 2013, 1018, 175. [Google Scholar]
  25. Perez-Ramirez, Y.; Mell, W.E.; Santoni, P.A.; Tramoni, J.B.; Bosseur, F. Examination of WFDS in Modeling Spreading Fires in a Furniture Calorimeter. Fire Technol. 2017, 53, 1795–1832. [Google Scholar] [CrossRef]
  26. Mell, W.; Jenkins, M.A.; Gould, J.; Cheney, P. A Physics-Based Approach to Modelling Grassland Fires. Int. J. Wildland Fire 2007, 16, 1. [Google Scholar] [CrossRef]
  27. Smagorinsky, J. General Circulation Experiments with the Primitive Equations i. The Basic Experiment. Mon. Weather. Rev. 1963, 91, 99–164. [Google Scholar] [CrossRef]
  28. Lilly, D.K. The representation of small-scale turbulence in numerical simulation experiments. In Proceedings of the IBM Scientific Computing Symposium on Environmental Sciences, Yorktown Heights, NY, USA, 16–18 March 1967; pp. 29–179. [Google Scholar]
  29. David, C. Wilcox Turbulence Modeling for CFD, 1st ed.; DCW Industries, Incorporated: La Canada Flintridge, CA, USA, 1994. [Google Scholar]
  30. Magnussen, B.F.; Hjertager, B.H. On Mathematical Modeling of Turbulent Combustion with Special Emphasis on Soot Formation and Combustion. Symp. Int. Combust. 1977, 16, 719–729. [Google Scholar] [CrossRef]
  31. Saâdaoui, M.; Mahjoub Saïd, N.; Mhiri, H.; Caminat, P.; Le Palec, G.; Bournot, P. Study of the Behaviour of a Flame Resulting from the Combustion of Pine Needles in a Cylindrical Basket. Int. J. Therm. Sci. 2008, 47, 293–305. [Google Scholar] [CrossRef]
  32. Incropera, F.P. Fundamentals of Heat and Mass Transfer; John Wiley & Sons: Hoboken, NJ, USA, 2007; ISBN 0471457280, 9780471457282. [Google Scholar]
  33. Butler, B.W.; Anderson, W.R.; Catchpole, E.A. Influence of Slope on Fire Spread Rate. In Proceedings of the The Fire Environment—Innovations, Management, and Policy; United States Department of Agriculture, Destin, FL, USA, 26 March 2007; pp. 75–83. [Google Scholar]
  34. Van Wagner, C.E. Effect of Slope on Fires Spreading Downhill. Can. J. For. Res. 1988, 18, 818–820. [Google Scholar] [CrossRef]
  35. Burrows, N.D. Experimental Development of a Fire Management Model for Jarrah (Eucalyptus Marginata Donn Ex Sm) Forest; Australian National University: Canberra, Australia, 1994. [Google Scholar]
  36. Dupuy, J. Slope and Fuel Load Effects on Fire Behavior: Laboratory Experiments in Pine Needles Fuel Beds. Int. J. Wildland Fire 1995, 5, 153. [Google Scholar] [CrossRef]
Disclaimer/Publisher’s Note: The statements, opinions and data contained in all publications are solely those of the individual author(s) and contributor(s) and not of MDPI and/or the editor(s). MDPI and/or the editor(s) disclaim responsibility for any injury to people or property resulting from any ideas, methods, instructions or products referred to in the content.

Article Metrics

Citations

Article Access Statistics

Multiple requests from the same IP address are counted as one view.