Filtering Useful App Reviews Using Naïve Bayes—Which Naïve Bayes?
Abstract
1. Introduction
2. Related Work
3. Methods and Concepts
3.1. Pre-Processing of Reviews
3.2. Multinomial Naïve Bayes
| Algorithm 1. Learning phase of Multinomial Naïve Bayes for performing predictions |
| Begin 1. From the manually classified pre-processed app reviews, extract Vocabulary (V) 2. Calculate P(cn) terms 2.1 For each cn in C do: 2.1.1 reviewsn ← all reviews with category = cn 2.1.2 P(cn) ← |reviewsn|/|Total reviews| 3. For every word wi, given every category cn 3.1 Calculate P(wi|cn) (maximum likelihood estimates) 3.1.1 Word spacen ← words belonging to reviewsn 3.1.2 For each word wi in the Vocabulary (V) 3.1.2.1 ni ← Total occurrences of wi in Word spacen consisting of a total of n words 3.1.2.2 P(wi|cn) ← ni/n End |
3.3. Complement Naïve Bayes
| Algorithm 2. Learning phase of Complement Naïve Bayes for performing predictions |
| Begin 1. From the manually classified pre-processed app reviews, extract Vocabulary (V) 2. Calculate P (cn) terms 2.1 For each cn in C do: 2.1.1 reviewsn ← all reviews with category = cn 2.1.2 P (cn) ← |reviewsn|/|Total reviews| 3. For every word wi, given every category cn 3.1 Calculate P (wi-|) (maximum likelihood estimates) 3.1.1 Word spacen ← words belonging to reviews of category(ies) 3.1.2 For each word wi in the Vocabulary (V) 3.1.2.1 ni ← Total occurrences of wi in Word spacen consisting of a total of n words 3.1.2.2 P (wi|) ← ni/n End |
3.4. Laplace Smoothing
3.5. Expectation Maximization
| Algorithm 3. Expectation Maximization concept for semi-supervised learning |
| Begin 1. Train the Multinomial Naïve Bayes method mNB using the manually categorized set of reviews R. 2. Expectation (E): 2.1 For each review Ri in the review set AR 2.1.1 Using the method mNB, calculate P(cn|Ri) 3. Maximization (M): 3.1 Train an updated version of mNB from R ∪ AR by calculating P(cn) and P(wi|cn) 4. Repeat steps 2 and 3 until mNB’s parameters (maximum likelihood estimators) become constant. 5. Return mNB after completion of step 4. End |
3.6. Summary of Naïve Bayes Variants
3.7. Experimental Setting
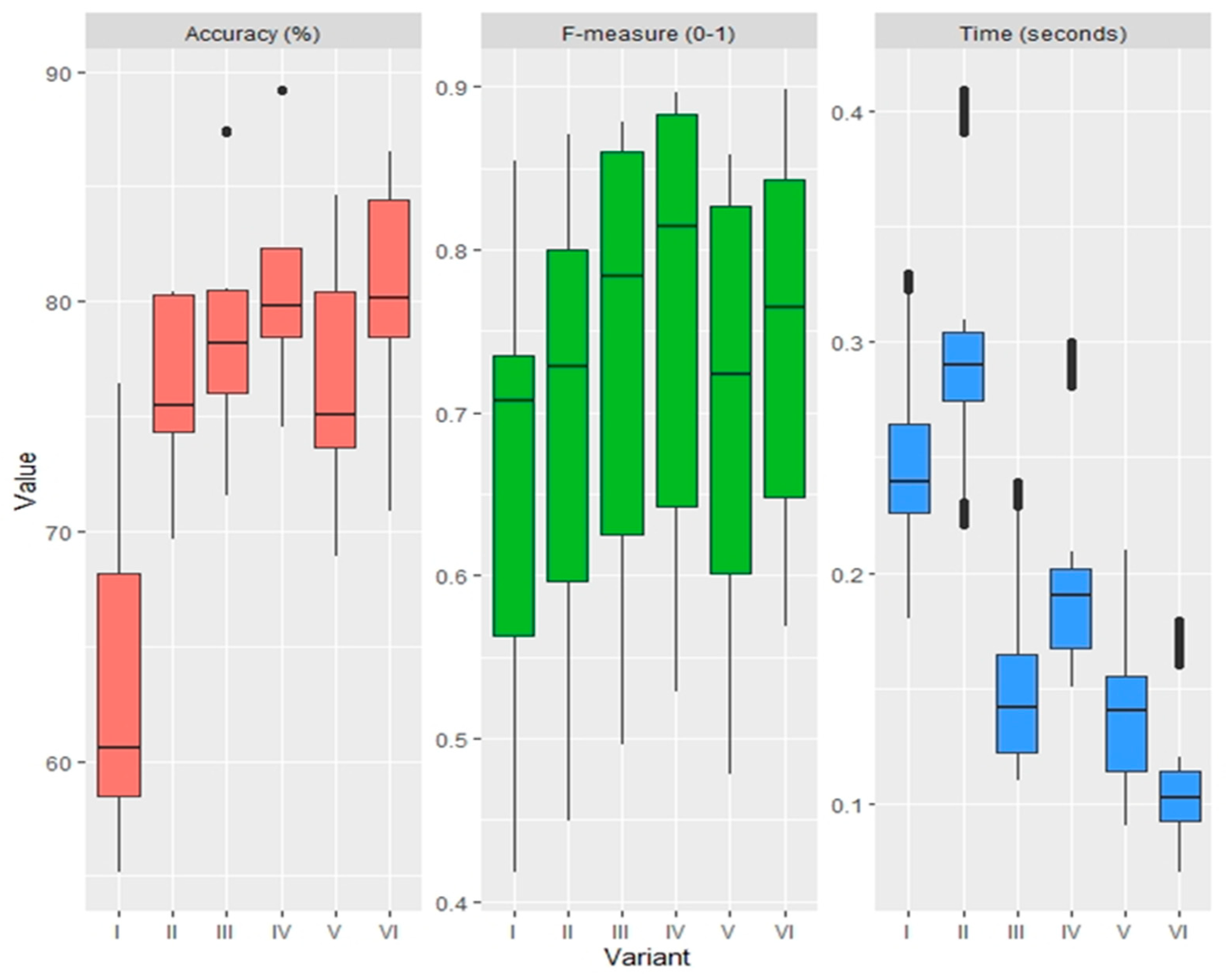
4. Results
5. Discussion and Implications
6. Threats to Validity
6.1. Internal Validity
6.2. External Validity
6.3. Construct Validity
7. Conclusions and Future Work
Author Contributions
Funding
Institutional Review Board Statement
Informed Consent Statement
Data Availability Statement
Acknowledgments
Conflicts of Interest
Appendix A
| App Name | Total Number of Reviews Logged Category | Maximum Review Length (Characters) | Minimum Review Length (Characters) | Average Length of Review | Average App Rating | Category |
|---|---|---|---|---|---|---|
| MyTracks | 4003 | 1988 | 3 | 136 | 3.8 | Travel |
| Flutter | 3483 | 2110 | 2 | 126 | 4.2 | Casual |
| ThreeNow | 3683 | 1483 | 2 | 132 | 1.5 | Entertainment |
| TradeMe | 4559 | 1732 | 3 | 112 | 3.2 | Shopping |
| Vodafone NZ | 6583 | 1434 | 2 | 123 | 2.4 | Tool |
References
- Iqbal, M. App Revenue Data (2024), Business of Apps. Available online: https://www.businessofapps.com/data/app-revenues/ (accessed on 5 June 2024).
- Laricchia, F. Topic: Smartphones, Statista. Available online: https://www.statista.com/topics/840/smartphones/ (accessed on 13 June 2024).
- Malgaonkar, S. Prioritisation of Requests, Bugs and Enhancements Pertaining to Apps for Remedial actions Towards Solving the Problem of Which App Concerns to Address Initially for App Developers. Ph.D. Thesis, University of Otago, Dunedin, New Zealand, 2021. [Google Scholar]
- Pagano, D.; Maalej, W. User feedback in the appstore: An empirical study. In Proceedings of the 2013 21st IEEE International Requirements Engineering Conference (RE), Rio de Janeiro, Brazil, 15–19 July 2013; pp. 125–134. [Google Scholar]
- Maalej, W.; Nayebi, M.; Johann, T.; Ruhe, G. Toward Data-Driven Requirements Engineering. IEEE Softw. 2016, 33, 48–54. [Google Scholar] [CrossRef]
- Fawareh, H.M.A.; Jusoh, S.; Osman, W.R.S. Ambiguity in text mining. In Proceedings of the 2008 International Conference on Computer and Communication Engineering, Kuala Lumpur, Malaysia, 13–15 May 2008; pp. 1172–1176. [Google Scholar]
- Corbett, J.; Savarimuthu, B.T.R.; Lakshmi, V. Separating Treasure from Trash: Quantifying Data Waste in App Reviews; University of Otago: Dunedin, New Zealand, 2020. [Google Scholar]
- Licorish, S.A.; Savarimuthu, B.T.R.; Keertipati, S. Attributes that Predict which Features to Fix. In Proceedings of the 21st International Conference on Evaluation and Assessment in Software Engineering, Karlskrona, Sweden, 15–16 June 2017; pp. 108–117. [Google Scholar]
- Maalej, W.; Kurtanović, Z.; Nabil, H.; Stanik, C. On the automatic classification of app reviews. Requir. Eng. 2016, 21, 311–331. [Google Scholar] [CrossRef]
- Keertipati, S.; Savarimuthu, B.T.R.; Licorish, S.A. Approaches for prioritizing feature improvements extracted from app reviews. In Proceedings of the 20th International Conference on Evaluation and Assessment in Software Engineering, Limerick, Ireland, 1–3 June 2016; pp. 1–6. [Google Scholar]
- Fu, B.; Lin, J.; Li, L.; Faloutsos, C.; Hong, J.; Sadeh, N. Why people hate your app. In Proceedings of the 19th ACM SIGKDD International Conference on Knowledge Discovery and Data Mining, Chicago, IL, USA, 11–14 August 2013; pp. 1276–1284. [Google Scholar]
- Chen, N.; Lin, J.; Hoi, S.C.H.; Xiao, X.; Zhang, B. AR-miner: Mining informative reviews for developers from mobile app marketplace. In Proceedings of the 36th International Conference on Software Engineering, Hyderabad, India, 31 May–7 June 2014; pp. 767–778. [Google Scholar]
- Shah, F.A.; Sirts, K.; Pfahl, D. Simple App Review Classification with Only Lexical Features. In Proceedings of the ICSOFT, Porto, Portugal, 26–28 July 2018; pp. 146–153. [Google Scholar]
- Luo, Q.; Xu, W.; Guo, J. A Study on the CBOW Model’s Overfitting and Stability. In Proceedings of the 5th International Workshop on Web-Scale Knowledge Representation Retrieval & Reasoning, Shanghai, China, 3 November 2014; pp. 9–12. [Google Scholar]
- Johann, T.; Stanik, C.; Maalej, W. SAFE: A Simple Approach for Feature Extraction from App Descriptions and App Reviews. In Proceedings of the 2017 IEEE 25th International Requirements Engineering Conference (RE), Lisbon, Portugal, 4–8 September 2017; pp. 21–30. [Google Scholar]
- Gao, C.; Zeng, J.; Lyu, M.R.; King, I. Online App Review Analysis for Identifying Emerging Issues. In Proceedings of the 2018 IEEE/ACM 40th International Conference on Software Engineering (ICSE), Gothenburg, Sweden, 27 May–3 June 2018; pp. 48–58. [Google Scholar]
- Suresh, K.P.; Urolagin, S. Android App Success Prediction based on Reviews. In Proceedings of the 2020 International Conference on Computation, Automation and Knowledge Management (ICCAKM), Dubai, United Arab Emirates, 9–10 January 2020; pp. 358–362. [Google Scholar]
- Hoon, L.; Vasa, R.; Schneider, J.-G.; Mouzakis, K. A preliminary analysis of vocabulary in mobile app user reviews. In Proceedings of the 24th Australian Computer-Human Interaction Conference, Melbourne, Australia, 26–30 November 2012; pp. 245–248. [Google Scholar]
- Panichella, S.; Sorbo, A.D.; Guzman, E.; Visaggio, C.A.; Canfora, G.; Gall, H.C. How can I improve my app? Classifying user reviews for software maintenance and evolution. In Proceedings of the 2015 IEEE International Conference on Software Maintenance and Evolution (ICSME), Bremen, Germany, 29 September–1 October 2015; pp. 281–290. [Google Scholar]
- Iacob, C.; Harrison, R. Retrieving and analyzing mobile apps feature requests from online reviews. In Proceedings of the 2013 10th Working Conference on Mining Software Repositories (MSR), San Francisco, CA, USA, 18–19 May 2013; pp. 41–44. [Google Scholar]
- Sutino, Q.; Siahaan, D. Feature extraction from app reviews in google play store by considering infrequent feature and app description. J. Phys. Conf. Ser. 2019, 1230, 012007. [Google Scholar] [CrossRef]
- Cleland-Huang, J.; Settimi, R.; Zou, X.; Solc, P. Automated classification of non-functional requirements. Requir. Eng. 2007, 12, 103–120. [Google Scholar] [CrossRef]
- Panichella, S.; Ruiz, M. Requirements-Collector: Automating Requirements Specification from Elicitation Sessions and User Feedback. In Proceedings of the 2020 IEEE 28th International Requirements Engineering Conference (RE), Zurich, Switzerland, 31 August–4 September 2020; pp. 404–407. [Google Scholar]
- Michie, D.; Spiegelhalter, D.J.; Taylor, C. Machine Learning, Neural and Statistical Classification; Ellis Horwood: Amsterdam, The Netherlands, 1994; p. 13. [Google Scholar]
- Caruana, R.; Niculescu-Mizil, A. An empirical comparison of supervised learning algorithms. In Proceedings of the 23rd international conference on Machine learning—ICML ‘06, Pittsburgh, PA, USA, 25–29 June 2006; pp. 161–168. [Google Scholar]
- Wang, C.; Zhang, F.; Liang, P.; Daneva, M.; van Sinderen, M. Can app changelogs improve requirements classification from app reviews? In Proceedings of the 12th ACM/IEEE International Symposium on Empirical Software Engineering and Measurement, Oulu, Finland, 11–12 October 2018; pp. 1–4. [Google Scholar]
- McCallum, A.; Nigam, K. A Comparison of Event Models for Naive Bayes Text Classification. In Proceedings of the AAAI-98 Workshop on Learning for Text Categorization, Madison, Wisconsin, 26–27 July 1998. [Google Scholar]
- Yuan, Q.; Cong, G.; Thalmann, N.M. Enhancing naive bayes with various smoothing methods for short text classification. In Proceedings of the 21st International Conference on World Wide Web, Lyon, France, 16–20 April 2012; pp. 645–646. [Google Scholar]
- Iacob, C.; Harrison, R.; Faily, S. Online Reviews as First Class Artifacts in Mobile App Development; Springer: Cham, Switzerland, 2014; pp. 47–53. [Google Scholar]
- Sokolova, M.; Lapalme, G. A systematic analysis of performance measures for classification tasks. Inf. Process. Manag. 2009, 45, 427–437. [Google Scholar] [CrossRef]
- Wang, T.; Li, W.-h. Naive bayes software defect prediction model. In Proceedings of the 2010 International Conference on Computational Intelligence and Software Engineering, Wuhan, China, 10–12 December 2010; pp. 1–4. [Google Scholar]
- Salton, G.; Wong, A.; Yang, C.-S. A vector space model for automatic indexing. Commun. ACM 1975, 18, 613–620. [Google Scholar] [CrossRef]
- Aggarwal, C.; Zhai, C. Mining Text Data; Springer: Berlin/Heidelberg, Germany, 2012. [Google Scholar]
- Plisson, J.; Lavrac, N.; Mladenic, D. A rule based approach to word lemmatization. Proc. IS 2004, 3, 83–86. [Google Scholar]
- Rennie, J.D.; Shih, L.; Teevan, J.; Karger, D.R. Tackling the poor assumptions of naive bayes text classifiers. In Proceedings of the 20th International Conference on Machine Learning (ICML-03), Washington, DC, USA, 21–24 August 2003; pp. 616–623. [Google Scholar]
- Lowd, D.; Domingos, P. Naive Bayes models for probability estimation. In Proceedings of the 22nd International Conference on Machine Learning, Bonn, Germany, 7–11 August 2005; pp. 529–536. [Google Scholar]
- He, F.; Ding, X. Improving naive bayes text classifier using smoothing methods. In Proceedings of the European Conference on Information Retrieval, Rome, Italy, 2–5 April 2007; pp. 703–707. [Google Scholar]
- Dempster, A.P.; Laird, N.M.; Rubin, D.B. Maximum likelihood from incomplete data via the EM algorithm. J. R. Stat. Soc. Ser. B 1977, 39, 1–38. [Google Scholar] [CrossRef]
- Liu, B. Web Data Mining: Exploring Hyperlinks, Contents, and Usage Data; Springer: Berlin/Heidelberg, Germany, 2007. [Google Scholar]
- Collins, M. The Naive Bayes Model, Maximum-Likelihood Estimation, and the EM Algorithm. Lecture Notes 2012. Available online: https://www.cs.columbia.edu/~mcollins/em.pdf (accessed on 13 June 2024).
- Nigam, K.; McCallum, A.K.; Thrun, S.; Mitchell, T. Text Classification from Labeled and Unlabeled Documents using EM. Mach. Learn. 2000, 39, 103–134. [Google Scholar] [CrossRef]
- Maalej, H.N.W. Bug report, feature request, or simply praise? On automatically classifying app reviews. In Proceedings of the 2015 IEEE 23rd International Requirements Engineering Conference (RE), Ottawa, Canada, 24–28 August 2015; pp. 116–125. [Google Scholar]
- Kulesza, T.; Amershi, S.; Caruana, R.; Fisher, D.; Charles, D. Structured labeling for facilitating concept evolution in machine learning. In Proceedings of the SIGCHI Conference on Human Factors in Computing Systems, Toronto, ON, Canada, 26 April–1 May 2014; pp. 3075–3084. [Google Scholar]
- Stumpf, S.; Rajaram, V.; Li, L.; Burnett, M.; Dietterich, T.; Sullivan, E.; Drummond, R.; Herlocker, J. Toward harnessing user feedback for machine learning. In Proceedings of the 12th International Conference on Intelligent User Interfaces, Honolulu, HI, USA, 28–31 January 2007; pp. 82–91. [Google Scholar]
- He, H.; Garcia, E.A. Learning from imbalanced data. IEEE Trans. Knowl. Data Eng. 2009, 21, 1263–1284. [Google Scholar]
- Leevy, J.L.; Khoshgoftaar, T.M.; Bauder, R.A.; Seliya, N. A survey on addressing high-class imbalance in big data. J. Big Data 2018, 5, 42. [Google Scholar] [CrossRef]
- Almuayqil, S.N.; Humayun, M.; Jhanjhi, N.; Almufareh, M.F.; Javed, D. Framework for improved sentiment analysis via random minority oversampling for user tweet review classification. Electronics 2022, 11, 3058. [Google Scholar] [CrossRef]
- Fleiss, J.L.; Cohen, J. The equivalence of weighted kappa and the intraclass correlation coefficient as measures of reliability. Educ. Psychol. Meas. 1973, 33, 613–619. [Google Scholar] [CrossRef]
- Landis, J.R.; Koch, G.G. The measurement of observer agreement for categorical data. Biometrics 1977, 33, 159–174. [Google Scholar] [CrossRef] [PubMed]
- Huang, G.-B.; Zhu, Q.-Y.; Siew, C.-K. Extreme learning machine: Theory and applications. Neurocomputing 2006, 70, 489–501. [Google Scholar] [CrossRef]
- Arlot, S.; Celisse, A. A survey of cross-validation procedures for model selection. Stat. Surv. 2010, 4, 40–79. [Google Scholar] [CrossRef]
- Kohavi, R. A study of cross-validation and bootstrap for accuracy estimation and model selection. In Proceedings of the IJCAI, Montreal, QC, Canada, 20–25 August 1995; pp. 1137–1145. [Google Scholar]
- Sheskin, D.J. Handbook of Parametric and Nonparametric Statistical Procedures; Chapman and Hall/CRC: Boca Raton, FL, USA, 2003. [Google Scholar]
- Wilcox, R.R. Introduction to Robust Estimation and Hypothesis Testing; Academic Press: Cambridge, MA, USA, 2011. [Google Scholar]
- Myers, L.; Sirois, M.J. Spearman correlation coefficients, differences between. Encycl. Stat. Sci. 2004, 12. [Google Scholar] [CrossRef]
- Zhu, J.; Wang, H.; Zhang, X. Discrimination-based feature selection for multinomial naïve bayes text classification. In Proceedings of the International Conference on Computer Processing of Oriental Languages, Singapore, 17–19 December 2006; pp. 149–156. [Google Scholar]
- Kim, S.-B.; Rim, H.-C.; Yook, D.; Lim, H.-S. Effective methods for improving naive bayes text classifiers. In Proceedings of the Pacific Rim International Conference on Artificial Intelligence, Tokyo, Japan, 18–22 August 2002; pp. 414–423. [Google Scholar]
- John, G.H.; Langley, P. Estimating continuous distributions in Bayesian classifiers. In Proceedings of the Eleventh Conference on Uncertainty in Artificial Intelligence, Montreal, QC, Canada, 18–20 August 1995; pp. 338–345. [Google Scholar]
- Ng, A.Y.; Jordan, M.I. On discriminative vs. generative classifiers: A comparison of logistic regression and naive bayes. In Proceedings of the Advances in Neural Information Processing Systems, Vancouver, BC, Canada, 3–8 December 2002; pp. 841–848. [Google Scholar]
- Boullé, M. MODL: A Bayes optimal discretization method for continuous attributes. Mach. Learn. 2006, 65, 131–165. [Google Scholar] [CrossRef]
- Boullé, M. A Bayes Optimal Approach for Partitioning the Values of Categorical Attributes. J. Mach. Learn. Res. 2005, 6, 1431–1452. [Google Scholar]
- Ren, J.; Lee, S.D.; Chen, X.; Kao, B.; Cheng, R.; Cheung, D. Naive bayes classification of uncertain data. In Proceedings of the 2009 Ninth IEEE International Conference on Data Mining, Miami, FL, USA, 6–9 December 2009; pp. 944–949. [Google Scholar]
- Jung, Y.G.; Kim, K.T.; Lee, B.; Youn, H.Y. Enhanced Naive Bayes Classifier for real-time sentiment analysis with SparkR. In Proceedings of the 2016 International Conference on Information and Communication Technology Convergence (ICTC), Jeju Island, Republic of Korea, 19–21 October 2016; pp. 141–146. [Google Scholar]
- Liu, Y.; Yi, X.; Chen, R.; Zhai, Z.; Gu, J. Feature extraction based on information gain and sequential pattern for English question classification. IET Softw. 2018, 12, 520–526. [Google Scholar] [CrossRef]

| Variant | Name | Description |
|---|---|---|
| I | Multinomial Naïve Bayes | This variant is the Multinomial Naïve Bayes method described in Section 3.2. |
| II | Expectation Maximization—Multinomial Naïve Bayes | The Expectation Maximization concept described in Section 3.5 has been incorporated in I. Thus, this variant is the semi-supervised version of I. |
| III | Multinomial Naïve Bayes with Laplace smoothing | The Multinomial Naïve Bayes method has been incorporated with the concept of Laplace smoothing as described in Section 3.4. Thus, this variant is the post version of I. |
| IV | Expectation Maximization—Multinomial Naïve Bayes with Laplace smoothing | The Multinomial Naïve Bayes method has been incorporated with the concept of Laplace smoothing as well as Expectation Maximization. Thus, this variant is the semi-supervised version of III and the post version of II. |
| V | Complement Naïve Bayes | This variant is the Complement Naïve Bayes method described in Section 3.3. |
| VI | Complement Naïve Bayes with Laplace smoothing | The Complement Naïve Bayes method has been incorporated with the concept of Laplace smoothing. Thus, this variant is the post version of V. |
| Label | Rule | App Review Examples |
|---|---|---|
| Useful | Request
|
|
Bug
|
| |
Suggestion
|
| |
| Non-Useful | Irrelevant and unwanted information |
|
| Dataset | Category Labels | Imbalance Scale (0–1) | Variant | Accuracy (%) | Precision (0–1) | Recall (0–1) | F (0–1) | Time (Seconds) |
|---|---|---|---|---|---|---|---|---|
| TradeMe | Imbalanced | 0.7 | I | 59.3 | 0.40 | 0.98 | 0.57 | 0.23 |
| II | 74.9 | 0.58 | 0.62 | 0.60 | 0.29 | |||
| III | 78.1 | 0.64 | 0.63 | 0.63 | 0.14 | |||
| IV | 79.0 | 0.65 | 0.64 | 0.64 | 0.17 | |||
| V | 74.1 | 0.54 | 0.71 | 0.61 | 0.12 | |||
| VI | 80.2 | 0.56 | 0.78 | 0.65 | 0.10 | |||
| MyTracks | Balanced | 0.3 | I | 68.1 | 0.56 | 0.98 | 0.71 | 0.26 |
| II | 80.4 | 0.73 | 0.88 | 0.80 | 0.30 | |||
| III | 87.4 | 0.81 | 0.91 | 0.86 | 0.12 | |||
| IV | 89.2 | 0.84 | 0.94 | 0.89 | 0.19 | |||
| V | 84.6 | 0.76 | 0.90 | 0.82 | 0.15 | |||
| VI | 86.5 | 0.78 | 0.91 | 0.84 | 0.10 | |||
| Vodafone NZ | Imbalanced | 0.8 | I | 56.9 | 0.28 | 0.93 | 0.43 | 0.32 |
| II | 75.1 | 0.52 | 0.41 | 0.46 | 0.40 | |||
| III | 76.6 | 0.72 | 0.39 | 0.51 | 0.23 | |||
| IV | 78.2 | 0.75 | 0.43 | 0.55 | 0.29 | |||
| V | 75.2 | 0.43 | 0.57 | 0.49 | 0.20 | |||
| VI | 79.6 | 0.53 | 0.63 | 0.58 | 0.17 | |||
| ThreeNow | Balanced | 0.1 | I | 60.2 | 0.57 | 0.97 | 0.72 | 0.24 |
| II | 71.1 | 0.71 | 0.76 | 0.74 | 0.28 | |||
| III | 74.1 | 0.74 | 0.83 | 0.78 | 0.16 | |||
| IV | 78.2 | 0.77 | 0.86 | 0.81 | 0.19 | |||
| V | 69.6 | 0.70 | 0.75 | 0.73 | 0.14 | |||
| VI | 72.2 | 0.73 | 0.80 | 0.76 | 0.11 | |||
| Flutter | Imbalanced | 0.7 | I | 76.2 | 0.75 | 0.97 | 0.85 | 0.19 |
| II | 80.3 | 0.82 | 0.91 | 0.86 | 0.23 | |||
| III | 80.5 | 0.81 | 0.94 | 0.87 | 0.12 | |||
| IV | 82.3 | 0.84 | 0.93 | 0.88 | 0.16 | |||
| V | 80.4 | 0.83 | 0.87 | 0.85 | 0.10 | |||
| VI | 84.4 | 0.87 | 0.91 | 0.89 | 0.08 |
| Variant | Spearman’s Rho (r) | ||
|---|---|---|---|
| Accuracy | F | Time | |
| I | −0.4 * | −0.41 * | 0.2 * |
| II | 0.1 * | −0.33 * | 0.4 * |
| III | 0.0 | −0.17 * | 0.2 * |
| IV | −0.2 * | −0.11 * | 0.4 * |
| V | 0.2 * | −0.13 * | 0.2 * |
| VI | 0.0 | 0.15 * | 0.2 * |
| Variant | Spearman’s Rho (r) |
|---|---|
| I | −0.7 * |
| II | −0.7 * |
| III | −0.7 * |
| IV | −0.5 * |
| V | −0.6 * |
| VI | −0.7 * |
Disclaimer/Publisher’s Note: The statements, opinions and data contained in all publications are solely those of the individual author(s) and contributor(s) and not of MDPI and/or the editor(s). MDPI and/or the editor(s) disclaim responsibility for any injury to people or property resulting from any ideas, methods, instructions or products referred to in the content. |
© 2024 by the authors. Licensee MDPI, Basel, Switzerland. This article is an open access article distributed under the terms and conditions of the Creative Commons Attribution (CC BY) license (https://creativecommons.org/licenses/by/4.0/).
Share and Cite
Ataei, P.; Regula, S.; Staegemann, D.; Malgaonkar, S. Filtering Useful App Reviews Using Naïve Bayes—Which Naïve Bayes? AI 2024, 5, 2237-2259. https://doi.org/10.3390/ai5040110
Ataei P, Regula S, Staegemann D, Malgaonkar S. Filtering Useful App Reviews Using Naïve Bayes—Which Naïve Bayes? AI. 2024; 5(4):2237-2259. https://doi.org/10.3390/ai5040110
Chicago/Turabian StyleAtaei, Pouya, Sri Regula, Daniel Staegemann, and Saurabh Malgaonkar. 2024. "Filtering Useful App Reviews Using Naïve Bayes—Which Naïve Bayes?" AI 5, no. 4: 2237-2259. https://doi.org/10.3390/ai5040110
APA StyleAtaei, P., Regula, S., Staegemann, D., & Malgaonkar, S. (2024). Filtering Useful App Reviews Using Naïve Bayes—Which Naïve Bayes? AI, 5(4), 2237-2259. https://doi.org/10.3390/ai5040110

