Modeling Brittle-to-Ductile Transitions in Rock Masses: Integrating the Geological Strength Index with the Hoek–Brown Criterion
Abstract
1. Introduction
2. Origin of the Geological Strength Index (GSI) in the Hoek–Brown Criterion
3. Ductility Parameter and Brittle–Ductile Transition Stress for Intact Rock
- The Hoek–Brown failure envelope for intact rock can be used;
- Introducing the ductility parameter (d): 1 = (d + 1) 3.
- Silicate rocks
- Carbonate rocks
4. Derivation of Confining Stress at the Brittle–Ductile Transition of Rock Mass
5. Calculation Method
- -
- Left plot (d = 3.4);
- -
- Right plot (d = 5);
- -
- Horizontal axis: GSI values, ranging between 40 and 100;
- -
- Vertical axis: Relative residual, which shows the difference between the actual numerical solution and the expected result from the equation.
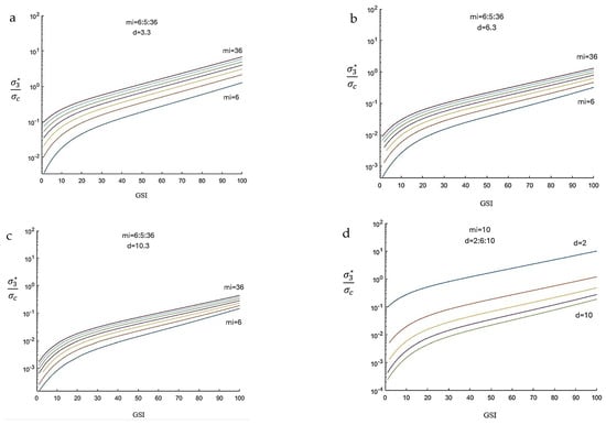
6. Results and Discussion
- (a)
- As GSI increases, () also increases, but the rate of increase diminishes at higher GSI values. Higher mi values result in higher () for the same GSI, indicating that rocks (with higher mi) can sustain more confinement. The logarithmic scale indicates that the increase in () is exponential, but the difference between the curves becomes smaller at higher GSI values, suggesting a diminishing return in confinement strength with increasing GSI.
- (b)
- Similar trends are observed as in subplot (a), but with a slightly lower rate of increase in () for the same GSI and mi values. The higher ductility parameter d (compared to subplot a) leads to lower overall () values, indicating that increased ductility reduces the rock mass’s ability to sustain confining pressure. The differences between the curves for different mi values are still present but slightly reduced, especially at higher GSI values, compared to subplot (a).
- (c)
- This plot continues the trend of decreasing () values with increasing ductility parameter d. The curves are more closely spaced, especially at lower GSI values, indicating that the influence of mi is less pronounced when the rock mass is more ductile. The exponential increase in () with GSI is still observed, but the effect of increasing mi is less significant compared to the previous subplots.
- (d)
- This plot focuses on the effect of varying d with a fixed mi value. As d increases, the curves shift downward, showing that increased ductility reduces the rock mass’s ability to sustain confining pressure for any given GSI. The exponential relationship between () and GSI remains, but the curves for higher d values are significantly lower, emphasizing the negative impact of ductility on rock mass strength. The differences between the curves are more significant at higher GSI values, indicating that the impact of ductility is more pronounced in stronger rock masses.
7. Conclusions
Author Contributions
Funding
Institutional Review Board Statement
Informed Consent Statement
Data Availability Statement
Conflicts of Interest
List of Symbols
| a | rock mass material constant (dependent on GSI) |
| d | ductility parameter |
| GSI | Geological Strength Index |
| mb | Hoek–Brown material constant of rock mass (dependent on GSI) |
| mi | Hoek–Brown material constant of intact rock |
| s | rock mass material constant (depend on GSI) |
| σ1 | major main stress |
| σ3 | minor main stress |
| σ3* | brittle–ductile transition stress |
| σc | unconfined compressive strength |
| σt | tensile strength |
References
- Hetenyi, M. Handbook of Experimental Stress Analysis; Wiley: New York, NY, USA, 1966. [Google Scholar]
- Andreev, G.E. Brittle Failure of Rock Materials: Test Results and Constitutive Models; A.A. Balkema: Rotterdam/Brookfield, VT, USA, 1995. [Google Scholar]
- Yilmaz, N.G.; Karaca, Z.; Goktan, R.M.; Akal, C. Relative brittleness characterization of some selected granitic building stones: Influence of mineral grain size. Constr. Build. Mater. 2009, 23, 370–375. [Google Scholar] [CrossRef]
- Mogi, K. Pressure dependence of rock strength and transition from brittle fracture to ductile flow. Bull. Earthq. Res. Inst. 1966, 44, 215–232. [Google Scholar]
- Liu, Z.; Shao, J. Strength behavior, creep failure and permeability change of a tight marble under triaxial compression. Rock Mech. Rock Eng. 2017, 50, 529–541. [Google Scholar] [CrossRef]
- Yang, S.-Q.; Ju, Y.; Gao, F.; Gui, Y.-L. Strength, deformability and X-ray micro-CT observations of deeply buried marble under different confining pressures. Rock Mech. Rock Eng. 2016, 49, 4227–4244. [Google Scholar] [CrossRef]
- Wawersik, W.; Fairhurst, C. A study of brittle rock fracture in laboratory compression experiments. Int. J. Rock Mech. Min. Sci. Geomech. Abstr. 1970, 7, 561–575. [Google Scholar] [CrossRef]
- Reichmuth, D.R. Point load testing of brittle materials to determine tensile strength and relative brittleness. In Proceedings of the 9th US Symposium on Rock Mechanics (USRMS), Golden, CO, USA, 17–19 April 1967; pp. 134–159. [Google Scholar]
- Lawn, B.R.; Marshall, D.B. Hardness, toughness, and brittleness: An indentation analysis. J. Am. Ceram. Soc. 1979, 62, 347–350. [Google Scholar] [CrossRef]
- Dollinger, G.L.; Handewith, H.J.; Breeds, C.D. Use of the punch test for estimating TBM performance. Int. J. Rock Mech. Mining Sci. 1998, 13, 403–408. [Google Scholar] [CrossRef]
- Kármán, T. Mitől függ az anyag igénybevétele? (What influences the strength of the materials?). Magyar Mérn. Egylet Közlönye 1910, 10, 212–226. (In Hungarian) [Google Scholar]
- Kármán von, T. Festigkeits Versuche unter allseitigem Druck. Z. Verhandl. Deut. Ingr. 1911, 55, 1749–1759. (In German) [Google Scholar]
- Deák, F.; Ván, P.; Vásárhelyi, B. Hundred years after the first triaxial test. Period. Polytech. Civ. Eng. 2012, 56, 115–122. [Google Scholar] [CrossRef]
- Evans, B.; Fredrich, J.; Wong, T.F. The Brittle-Ductile Transition in Rocks: Recent Experimental and Theoretical Progress. In The Brittle-Ductile Transition in Rocks; Duba, A.G.U., Durham, W.B., Handin, J.W., Wang, H.F., Eds.; Johon Wiley & Sons: Hoboken, NJ, USA, 1990; Volume 56. [Google Scholar]
- Ledniczky, K.; Vásárhelyi, B. Brittle-ductile transition of anisotropic rocks during three-point bending test. Acta Geod. Geoph. Hung. 2000, 35, 75–80. [Google Scholar] [CrossRef]
- Ván, P.; Vásárhelyi, B. Centenary of the first triaxial test—Recalculation of the results of Kármán. In Eurock’2010 (Laussane), Rock Mechanics in Civil and Environment; Zhao, J., Labiouse, V., Dubt, J.-P., Mathier, J.-F., Eds.; Taylor & Francis Group: London, UK, 2010; pp. 59–62. [Google Scholar]
- Robertson, E.C. Experimental study of the strength of rocks. Bull. Geol. Soc. Am. 1955, 66, 1275–1314. [Google Scholar] [CrossRef]
- Paterson, M.S.M.; Wong, T.-F. Experimental Rock Deformation: The Brittle Field; Springer: Berlin/Heidelberg, Germany, 2005. [Google Scholar]
- Heard, H.C. Transition from brittle fracture to ductile flow in Solnhofen limestone as a function of temperature, confining pressure, and interstitial fluid pressure. In Rock Deformation. Geology Society of America Memoirs; Griggs, D., Handin, J., Eds.; Geological Society of America: McLean, VA, USA, 1960; pp. 193–226. [Google Scholar]
- Byerlee, J.D. Brittle-ductile transition in rocks. J. Geophys. Res. 1968, 73, 4741–4750. [Google Scholar] [CrossRef]
- Mogi, K. Fracture and flow of rocks. Dev. Geotecton. 1972, 4, 541–568. [Google Scholar]
- Hoek, E.; Brown, E.T. Empirical strength criterion for rock masses. J. Geotech. Eng. Div. 1980, 106, 1013–1035. [Google Scholar] [CrossRef]
- Wong, T.-f.; Baud, P. The brittle-ductile transition in porous rock: A review. J. Struct. Geol. 2012, 44, 25–53. [Google Scholar] [CrossRef]
- Hoek, E.; Martin, C.D. Fracture initiation and propagation in intact rock—A review. J. Rock Mech. Geotech. Eng. 2014, 6, 278–300. [Google Scholar] [CrossRef]
- Jacquey, A.B.; Cacace, M. Multiphysics modeling of a brittle-ductile lithosphere: 2. Semi-brittle, semi-ductile deformation and damage rheology. J. Geophys. Res. Solid Earth 2020, 125, 2019JB018475. [Google Scholar] [CrossRef]
- O’Ghaffari, H.; Pec, M.; Mittal, T.; Mok, U.; Chang, H.; Evans, B. Microscopic defect dynamics during a brittle-to-ductile transition. Proc. Natl. Acad. Sci. USA 2023, 120, e2305667120. [Google Scholar] [CrossRef] [PubMed]
- Tang, Y.; Sun, Y.; Zhu, Y.; Zhang, C.; Li, J. A unified hardening/softening elastoplastic model for rocks undergoing brittle-ductile transition with strength-mapping and fractional plastic flow rule. Comput. Geotech. 2024, 173, 106501. [Google Scholar] [CrossRef]
- Aubertin, M.; Gill, D.E.; Simon, R. On the use of the brittleness index modified (BIM) to estimate the post-peak behavior of rock. In Proceedings of the 1st North American Rock Mechanics Symposium, Austin, TX, USA, 1–3 June 1994; pp. 945–952. [Google Scholar]
- Meng, F.Z.; Zhou, H.; Zhang, C.; Xu, R.; Lu, J. Evaluation methodology of brittleness of rock based on post-peak stress-strain curves. Rock Mech. Rock Eng. 2015, 48, 1787–1805. [Google Scholar] [CrossRef]
- Zhang, L.M.; Cong, Y.; Meng, F.Z.; Wang, Z.Q.; Zhang, P.; Gao, S. Energy evolution analysis and failure criteria for rock under different stress paths. Acta Geotech. 2021, 16, 569–580. [Google Scholar] [CrossRef]
- Gong, F.Q.; Yan, J.Y.; Song Luo, S.; Li, X.B. Investigation on the linear energy storage and dissipation laws of rock materials under uniaxial compression. Rock Mech. Rock Eng. 2019, 52, 4237–4255. [Google Scholar] [CrossRef]
- Hoek, E.; Brown, E.T. Underground Excavations in Rock; Institution of Mining and Metallurgy: London, UK, 1980. [Google Scholar]
- Eberhardt, E. The Hoek–Brown failure criterion. Rock Mech. Rock Eng. 2012, 45, 981–988. [Google Scholar] [CrossRef]
- Hoek, E.; Brown, E.T. The Hoek–Brown failure criterion and GSI: 2018 edition. J. Rock Mech. Geotech. Eng. 2019, 11, 445–463. [Google Scholar] [CrossRef]
- Walton, G. A new perspective on the brittle-ductile transition of rocks. Rock Mech. Rock Eng. 2021, 54, 5993–6006. [Google Scholar] [CrossRef]
- Davarpanah, S.M.; Sharghi, M.; Narimani, S.; Török, Á.; Vásárhelyi, B. Brittle-ductile transition stress of different rock types and its relationship with uniaxial compressive strength and Hoek–Brown material constant (mi). Sci. Rep. 2023, 13, 1186. [Google Scholar] [CrossRef] [PubMed]
- Davarpanah, S.M.; Sharghi, M.; Vásárhelyi, B.; Török, Á. Characterization of Hoek–Brown constant mi of quasi-isotropic intact rock using rigidity index approach. Acta Geotech. 2022, 17, 877–902. [Google Scholar] [CrossRef]






| Rock Type | Confining Pressure [MPa] |
|---|---|
| Rock salt | 0–17 |
| Chalk | <10 |
| Limestone | 20–220 |
| Sandstone | 10–400 |
| Granite | >>100 |
Disclaimer/Publisher’s Note: The statements, opinions and data contained in all publications are solely those of the individual author(s) and contributor(s) and not of MDPI and/or the editor(s). MDPI and/or the editor(s) disclaim responsibility for any injury to people or property resulting from any ideas, methods, instructions or products referred to in the content. |
© 2024 by the authors. Licensee MDPI, Basel, Switzerland. This article is an open access article distributed under the terms and conditions of the Creative Commons Attribution (CC BY) license (https://creativecommons.org/licenses/by/4.0/).
Share and Cite
Vásárhelyi, B.; Narimani, S.; Davarpanah, S.M.; Mocsár, G. Modeling Brittle-to-Ductile Transitions in Rock Masses: Integrating the Geological Strength Index with the Hoek–Brown Criterion. Appl. Mech. 2024, 5, 634-645. https://doi.org/10.3390/applmech5040036
Vásárhelyi B, Narimani S, Davarpanah SM, Mocsár G. Modeling Brittle-to-Ductile Transitions in Rock Masses: Integrating the Geological Strength Index with the Hoek–Brown Criterion. Applied Mechanics. 2024; 5(4):634-645. https://doi.org/10.3390/applmech5040036
Chicago/Turabian StyleVásárhelyi, Balázs, Samad Narimani, Seyed Morteza Davarpanah, and Gábor Mocsár. 2024. "Modeling Brittle-to-Ductile Transitions in Rock Masses: Integrating the Geological Strength Index with the Hoek–Brown Criterion" Applied Mechanics 5, no. 4: 634-645. https://doi.org/10.3390/applmech5040036
APA StyleVásárhelyi, B., Narimani, S., Davarpanah, S. M., & Mocsár, G. (2024). Modeling Brittle-to-Ductile Transitions in Rock Masses: Integrating the Geological Strength Index with the Hoek–Brown Criterion. Applied Mechanics, 5(4), 634-645. https://doi.org/10.3390/applmech5040036

