Next Article in Journal
The Identification of Potential Nutritional and Sensory Markers for the Authentication of an Innovative Canestrato Cheese Based on Plant-Derived Rennet
Previous Article in Journal
Enteric Methane Emission Factor for Dairy Farming in Peru
 
 
Font Type:
Arial Georgia Verdana
Font Size:
Aa Aa Aa
Line Spacing:
Column Width:
Background:
Article

Comparative Study of Coagulation Dynamics: Cardoon Flower Extract vs. Chymosin

by
Sandra Gomes
1,2,*,
Ivanilda Pina
3,
Jaime Fernandes
1,2,
João Dias
3,4,5,
Fernando Reboredo
2,4,
António P. L. Martins
1,4,† and
Nuno Alvarenga
1,4
1
Technology and Innovation Unit, National Institute for Agricultural and Veterinary Research, Quinta do Marquês, 2780-157 Oeiras, Portugal
2
NOVA School of Science and Technology, 2829-516 Caparica, Portugal
3
Polytechnic Institute of Beja, Rua Pedro Soares, 7800-295 Beja, Portugal
4
GeoBioTec Research Center, NOVA School of Science and Technology, 2829-516 Caparica, Portugal
5
MED—Mediterranean Institute for Agriculture, Environment and Development, University of Évora, 7006-554 Évora, Portugal
*
Author to whom correspondence should be addressed.
Deceased author.
Dairy 2024, 5(4), 817-827; https://doi.org/10.3390/dairy5040059
Submission received: 5 September 2024 / Revised: 6 December 2024 / Accepted: 9 December 2024 / Published: 12 December 2024

Abstract

Milk coagulants play a crucial role in defining curd characteristics. The objective of this study was to compare the coagulation dynamics of two commonly used coagulants in cheesemaking: cardoon flower extract (Cynara cardunculus L.) and commercial chymosin, using sheep milk from four different origins in the Baixo Alentejo region of Portugal, as the substrate. Milk composition was determined using the MilkoScan 133B, while the milk-clotting time (MCT) was measured following ISO 23058/IDF 199:2006 guidelines with slight modifications and coagulation kinetics, and technological properties were evaluated using the Optigraph apparatus. The results demonstrate that the type of coagulant impacts the coagulation properties of sheep milk. Pearson’s correlation analysis indicated that milk samples with higher protein content exhibited longer coagulation times but resulted in firmer curds. On the other hand, the use of cardoon flower extract introduced greater variability compared to chymosin, with a delayed onset of coagulation, reduced curd firmness, and increased variability in enzymatic kinetics. These results suggest that cardoon extract, while traditional, introduces greater heterogeneity in curd formation compared to the more consistent action of chymosin.

1. Introduction

A ‘food enzyme’ refers to a protein derived from plants, animals, or micro-organisms, including those obtained via fermentation. It contains one or more enzymes that catalyze specific biochemical reactions and is added to food for technological purposes during any stage of production, processing, or storage [1]. Although calf rennet remains the most used enzyme for milk coagulation, its limited availability and high costs have driven the search for rennet substitutes over the past fifty years [2]. Historically, vegetable extracts have served as coagulants in cheesemaking across the Mediterranean, West Africa, and Southern Europe [3]. Specifically, the use of aqueous extracts from Cynara cardunculus L. is mandatory in the artisanal production of certain traditional sheep’s cheeses in Portugal and Spain, under the Protected Designation of Origin (PDO) status [4,5]. Nowadays, the increasing use of vegetable proteases as a coagulant agent is reported not only for being part of the traditional cheesemaking heritage [2,4,6] but also for the intrinsic sensory characteristics, religious restrictions, economic aspects, or part of a specific diet [4,6].
Unlike other plant-derived milk-clotting enzymes used as calf rennet substitutes, cardosins from cardoon flower exhibit remarkable specificity for cheesemaking [7]. The technology of extracting enzymes from cardoon flowers and using these extracts for cheesemaking has been practiced for millennia [7,8]. This traditional method remains the primary source of human exposure to this food enzyme [8,9]. Portugal has recently made a notable advancement by applying for the registration of traditional Cynara cardunculus L. crude flower extract as an enzymatic extract for cheesemaking, aiming to provide a legal framework for its traditional use as a coagulant. This enzyme has now been officially approved by the European Food Safety Authority (EFSA), which issued a positive opinion on its safety evaluation [8].
Milk coagulants play a crucial role in defining the characteristics of the curd and final product. The use of the cardoon flower extracts and calf rennet, as an agent in milk coagulation, is possible due to the presence of proteolytic enzymes, specifically aspartic proteases such as cardosins and chymosin, respectively, which are responsible for the hydrolysis of the main milk protein [9]. These enzymes act specifically on κ-casein, causing destabilization in the colloidal system [10]. They have low general proteolytic activity but are particularly active in the hydrolysis of the Phe105–Met106 bond of κ-casein [11]. This initial destabilization is followed by a step of aggregation of casein micelles, which over time form gel (curd) [10]. The aspartic proteases found in the cardoon flower present different activities on milk caseins, being more evident between cardosin A and B. Cardosin A is more specific and less proteolytic than cardosin B in its action on κ-casein; therefore, it is more like chymosin, the enzyme most used by cheese industry worldwide. On the other hand, cardosin B is more proteolytic and less specific than cardosin A, and its activity is more similar to pepsin [12]. Cardosins reveal a more intense secondary proteolytic action on αs- and β-casein than other coagulants, with an impact on the biochemical and sensorial properties of cheeses [13,14,15].
The variety of rennet’s and other milk coagulants available on the market has significantly increased over the last three decades. This expansion has heightened the necessity for a thorough analysis and comparison of the various commercially available products to ensure optimal milk coagulation properties in cheesemaking processes [4]. When a potential rennet substitute is studied, it is particularly important to evaluate its milk-clotting activity (MCA); however, different authors have used different methods and units, making difficult the comparison between different plant coagulants [16,17]. MCA is an important parameter for cheese producers and can be calculated using milk-clotting time (MCT) using a well-defined condition [18,19].
Although numerous alternative methods are available to estimate MCT, the standard approach relies on a human operator to monitor the physicochemical changes during the coagulation process. An example of this is the Berridge clotting time method included in IDF standards [19] based on the visual identification of milk flocculation, making it subjective and dependent on the operator’s experience [18,20].
Advances in non-destructive optical methods and automated monitoring have improved the precision and understanding of milk coagulation processes. These modern techniques provide valuable insights into gelation and clotting time, enhancing dairy production efficiency. The Optigraph, developed by the Institut National de la Recherche Agronomique (INRA) and Alliance Instruments, serves as a contemporary replacement for the long-used Formagraph, offering improved accuracy in assessing milk renneting properties [18,21]
The main objective of this study was to compare the coagulation kinetics of two commonly used coagulants in cheesemaking; a vegetable sample of an ecotype of Cynara cardunculus L. cardoon flower extract and a commercial chymosin, derived from a genetically modified strain of the lactic yeast of Kluyveromyces lactis. This approach, using multiple sheep milk samples to compare coagulation kinetics between commercial coagulants and Cynara-based coagulants, enhances the understanding of vegetable coagulants in dairy science. Additionally, it underscores the future potential of coagulation kinetic studies employed in non-evasive measurements (curd firmness in volt) to advance online coagulation monitoring solutions.

2. Materials and Methods

2.1. Materials

2.1.1. Milk Sampling

Between March and May 2022, raw sheep milk samples were collected from four distinct cheese factories located in the Baixo Alentejo region of southern Portugal. This sampling resulted in four milk origins: Al, Ha, Vg, and Ch. Each milk source contributed six samples, culminating in a total of 24 samples.
The milk samples were collected directly from the bulk tanks at each cheese production facility. To ensure sample homogeneity, the milk stored in bulk tank was stirred for 10 min prior to collection. Each sample, measuring 500 mL, was collected at a temperature of 4 °C using a sterile collection container. Immediately after collection, the samples were placed in a cooler box maintained at 4 °C for transport to the laboratory.
Although official IDF protocols do not recommend freezing, this step was necessary due to the logistical challenges associated with collecting samples from four geographically dispersed sites. Freezing the samples under the described conditions was implemented as a precautionary measure to maintain sample integrity and prevent any potential degradation in quality (milk freshness) during transport and storage. Upon arrival at the laboratory, the samples were frozen at −80 °C until further analysis. Before conducting the coagulation trials, the milk samples were thawed in a refrigerator at 4 °C during a 12 h period.

2.1.2. Preparation of Vegetable Coagulant: Cardoon Flower (Cynara cardunculus L.) Extract

The cardoon flower sample labeled 5MA from 2021 harvest was used for enzyme extraction in all essays of this study. This genotype originated from a test field in Viseu, Portugal (GPS coordinates: 40°42′17.5″ N, 7°54′45.8″ W), where the flowers were harvested and dried [22].
The milk-clotting activity (MCA) of the flower sample was measured and calculated according to the International Standard ISO 23058/IDF 199:2006 [19], resulting in 42 international milk-clotting units (IMCUs g−1). It is important to note that current international standards for determining milk-clotting activity do not provide specific guidelines for the extraction methods of plant-based coagulants. Traditionally, extracts are prepared by manually macerating 2 g of cardoon flower pistils at room temperature, followed by the addition of sodium acetate buffer at pH 5.5 and filtration through a Whatman No. 40 filter to obtain 50 mL of extract [23]. Regarding this matter, the extraction method was optimized in a laboratory under controlled conditions to ensure the complete extraction of the enzymatic content from the flowers. This optimization aimed to enhance the efficacy and consistency of the MCA measurements.

2.1.3. Preparation of the Commercial Chymosin

A commercial chymosin, derived from a genetically modified strain of the lactic yeast Kluyveromyces lactis, was used as the coagulant for comparison purposes. This product is marketed under the trademark Maxiren® 180 liquid coagulant (Dsm-firmenich, Maastricht, The Netherlands), featuring an MCA of ≥180 IMCU/mL.
To prepare the rennet working solution, 1 mL of the stock solution was diluted with distilled water to achieve a final volume of 50 mL, resulting in a 1:50 dilution ratio [18]. This standardized solution was then used in the study to ensure consistent coagulation properties for comparison with the traditional cardoon flower extract.

2.2. Methods

2.2.1. Milk Composition Analysis

The sheep milk samples were heated in a controlled water bath at 20 °C, with continuous shaking agitation, on each day of the essays. Milk acidity was determined following the AOAC 947.05 (1997) standard [24], and pH was measured using a pH meter (Metrohm 713, Herisau, Switzerland). Milk composition parameters including fat, total protein, lactose, total solids (TSs), and non-fat solids (NFSs) were determined using the MilkoScan 133B (Foss Electric, Hillerød, Denmark). Calibration of the MilkoScan instrument was conducted using sheep milk samples analyzed by reference methods for fat (ISO 1211/IDF 1:2010) [25] and total protein (ISO 8968-1/IDF 20-1:2014) [26].

2.2.2. Milk-Clotting Time (MCT) Determination

The MCT was determined following the guidelines of the International Standard ISO 23058/IDF 199:2006 [19] with minor modifications made for the study’s specific experimental conditions [13]. These modifications were essential as the standard method requires using reconstituted low-heat skim spray-dried milk powder reconstituted to 11% with a 0.5 g/L CaCl2 solution and a final pH of 6.5, as the substrate, while in this study, sheep milk was used as the substrate. Given the difference in substrate properties, such adjustments were necessary to ensure the relevance and accuracy of the results within the context of our experimental setup.
The MCT determination was performed by using a pipette to add 25 mL of the sheep milk to a dry flask and pre-heated using a water bath at 32 °C for a minimum of 12 min, not exceeding 20 min. Afterwards, 0.5 mL of the coagulant solution was added to the substrate using a micropipette, and the stopwatch was started simultaneously. The flask containing the milk with the coagulant is mixed by swirling, while avoiding the formation of foam, and immediately attached to the rotary device, set to a rotation speed approximately 0.33–0.67 Hz; however, the operator may make minor adjustments to optimize visualization of the initial coagulation phase. The temperature of the water bath in which the flask is immersed must be maintained at 32 °C [19]. The MCT was recorded upon observing the first flocculation on the substrate film adhering to the flask wall, marking the completion of the determination [18]. This procedure requires an experienced operator to carefully monitor for signs of clotting, which are indicated by visible changes in texture that signal curd formation. The clotting time is defined as the duration from the addition of the coagulant to the first appearance of visible flocculation or gel formation; the operator stops the timer at this moment and records the time to the nearest second [19].

2.2.3. Monitoring the Enzymatic Coagulation

The enzymatic coagulation properties were assessed using an Optigraph (Alliance, Frépillon, France), which is based on the measurement of near infrared signal attenuation caused by micellar aggregation [14]. The Optigraph makes the calculation in real time of all parameters required for the coagulation process: coagulation time, firmness evolution, optimum curd cutting time, and organization speed [15]. This device transmits an infrared beam through a sampling cuvette containing milk. A sensor on the other side measures the amount of light absorbed by the milk as it coagulates, i.e., infrared signal attenuation, and the changes are analyzed in real time by a computer that converts these variations into directly usable data [27].
After setting the milk to equilibrate at clotting temperature (32 °C), 1 mL of each coagulant solution was diluted 1:4 with distilled water and added to each cuvette containing 10 mL of sheep milk [13]. Before each trial, the intensity of the emitted signal was set to 7 Volts (V). All tests ran for 60 min and the studied parameters were as follows: R—clotting time, in seconds (s); 0K20—speed of micellar aggregation measured as time to reach a standard clot firmness, in seconds (s); and A20, A40, AR, and A2R—firmness measures, after 20 or 40 min from the beginning of trial or after two or three times R, respectively, in V [13]. As no direct calibration with reference methods, such as rheological measurements of the elastic modulus during coagulation, was performed, it was assumed that the observed voltage change was solely attributed to micellar aggregation.

2.2.4. Optigraph Coagulation Kinetics

Coagulation kinetics were evaluated using data from the Optigraph apparatus, which continuously monitors and records changes in curd firmness over time, providing real-time insights into the coagulation process. This method allowed for a detailed assessment of the enzymatic coagulation properties, capturing dynamic changes as they occurred, as previously described.
The differential coagulation behavior of the samples was assessed by measuring the coagulation parameters over a 60 min period, comparing results across the four milk origins (Al, Ha, Vg, and Ch). This new approach generated a total of 32 data points. Measurements were taken initially at 0, 200, and 500 s. From 800 s onward, additional measurements were recorded at 100 s intervals, extending up to 1200 s (A20), 2400 s (A40), and, finally, 3600 s (A60). These measurements allowed for the representation of Optigraph outputs in a coagulation kinetics graph

2.3. Statistical Analysis

The experimental data were obtained from milk samples collected from four different origins (Al, Ha, Vg, and Ch) across six collection dates per origin (n = 6). All experiments were conducted in laboratory triplicate. The results were analyzed using STATISTICA software for Windows (StatSoft, Inc., Tulsa, OK, USA). An analysis of variance (ANOVA) was performed to compare means, employing the Scheffé test applied to ensure a 95% confidence level (p < 0.05). The relationship between MCT, milk composition, and the Optigraph parameters was assessed by the Pearson’s correlation analysis.

3. Results and Discussion

3.1. Milk Composition and Technological Property Evaluation

Table 1 provides a summary of the milk composition results. When comparing the different milk sources, Vg exhibits slightly lower acidity, fat, protein, lactose, total solid (TS), and NFS contents. This variation could be due to several factors, including genetic diversity among sheep, variations in milking and feeding practices, or other environmental influences [28]. These results are consistent with those reported by Roseiro et al. [3], who studied sheep milk from dairies in the Baixo Alentejo region, particularly within Serpa PDO cheese region production, where the dairies in this study are also located. Their findings reported fat, protein, and acidity values ranging from 6.8 to 7.5; 5.69 to 6.17; and 19.9 to 22.1, respectively.
Fat content from different origins is not significantly different. On the other hand, the protein content of milk from Ha was higher compared to that from Vg, with significant difference, which can be reflected in longer coagulation times (R), as shown in Table 2. Despite this, the curd firmness was higher, as supported by a lower speed of micellar aggregation, 0K20 values. As noted by Pazzola et al. [29], higher fat content generally improves coagulation properties, while higher protein content tends to delay rennet coagulation time, and increased casein content results in firmer curds.
From the Optigraph data (Table 2), the clotting time (R), rate of curd firmness (0k20), and curd firmness measurements after 20 and 40 min (A20 and A40) showed slight but significant differences (p < 0.05) between milk sources and coagulants used (Table 2). These differences may be attributed to interactions between the milk composition and the coagulants, leading to variations in coagulation [30].
On the other hand, results regarding the use of commercial chymosin appear to be more consistent and follow a clearer pattern compared to those for cardoon, possibly due to the controlled production process and uniform enzymatic activity of the commercial chymosin.
Milk coagulated with cardoon extract exhibited a delayed onset of flocculation compared to milk coagulated with commercial chymosin. This finding aligns with the study by Alves et al. [31], which investigated the influence of clotting agents on sheep milk. Their research demonstrated that cardoon extract also had a slightly slower coagulation time compared to chymosin. This may be attributed to the lower specificity of cardosin A for the substrate compared to chymosin [32,33].
As for the remaining variables characterizing the coagulation process, such as the evolution of curd firmness, there was a clear and expected dependence on the rate of micellar aggregation [23,34]. Samples exhibiting faster micellar aggregation (indicated by lower 0K20 values) produced firmer curds, as reflected in higher A40 or A2R measurements [23,34]. This trend was particularly evident with samples coagulated with commercial chymosin, which yielded firmer curds compared to those coagulated with cardoon flower extract, as reported by Zikiou et al. [34]; in contrast, cardoon coagulants generally produced curds with lower firmness and higher 0K20 values. This discrepancy may be attributed to the lower specificity of cardoon-derived coagulants.
The data presented in Table 3 offer key insights into the relationships between MCT, milk composition, and the Optigraph parameters.
In the Pearson’s correlation analysis, correlations were considered significant when 0.001 < p < 0.05 and strongly significant when p < 0.001. As expected, a significant positive correlation was observed between MCT and the Optigraph parameters [30] and a significant correlation between MCT and A20, meaning that higher values of A20 are linked to shorter MCTs.
Protein content exhibited a significant positive correlation with R values and a strongly significative negative correlation with 0K20, indicating that samples with higher protein content exhibited a delay in the coagulation time related to a lower rennet micellar aggregation rate, respectively. Similar results were previously observed by Pazzola et al. [29]. On the other hand, protein exhibited a strong positive significative correlation with the firmness parameters AR, A2R, and A40, indicating that protein is the key component influencing coagulation firmness [35]. Fat content also caused a delay in the coagulation time, as indicated by a significant positive correlation with R values, and showed some influence in coagulation with significant positive correlations observed for AR and A2R values. However, this influence was not as pronounced as with that of protein, which is comprehensible given that fat has no direct role in the coagulation process. Total solids exhibit a behavior consistent with that of protein, with strongly significant correlations. In other words, they delay coagulation and promote firmer curds, as the Pearson’s correlations and significance level with the Optigraph parameters are similar.

3.2. Monitoring Coagulation Kinetics

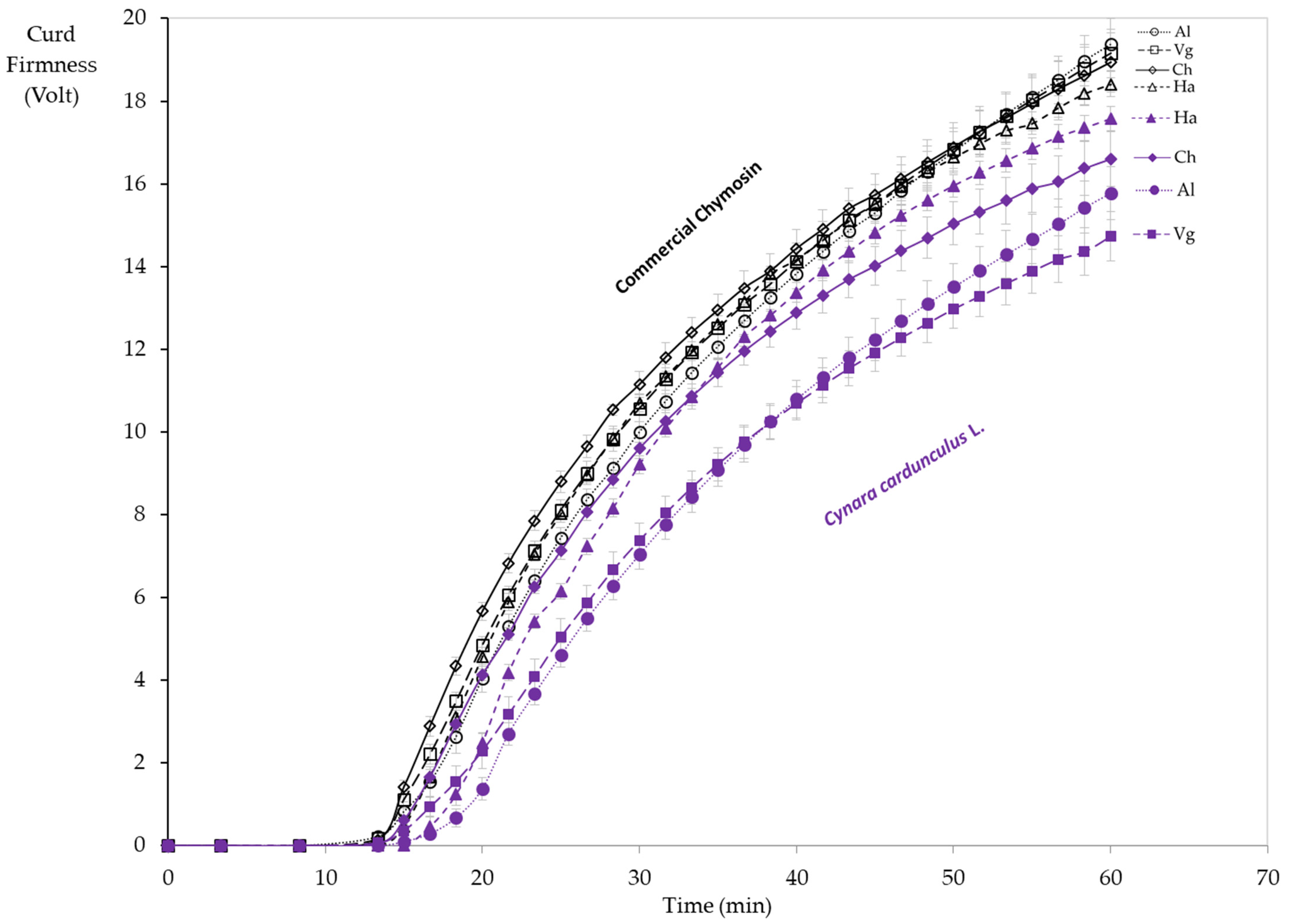
To compare the coagulation kinetics for the milk samples (Figure 1), the analysis was conducted using detailed data on the enzymatic coagulation properties provided by the Optigraph, which measured curd firmness over a 60 min trial.
The coagulation kinetics graph demonstrates that chymosin exhibits a faster coagulation dynamic compared to the enzyme extracted from cardoon flower, with chymosin curves generally shifted to the left. Chymosin provides more consistent and firmer curds across different milk sources as previously referenced [32,33]. This visual distinction is evident across the lines of the graph from Figure 1. However, statistically significant differences in the R values were only observed in the comparison between the Al sample coagulated with C. cardunculus L. and the Ch sample coagulated with commercial chymosin.
Measuring curd firmness at 30 min, midpoint along the coagulation trial, provides a key metric for analyzing and interpreting the coagulation behavior reflected in the graph. At this point, the coagulation kinetics output graph shows that when using chymosin, curd firmness is consistently similar across all milk samples, measuring approximately 10–10.5 V. In contrast, while using the cardoon extract, the curd firmness showed higher ranges of variation depending on the milk source, varying between approximately 7 and 9.5 V. These results suggest that curd firmness is more influenced by the origin of the milk samples when cardoon coagulant is used.
Regarding the curd firmness by the end of the coagulation trial, chymosin achieves higher peak firmness (around 19 V from all milk samples) compared to cardoon extract, with a higher variability (around 15–19 V). This difference may be due to the chymosin rennet specifically targeting casein proteins in the milk, leading to more effective coagulation and a higher final curd firmness [29]. In contrast, cardoon extract exhibits high non-specific enzymatic activity, which can result in a less homogenous coagulation process and lower curd firmness. Silva et al. [36] found similar results in their study comparing cardosins A and B with chymosin. Their research showed that chymosin produced curds with greater firmness and higher curd formation rates than with cardoon-based coagulants. Additionally, Alves et al. [31] observed that curds made with cardoon flower extract generally exhibited lower firmness values as indicated by lower A20, A40, AR, and A2R measurements, compared to those made with chymosin. Additionally, the non-specific proteolytic activity of the coagulant plays a significant role in curd firmness development. This activity involves the enzyme acting on a variety of milk proteins, not just casein, which can influence the overall texture and consistency of the curd [37].
As Conceição et al. [4] reported, the type of coagulant is essential in determining cheese characteristics, particularly its impact on proteolysis. Variations in coagulant action can influence the levels of α-casein and β-casein, as well as the concentration of degradation products like γ-caseins and para-αs-caseins, all of which are key to the final properties of the cheese. In line with this, Liburdi et al. [5] demonstrated that cardoon extracts show significant potential as a milk-clotting agent in cheesemaking, producing curds with characteristics comparable to those achieved using commercial chymosin.

4. Conclusions

This study demonstrates that the type of coagulant affects the coagulation properties of sheep milk, which is crucial for cheesemaking. Cardoon flower extract introduces greater variability in coagulation properties compared to commercial chymosin rennet. The Pearson’s analysis suggested that samples with higher protein content exhibited delayed coagulation times but resulted in firmer curds.
Specifically, the use of cardoon flower extract introduced a later onset of coagulation, less firmness, and greater variability in the enzymatic coagulation kinetics profile compared to curds produced with commercial chymosin. These insights can enable cheesemakers to optimize the production process. Additionally, this research contributes to expanding the range of rennet alternatives in the dairy industry, addressing the increasing demand for plant-based products and ingredients.
Further research is recommended to evaluate the performance of these coagulants in practical cheesemaking scenarios. Such studies could provide complementary data to enhance the sensory qualities of cheese, ensuring that the final product meets consumer acceptability standards.

Author Contributions

S.G.: Conceptualization, Methodology, Formal Analysis, Writing—Original Draft Preparation, and Writing—Review and Editing. I.P.: Formal Analysis. J.F.: Writing—Review and Editing. J.D.: Conceptualization, Funding Acquisition, Writing—Review and Editing, and Supervision. F.R.: Writing—Review and Editing and Supervision. A.P.L.M.: Conceptualization and Supervision. N.A.: Conceptualization, Writing—Review and Editing, and Supervision. All authors have read and agreed to the published version of the manuscript.

Funding

The present research work was financed by national funds through the ministry of Agriculture and Rural Development and co-financed by the European Agricultural Fund for Rural Development (EAFRD) through the partnership agreement Portugal2020—PDR, under the project ALT20-03-0246-FEDER-000067 (CynaraTec—Transferência de Tecnologia para Valorização do Cardo). It was also funded by national funds through the FCT—Fundação para a Ciência e a Tecnologia—I.P., under the scope of the research units UIDB/04035/2020 (GeoBioTec Research Centre) and UIDB/05183/2020 (MED—Mediterranean Institute for Agriculture, Environment and Development).

Institutional Review Board Statement

Not applicable.

Informed Consent Statement

Not applicable.

Data Availability Statement

The original contributions presented in this study are included in the article. Further inquiries can be directed to the corresponding author.

Conflicts of Interest

The author declares no conflicts of interest.

References

  1. Regulation (EC) No 1332/2008 of the European Parliament and of the Council of 16 December 2008 on Food Enzymes and Amending Council Directive 83/417/EEC, Council Regulation (EC) No 1493/1999, Directive 2000/13/EC, Council Directive 2001/112/EC and Regulation (EC) No 258/97; European Union: Maastricht, The Netherlands, 2008.
  2. Nicosia, F.D.; Puglisi, I.; Pino, A.; Caggia, C.; Randazzo, C.L. Plant Milk-Clotting Enzymes for Cheesemaking. Foods 2022, 11, 871. [Google Scholar] [CrossRef] [PubMed]
  3. Roseiro, L.B.; Wilbey, R.A.; Barbosa, M. Serpa Cheese: Technological, Biochemical and Microbiological Characterisation of a PDO Ewe’s Milk Cheese Coagulated with Cynara cardunculus L. Le Lait 2003, 83, 469–481. [Google Scholar] [CrossRef]
  4. Conceição, C.; Martins, P.; Alvarenga, N.; Dias, J.; Lamy, E.; Garrido, L.; Gomes, S.; Freitas, S.; Belo, A.; Brás, T.; et al. Cynara cardunculus: Use in Cheesemaking and Pharmaceutical Applications. In Technological Approaches for Novel Applications in Dairy Processing; Nurcan, K., Ed.; InTech: London, UK, 2018; Volume 1, pp. 74–107. [Google Scholar]
  5. Liburdi, K.; Emiliani Spinelli, S.; Benucci, I.; Lombardelli, C.; Esti, M. A Preliminary Study of Continuous Milk Coagulation Using Cynara Cardunculus Flower Extract and Calf Rennet Immobilized on Magnetic Particles. Food Chem. 2018, 239, 157–164. [Google Scholar] [CrossRef] [PubMed]
  6. Alavi, F.; Momen, S. Aspartic Proteases from Thistle Flowers: Traditional Coagulants Used in the Modern Cheese Industry. Int. Dairy J. 2020, 107, 104709. [Google Scholar] [CrossRef]
  7. Roseiro, L.B.; Barbosa, M.; Ames, J.M.; Wilbey, R.A. Cheesemaking with Vegetable Coagulants—The use of Cynara L. for the production of ovine milk cheeses. Int. J. Dairy Technol. 2003, 56, 76–85. [Google Scholar] [CrossRef]
  8. Lambré, C.; Barat Baviera, J.M.; Bolognesi, C.; Cocconcelli, P.S.; Crebelli, R.; Gott, D.M.; Grob, K.; Lampi, E.; Mengelers, M.; Mortensen, A.; et al. Safety Evaluation of the Food Enzyme Phytepsin from Cynara cardunculus L. EFSA J. 2022, 20, e07678. [Google Scholar]
  9. Folgado, A.; Abranches, R. O Cardo e a Indústria de Queijo: Ferramentas Biotecnológicas Para a Produção de Enzimas Utilizadas Na Coagulação Do Leite Thistle and the Cheese Industry: Biotechnological Tools for the Production of Enzymes for Milk Coagulation. Rev. Ciênc. Agrár. 2019, 42, 817–828. [Google Scholar]
  10. Cabrera, L.; Budelli, E.; Pérez, N.; Lema, P. Study of the Variation in the Ultrasonic Attenuation of Compression Waves as a Technique to Monitor the Enzymatic Coagulation of Milk. J. Food Eng. 2022, 325, 111023. [Google Scholar] [CrossRef]
  11. Lawa, J.; Haandrikman, A. Proteolytic Enzymes of Lactic Acid Bacteria. Int. Dairy J. 1997, 7, 1–11. [Google Scholar] [CrossRef]
  12. Veríssimo, P.; Esteves, C.; Faro, C.; Pires, E. The Vegetable Rennet of Cynara cardunculus L. Contains Two Proteinases with Chymosin and Pepsin-like Specificities. Biotechnol. Lett. 1995, 17, 621–626. [Google Scholar] [CrossRef]
  13. Faro, C.; Moir, A.; Pires, E. Specificity of a Milk Clotting Enzyme Extracted from the Thistle Cynara cardunculus L.: Action on Oxidised Insulin and k-Casein. Biotechnol. Lett. 1992, 14, 841–846. [Google Scholar] [CrossRef]
  14. Macedo, Q.; Faro, C.; Pires, E. Caseinolytic Specificity of Cardosin, an Aspartic Protease from the Cardoon Cynara cardunculus L.: Action on Bovine r s-and-Casein and Comparison with Chymosin. J. Agric. Food Chem. 1996, 44, 42–47. [Google Scholar] [CrossRef]
  15. Pino, A.; Prados, F.; Galán, E.; McSweeney, P.L.H.; Fernández-Salguero, J. Proteolysis during the Ripening of Goats’ Milk Cheese Made with Plant Coagulant or Calf Rennet. Food Res. Int. 2009, 42, 324–330. [Google Scholar] [CrossRef]
  16. Silva, S.V.; Malcata, F.X. Studies Pertaining to Coagulant and Proteolytic Activities of Plant Proteases from Cynara cardunculus. Food Chem. 2005, 89, 19–26. [Google Scholar] [CrossRef]
  17. Shah, M.A.; Mir, S.A. Plant Proteases in Food Processing. In Bioactive Molecules in Food; Mérillon, J., Ramawat, K., Eds.; Springer: Cham, Germany, 2018; pp. 1–22. [Google Scholar]
  18. Caeiro, J.J.; Martins, J.C.; Alvarenga, N.; Gomes, S.; Martins, A.P.L.; Reboredo, F.; Dias, J. Comparison of Milk-Clotting Activity Measurement Using the Berridge’s Operator-Based Approach and a Proposed Digital Method. Int. Dairy J. 2024, 159, 106055. [Google Scholar] [CrossRef]
  19. ISO 23058 IDF 199; ISO/IDF Milk and Milk Products e Ovine and Caprine Rennets e Determination of Total Milk-Clotting Activity. International Organisation for Standardisation: Geneva, Switzerland; International Dairy Federation: Brussels, Belgium, 2006.
  20. O’callaghan, D.J.; O’donnell, C.P.; Pay, F.A. Review of Systems for Monitoring Curd Setting during Cheesemaking. Int. J. Dairy Technol. 2002, 55, 65–74. [Google Scholar] [CrossRef]
  21. Tabayehnejad, N.; Castillo, M.; Payne, F.A. Comparison of Total Milk-Clotting Activity Measurement Precision Using the Berridge Clotting Time Method and a Proposed Optical Method. J. Food Eng. 2012, 108, 549–556. [Google Scholar] [CrossRef]
  22. Guiné, R.; Ferreira, A.; Matias, J. Effect of Cardoon Genotype on Colour and Texture of Serra Da Estrela Cheese. In Proceedings of the ICEUBI 2017—International Congress on Engineering, Covilhã, Portugal, 5–7 December 2017. [Google Scholar]
  23. Gomes, S.; Belo, A.T.; Alvarenga, N.; Dias, J.; Lage, P.; Pinheiro, C.; Pinto-Cruz, C.; Brás, T.; Duarte, M.F.; Martins, A.P.L. Characterization of Cynara cardunculus L. Flower from Alentejo as a Coagulant Agent for Cheesemaking. Int Dairy J 2019, 91, 178–184. [Google Scholar] [CrossRef]
  24. AOAC Official Method 947.05, Acidity of Milk, Titrimetric Method. In Official Methods of Analysis of AOAC International, 16th ed.; Cunniff, P., Ed.; AOAC International: Gaithersburg, MD, USA, 1997; Volume 2, Chapter 33; p. 7. [Google Scholar]
  25. ISO 1211 IDF 1; ISO/IDF Milk-Determination of Fat Content-Gravimetric Method (Reference Method). International Organisation for Standardisation: Geneva, Switzerland; International Dairy Federation: Brussels, Belgium, 2010.
  26. ISO 8968-1 IDF 20-1; ISO/IDF Milk and Milk Products-Determination of Nitrogen Content-Part 1: Kjeldahl Principle and Crude Protein Calculation. International Organisation for Standardisation: Geneva, Switzerland; International Dairy Federation: Brussels, Belgium, 2014.
  27. Juan, B.; Trujillo, A.J. Acid and Rennet Coagulation Properties of A2 Milk. Foods 2022, 11, 3648. [Google Scholar] [CrossRef]
  28. Nunez, M.; Fernandez, B.; Pozo, D.; Rodriguez-Marin, M.A.; Gaya, P.; Medina, M. Effect of Vegetable and Animal Rennet on Chemical, Microbiological, Rheological and Sensory Characteristics of La Serena Cheese. J. Dairy Res. 1991, 58, 511–519. [Google Scholar] [CrossRef]
  29. Pazzola, M. Coagulation Traits of Sheep and Goat Milk. Animals 2019, 9, 540. [Google Scholar] [CrossRef] [PubMed]
  30. Zikiou, A.; Zidoune, M.N. Enzymatic Extract from Flowers of Algerian Spontaneous Cynara cardunculus: Milk-Clotting Properties and Use in the Manufacture of a Camembert-Type Cheese. Int. J. Dairy Technol. 2019, 72, 89–99. [Google Scholar] [CrossRef]
  31. Alves, S.M.P.; Martins, A.P.L.; Mourato, M.P.; Vasconcelos, M.M.; Fontes, A.M.L. Effect of Clotting Agent on Coagulation Properties of Sheep Milk. In Proceedings of the International Symposium: The Future of the Sheep and Goat Dairy Sectors, Zaragoza, Spain, 28–30 October 2004. [Google Scholar]
  32. Castillo, M.; Payne, F.A.; Hicks, C.L.; Laencina, J.; Lopez, M.B. Effect of Calcium and Enzyme in Cutting Time Prediction of Coagulating Goats’ Milk Using a Light Scattering Sensor. Int. Dairy J. 2012, 12, 1019–1023. [Google Scholar] [CrossRef]
  33. García, V.; Rovira, S.; Teruel, R.; Boutoial, K.; Rodríguez, J.; Roa, I.; López, M.B. Effect of Vegetable Coagulant, Microbial Coagulant and Calf Rennet on Physicochemical, Proteolysis, Sensory and Texture Profiles of Fresh Goats Cheese. Dairy Sci. Technol. 2012, 92, 691–707. [Google Scholar] [CrossRef]
  34. Zikiou, A.; Esteves, A.C.; Esteves, E.; Rosa, N.; Gomes, S.; Louro Martins, A.P.; Zidoune, M.N.; Barros, M. Algerian Cardoon Flowers Express a Large Spectrum of Coagulant Enzymes with Potential Applications in Cheesemaking. Int. Dairy J. 2020, 105, 104689. [Google Scholar] [CrossRef]
  35. Stocco, G.; Pazzola, M.; Dettori, M.L.; Paschino, P.; Bittante, G.; Vacca, G.M. Effect of Composition on Coagulation, Curd Firming, and Syneresis of Goat Milk. J. Dairy Sci. 2018, 101, 9693–9702. [Google Scholar] [CrossRef]
  36. Silva, S.V.; Allmere, T.; Malcata, F.X.; Andrén, A. Comparative Studies on the Gelling Properties of Cardosins Extracted from Cynara cardunculus and Chymosin on Cow’s Skim Milk. Int. Dairy J. 2003, 13, 559–564. [Google Scholar] [CrossRef]
  37. Fox, P.; Guinee, T.P.; Cogan, T.M.; McSweeney, P.L.H. Enzymatic Coagulation of Milk. In Fundamentals of Cheese Science, 2nd ed.; Fox, F.P., Guinee, T.P., Cogan, T.M., MacSweeney, P.L.H., Eds.; Springer: New York, NY, USA, 2017; pp. 185–226. [Google Scholar]
Figure 1. Optigraph coagulation kinetics output comparing Cynara cardunculus L. extract and commercial chymosin across different milk origins (Al, Vg, Ha, and Ch): curd firmness measurements (V) versus coagulation time (min). Error bars indicate standard deviation.
Figure 1. Optigraph coagulation kinetics output comparing Cynara cardunculus L. extract and commercial chymosin across different milk origins (Al, Vg, Ha, and Ch): curd firmness measurements (V) versus coagulation time (min). Error bars indicate standard deviation.
Dairy 05 00059 g001
Table 1. Summary characterization, mean values (standard deviation), of the samples used in the study for the different milk sources (Al, Ha, Vg, and Ch).
Table 1. Summary characterization, mean values (standard deviation), of the samples used in the study for the different milk sources (Al, Ha, Vg, and Ch).
Milk Source
AlHaVgCh
pH6.64 (0.03) a6.60 (0.03) a6.64 (0.03) a6.65 (0.04) a
Acidity (mL NaOH N/L)22.09 (1.60) a21.45 (1.06) a18.38 (1.25) b20.28 (0.84) ab
Fat % (w/w)7.32 (0.43) a7.31 (0.43) a6.62 (0.90) a7.17 (0.58) a
Protein % (w/w)6.14 (0.54) ab6.50 (0.30) a5.46 (0.38) b6.11 (0.34) ab
Lactose % (w/w)5.61 (0.28) a5.60 (0.17) a4.90 (0.27) b5.32 (0.37) ab
Total solids % (w/w)20.07 (0.79) a20.40 (0.47) a17.98 (1.06) b19.60 (0.32) a
Non-fat solids % (w/w)12.75 (0.79) a13.09 (0.24) a11.35 (0.41) b12.42 (0.53) a
Means in the same row marked with different letters are significantly different (p < 0.05, n = 6, Scheffé test).
Table 2. Means (standard deviations) of the technological properties evaluated for the cardoon flower extract and a commercial chymosin applied to each milk source.
Table 2. Means (standard deviations) of the technological properties evaluated for the cardoon flower extract and a commercial chymosin applied to each milk source.
CoagulantMilk SourceTechnological Properties
MCT
(s)
R
(s)
AR
(V)
A2R
(V)
A20
(V)
A40
(V)
0K20
(s)
Cardoon
extract
Al675 (60) a1049 (31) a8.76 (0.64) a12.72 (1.45) a 1.69 (0.41) c10.93 (0.26) bc 670 (34) ab
Ha643 (41) a996 (67) ab10.72 (0.77) a14.61(1.63) a2.60 (1.14) bc12.86 (0.04) abc497 (37) ab
Vg718 (100) a962 (80) ab8.15 (0.81) a12.58 (0.99) a2.59 (1.00) bc10.85 (1.98) c694 (163) a
Ch690 (43) a869 (36) ab8.95 (1.20) a12.88 (1.60) a3.96 (0.68) ab12.46 (0.85) abc570 (54) ab
Commercial chymosinAl649 (52) a935 (116) ab10.72 (1.01) a14.92 (0.22) a4.18 (1.26) ab13.62 (0.91) abc492 (38) ab
Ha592 (40) a908 (50) ab11.25 (1.09) a15.63 (1.65) a4.59 (0.82) ab14.17 (0.62) ab438 (30) b
Vg607 (45) a884 (53) ab9.69 (0.88) a13.87 (1.32) a4.59 (0.61) ab13.06 (1.38) abc501 (86) ab
Ch604 (41) a817 (14)b9.87 (0.70) a14.99 (1.52) a5.66 (1.07) a14.55 (0.92) a442 (38) b
Means without a common superscript letter in the same column for each parameter differ significantly (p < 0.05, n = 6, Scheffé test). MCT—milk-clotting time; R—coagulation time; AR and A2R—curd firmness after two and three times the coagulation time (R) after coagulant addition, respectively; A20 and A40—curd firmness at 20 min and 40 min, respectively, after coagulant addition; 0K20—speed of micellar aggregation, measured as time to reach a standard clot firmness; s—seconds; V—volts.
Table 3. Pearson’s correlation (r) analysis between MCT and milk composition versus Optigraph parameters (n = 48).
Table 3. Pearson’s correlation (r) analysis between MCT and milk composition versus Optigraph parameters (n = 48).
ParameterRARA2RA20A400K20
MCT0.42 *−0.01−0.01−0.44 *−0.260.25
Fat0.39 *0.34 *0.29 *−0.280.07−0.19
Protein0.35 *0.74 **0.72 **0.000.62 **−0.66 **
Lactose0.120.34 *0.41 *0.050.38 *−0.38 *
Total solids0.42 *0.64 **0.63 **−0.140.45 *−0.53 **
* Marked significative correlations (0.001< p < 0.05) and ** strongly significative correlations (p < 0.001).
Disclaimer/Publisher’s Note: The statements, opinions and data contained in all publications are solely those of the individual author(s) and contributor(s) and not of MDPI and/or the editor(s). MDPI and/or the editor(s) disclaim responsibility for any injury to people or property resulting from any ideas, methods, instructions or products referred to in the content.

Share and Cite

MDPI and ACS Style

Gomes, S.; Pina, I.; Fernandes, J.; Dias, J.; Reboredo, F.; Martins, A.P.L.; Alvarenga, N. Comparative Study of Coagulation Dynamics: Cardoon Flower Extract vs. Chymosin. Dairy 2024, 5, 817-827. https://doi.org/10.3390/dairy5040059

AMA Style

Gomes S, Pina I, Fernandes J, Dias J, Reboredo F, Martins APL, Alvarenga N. Comparative Study of Coagulation Dynamics: Cardoon Flower Extract vs. Chymosin. Dairy. 2024; 5(4):817-827. https://doi.org/10.3390/dairy5040059

Chicago/Turabian Style

Gomes, Sandra, Ivanilda Pina, Jaime Fernandes, João Dias, Fernando Reboredo, António P. L. Martins, and Nuno Alvarenga. 2024. "Comparative Study of Coagulation Dynamics: Cardoon Flower Extract vs. Chymosin" Dairy 5, no. 4: 817-827. https://doi.org/10.3390/dairy5040059

APA Style

Gomes, S., Pina, I., Fernandes, J., Dias, J., Reboredo, F., Martins, A. P. L., & Alvarenga, N. (2024). Comparative Study of Coagulation Dynamics: Cardoon Flower Extract vs. Chymosin. Dairy, 5(4), 817-827. https://doi.org/10.3390/dairy5040059

Article Metrics

Back to TopTop