Organic Dye Photodegradation Using Niobium-Alkali Perovskite Photocatalysts: The Effect of the Alkali
Abstract
1. Introduction
2. Materials and Methods
2.1. Photocatalyst Preparation
2.2. Photocatalyst Characterization
2.3. Photocatalyst Testing
2.4. Theoretical Method
3. Results
3.1. Synthesis and Characterization of the Niobates (XRD) Theoretical Method
3.2. Local Structure Determination
3.3. Surface Characterization—XPS
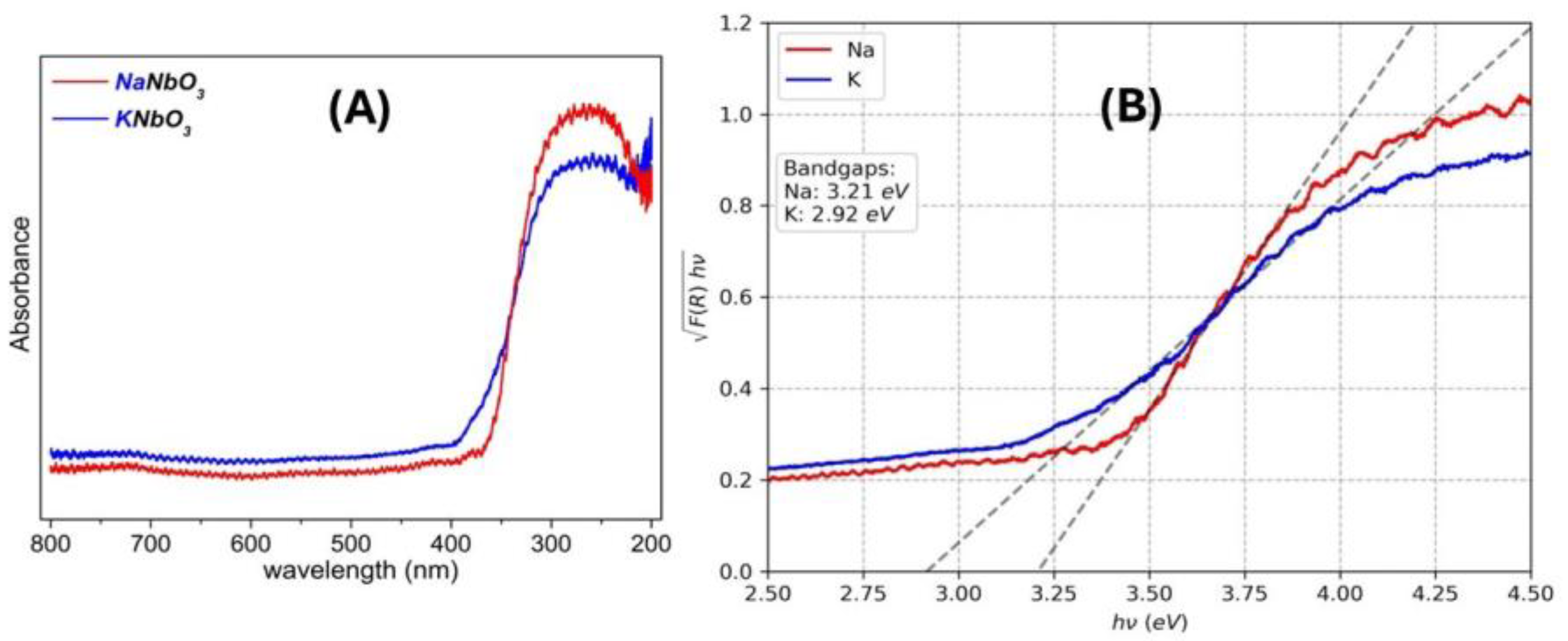
3.4. Optical Bandgap (DRS) and Electronic Structure
3.5. Photocatalytic Testing
4. Conclusions
Supplementary Materials
Author Contributions
Funding
Data Availability Statement
Acknowledgments
Conflicts of Interest
References
- Shi, H.; Zou, Z. Photophysical and photocatalytic properties of ANbO3 (A = Na, K) photocatalysts. J. Phys. Chem. Solids 2012, 73, 788–792. [Google Scholar] [CrossRef]
- Shwetharani, R.; Sakar, M.; Fernando, C.A.N.; Binas, V.; Balakrishna, R.G. Recent advances and strategies to tailor the energy levels, active sites and electron mobility in titania and its doped/composite analogues for hydrogen evolution in sunlight. Catal. Sci. Technol. 2019, 9, 12–46. [Google Scholar] [CrossRef]
- Tee, S.Y.; Win, K.Y.; Teo, W.S.; Koh, L.-D.; Liu, S.; Teng, C.P.; Han, M.-Y. Recent Progress in Energy-Driven Water Splitting. Adv. Sci. 2017, 4, 1600337. [Google Scholar] [CrossRef] [PubMed]
- Yang, L.; Zhou, H.; Fan, T.; Zhang, D. Semiconductor photocatalysts for water oxidation: Current status and challenges. Phys. Chem. Chem. Phys. 2014, 16, 6810–6826. [Google Scholar] [CrossRef]
- Osterloh, F.E. Inorganic nanostructures for photoelectrochemical and photocatalytic water splitting. Chem. Soc. Rev. 2013, 42, 2294–2320. [Google Scholar] [CrossRef]
- Fujishima, A.; Honda, K. Electrochemical Photolysis of Water at a Semiconductor Electrode. Nature 1972, 238, 37–38. [Google Scholar] [CrossRef]
- Eng, H.W.; Barnes, P.W.; Auer, B.M.; Woodward, P.M. Investigations of the electronic structure of d0 transition metal oxides belonging to the perovskite family. J. Solid State Chem. 2003, 175, 94–109. [Google Scholar] [CrossRef]
- Grabowska, E. Selected perovskite oxides: Characterization, preparation and photocatalytic properties—A review. Appl. Catal. B Environ. 2016, 186, 97–126. [Google Scholar] [CrossRef]
- Souza, J.K.D.; Duarte, T.M.; dos Santos, I.M.G.; Sambrano, J.R.; da Silva Maia, A.; dos Reis Albuquerque, A. Intra-octahedral distortion on lamellar potassium niobate K4Nb6O17: A periodic DFT study of structural, electronic and vibrational properties. Phys. Chem. Chem. Phys. 2020, 22, 16562–16570. [Google Scholar] [CrossRef]
- Filip, M.R.; Eperon, G.E.; Snaith, H.J.; Giustino, F. Steric engineering of metal-halide perovskites with tunable optical band gaps. Nat. Commun. 2014, 5, 5757. [Google Scholar] [CrossRef]
- Chen, X.; Shen, S.; Guo, L.; Mao, S.S. Semiconductor-based Photocatalytic Hydrogen Generation. Chem. Rev. 2010, 110, 6503–6570. [Google Scholar] [CrossRef] [PubMed]
- Zhou, C.; Shi, R.; Waterhouse, G.I.; Zhang, T. Recent advances in niobium-based semiconductors for solar hydrogen production. Coord. Chem. Rev. 2020, 419, 213399. [Google Scholar] [CrossRef]
- Liu, J.; Chen, G.; Li, Z.; Zhang, Z. Hydrothermal synthesis and photocatalytic proper- ties of ATaO3 and ANbO3 (A = Na and K). Int. J. Hydrogen Energy 2007, 32, 2269–2272. [Google Scholar] [CrossRef]
- Zlotnik, S.; Tobaldi, D.M.; Seabra, P.; Labrincha, J.A.; Vilarinho, P.M. Alkali Niobate and Tantalate Perovskites as Alternative Photocatalysts. ChemPhysChem 2016, 17, 3570–3575. [Google Scholar] [CrossRef]
- Zielinska, B.; Srenscek-Nazzal, J.; Kalenczuk, R. Photocatalytic hydrogen generation over alkali niobates in the presence of organic compounds. Pol. J. Chem. Technol. 2008, 10, 1–3. [Google Scholar] [CrossRef]
- Goldschmidt, V.M. Die gesetze der krystallochemie. Naturwissenschaften 1926, 14, 477–485. [Google Scholar] [CrossRef]
- Shannon, R.D. Revised effective ionic radii and systematic studies of interatomic distances in halides and chalcogenides. Acta Crystallogr. Sect. A Cryst. Phys. Diffr. Theor. Gen. Crystallogr. 1976, 32, 751–767. [Google Scholar] [CrossRef]
- Huheey, J.E.; Keiter, E.A.; Keiter, R.L.; Medhi, O.K. Inorganic Chemistry: Principles of Structure and Reactivity; Pearson Education India: Delhi, India, 2006. [Google Scholar]
- Juang, Y. Phase transition of lithium potassium niobate ceramics. Solid State Commun. 2001, 120, 25–28. [Google Scholar] [CrossRef]
- Skjærvø, S.L.; Høydalsvik, K.; Blichfeld, A.B.; Einarsrud, M.-A.; Grande, T. Thermal evolution of the crystal structure and phase transitions of KNbO3. R. Soc. Open Sci. 2018, 5, 180368. [Google Scholar] [CrossRef]
- Shafer, M.; Roy, R. Phase equilibria in the system Na2O-Nb2O5. J. Am. Ceram. Soc. 1959, 42, 482–486. [Google Scholar] [CrossRef]
- Xu, Y.-Q.; Wu, S.-Y.; Ding, C.-C.; Wu, L.-N.; Zhang, G.-J. First-principles investigation on the mechanism of photocatalytic properties for cubic and orthorhombic KNbO3. Chem. Phys. 2018, 504, 66–71. [Google Scholar] [CrossRef]
- Hewat, A.W. Cubic-tetragonal-orthorhombic-rhombohedral ferroelectric transitions in perovskite potassium niobate: Neutron powder profile refinement of the structures. J. Phys. C Solid State Phys. 1973, 6, 2559–2572. [Google Scholar] [CrossRef]
- Kato, H.; Kudo, A. Water Splitting into H2 and O2 on Alkali Tantalate Photocatalysts ATaO3 (A = Li, Na, and K). J. Phys. Chem. B 2001, 105, 4285–4292. [Google Scholar] [CrossRef]
- Yang, J.; Wang, D.; Han, H.; Li, C. Roles of Cocatalysts in Photocatalysis and Photoelectrocatalysis. Acc. Chem. Res. 2013, 46, 1900–1909. [Google Scholar] [CrossRef]
- Tian, L.; Guan, X.; Zong, S.; Dai, A.; Qu, J. Cocatalysts for Photocatalytic Overall Water Splitting: A Mini Review. Catalysts 2023, 13, 355. [Google Scholar] [CrossRef]
- Liu, C.; Liu, J.; Godin, R. ALD-Deposited NiO Approaches the Performance of Platinum as a Hydrogen Evolution Cocatalyst on Carbon Nitride. ACS Catal. 2023, 13, 573–586. [Google Scholar] [CrossRef]
- Li, M.; Shen, L.; Yang, M.Q. Cobalt-Based Cocatalysts for Photocatalytic CO2 Reduction. Trans. Tianjin Univ. 2022, 28, 506–532. [Google Scholar] [CrossRef]
- Soni, V.; Xia, C.; Cheng, C.K.; Nguyen, V.H.; Nguyen, D.L.T.; Bajpai, A.; Kim, S.Y.; Le, Q.V.; Khan, A.A.P.; Singh, P.; et al. Advances and recent trends in cobalt-based cocatalysts for solar-to-fuel conversion. Appl. Mater. Today 2021, 24, 101074. [Google Scholar] [CrossRef]
- Toby, B.H.; Von Dreele, R.B. GSAS-II: The genesis of a modern open-source all purpose crystallography software package. J. Appl. Crystallogr. 2013, 46, 544–549. [Google Scholar] [CrossRef]
- Fairley, N.; Fernandez, V.; Richard-Plouet, M.; Guillot-Deudon, C.; Walton, J.; Smith, E.; Flahaut, D.; Greiner, M.; Biesinger, M.; Tougaard, S.; et al. Systematic and collaborative approach to problem solving using X-ray photoelectron spectroscopy. Appl. Surf. Sci. Adv. 2021, 5, 100112. [Google Scholar] [CrossRef]
- Shirley, D.A. High-resolution X-ray photoemission spectrum of the valence bands of gold. Phys. Rev. B 1972, 5, 4709–4714. [Google Scholar] [CrossRef]
- de Smit, E.; van Schooneveld, M.M.; Cinquini, F.; Bluhm, H.; Sautet, P.; de Groot, F.M.; Weckhuysen, B.M. On the surface chemistry of iron oxides in reactive gas atmospheres. Angew. Chem. 2011, 123, 1622–1626. [Google Scholar] [CrossRef]
- Perdew, J.P.; Burke, K.; Ernzerhof, M. Generalized gradient approximation made simple. Phys. Rev. Lett. 1996, 77, 3865–3868. [Google Scholar] [CrossRef] [PubMed]
- Blöchl, P.E. Projector augmented-wave method. Phys. Rev. B 1994, 50, 17953–17979. [Google Scholar] [CrossRef]
- Monkhorst, H.J.; Pack, J.D. Special points for Brillouin-zone integrations. Phys. Rev. B 1976, 13, 5188–5192. [Google Scholar] [CrossRef]
- Krukau, A.V.; Vydrov, O.A.; Izmaylov, A.F.; Scuseria, G.E. Influence of the exchange screening parameter on the performance of screened hybrid functionals. J. Chem. Phys. 2006, 125, 224106. [Google Scholar] [CrossRef]
- Bunau, O.; Calandra, M. Projector augmented wave calculation of X-ray absorption spectra at the L2,3 edges. Phys. Rev. B 2013, 87, 205105–205117. [Google Scholar] [CrossRef]
- Gougoussis, C.; Calandra, M.; Seitsonen, A.P.; Mauri, F. First-principles calculations of X-ray absorption in a scheme based on ultrasoft pseudopotentials: From α-quartz to high-Tc compounds. Phys. Rev. B 2009, 80, 075102–075110. [Google Scholar] [CrossRef]
- Taillefumier, M.; Cabaret, D.; Flank, A.-M.; Mauri, F. X-ray absorption near-edge structure calculations with the pseudopotentials: Application to the K edge in diamond and quartz. Phys. Rev. B 2002, 66, 195107–195115. [Google Scholar] [CrossRef]
- Giannozzi, P.; Andreussi, O.; Brumme, T.; Bunau, O.; Nardelli, M.B.; Calandra, M.; Car, R.; Cavazzoni, C.; Ceresoli, D.; Cococcioni, M.; et al. Advanced capabilities for materials modelling with Quantum ESPRESSO. J. Phys. Condens. Matter 2017, 29, 465901. [Google Scholar] [CrossRef]
- Otto, W.H. Compaction effects in glass fibers. J. Am. Ceram. Soc. 1961, 44, 68–72. [Google Scholar] [CrossRef]
- Reisman, A.; Holtzberg, F. Phase equilibria in the system K2CO3-Nb2O5 by the method of differential thermal analysis. J. Am. Chem. Soc. 1955, 77, 2115–2119. [Google Scholar] [CrossRef]
- Brewer, L.; Margrave, J. The vapor pressures of lithium and sodium oxides. J. Phys. Chem. 1955, 59, 421–425. [Google Scholar] [CrossRef]
- Prezas, P.R.; Graça, M.P. Structural characterization of lithium niobate nanoparticles prepared by the sol-gel process, using x-ray and Raman spectroscopy and scanning electron microscopy. In Applications of Molecular Spectroscopy to Current Research in the Chemical and Biological Sciences; InTech: London, UK, 2016; p. 45. [Google Scholar]
- Meshalkin, A.; Kaplun, A.; Pyl’neva, N.; Tsirkina, N.; Kosyakov, V. Phase equilibria in the K2O-Nb2O5 system. Russ. J. Inorg. Chem. 2007, 52, 1629–1633. [Google Scholar] [CrossRef]
- Popovic, A.; Bencze, L.; Koruza, J.; Malic, B.; Kosec, M. Knudsen effusion mass spectrometric approach to the thermodynamics of Na2O-Nb2O5 system. Int. J. Mass Spectrom. 2012, 309, 70–78. [Google Scholar] [CrossRef]
- Sriphan, S.; Kiravittaya, S.; Kidkhunthod, P.; Bongkarn, T. Insight into an atomic arrangement of [KNbO3]0.9-[BaNi0.5Nb0.5O3]0.1 powder formed at various calcination temperatures by X-ray absorption spectroscopy. Results Phys. 2017, 7, 1550–1555. [Google Scholar] [CrossRef]
- Li, P.; Abe, H.; Ye, J. Band-gap engineering of NaNbO3 for photocatalytic H2 evolution with visible light. Int. J. Photoenergy 2014, 2014, 380421–380427. [Google Scholar] [CrossRef]
- Li, P.; Ouyang, S.; Xi, G.; Kako, T.; Ye, J. The effects of crystal structure and electronic structure on photocatalytic H2 evolution and CO2 reduction over two phases of perovskite-structured NaNbO3. J. Phys. Chem. C 2012, 116, 7621–7628. [Google Scholar] [CrossRef]
- Yamazoe, S.; Shibata, K.; Kato, K.; Wada, T. Needle-like NaNbO3 synthesis via Nb6O198- cluster using Na3NbO4 precursor by dissolution-precipitation method. Chem. Lett. 2013, 42, 380–382. [Google Scholar] [CrossRef]
- Zhang, T.; Zhao, K.; Yu, J.; Jin, J.; Qi, Y.; Li, H.; Hou, X.; Liu, G. Photocatalytic water splitting for hydrogen generation on cubic, orthorhombic, and tetragonal KNbO3 microcubes. Nanoscale 2013, 5, 8375–8383. [Google Scholar] [CrossRef]
- Shishido, T.; Asakura, H.; Yamazoe, S.; Teramura, K.; Tanaka, T. Structural analysis of group V, VI, VII metal compounds by XAFS and DFT calculation. J. Phys. Conf. Series 2009, 190, 012073. [Google Scholar] [CrossRef]
- Shuvaeva, V.A.; Yanagi, K.; Yagi, K.; Sakaue, K.; Terauchi, H. Local structure and nature of phase transitions in KNbO3. Solid State Commun. 1998, 106, 335–339. [Google Scholar] [CrossRef]
- Zhai, H.; Liu, H.; Li, H.; Zheng, L.; Hu, C.; Wang, Z.; Qi, J.; Yang, J. The effects of Li/Nb ratio on the preparation and photocatalytic performance of Li-Nb-O compounds. Nanoscale Res. Lett. 2017, 12, 496. [Google Scholar] [CrossRef] [PubMed]
- Dupin, J.C.; Gonbeau, D.; Vinatier, P.; Levasseur, A. Systematic XPS studies of metal oxides, hydroxides and peroxides. Phys. Chem. Chem. Phys. 2000, 2, 1319–1324. [Google Scholar] [CrossRef]
- Verpoort, F.; De Doncker, G.; Bossuyt, A.R.; Fiermans, L.; Verdonck, L. Angle-resolved and depth profiling XPS investigation of a monolayer niobium oxide catalyst. J. Electron Spectrosc. Relat. Phenom. 1995, 73, 271–281. [Google Scholar] [CrossRef]
- Miller, D.; Biesinger, M.; McIntyre, N. Interactions of CO2 and CO at fractional atmosphere pressures with iron and iron oxide surfaces: One possible mechanism for surface contamination? Surf. Interface Anal. 2002, 33, 299–305. [Google Scholar] [CrossRef]
- Shchukarev, A.; Korolkov, D. XPS study of group IA carbonates. Open Chem. 2004, 2, 347–362. [Google Scholar] [CrossRef]
- Mattos, L.V.; Jacobs, G.; Davis, B.H.; Noronha, F.B. Production of hydrogen from ethanol: Review of reaction mechanism and catalyst deactivation. Chem. Rev. 2012, 112, 4094–4123. [Google Scholar] [CrossRef]
- Biesinger, M.C.; Payne, B.P.; Lau, L.W.; Gerson, A.; Smart, R.S.C. X-ray photoelectron spectroscopic chemical state quantification of mixed nickel metal, oxide and hydroxide systems. Surf. Interface Anal. 2009, 41, 324–332. [Google Scholar] [CrossRef]
- Mossanek, R.; Preda, I.; Abbate, M.; Rubio-Zuazo, J.; Castro, G.; Vollmer, A.; Gutiérrez, A.; Soriano, L. Investigation of surface and non-local screening effects in the Ni 2p core level photoemission spectra of NiO. Chem. Phys. Lett. 2011, 501, 437–441. [Google Scholar] [CrossRef]
- Carley, A.; Jackson, S.; O’Shea, J.; Roberts, M. Oxidation states at alkali-metal-doped Ni(110)–O surfaces. Phys. Chem. Chem. Phys. 2001, 3, 274–281. [Google Scholar] [CrossRef]
- Hasemi, T.; Brinkman, A. X-ray photoelectron spectroscopy of nickel manganese oxide thermistors. J. Mater. Res. 1992, 7, 1278. [Google Scholar] [CrossRef]
- Drouet, C.; Laberty, C.; Fierro, J.L.G.; Alphonse, P.; Rousset, A. X-ray photoelectron spectroscopic study of non-stoichiometric nickel and nickel–copper spinel manganites International. J. Inorg. Mater. 2000, 2, 419–426. [Google Scholar] [CrossRef]
- Gonzalez-Elipe, A.R.; Holgado, J.P.; Alvarez, R.; Munuera, G. Use of factor analysis and XPS to study defective nickel oxide. J. Phys. Chem. 1992, 96, 3080–3086. [Google Scholar] [CrossRef]
- Salunkhe, P.; Ali AV, M.; Kekuda, D. Investigation on tailoring physical properties of Nickel Oxide thin films grown by dc magnetron sputtering. Mater. Res. Express 2020, 7, 016427. [Google Scholar] [CrossRef]
- Venezia, A.; Bertoncello, R.; Deganello, G. X-ray photoelectron spectroscopy investigation of pumice-supported nickel catalysts. Surf. Interface Anal. 1995, 23, 239–247. [Google Scholar] [CrossRef]
- Kim, K.; Gossmann, A.; Winograd, N. X-ray photoelectron spectroscopic studies of palladium oxides and the palladium-oxygen electrode. Anal. Chem. 1974, 46, 197–200. [Google Scholar] [CrossRef]
- Denny, Y.R.; Lee, K.; Park, C.; Oh, S.K.; Kang, H.J.; Yang, D.-S.; Seo, S. Electronic, electrical and optical properties of undoped and Na-doped NiO thin films. Thin Solid Film. 2015, 591, 255–260. [Google Scholar] [CrossRef]
- Yang, S.; Kim, J.; Song, S.; Lee, D.; Ju, T.S.; Bae, J.S.; Park, S. Role of Na-doping-induced oxygen vacancies in the variation of electrical properties of NiO ceramics. Ceram. Int. 2017, 43, 11898–11901. [Google Scholar] [CrossRef]
- Kubelka, P.; Munk, F. An article on optics of paint layers. Z. Tech. Phys 1931, 12, 259–274. [Google Scholar]
- Stenzel, O. The Physics of Thin Film Optical Spectra; Springer: Berlin/Heidelberg, Germany, 2016; pp. 131–161. [Google Scholar]
- Hamilton, A.M.; O’Donnell, S.; Zoellner, B.; Sullivan, I.; Maggard, P.A. Flux-mediated synthesis and photocatalytic activity of NaNbO3 particles. J. Am. Ceram. Soc. 2020, 103, 454–464. [Google Scholar] [CrossRef]
- Gillani, S.S.A.; Zeeshan, T.; Maqsood, A.; Shakil, M.; Rizwan, M.; Riaz, A.; Waseem, S. A systematic computational study to understand the effect of metals (Mg, Ca, Sr) doping and external isotropic static pressure on phase stability, electronic band structure and optical properties of KNbO3. Mater. Sci. Eng. B 2021, 271, 115261. [Google Scholar] [CrossRef]
- Heger, D.; Jirkovsky, J.; Klan, P. Aggregation of methylene blue in frozen aqueous solutions studied by absorption spectroscopy. J. Phys. Chem. A 2005, 109, 6702–6709. [Google Scholar] [CrossRef] [PubMed]
- Mondal, S.; Reyes, M.E.D.A.; Pal, U. Plasmon induced enhanced photocatalytic activity of gold loaded hydroxyapatite nanoparticles for methylene blue degradation under visible light. RSC Adv. 2017, 7, 8633–8645. [Google Scholar] [CrossRef]
- Cenens, J.; Schoonheydt, R. Visible spectroscopy of methylene blue on hectorite, laponite B, and barasym in aqueous suspension. Clays Clay Miner. 1988, 36, 214–224. [Google Scholar] [CrossRef]
- Huan, Y.; Shen, H.; Zhu, Y.; Li, M.; Li, H.; Wang, Z.; Hao, Y.; Wei, T. Enhanced ferro-photocatalytic performance for ANbO3 (A = Na, K) nanoparticles. Math. Biosci. Eng. 2019, 16, 4122–4134. [Google Scholar]
- Huan, Y.; Wang, X.; Hao, W.; Li, H. Enhanced photocatalysis activity of ferroelectric KNbO3 nanofibers compared with antiferroelectric NaNbO3 nanofibers synthesized by electrospinning. RSC Adv. 2015, 5, 72410–72415. [Google Scholar] [CrossRef]
- Marchena, C.L.; Saux, C.; Dinamarca, R.; Pecchi, G.; Pierella, L. Alkaline niobates ANbO3 (A = Li, Na, K) as heterogeneous catalysts for dipropyl sulfide oxidation. RSC Adv. 2016, 6, 102015–102022. [Google Scholar] [CrossRef]
- Batista, A.; Carvalho, H.; Luz, G.; Martins, P.; Gonçalves, M.; Oliveira, L.C.A. Preparation of CuO/SiO2 and Photocatalytic Activity by Degradation of Methylene Blue. Environ. Chem. Lett. 2010, 8, 63–67. [Google Scholar] [CrossRef]
- Oliveira, L.; Gonçalves, M.; Guerreiro, M.; Ramalho, T.; Fabris, J.; Pereira, M.; Sapag, K. A new catalyst material based on niobia/iron oxide composite on the oxida- tion of organic contaminants in water via heterogeneous Fenton mechanisms. Appl. Catal. A Gen. 2007, 316, 117–124. [Google Scholar] [CrossRef]
- Mejía, C.H.; den Otter, J.H.; Weber, J.L.; De Jong, K.P. Crystalline niobia with tailored porosity as support for cobalt catalysts for the Fischer–Tropsch synthesis. Appl. Catal. A Gen. 2017, 548, 143–149. [Google Scholar] [CrossRef]
- Zuo, R.; Du, G.; Zhang, W.; Liu, L.; Liu, Y.; Mei, L.; Li, Z. Photocatalytic Degradation of Methylene Blue Using TiO2 Impregnated Diatomite. Adv. Mater. Sci. Eng. 2014, 2014, 170148–170155. [Google Scholar] [CrossRef]
- Freund, H.J. Oxygen activation on oxide surfaces: A perspective at the atomic level. Catal. Today 2014, 238, 2–9. [Google Scholar] [CrossRef]
- Blasse, G.; De Haart, L.G.J. The nature of the luminescence of niobates MNbO3 (M = Li, Na, K). Mater. Chem. Phys. 1986, 14, 481–484. [Google Scholar] [CrossRef]
- Pava-Gómez, B.; Vargas-Ramírez, X.; Díaz-Uribe, C. Physicochemical study of adsorption and photodegradation processes of methylene blue on copper-doped TiO2 films. J. Photochem. Photobiol. A Chem. 2018, 360, 13–25. [Google Scholar] [CrossRef]
- Saepurahman, A.M.; Abdullah, M.A.; Chong, F.K. Dual-effects of adsorption and photodegradation of methylene blue by tungsten-loaded titanium dioxide. Chem. Eng. J. 2010, 158, 418–425. [Google Scholar] [CrossRef]









| Experimental | NaNbO3 | KNbO3 | |
|---|---|---|---|
| Space Group | Pbma | Amm2 | |
| a | 5.57765 | 3.995 | |
| Cell parameters (Å) | b | 15.5503 | 5.69646 |
| c | 5.51659 | 5.71024 | |
| Average diam. (nm) | 131.4 (NaNbO3) 36 (NiO) | 100 (KNbO3) 24.7 (NiO) | |
| Rwp (%) | 5.81 | 8.73 | |
| GOF | 4.25 | 5.8 | |
| Theory | |||
| a | 5.5625 | 3.9710 | |
| Cell parameters (Å) | b | 15.5495 | 5.6910 |
| c | 5.5138 | 5.7190 |
| Exp (eV) | GGA (eV) | HSE06 (eV) | |
|---|---|---|---|
| NaNbO3 | 3.21 | 1.45 | 3.22 |
| KNbO3 | 2.92 | 1.72 | 3.18 |
Disclaimer/Publisher’s Note: The statements, opinions and data contained in all publications are solely those of the individual author(s) and contributor(s) and not of MDPI and/or the editor(s). MDPI and/or the editor(s) disclaim responsibility for any injury to people or property resulting from any ideas, methods, instructions or products referred to in the content. |
© 2025 by the authors. Licensee MDPI, Basel, Switzerland. This article is an open access article distributed under the terms and conditions of the Creative Commons Attribution (CC BY) license (https://creativecommons.org/licenses/by/4.0/).
Share and Cite
Ribeiro, M.Z.L.L.; Gomes, I.F.; Herrera, E.Z.; Mello, A.; Guimarães, M.O.; Carneiro, P.A.; Rodrigues, D.C.M.; Scopel, W.L.; Amorim, R.G.; Ribeiro, M.C. Organic Dye Photodegradation Using Niobium-Alkali Perovskite Photocatalysts: The Effect of the Alkali. Reactions 2025, 6, 18. https://doi.org/10.3390/reactions6010018
Ribeiro MZLL, Gomes IF, Herrera EZ, Mello A, Guimarães MO, Carneiro PA, Rodrigues DCM, Scopel WL, Amorim RG, Ribeiro MC. Organic Dye Photodegradation Using Niobium-Alkali Perovskite Photocatalysts: The Effect of the Alkali. Reactions. 2025; 6(1):18. https://doi.org/10.3390/reactions6010018
Chicago/Turabian StyleRibeiro, Mirtha Z. L. L., Igor F. Gomes, Edher Z. Herrera, Alexandre Mello, Marília O. Guimarães, Patrícia A. Carneiro, Débora C. M. Rodrigues, Wanderlã L. Scopel, Rodrigo G. Amorim, and Mauro C. Ribeiro. 2025. "Organic Dye Photodegradation Using Niobium-Alkali Perovskite Photocatalysts: The Effect of the Alkali" Reactions 6, no. 1: 18. https://doi.org/10.3390/reactions6010018
APA StyleRibeiro, M. Z. L. L., Gomes, I. F., Herrera, E. Z., Mello, A., Guimarães, M. O., Carneiro, P. A., Rodrigues, D. C. M., Scopel, W. L., Amorim, R. G., & Ribeiro, M. C. (2025). Organic Dye Photodegradation Using Niobium-Alkali Perovskite Photocatalysts: The Effect of the Alkali. Reactions, 6(1), 18. https://doi.org/10.3390/reactions6010018

