Next Article in Journal
Seismic Assessment of Concrete Gravity Dam via Finite Element Modelling
Previous Article in Journal
Using Electrical Resistivity Tomography to Reconstruct Alpine Spring Supply: A Case Study from the Montellina Spring (Quincinetto, NW Alps, Italy)
 
 
Font Type:
Arial Georgia Verdana
Font Size:
Aa Aa Aa
Line Spacing:
Column Width:
Background:
Article

Earthquake Swarm Activity in the Tokara Islands (2025): Statistical Analysis Indicates Low Probability of Major Seismic Event

Graduate School of Bioresource Sciences, Akita Prefectural University, Akita 010-0195, Japan
GeoHazards 2025, 6(3), 52; https://doi.org/10.3390/geohazards6030052
Submission received: 17 July 2025 / Revised: 2 September 2025 / Accepted: 4 September 2025 / Published: 5 September 2025

Abstract

The Tokara Islands, a volcanic archipelago located south of Japan’s main islands, experienced earthquake swarm activity in 2025. Public concern has emerged regarding the potential triggering of the anticipated Nankai Trough earthquake, which the Japan Meteorological Agency has dismissed; however, the underlying mechanisms of this seismic activity remain inadequately explained. This study employs Exploratory Data Analysis (EDA) to characterise the statistical properties of the swarm and compare them with historical patterns. Earthquake intervals followed exponential distributions, but swarm events exhibited distinctive short intervals that clearly distinguished them from background seismicity. Similarly, whilst earthquake magnitudes conformed to normal distributions, swarm events demonstrated low mean values and reduced variability, characteristics markedly different from regional background activity. The frequency and magnitude distributions of the 2025 swarm demonstrate remarkable similarity to two previous swarms that occurred in 2021. All the episodes coincided with volcanic activity at Suwanose Island, located approximately 10 km from the epicentral region, suggesting a causal relationship between magmatic processes and seismic activity. Statistical analysis reveals that the earthquake swarm exhibits exceptionally low magnitude scale, characteristics consistent with magma-driven seismicity rather than tectonic stress accumulation. The parameter contrasted markedly with pre-seismic conditions observed before the 2011 Tohoku earthquake, where it was substantially elevated. Our findings indicate that the current seismic activity represents localised volcanic-related processes rather than precursory behaviour associated with major tectonic earthquakes. These results demonstrate the utility of statistical seismology in distinguishing between volcanic and tectonic seismic processes for hazard assessment purposes.

1. Introduction

Recently, a month-long earthquake swarm has been occurring in the Tokara Islands, a volcanic archipelago situated in the southern seas, at a considerable distance from Japan’s main islands (Figure 1) [1,2]. This has happened over 2000 times to date. This region encompasses the Kikai Caldera, which experienced a supervolcanic eruption approximately 7300 years ago [3,4], and represents the southern terminus of the Nankai Trough [5], a zone of significant seismic concern. The Nankai Trough, a major subduction zone, spans roughly half of Japan’s Pacific coastline, where the Philippine Sea Plate subducts beneath the Eurasian Plate (Figure 1). Historically, this zone has produced major earthquakes of magnitude 8 or greater approximately every 100 to 150 years. Due to its extensive area, seismic activity often occurs at multiple locations with slight temporal variations. The most recent significant earthquake sequence in this region occurred between 1944 and 1946, indicating that approximately 80 years have elapsed since then. The Tokara Islands, situated within this subduction zone, are part of a volcanic island chain susceptible to strike-slip faulting, volcanic eruptions, and frequent earthquake swarms [1,2]. Furthermore, in addition to the Kikai Caldera, nearby Kyushu Island has experienced supervolcanic eruptions, including those at Aira, Aso, and Ata, over the past 100,000 years, each resulting in the formation of large calderas.
Consequently, speculation regarding catastrophic eruptions and earthquakes has proliferated across social media platforms, prompting official denials from the Japan Meteorological Agency (JMA). However, a comprehensive explanation of the current seismic activity remains absent. This study attempts to provide such an explanation through the application of Exploratory Data Analysis (EDA), a contemporary statistical methodology. The application of EDA has revealed distinct distributional characteristics for earthquake intervals and magnitudes [6]. EDA facilitates data analysis by visualising patterns while identifying an optimal statistical model. The primary method employed here is the quantile–quantile (QQ) plot, which compares the quantiles of the observed data with those of a theoretical distribution model. This approach enables a more rigorous assessment of distributional fit than a histogram; if the data conform to the model, the quantiles exhibit a linear relationship.
Specifically, earthquake intervals demonstrate exponential distribution, characterised by a single parameter, λ. The expected value and scale are both 1/λ; for instance, when λ = 1/6.8, an earthquake occurs, on average, every 6.8 h. In contrast, earthquake magnitudes conform to a normal distribution, defined by two parameters: μ (the mean) and σ (the standard deviation), representing the expected value and scale, respectively. This finding diverges from the long-established Gutenberg–Richter law, which typically describes earthquake magnitudes following a power-law distribution [7]. By assuming a normal distribution for magnitudes, the likelihood of an earthquake of a specific magnitude can be estimated. For example, the z-score for a given magnitude is calculated as z = (magnitude − μ)/σ. Since the z-score follows a standard normal distribution, N(0,1), a z-score of 2 corresponds to a probability of approximately 0.23% for a larger earthquake, as derived from standard normal distribution tables. This discovery enables precise measurement of parameters characterising seismic activity within specific temporal and spatial contexts, facilitating comparative analysis and evaluation.
The Tokara region has historically been characterised by frequent seismic activity. Several islands host active volcanoes, particularly Suwanose Island, which lies in proximity to the epicentral area and exhibits frequent eruptive behaviour. The relationship between volcanic and seismic phenomena is well-established; the energy released during tectonic plate movement may contribute to magma generation [8,9]. Seismic events may enhance volcanic eruption likelihood through induced strain [10], whilst conversely, eruptions may trigger seismic activity. However, the relationship between eruptions and earthquakes at Suwanose Island demonstrates temporal complexity [11]. During 2021, earthquake swarms occurred in April and December, about 300 times each, whilst eruptive activity continued throughout this period. The April swarm commenced approximately one week following a significant eruption, whereas the December swarm occurred several months subsequently. The spatial distribution of seismic events during this period exhibited similarities to the current earthquake swarm pattern. Presently, Suwanose Island has maintained volcanic activity since June 2023, with increased magma accumulation reported in May 2025. Many people living there are anxious and have evacuated, but this has had a major impact on the island’s main industries of livestock, fishing, and agriculture.
Figure 1. Seismic records from 1 to 2 July, encompassing the full observation range of the epicentre, as monitored by JMA [12]. The colour and size of the dots indicate the depth and the magnitude of the epicentre, respectively (bottom right). Notable aftershocks associated with the 2024 Noto and 2011 Tohoku earthquakes are evident. Additionally, the 2025 Tokara Islands earthquake swarm is highlighted with a circle. The approximate location of the Nankai Trough is also indicated.
Figure 1. Seismic records from 1 to 2 July, encompassing the full observation range of the epicentre, as monitored by JMA [12]. The colour and size of the dots indicate the depth and the magnitude of the epicentre, respectively (bottom right). Notable aftershocks associated with the 2024 Noto and 2011 Tohoku earthquakes are evident. Additionally, the 2025 Tokara Islands earthquake swarm is highlighted with a circle. The approximate location of the Nankai Trough is also indicated.
Geohazards 06 00052 g001

2. Materials and Methods

2.1. Data Collection

The most recent data on earthquake occurrence times, magnitudes, and epicentre locations were obtained from the Japan Meteorological Agency (JMA) website [11,12]. Historical earthquake data, including epicentre information, were sourced from JMA’s publicly available datasets [11]. These datasets provide details on earthquakes with a seismic intensity of 1 or greater, including seismic intensity by region, magnitude, and occurrence time. All data were used in the analysis without applying any specific selection criteria.

2.2. Data Distribution Confirmation and Parameter Estimation

Exploratory Data Analysis (EDA) was employed to investigate the distribution and properties of the data, facilitating the selection of an appropriate statistical model without reliance on preconceived assumptions. EDA aims to maximise the extraction of information from the data, making it well-suited for scientific research. The primary method used was the QQ plot, which compares the quantiles of the observed data with those of a theoretical distribution to identify distributional patterns. This approach provides a more precise assessment of model fit than a histogram; if the data conform to the model, the quantiles exhibit a linear relationship. All statistical analyses were conducted using R (ver. 4.3.0), a statistical computing environment [6,13]. Earthquake interval times were calculated as the temporal differences between consecutive events in chronological order. While no specific geographical region was designated for the overall analysis in Figure 2, the data presented in Figure 3, Figure 4 and Figure 5 are restricted to the Tokara Islands region. The data were sorted and compared with theoretical distributions, and parameters were estimated from the linear relationships observed in the QQ plots using the robust R’s line function for linear regression. Three parameters are central to this study: λ, μ, and σ, which define the properties of the exponential and normal distributions.

3. Results

3.1. Present Parameters

Figure 1 illustrates the geographical extent monitored by JMA. In Japan, earthquakes of varying magnitudes occur frequently, with several clustered regions representing aftershocks of significant seismic events. The Tokara Islands, the focus of this study, are located further south than the main Japanese archipelago.
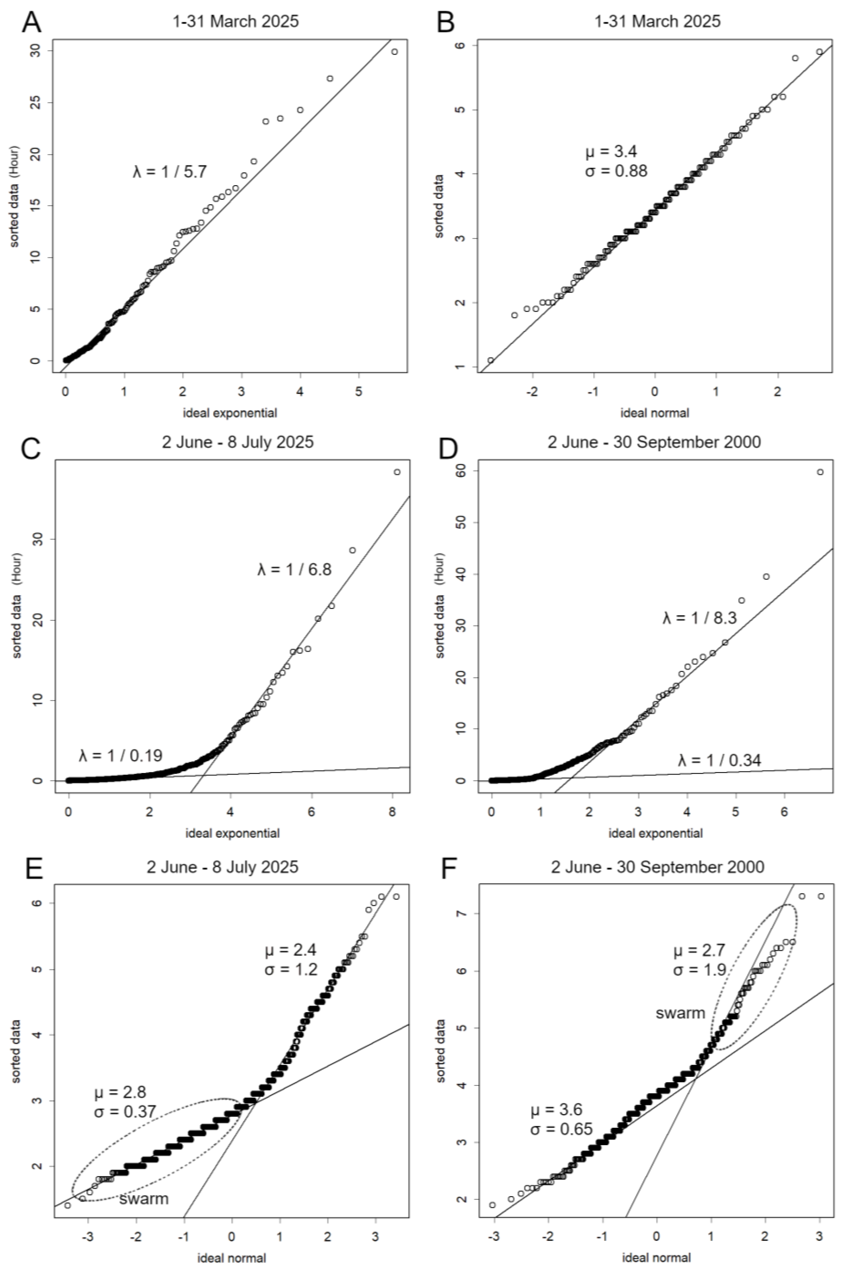
Prior to the earthquake swarm, in March 2005, it was clear that the intervals followed an exponential distribution (Figure 2A). The slight curvature near the origin is due to the continued occurrence of swarm earthquakes, albeit at low frequency, caused by the aftershocks of the 2011 Tohoku earthquake and the 2024 Noto earthquake (Figure 1). Furthermore, it is clear that the magnitude follows a normal distribution, contrary to what was previously believed [7] (Figure 2B).
The frequency of the 2025 Tokara earthquake swarms are exceptionally high, averaging approximately once every 0.19 h (Figure 2C). The QQ plot exhibits significant deviation from linearity, which is apparent in panel A, due to this swarm activity, which occurs 30 times more frequently than the previous baseline frequency of once every 5.7 h. Prior to the earthquake swarm, the QQ plot demonstrated linearity consistent with exponential distribution (Figure 2A and Figure S1A). Such earthquake swarms are frequently observed following major seismic events or during periods of volcanic activity. For instance, similar patterns were documented following the 2000 Miyake Island eruption, where the QQ plot exhibited comparable deviation from linearity (Figure 2D). In that case, seismic frequency increased from once every 8.3 h pre-eruption to once every 0.34 h post-eruption.
The magnitudes recorded during this earthquake swarm were substantially lower than baseline values (Figure 2E). The graph is curved because there are two different phases (compare with Figure 2A and Figure S1B). The magnitude distribution was similarly affected by this clustering, with the scale (σ) decreasing from σ = 1.2 to σ = 0.37. This contrasts markedly with the Miyake Island case, where σ increased from an initial value of 0.65 to 1.9. This disparity likely reflects fundamental differences in the causal mechanisms underlying the Miyake Island and Tokara seismic events. At Miyake Island, a significant earthquake occurred almost simultaneously with the eruption (Figure 2F), whereas at Tokara, the temporal relationship between eruptive and seismic activities was not necessarily synchronous. The observed deviation from a strictly linear relationship in the QQ plots, derived from hundreds to thousands of data points, indicates that these variations are unlikely to result from analytical errors. Such a robust linear relationship, formed by a large number of data points, would require systematic alteration of the entire dataset to be significantly modified, which is highly improbable by chance alone.

3.2. Variability in Data and Measurements for the Tokara Islands

Analysis of data specific to the Tokara Islands reveals the patterns shown in Figure 3. In the QQ plot for earthquake inter-event times, a deviation from linearity at panel A indicates that the earthquake swarm is not continuous but is intermittently disrupted by other seismic swarms. A similar deviation at panel B in the QQ plot for magnitudes suggests a slight increase in magnitude during these interruptions. For the exponential distribution of inter-event times, data tend to cluster near the origin, and despite an upward curvature on the right side of the plot, the robust linear regression method in R’s line function focuses on the linear portion to estimate parameters, disregarding non-linear tails. Similarly, for the normal distribution of magnitudes, data are concentrated near the mean, with the central portion of the QQ plot determining the linear relationship (Figure 3).
To assess temporal variability, parameters were estimated at four-day intervals, as presented in Table 1. Although the parameters λ (for the exponential distribution of inter-event times) and σ (for the normal distribution of magnitudes) are not necessarily normally distributed, their means and standard deviations are provided for reference. The variability in λ is likely attributable to daily fluctuations in seismic activity, including occasional interruptions, rather than measurement errors. The linear relationships in the QQ plots are derived from hundreds of data points, and altering the slope would require systematic changes to a substantial portion of the dataset, suggesting that analytical noise is minimal.

3.3. Changes in Epicentral Location

On the morning of 8 July 2025, the epicentral location shifted from the seabed between Akuseki and Takara Islands to waters adjacent to Suwanose Island, indicating that the earthquakes occurred at a distinct location rather than through a gradual migration (Figure 4A). This observation aligns with the findings in Figure 3A, which suggest that the earthquake swarm is not continuous but is intermittently disrupted by other seismic swarms. While the seabed between Akuseki and Takara Islands, where most swarm earthquakes occur, experienced a temporary lull, seismic activity near Suwanose Island reflects swarm earthquakes driven by different factors. From 9 July onwards, the parameters λ (for inter-event times) and μ and σ (for magnitudes) began reverting to their pre-swarm values (Figure 4B,C), with epicentral locations returning to the area between Akuseki and Takara Islands (Figure 4A). Furthermore, the frequency of swarm earthquakes has gradually decreased. Since 22 July, for instance, the epicentres of major swarm earthquakes have consistently returned to the area between Akuseki and Takara Islands, but the estimated λ has decreased significantly, indicating inter-event times of several hours (Figure 4A–D). During this period, earthquake magnitudes remained low. For example, under the conditions shown in Figure 4D, the z-score for a magnitude 4.5 earthquake is 4.8, with a p-value of approximately 10−6, suggesting that earthquakes of magnitude 4.5 or greater are highly unlikely within this swarm. However, background seismic activity across Japan, typically characterised by a normal distribution with μ = 3 and σ = 0.8 (Figure 2B,D,E), may still produce such earthquakes, though their frequency is unrelated to the swarm and is expected to be significantly lower.

3.4. Comparison with Previous Earthquakes

The observed parameters for the current 2025 earthquake swarm demonstrate remarkable similarity to those recorded during the two earthquake swarms of 2021 (Figure 5). When compared with theoretical ideal distributions, the observed distributions are practically indistinguishable except in the right tail, where both intervals and magnitudes increase. The small right tail might indicate changes in the swarm location (Figure 4). Rather, it should be noted that the observed parameters in most of the data area demonstrate remarkable consistency between the current 2025 earthquake swarm and the two 2021 events.

4. Discussion

In the month preceding the Tohoku earthquake, the magnitudes’ σ reached 1.3 whilst μ was significantly elevated at 3.6 (Figure S2). The frequency was exceptionally high, averaging 3.7 h even when earthquake swarm earthquakes were excluded from the analysis. This trend was particularly pronounced in the more immediate pre-seismic period, creating conditions conducive to large-magnitude earthquakes [6]. The current situation in the Tokara Islands presents a markedly different pattern, characterised by lower σ values (Figure 2). Consequently, there are presently no indications of an impending megathrust earthquake of Tohoku-class magnitude. Given that these data encompass the entirety of Japan, this suggests the absence of imminent major seismic activity across the Japanese archipelago.
The magnitude distribution of earthquakes occurring between Akuseki and Takara Islands exhibits consistently low σ values, which have remained stable since 2021 (Figure 3B). Therefore, high-magnitude earthquakes are not anticipated in this region, although frequent low-magnitude events will continue and σ is expected to increase as the swarm activity diminishes, hence occasional moderate events may occur stochastically. The relatively low energy signatures observed may be attributed to magma movement, which requires less energy than plate displacement due to magma’s lower viscosity compared to solid crustal material. In contrast, the earthquake swarms during the Miyake Island eruption may not have been primarily driven by magma movement but rather represented aftershock sequences from a major earthquake, with energy sources attributable to plate tectonics (Figure 2D).
The current Tokara Islands earthquake swarm is likely driven by magma movement. The intermittent cessation of earthquakes and their relocation to different epicentral areas, along with variations in the magnitude distribution, suggest that changes in the locus of magma movement and the position of geological barriers impeding this movement trigger seismic activity. The temporal correlation between volcanic activity at Suwanose Island and earthquake swarms in 2021 and 2025, combined with nearly identical statistical parameters (λ for inter-event times and μ and σ for magnitudes) across these periods (Figure 5), indicates the presence of a persistent magma conduit system and a geological structure predisposed to seismic activity. In contrast, large-scale eruptions, such as the 2015 eruption of Kuchinoerabu Island, which involved pyroclastic flows and evacuation advisories, often do not generate earthquake swarms. This suggests that magma movement alone is insufficient to cause earthquakes unless it encounters a geological structure that impedes flow. In the 2025 eruption of Suwanose Island, earthquakes also occurred in limited areas, each with different parameters (Figure 4). Each of these structures is unique, and each appears to cause its own characteristic earthquake swarms.
Encouragingly, the current swarm appears to be gradually subsiding (Figure 4D,E). The prolonged nature of current volcanic activity corresponds with the extended duration of the earthquake swarm. However, magma flow patterns appear to vary temporally, potentially triggering swarm activity at alternative locations with correspondingly different seismic parameters (Figure 4). Given the ongoing volcanic activity at Suwanose Island, magma movement is likely to persist, with earthquake activity continuing until volcanic processes cease, occurring at a lower frequency
The potential for the current seismic and volcanic activity to remain confined to the ongoing eruption at Suwanose Island or to result in new eruptive centres remains uncertain [14]. This uncertainty arises from the lack of published quantitative data on eruption magnitude [15]. As demonstrated in this study, understanding the distributional patterns of earthquake inter-event times and magnitudes enables the estimation of parameters (λ, μ, and σ), which can be directly compared with other observational datasets. These parameters also facilitate the estimation of event frequencies, providing critical information for predictive modelling. Access to quantitative measurements of the 2021 Suwanose Island eruption and its associated seismic activity would enable robust comparisons with the 2025 conditions. Observations of potential shifts in island positions suggest the possibility of large-scale geological changes [1]. For predictive purposes, the development of standardised methods for quantifying eruptive activity would be highly valuable. This study represents the second application of Exploratory Data Analysis (EDA) to seismic data in this context [6], and its effectiveness in characterising distributional patterns is evident.

5. Conclusions

The seismic activity discussed herein has persisted over an extended period and has occurred with notable frequency. Nevertheless, its parameters and epicentral location closely resemble those documented in 2021, with a particularly low magnitude scale (σ). A recurrent phenomenon associated with these events is the eruption of Suwanose Island, suggesting a strong link between the earthquakes and magmatic movement related to volcanic activity. Given the consistently small magnitude σ, the likelihood of a significant seismic event appears low. Furthermore, no precursory signals indicative of a large-scale earthquake, such as those observed prior to the 2011 Tohoku earthquake, have been detected.

Supplementary Materials

The following supporting information can be downloaded at https://www.mdpi.com/article/10.3390/geohazards6030052/s1: Figure S1: Statistical distributions in 1988.; Figure S2: Statistical distributions before the earthquake swarm.

Funding

This research received no external funding.

Data Availability Statement

All the data can be downloaded from JMA website: https://www.data.jma.go.jp/eqev/data/gaikyo/ (accessed on 30 July 2025).

Conflicts of Interest

The author declares no conflicts of interest.

Abbreviations

The following abbreviations are used in this manuscript:
EDAExploratory Data Analysis
JMAThe Japan Meteorological Agency
QQ plotQuantile–Quantile Plot

References

  1. JMA. Assessment of Seismic Activity off the Coast of the Tokara Islands. Available online: https://www.static.jishin.go.jp/resource/monthly/2025/20250703_tokara_1.pdf (accessed on 10 July 2025).
  2. JMA. Assessment of Seismic Activity in the Waters near the Tokara Islands. Available online: https://www.static.jishin.go.jp/resource/monthly/2025/20250703_tokara_2.pdf (accessed on 10 July 2025).
  3. Geshi, N.; Maeno, F.; Nakagawa, S.; Naruo, H.; Kobayashi, T. Tsunami deposits associated with the 7.3ka caldera-forming eruption of the Kikai Caldera, insights for tsunami generation during submarine caldera-forming eruptions. J. Volcanol. Geotherm. Res. 2017, 347, 221–233. [Google Scholar] [CrossRef]
  4. Japan Agency for Marine-Earth Science and Technology. Kikai Caldera Comprehensive Survey. Available online: https://www.jamstec.go.jp/rimg/j/research/kikaicaldera/ (accessed on 10 July 2025).
  5. JMA. Nankai Trough Earthquake. Available online: https://www.jma.go.jp/jma/kishou/know/jishin/nteq/index.html (accessed on 10 July 2025).
  6. Konishi, T. Seismic Pattern Changes Before the 2011 Tohoku Earthquake Revealed by exploratory data analysis. Interpretation 2025, 13, T671–T815. [Google Scholar] [CrossRef]
  7. Gutenberg, B.; Richter, C.F. Frequency of Earthquakes in California. Bull. Seismol. Soc. Am. 1944, 34, 185–188. [Google Scholar] [CrossRef]
  8. JMA. Weather, earthquakes, volcanoes, ocean knowledge—Volcanoes. Available online: https://www.jma-net.go.jp/fukuoka/jikazan/kazan_hanasi.html (accessed on 10 July 2025).
  9. British Geological Survey. How Volcanoes Form. Available online: https://www.bgs.ac.uk/discovering-geology/earth-hazards/volcanoes/how-volcanoes-form-2/ (accessed on 10 July 2025).
  10. Nishimura, T. Volcanic eruptions are triggered in static dilatational strain fields generated by large earthquakes. Sci. Rep. 2021, 11, 17235. [Google Scholar] [CrossRef] [PubMed]
  11. JMA. Summary of Seismic Activity for Each Month. Available online: https://www.data.jma.go.jp/eqev/data/gaikyo/ (accessed on 10 July 2025).
  12. JMA. Epicenter Location. Available online: https://www.jma.go.jp/bosai/map.html#10/29.428/129.559/&contents=hypo (accessed on 10 July 2025).
  13. R Core Team. R: A Language and Environment for Statistical Computing; R Foundation for Statistical Computing: Vienna, Austria, 2025. [Google Scholar]
  14. Japan Coast Guard. The submarine volcano in Tokara Islands. Volcan. Erupt. Predict. Liaison Comm. Bull. (JMA) 2013, 115, 235–236. [Google Scholar]
  15. Hayakawa, Y. Proposal for eruption magnitude (Japanese). Kazan 1993, 38, 223–226. [Google Scholar] [CrossRef]
Figure 2. Distributional analysis using QQ plots. QQ plots comparing observed earthquake data (y-axis) with theoretical distributions (x-axis) to validate distributional assumptions. Each plot compares quantiles of sorted observed data against those of a theoretical distribution. Here, the exponential distribution and normal distribution serve as theoretical models. A linear relationship indicates that the observed data conform to the specified distribution. (A) Earthquake inter-event times for March 2025, prior to the Tokara Islands earthquake swarm, compared with a theoretical exponential distribution, exhibiting a linear relationship. (B) Magnitude distribution for March 2025 compared with a theoretical normal distribution, confirming that magnitudes follow a normal distribution. Data include all seismic activity across Japan. (C) Two distinct slopes are evident: high λ (λ = 1/0.19), corresponding to the Tokara Islands earthquake swarm, and normal λ (λ = 1/6.8), representing background seismicity. The reciprocal of λ (1/λ) represents the mean earthquake interval for each population. (D) Earthquake intervals before and after the 2000 Miyake Island eruption. Pre-eruption activity follows exponential distribution (λ = 1/8.3), whilst post-eruption activity exhibits increased frequency (λ = 1/0.34), demonstrating characteristic swarm behaviour. (E) Magnitude distribution for June 2025 compared with normal distribution. Two populations are distinguished: low standard deviation (σ = 0.37, μ = 2.8), associated with the Tokara earthquake swarm, and higher variability (σ = 1.2, μ = 2.4), representing regional background activity. (F) Magnitude distribution before and after the 2000 Miyake Island eruption compared with normal distribution. Pre-eruption magnitudes exhibit lower variability (σ = 0.65, μ = 3.6), whilst post-eruption swarm activity demonstrates increased magnitude variability (σ = 1.9, μ = 2.7), contrasting with the Tokara pattern.
Figure 2. Distributional analysis using QQ plots. QQ plots comparing observed earthquake data (y-axis) with theoretical distributions (x-axis) to validate distributional assumptions. Each plot compares quantiles of sorted observed data against those of a theoretical distribution. Here, the exponential distribution and normal distribution serve as theoretical models. A linear relationship indicates that the observed data conform to the specified distribution. (A) Earthquake inter-event times for March 2025, prior to the Tokara Islands earthquake swarm, compared with a theoretical exponential distribution, exhibiting a linear relationship. (B) Magnitude distribution for March 2025 compared with a theoretical normal distribution, confirming that magnitudes follow a normal distribution. Data include all seismic activity across Japan. (C) Two distinct slopes are evident: high λ (λ = 1/0.19), corresponding to the Tokara Islands earthquake swarm, and normal λ (λ = 1/6.8), representing background seismicity. The reciprocal of λ (1/λ) represents the mean earthquake interval for each population. (D) Earthquake intervals before and after the 2000 Miyake Island eruption. Pre-eruption activity follows exponential distribution (λ = 1/8.3), whilst post-eruption activity exhibits increased frequency (λ = 1/0.34), demonstrating characteristic swarm behaviour. (E) Magnitude distribution for June 2025 compared with normal distribution. Two populations are distinguished: low standard deviation (σ = 0.37, μ = 2.8), associated with the Tokara earthquake swarm, and higher variability (σ = 1.2, μ = 2.4), representing regional background activity. (F) Magnitude distribution before and after the 2000 Miyake Island eruption compared with normal distribution. Pre-eruption magnitudes exhibit lower variability (σ = 0.65, μ = 3.6), whilst post-eruption swarm activity demonstrates increased magnitude variability (σ = 1.9, μ = 2.7), contrasting with the Tokara pattern.
Geohazards 06 00052 g002
Figure 3. QQ plots of earthquake data for the Tokara Islands earthquake swarm. (A) Earthquake inter-event times, showing a predominantly linear relationship with an exponential distribution, indicative of frequent short intervals characteristic of earthquake swarms. Occasional long interruptions cause deviations from linearity, but the estimated parameter λ remains small due to the dominance of short intervals. (B) Earthquake magnitudes, confirming a normal distribution with occasional larger magnitudes causing slight deviations from linearity.
Figure 3. QQ plots of earthquake data for the Tokara Islands earthquake swarm. (A) Earthquake inter-event times, showing a predominantly linear relationship with an exponential distribution, indicative of frequent short intervals characteristic of earthquake swarms. Occasional long interruptions cause deviations from linearity, but the estimated parameter λ remains small due to the dominance of short intervals. (B) Earthquake magnitudes, confirming a normal distribution with occasional larger magnitudes causing slight deviations from linearity.
Geohazards 06 00052 g003
Figure 4. Temporal and spatial evolution of seismic activity. (A) Epicentral changes during the earthquake swarm. The colour and size of the dots indicate the depth and the magnitude of the epicentre, respectively (Figure 1). Left panel shows epicentral distribution from 20 June to 7 July 2025, concentrated between Akuseki Island and Takara Island. Centre panel displays epicentral locations on 8 July 2025, demonstrating northward migration towards Suwanose Island. Right panel shows the epicentre for the month from 22 July. Some remain in Suwase Island, and some remain around Takara Island, but most are located between Takara and Akuseki Islands. The parameters for this period are shown in panels (D,E) below. The active volcano is situated at the centre of Suwanose Island, whilst Akuseki Island and Takara Island host geothermal springs but lack active volcanic centres. (B) Earthquake interval distribution (8–11 July 2025) compared with exponential distribution. Following epicentral migration, λ decreased (mean interval increased), showing two distinct populations: high-frequency events (λ = 1/0.2) and reduced-frequency events (λ = 1/0.7), estimated from the smallest 30 data points. (C) Magnitude distribution (8–11 July 2025) compared with normal distribution. Two populations are evident: the original low-variance population (σ = 0.41, μ = 2.7) and an emerging higher-variance population (σ = 0.75, μ = 2.5), suggesting transition of swarms. (D) Earthquake inter-event times from 22 July to 21 August 2025. Even the shortest 30 data points exhibit a mean inter-event time of 3.8 h, reflecting a significant decrease in λ. (E) Earthquake magnitudes from 22 July to 21 August 2025, remaining consistently low.
Figure 4. Temporal and spatial evolution of seismic activity. (A) Epicentral changes during the earthquake swarm. The colour and size of the dots indicate the depth and the magnitude of the epicentre, respectively (Figure 1). Left panel shows epicentral distribution from 20 June to 7 July 2025, concentrated between Akuseki Island and Takara Island. Centre panel displays epicentral locations on 8 July 2025, demonstrating northward migration towards Suwanose Island. Right panel shows the epicentre for the month from 22 July. Some remain in Suwase Island, and some remain around Takara Island, but most are located between Takara and Akuseki Islands. The parameters for this period are shown in panels (D,E) below. The active volcano is situated at the centre of Suwanose Island, whilst Akuseki Island and Takara Island host geothermal springs but lack active volcanic centres. (B) Earthquake interval distribution (8–11 July 2025) compared with exponential distribution. Following epicentral migration, λ decreased (mean interval increased), showing two distinct populations: high-frequency events (λ = 1/0.2) and reduced-frequency events (λ = 1/0.7), estimated from the smallest 30 data points. (C) Magnitude distribution (8–11 July 2025) compared with normal distribution. Two populations are evident: the original low-variance population (σ = 0.41, μ = 2.7) and an emerging higher-variance population (σ = 0.75, μ = 2.5), suggesting transition of swarms. (D) Earthquake inter-event times from 22 July to 21 August 2025. Even the shortest 30 data points exhibit a mean inter-event time of 3.8 h, reflecting a significant decrease in λ. (E) Earthquake magnitudes from 22 July to 21 August 2025, remaining consistently low.
Geohazards 06 00052 g004
Figure 5. Comparative analysis of Tokara earthquake swarms across multiple years. QQ plots comparing earthquake swarm characteristics during three distinct periods: 29 June–4 July 2025, 10–12 April 2021, and 4–7 December 2021. Each QQ plot superimposes quantiles of observed data (y-axis) against quantiles of a theoretical distribution (x-axis) for earthquake inter-event times and magnitudes. A linear relationship indicates conformity to the theoretical distribution, with identical slopes and intercepts suggesting consistent parameters across periods. All earthquake swarms occurred in the Tokara Islands region during periods of concurrent volcanic activity at Suwanose Island. (A) Earthquake interval distributions compared with exponential distribution. The three swarm periods demonstrate remarkably similar statistical characteristics, with consistent exponential behaviour (λ = 1/0.20) during peak swarm activity, indicating identical underlying seismogenic processes. (B) Magnitude distributions compared with normal distribution. All three swarms exhibit nearly identical magnitude characteristics (μ = 2.9, σ = 0.39), demonstrating consistent energy release patterns across different temporal episodes. The convergence of data points along the theoretical line confirms the reproducibility of swarm behaviour. The straight line is drawn based on all data.
Figure 5. Comparative analysis of Tokara earthquake swarms across multiple years. QQ plots comparing earthquake swarm characteristics during three distinct periods: 29 June–4 July 2025, 10–12 April 2021, and 4–7 December 2021. Each QQ plot superimposes quantiles of observed data (y-axis) against quantiles of a theoretical distribution (x-axis) for earthquake inter-event times and magnitudes. A linear relationship indicates conformity to the theoretical distribution, with identical slopes and intercepts suggesting consistent parameters across periods. All earthquake swarms occurred in the Tokara Islands region during periods of concurrent volcanic activity at Suwanose Island. (A) Earthquake interval distributions compared with exponential distribution. The three swarm periods demonstrate remarkably similar statistical characteristics, with consistent exponential behaviour (λ = 1/0.20) during peak swarm activity, indicating identical underlying seismogenic processes. (B) Magnitude distributions compared with normal distribution. All three swarms exhibit nearly identical magnitude characteristics (μ = 2.9, σ = 0.39), demonstrating consistent energy release patterns across different temporal episodes. The convergence of data points along the theoretical line confirms the reproducibility of swarm behaviour. The straight line is drawn based on all data.
Geohazards 06 00052 g005
Table 1. Parameters estimated at four-day intervals for the Tokara Islands earthquake swarm.
Table 1. Parameters estimated at four-day intervals for the Tokara Islands earthquake swarm.
MagnitudeInterval
μΣλ
21–24 June2.60.420.51
25–28 June2.70.470.20
29 June–2 July2.80.470.17
3–6 July2.80.360.43
7–10 July3.00.420.21
mean2.80.430.30
sd0.140.040.15
Disclaimer/Publisher’s Note: The statements, opinions and data contained in all publications are solely those of the individual author(s) and contributor(s) and not of MDPI and/or the editor(s). MDPI and/or the editor(s) disclaim responsibility for any injury to people or property resulting from any ideas, methods, instructions or products referred to in the content.

Share and Cite

MDPI and ACS Style

Konishi, T. Earthquake Swarm Activity in the Tokara Islands (2025): Statistical Analysis Indicates Low Probability of Major Seismic Event. GeoHazards 2025, 6, 52. https://doi.org/10.3390/geohazards6030052

AMA Style

Konishi T. Earthquake Swarm Activity in the Tokara Islands (2025): Statistical Analysis Indicates Low Probability of Major Seismic Event. GeoHazards. 2025; 6(3):52. https://doi.org/10.3390/geohazards6030052

Chicago/Turabian Style

Konishi, Tomokazu. 2025. "Earthquake Swarm Activity in the Tokara Islands (2025): Statistical Analysis Indicates Low Probability of Major Seismic Event" GeoHazards 6, no. 3: 52. https://doi.org/10.3390/geohazards6030052

APA Style

Konishi, T. (2025). Earthquake Swarm Activity in the Tokara Islands (2025): Statistical Analysis Indicates Low Probability of Major Seismic Event. GeoHazards, 6(3), 52. https://doi.org/10.3390/geohazards6030052

Article Metrics

Back to TopTop