Abstract
We investigated the effect of pre-treatment conditions on the activity and selectivity of cobalt catalysts for Fischer–Tropsch synthesis (FTS) by varying both the reduction atmosphere and the reduction temperature. Catalysts supported on SiO2, Al2O3, and TiO2, prepared via incipient wetness impregnation, were evaluated, and activation temperatures in the range 250–350 °C were considered. Activation with syngas led to a better product selectivity (low CH4, high selectivity to liquid hydrocarbons, and low paraffin to olefin ratio (P/O)) than the catalysts reduced in H2 at lower activation temperatures. The CoxC species suppressed the hydrogenation reaction, and it is hypothesised that this resulted in the high selectivity of olefins observed for the syngas pre-treated catalysts. On the basis of the experimental results, we postulated that a synergistic effect between Co0 and CoxC promotes the production of the long chain hydrocarbons and suppresses the formation of CH4. In addition, for systems aimed at producing lower olefins, syngas activation is recommended, and for the FTS plants that focus on maximising the production of higher molecular weight products, H2 activation might be considered. These results provide insights for the future FTS catalyst design and for target product-driven operations.
1. Introduction
Fischer–Tropsch synthesis (FTS) is a structure-sensitive reaction that converts syngas derived from natural gas, coal, and biomass to valuable chemicals and synthetic fuels over a metal-based catalyst [1]. Cobalt (Co) catalysts have attracted more attention in the recent years due to their high intrinsic hydrogenation activity, selectivity towards liquid hydrocarbons, and lower water gas shift (WGS) activity than iron and lower costs compared to noble metals [2,3]. Currently silica (SiO2), alumina (Al2O3), and titania (TiO2) are used for commercial FTS operations [4].
The hydrogenation activity of the cobalt metal (Co), which is recognised as the active phase, is highly dependent on its structure. Co particles that are hexagonally packed (hcp) are found to be more active than the face-centred cubic (fcc) structure [5,6]. Evidence from previous studies suggests that the Co particle size is influenced by the support pore size [7,8,9]. Borg [10] studied the dependency of the Co particle size on the Al2O3-support pore diameter and found that: (i) large Co particles were formed in the large pores and smaller ones formed in the narrow pores, (ii) the degree of reduction increased with the pore size, and (iii) the C5+ (the long chain hydrocarbons with carbon numbers equal or higher than 5) selectivity also increased with the pore size.
In some cases, the interaction between these supports and the metal can be too strong, which may leave a fraction of the cobalt chemically inactive after reduction. For example, Jacobs et al. [11] reported a lower degree of reduction for Al2O3- and TiO2-supported catalysts due to high metal–support interactions compared to the SiO2-support. Strong metal–metal oxide interactions have been demonstrated to play an important role in the reactivity of alumina-supported catalysts. A specific feature in these catalysts is incomplete reduction and possibly the insertion of Co ions into the alumina lattice to form spinel structures, and as a result, the catalysts exhibit low reducibility and FT activity [12]. To overcome this issue, several strategies such as the modification of the support to minimise deleterious support metal interactions have been put forward. Soled et al. [13] demonstrated that the use of silicon substitutions in the TiO2 lattice and the treatment of the TiO2 support using an irreducible oxide ZrO2 can inhibit the formation of Co–support interactions and thereby enhance the reducibility of the catalysts. Other strategies to limit the solid-state chemistry interactions between Co and the support include the use of neutral supports such as carbon nanofibers [14] and small amounts of noble metal promoters [15].
Significant efforts have been devoted to enhancing the catalytic activity of FTS catalysts and to reducing the costs of the FTS process. Hydrogen (H2) is used to activate the Co3O4 species in freshly prepared catalysts to active metallic Co. A few studies documented the use of syngas as an alternative reducing agent to H2 [16,17,18]. The general consensus is that syngas reduction promotes the formation of cobalt carbides (CoxC, x = 2, 3), which transform back to metallic Co(hcp) under normal FT operating conditions, thus improving the FT activity [18], or that the inactive CoxC blocks the Co metal active sites, leading to catalyst deactivation [19]. De la Pena O’Shea et al. [16] achieved a significantly higher activity (90% CO conversion) with a Co/SiO2 catalyst pre-treated in syngas compared to either H2 or CO reduction. The improvement in activity was attributed to the increase in the number of Co active sites (high metal dispersion). The presence of Co2C during FTS has been confirmed by Claeys et al. [20] and reported to act as a methanation site [21,22]. While the role of Co2C is widely debated in FTS, the presence of Co2C nanoprisms increase the selectivity towards alcohols and olefins [19,23].
Syngas reduction is conducted at relatively low temperatures (<280 °C) to avoid catalyst coking resulting from the degradation of liquid products, and to limit the deposition of inactive surface carbon via the Boudouard reaction [18,24]. Graphitic carbon has been reported to strongly suppress CH4 formation; however, it cannot be removed from the surface, thus it blocks the Co active sites and results in catalyst deactivation [24]. De la Pena O’Shea [16] reported that no graphitic carbon was observed after the syngas treatment at 500 °C due to the simultaneous presence of H2 and CO, which minimises the formation of carbon. Reducing the catalyst at a low temperature with syngas still produces a fraction of CoO, which is believed to be inactive in FTS [25], and to catalyse the WSG reaction [26]. In our earlier work, we reported that the intimate contact between CoO and Co metal as well as formation of Co–CoO interfaces under FT reaction conditions catalyses the FT reaction for a SiO2-supported catalyst pre-treated in H2 at 250 °C [27].
Although there is a large body of work on the effect of the reduction temperature including the support characteristics on various Co-based catalysts reduced under H2, not as much attention has been paid to determine how temperature and support identity influences the reduction of Co species under syngas reduction. As H2 is an expensive gas, the use of syngas, as both reaction and reducing agents, at lower reduction temperatures can potentially cut-down the start-up and running costs of an FT process. Here, we report on the activity and selectivity of Co catalysts supported on TiO2 and Al2O3, reduced at two temperatures (250, 350 °C) under two reductive agents (H2, syngas), per catalyst, to compare their influence on CO hydrogenation.
2. Experimental Set-Up
2.1. Catalyst Preparation
In this work, three kinds of supports, TiO2, SiO2, and Al2O3 were used for the preparation of the 15% Co/support catalysts. The catalysts were prepared via incipient wetness impregnation of cobalt nitrate solution (Co(NO3)2·6H2O) onto these three kinds of supports. The chemicals used were outsourced from Sigma-Aldrich (St. Louis, MO, USA). Catalysts were dried at room temperature overnight, followed by mild drying at 40 °C for 3 h and calcination at 350 °C for 8 h. For, the detailed preparation procedure, please refer to our earlier publication [27].
2.2. Catalyst Characterisation
Brunauer–Emmet–Teller (BET) experiments were conducted on the fresh catalysts prior to reduction or reaction to determine the sample surface area and pore size. BET experiments followed the usual procedure. The sample was firstly subjected to a degassing chamber at 200 °C for 6 h, and treatment was performed at a relative pressure of 0.99 (Pa/P0 = 0.99, where Pa is the actual gas pressure and P0 is the vapor pressure of the adsorbing gas) to obtain the pore volume and −196 °C to obtain the surface area and porosity by nitrogen physisorption. Furthermore, the Barrett–Joyner–Halenda (BJH) method was used to obtain the pore sizes from the desorption branches on the isotherms.
The morphology of the catalysts was characterised by transmission electron microscopy (TEM). The samples for TEM studies were prepared by ultrasonic dispersion of the catalysts in ethanol, and the suspensions were added dropwise onto a copper grid. The TEM investigations were carried out using a JEOL-JEM-100CX II (100 kV) transmission electron microscope equipped with a NARON energy-dispersive spectrometer and a germanium detector.
X-ray diffraction (XRD) studies were performed using a Philips PW 1710 spectrometer with monochromatic Cu-Kα radiation to determine the catalyst particle size and crystalline structures. The measurements were made on calcined catalysts and the average Co3O4 particle size was calculated from the most intense peak, with the use of Scherrer formula [6], for each catalyst.
The reduction behaviour and the interaction between the active phase and the support of each catalyst were examined using the temperature programmed reduction (TPR) technique. The TPR experiments were carried out with a thermal conductivity detector (TCD) to determine the hydrogen consumption. The catalyst (500 mg) was placed in a quartz tubular reactor fitted with a thermocouple for continuous temperature measurements. The reactor was heated with a furnaced designed for the TPR machine, at a ramping rate of 10 ˚C/min, under a mixture of 5 vol % H2 in an air flow of 30 cm3/min.
2.3. Reduction and Reaction Procedures and Data Analysis
Three fixed bed reactors with the same size (ID = 8 mm) were used in this study. One gram of Co/SiO2, Co/Al2O3, and Co/TiO2 catalysts was loaded into the three respective reactors. The three catalysts followed the same activation procedures: to reduce in a flow of either H2 or syngas (H2/CO ratio of 2) at two different temperatures, namely, 250 °C and 350 °C, and atmosphere pressure. After catalyst reduction, the catalysts were cooled to 180 °C. Thereafter, the same syngas used for catalyst reduction was introduced for FTS. The catalyst reactivity and product distribution were evaluated at 20 bar, 210 °C, and 60 mL/min with syngas.
The tail gases from the three reactors were monitored and analysed by an online GC (Agilent 7890B): the hydrocarbon products were analysed by a flame ionisation detector (FID), whist the other gases (H2, CO, N2, and CO2) were analysed by two TCDs.
3. Results
3.1. Characteristics
Table 1 lists the physical properties of the catalysts. It shows that the Al2O3-supported catalyst had a larger pore size and a larger particle size than the catalysts supported on TiO2 and SiO2. For further details on the catalyst physical properties, please refer to our previous publications [27].
Table 1.
Physical properties of the catalysts and reactor used in this work.
The crystal morphology of the catalysts is illustrated in Figure 1, determined via TEM. In the cross sections, the visible darker dense areas represent Co3O4 particles, and the lighter areas correspond to the support. The Co3O4 particles seemed to be more highly dispersed on the TiO2-support followed by SiO2-support then the Al2O3-support. This might have been due to the smaller TiO2-support particles that are observed in Figure 1. The large Co3O4 particles observed on the alumina support suggest that the support had a wider pore, thus distributing bigger particles than TiO2 and SiO2. The Co3O4 particles on the Al2O3- and SiO2-supports seemed to be spherical shape, whilst on the TiO2, the cobalt particles assumed the shape of the TiO2-support particles, in this case cubic/rhombus-shaped.
Figure 1.
TEM micrograph images of a freshly calcined catalyst: (A) Co/TiO2, (B) Co/SiO2, and (C) Co/Al2O3.
The XRD patterns for the model catalysts (Co/TiO2, Co/SiO2, Co/Al2O3) are presented in Figure 2. XRD characteristics of Co3O4 were detected for all the calcined catalysts with Co/TiO2 and Co/Al2O3, showing distinctive Co3O4 crystalline features, marked with a black circle (see Figure 2). The Co/SiO2 diffractogram showed considerably broad features, which suggests that the silica support is likely amorphous, and contains smaller Co3O4 nanoparticles. The average Co3O4 crystallite size (Table 1) was calculated from the Scherrer equation [6]. The Co3O4 crystallite size varied slightly as a function of the pore size, with Co/Al2O3 showing the biggest size (33.0 nm), owing to its large pore size, followed by Co/TiO2 (21.5 nm) and then lastly Co/SiO2 (17.0 nm).
Figure 2.
XRD patterns of freshly calcined Co/TiO2, Co/Al2O3, and Co/SiO2 catalysts.
The TPR reduction profiles presented in Figure 3 for the three kinds of catalysts showed two reduction peaks, which were similar to those observed for bulk Co3O4 oxide. These profiles point to a two-step reduction process: the first one of low intensity started at approximately 200 °C and overlapped with the more intense second peak whose maximum occurred at about 300 °C for Co/TiO2 and Co/SiO2 catalysts, and for Co/Al2O3, the peak started around 300 °C and the second peak emerged at around 450 °C. Other than the fact that the second reduction peak for the Al2O3-supported catalyst emerged at a higher temperature than the second peak on the TiO2- or SiO2-supported catalysts, it also extended its shoulder to a higher magnitude, in this case 700 °C. Therefore, the reduction process of Co3O4 can be described by the reduction of Co3+ ions present in the spinel structure of a fresh catalyst into Co2+ with subsequent structural change to CoO, followed by the reduction of Co2+ ions to Co0 metal. The results observed over the Al2O3-supported sample suggests that the catalyst supported on Al2O3 is harder to reduce than the one supported by TiO2 or SiO2, which may have been due to strong metal–support interactions, which is in line with the literature [11,12].
Figure 3.
TPR reduction profiles for (A) Co/Al2O3 (solid line), (B) Co/SiO2 (dashed line), and (C) Co/TiO2 (dashed and dotted line). Reproduced from Shiba et al. [27] with permission from Elsevier, license number 5053041467597.
Furthermore, a higher reduction temperature was required for the reduction of the Al2O3-supported catalyst compared to TiO2- and SiO2-supported catalysts, as observed from of the reduction profiles (Figure 3), which might have been due to the fact that the cobalt particles diffused into the Al2O3 lattice and formed the irreducible compounds, such as aluminates.
3.2. Catalyst Activity and Selectivity
3.2.1. Reaction Rate
The Fischer–Tropsch (FT) activity and selectivity of the supported cobalt catalysts is illustrated in Figure 4, Figure 5, Figure 6, Figure 7, Figure 8, Figure 9 and Figure 10. The catalysts pre-treated in H2 exhibited higher CO reaction rates compared to the samples reduced in syngas, at all reduction temperatures (see Figure 4). For the syngas pre-treatment, the CO reaction rates were found to be higher at a higher reduction temperature (350 °C) for all the samples. Similar results to the syngas pre-treatment were observed, where higher CO reaction rates were achieved at a higher reduction temperature for all the three catalysts reduced in H2 (except for the SiO2 catalyst reduced in H2 at 250 °C).
Figure 4.
CO reaction rate as a function of reducing agent and temperature: (A) for Co/TiO2, (B) for Co/SiO2, and (C) for Co/Al2O3. Reaction conditions: 20 bar, 60 mL/min, and 210 °C.
Figure 5.
CH4 formation rate as a function of reducing agent and temperature: (A) for Co/TiO2, (B) for Co/SiO2, and (C) for Co/Al2O3. Reaction conditions: 20 bar, 60 mL/min, and 210 °C.
Figure 6.
C5+ formation rate as a function of reducing agent and temperature: (A) for Co/TiO2, (B) for Co/SiO2, and (C) for Co/Al2O3. Reaction conditions: 20 bar, 60 mL/min, and 210 °C.
Figure 7.
The selectivity of CH4 as a function of reducing agent and temperature: (A) for Co/TiO2, (B) for Co/SiO2, and (C) for Co/Al2O3. Reaction conditions: 20 bar, 60 mL/min, and 210 °C.
Figure 8.
The selectivity of C5+ as a function of reducing agent and temperature: (A) for Co/TiO2, (B) for Co/SiO2, and (C) for Co/Al2O3. Reaction conditions: 20 bar, 60 mL/min, and 210 °C.
Figure 9.
Paraffin to olefin ratio as a function of reducing agent and temperature: (A) P2/O2 for Co/TiO2, (B) P2/O2 for Co/SiO2, (C) P2/O2 for Co/Al2O3, (D) P4/O4 for Co/TiO2, (E) P4/O4 for Co/SiO2, and (F) P4/O4 for Co/Al2O3. Reaction conditions: 20 bar, 60 mL/min, and 210 °C. P2/O2 refers to the ratio of ethane/ethylene; P4/O4 refers to the ratio butane/butene.
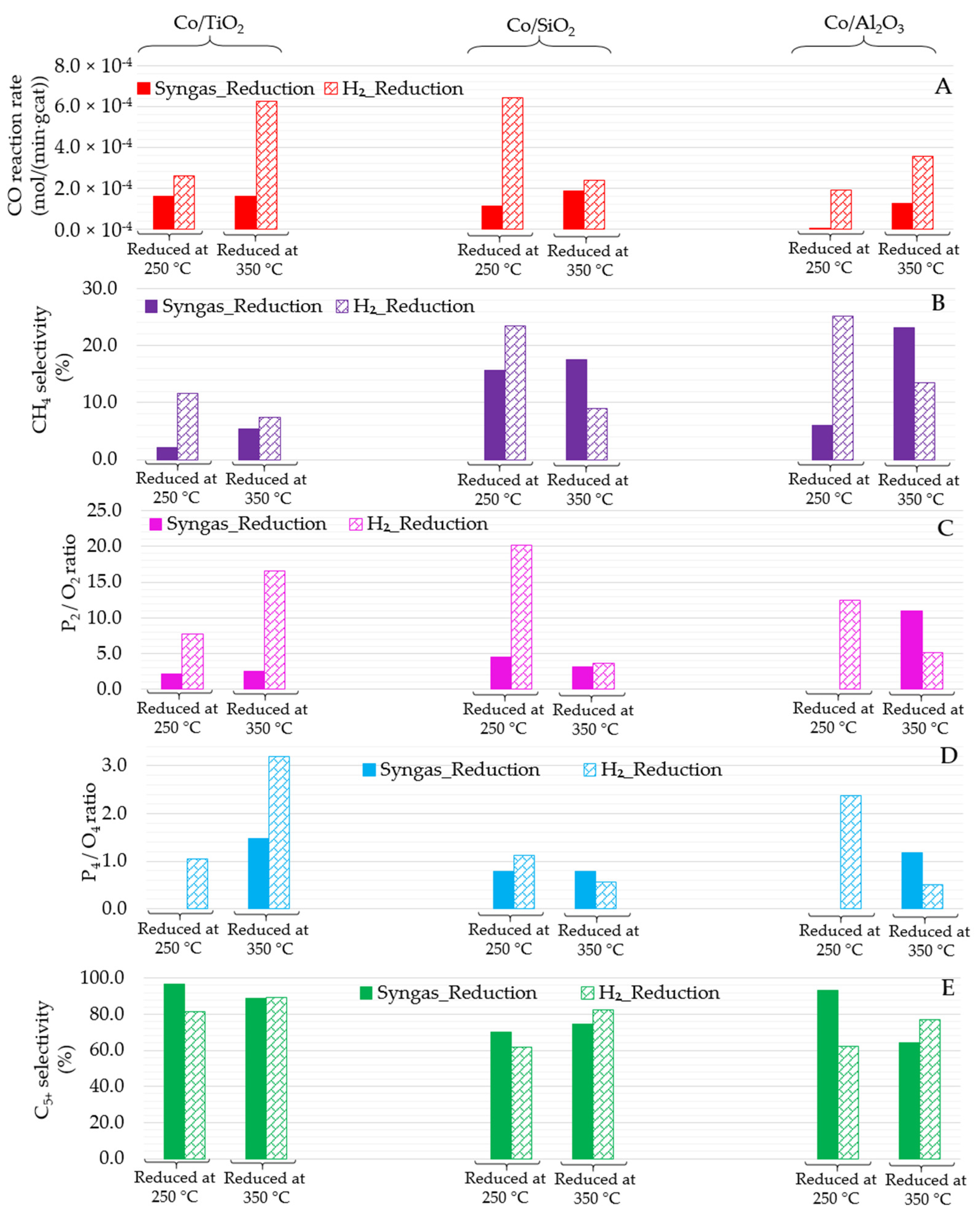
Figure 10.
CO reaction rate and product selectivity as a function of reducing agent and temperature: (A) CO reaction rate, (B) CH4 selectivity, (C) P2/O2 ratio, (D) P4/O4 ratio, and (E) C5+ selectivity. Reaction conditions: 20 bar, 60 mL/min, and 210 °C. P2/O2 refers to the ratio of ethane/ethylene; P4/O4 refers to the ratio butane/butene.
The Co/SiO2 catalyst with the highest surface area and lowest particle size (Table 1) was the most active catalyst when it reduced in H2 at 250 °C (see Figure 4B). The high surface area of SiO2-support and the lower metal–support interaction enhanced the reducibility and the dispersion of the metal. Our previous research [27] reported that the oxidised Co/SiO2 catalyst, in H2 at 250 °C, formed a multiphase of CoO–Co/SiO2, and this CoO–Co interface promoted the CO dissociation and secondary olefin hydrogenation reactions, thus leading to a higher FT reaction rate [27].
Compared with SiO2- and Al2O3-supported catalysts, the TiO2-supported catalyst presented the highest CO reaction rates, when reduced either in H2 or syngas at all temperatures except for the H2-reduction at 250 °C. The lower surface area, observed via BET (Table 1) for the TiO2-supported catalyst, promoted the agglomeration of the Co3O4 as larger Co3O4 particles, which might have increased their reducibility, and in consequence enhanced their catalytic activity. The low activity over the Al2O3-supported catalyst with the biggest Co3O4 particles (XRD: 33.0 nm in Table 1) must be related to the strong metal-support interaction (see Figure 3) and low metal dispersion due to the large cobalt particles (Table 1). For further discussion, please refer to Section 4.
The CO reaction rates were found to be higher at a higher reduction temperature (350 °C) for all the samples, except for the syngas pre-treated TiO2-supported sample and H2-pre-treated SiO2-supported sample. The SiO2-supported catalyst showed higher reaction rates at 250 °C compared to 350 °C (see Figure 4B). Our previous work over the SiO2 sample demonstrated the effect of Co–CoO bonding promoting the FT reaction, thus leading to a higher FT reaction rate at a lower reduction temperature (250 °C), when the CoO density is higher than the density observed at 350 °C [27].
3.2.2. Product Formation Rate
The overall product formation rate as a function of temperature is illustrated in Figure 5 and Figure 6. Changing the reduction medium from H2 to syngas led to a complete change in the formation of products. A noticeable effect was the lower CH4 formation rate observed for all the samples treated with syngas compared to H2, excluding the SiO2-supported catalyst treated with syngas at 350 °C. Co/TiO2 showed the lowest CH4 formation rate followed by Co/SiO2 and then Co/Al2O3, at all reduction temperatures (see Figure 5). Another observation is that the CH4 formation rate was higher for the syngas-treated samples at 350 °C, whereas for the H2-treated samples, higher CH4 formation rates were observed at 250 °C, except for the catalyst supported on SiO2.
For long chain hydrocarbons (C5+), higher formation rates were observed over the H2-treated samples compared to the catalysts reduced in syngas (see Figure 6) due to lower CO reaction rates. Figure 6 shows that: (1) for H2 reduction, higher C5+ formation rates were achieved at a higher reduction temperature for both TiO2- and Al2O3-supported catalysts, while the higher C5+ formation rates were obtained at a lower reduction temperature for the SiO2-supported catalysts; (2) for syngas reduction, higher C5+ formation rates were observed at a higher reduction temperature for both Al2O3- and SiO2-supported catalysts, while there was only a slight difference between the C5+ formation rates at the reduction temperatures of 250 and 350 °C for the catalyst supported by TiO2.
3.2.3. Product Selectivity
The effect of syngas or H2 pre-treatment on the selectivity of the model cobalt catalysts as a function of temperatures is shown in Figure 7 and Figure 8. All syngas-treated samples showed better selectivity (low CH4, high C5+) compared to H2-reduced samples when reduced at a lower temperature, 250 °C. Increasing the syngas reduction temperature increased the CH4 selectivity and decreased C5+ selectivity, whereas for the H2-treated samples, an increase in the reduction temperature decreased the CH4 selectivity and increased C5+ selectivity for all the three catalysts (Figure 8B). An increase in the reduction temperatures caused a slight increase in the selectivity of long chain hydrocarbons.
3.2.4. Paraffin to Olefin (P/O) Ratio
P/O ratio is a very important factor that reflects the selectivity of the paraffin (P) and olefin (O) products—a higher P/O ratio represents the products that are more paraffinic and a lower value indicates a higher selectivity to olefinic products. Pn/On represents the parafin to olefin ratio with carbon number n. In the current work, the ratios of P2/O2 (ethane/ethylene) and P4/O4 (butane/butene) are reported in Figure 9 for the catalysts either reduced by syngas or H2 at different reduction temperatures. For the Co/TiO2 catalyst, pre-treatment with syngas (at both 250 and 350 °C) produced more olefins than paraffins compared to the H2 pre-treatment (low P/O ratios). For Co/SiO2, similar results as for the Co/TiO2 catalyst—lower P/O ratios were obtained for syngas-reduced catalysts compared to H2 reduction at 250 °C. However, syngas pre-treatment at 350 °C produced more paraffin products over the Co/Al2O3 catalyst compared to H2 pre-treatment at a similar reduction temperature.
4. Discussion and Implications
With the aim to understand the reaction pathways observed with different pre-treatment agents at different reduction temperatures, we replotted some of the data reported in Figure 4, Figure 5, Figure 6, Figure 7, Figure 8 and Figure 9 in order to highlight the important findings of this work—the results are shown in Figure 10. The syngas-treated catalysts afforded a lower CO reaction rate compared to H2-treated samples (Figure 10A). This could be attributed to the lower Co site density caused by incomplete reduction of Co3O4 to metallic Co0. Metallic Co0 is known to be the active phase for the conversion of syngas to hydrocarbon products [20]; therefore, the lower the Co0 density, the lower the CO hydrogenation activity. Our findings are in line with Gnanamani et al. [28] who reported that cobalt catalysts do not reduce completely under syngas treatment.
Catalyst pre-treatment is a way to transform cobalt oxides to active sites. For H2 reduction, cobalt oxides are reduced to metallic Co0; in the meantime, there is still some cobalt oxides (Co3O4 and/or CoO) left due to partial reduction depending on the reduction temperature or the extent of metal–support interactions. For syngas (a mixture of H2/CO) reduction, the presence of CO in the mixture can also react with the cobalt oxides to form cobalt carbides (CoxC), which has been confirmed by Peacock et al. [29] and Claeys et al. [30] using the in situ magnetometer. In addition, the Boudouard reaction (2CO = CO2+ C) may occur when the operating temperature is high. Figure 11 lists the possible cobalt phases after cobalt catalyst reduction under different atmospheres.
Figure 11.
Cobalt phases during pretreatment of the cobalt-based FT catalyst.
From our experimental data (see Figure 10B–D), with syngas reduction at 250 °C, all the three catalysts had a much lower CH4 selectivity and lower P/O ratio compared with the catalysts treated with H2 at 250 °C, which indicates that the reactions of CO hydrogenation to paraffins were suppressed during the low temperature syngas reduction. These experimental results may provide evidence that the Co2C phase promotes the formation of olefins by suppressing the olefin hydrogenation reaction. Furthermore, the existence of the metallic Co-hcp phase, obtained from further reduction of cobalt via the CoxC intermediate, could catalyse the FT chain growth reaction by converting syngas to light olefins, which in turn react to form longer chain hydrocarbons for syngas-treated catalysts reduced at 250 °C. This reaction path is not the dominant mechanism for H2-reduced catalysts at these reduction temperatures. On the basis of our results, we hypothesised that cobalt in association with the cobalt carbides enhances the production of higher hydrocarbons. Jiao et al. [31] and Gnanamani et al. [28] both supported this hypothesis in that they both suggested that Co2C contributes to the selectivity of light olefin products and alcohol formation via a CO insertion mechanism. In addition, Jalama et al. [18] reported a higher olefin to paraffin ratio for the samples pre-treated in syngas than in H2, which was attributed to the presence of the Co2C phase.
The large shift in product selectivity by changing the activation conditions (as shown in Figure 5, Figure 6, Figure 7, Figure 8 and Figure 9) led us to believe that the method of activation of cobalt as well as the corresponding temperature play vital roles in the subsequent hydrogenation of CO. A higher reduction temperature was found to increase the selectivity of C1 in detriment to all other hydrocarbons (Figure 10), when syngas was used as a reducing agent. When reducing at 350 °C, the Boudouard reaction may occur, and the carbonaceous deposits on the surface could act as methanation sites and decrease the number of Co active sites available for FTS. Findings over these catalysts suggest that carburisation and carbon deposits are feasible under syngas reduction, and that this may cause an increase in both the C5+ selectivity or CH4 selectivity depending on the amount of surface carbon available. Our findings are in line with Lee et al. [32], who reported that surface carbonaceous deposits can exist in two forms, namely, active carbon or graphitic carbon, and that the active carbon can hydrogenate to methane under normal FT conditions.
In the case of H2 pre-treated samples, an increase in the reduction temperature from 250 to 350 °C led to the production of higher hydrocarbons. These results demonstrate that C5+ hydrocarbon formation is a function of temperature and that a high reduction temperature is associated with a higher reducibility of Co3O4 to Co0; therefore, it can be deduced that Co0 is selective to the production of C5+ hydrocarbons.
This study also reflects on the effect of support properties on the performance of cobalt catalysts under different pre-treatment conditions. The catalyst supported on TiO2 exhibited the highest selectivity towards liquid products with the lowest CH4 selectivity when treated in both H2 and syngas. This can be attributed to the higher Co site density observed via TEM (Figure 1A) and a higher reducibility, as established by the TPR profile in Figure 3, due to weaker metal interactions. On the other hand, Al2O3 showed the least activity (Figure 4) when both syngas and H2 were used as a pre-treatment feed, due to (1) the strong metal–support interaction, resulting in lower reducibility, as observed via TPR, and (2) the lower metal dispersion, observed via TEM, caused by the larger Co3O4 particles that formed in the large alumina pores, observed via TEM, XRD, and BET (see Table 1). In the case of the SiO2-support, the TPR reduction profile resembled that of the TiO2 support, suggesting that the SiO2 support is also weakly bonded to the Co metal. However, the Co/SiO2 catalyst showed a different reactivity to that of TiO2, which may have been due to a large surface area and a lower metal dispersion than the catalyst supported on TiO2 (see Figure 1C and Table 1).
The support identity therefore plays a major role in the performance of the catalyst. Two parameters seem to determine the catalytic activity of the Co3O4 nanoparticles: (1) the Co particle size, which is influenced by the structure of the support, and (2) the extent of the metal–support interaction, metal–metal oxide interaction, and the metal–metal carbite interaction, which determines the specific nature of the active sites and their intrinsic catalytic activity.
5. Conclusions
The purpose of this study is to show the advantages of using syngas as a reducing agent for Co-FTS catalysts. To this end, we demonstrated the effect of the pre-treatment conditions by comparing the activity and product selectivity of the catalysts treated with syngas or H2 at different temperatures. A lower CH4 selectivity, higher C5+ selectivity, and lower P/O ratio were observed for the catalysts treated with syngas at 250 °C compared to the catalysts reduced either with H2- at 250 °C or syngas at 350 °C. The formation of the CoxC phase during the reduction in syngas may either: (1) act as an active site for the production of lower olefins or (2) suppress the hydrogenation reaction. On the basis of the experimental results, we hypothesised that there may be synergy between Co0 and CoxC to convert CO and H2 to long chain hydrocarbons.
Author Contributions
Conceptualisation, Y.Y. and X.L.; methodology, N.C.S., Y.Y. and X.L.; software, N.C.S.; validation, Y.Y., X.L. and D.H.; formal analysis, N.C.S.; investigation, N.C.S.; resources, Y.Y., D.H. and X.L.; writing—original draft preparation, N.C.S.; writing—review and editing, Y.Y. and D.H.; supervision, Y.Y., X.L. and D.H.; project administration, Y.Y. and X.L. All authors have read and agreed to the published version of the manuscript.
Funding
This research was funded by the South Africa’s National Research Foundation (Grant number: NRF UID 95445 and 117793).
Institutional Review Board Statement
Not applicable.
Informed Consent Statement
Not applicable.
Data Availability Statement
Data presented in this article is available from the corresponding author on reasonable request.
Acknowledgments
The authors are grateful for the support received from the University of South Africa (UNISA) and the South Africa’s National Research Foundation.
Conflicts of Interest
The authors declare no conflict of interest. The funders had no role in the design of the study; in the collection, analyses, or interpretation of data; in the writing of the manuscript; or in the decision to publish the results.
References
- Kliewer, C.E.; Soled, S.L.; Kiss, G. Morphological transformations during Fischer-Tropsch synthesis on a titania-supported cobalt catalyst. Catal. Today 2019, 323, 233–256. [Google Scholar] [CrossRef]
- Chen, P.P.; Liu, J.X.; Li, W.X. Carbon monoxide activation on cobalt carbide for Fischer–Tropsch synthesis from First-Principles theory. ACS Catal. 2019, 9, 8093–8103. [Google Scholar] [CrossRef]
- Dalai, A.K.; Davis, B.H. Fischer–Tropsch synthesis: A review of water effects on the performances of unsupported and supported Co catalysts. Appl. Catal. A Gen. 2008, 348, 1–15. [Google Scholar] [CrossRef]
- Voß, M.; Borgmann, D.; Wedler, G. Characterization of alumina, silica, and titania supported cobalt catalysts. J. Catal. 2002, 212, 10–21. [Google Scholar] [CrossRef]
- Lyu, S.; Wang, L.; Zhang, J.; Liu, C.; Sun, J.; Peng, B.; Wang, Y.; Rappé, K.G.; Zhang, Y.; Li, J.; et al. Role of active phase in Fischer–Tropsch synthesis: Experimental evidence of CO activation over single-phase cobalt catalysts. ACS Catal. 2018, 8, 7787–7798. [Google Scholar] [CrossRef]
- Borg, Ø.; Dietzel, P.D.C.; Spjelkavik, A.I.; Tveten, E.Z.; Walmsley, J.C.; Diplas, S.; Eri, S.; Holmen, A.; Rytter, E. Fischer–Tropsch synthesis: Cobalt particle size and support effects on intrinsic activity and product distribution. J. Catal. 2008, 259, 161–164. [Google Scholar] [CrossRef]
- Rytter, E.; Holmen, A. On the support in cobalt Fischer–Tropsch synthesis—Emphasis on alumina and aluminates. Catal. Today 2016, 275, 11–19. [Google Scholar] [CrossRef]
- Khodakov, A.Y.; Griboval-Constant, A.; Bechara, R.; Zholobenko, V.L. Pore size effects in Fischer Tropsch synthesis over cobalt-supported mesoporous silicas. J. Catal. 2002, 206, 230–241. [Google Scholar] [CrossRef]
- Song, D.; Li, J. Effect of catalyst pore size on the catalytic performance of silica supported cobalt Fischer–Tropsch catalysts. J. Mol. Catal. A Chem. 2006, 247, 206–212. [Google Scholar] [CrossRef]
- Borg, Ø.; Eri, S.; Blekkan, E.A.; Storsæter, S.; Wigum, H.; Rytter, E.; Holmen, A. Fischer–Tropsch synthesis over γ-alumina-supported cobalt catalysts: Effect of support variables. J. Catal. 2007, 248, 89–100. [Google Scholar] [CrossRef]
- Jacobs, G.; Das, T.K.; Zhang, Y.; Li, J.; Racoillet, G.; Davis, B.H. Fischer–Tropsch synthesis: Support, loading, and promoter effects on the reducibility of cobalt catalysts. Appl. Catal. A Gen. 2002, 233, 263–281. [Google Scholar] [CrossRef]
- Zhang, J.; Chen, J.; Ren, J.; Li, Y.; Sun, Y. Support effect of Co/Al2O3 catalysts for Fischer–Tropsch synthesis. Fuel 2003, 82, 581–586. [Google Scholar] [CrossRef]
- Soled, S.L.; Iglesia, E.; Fiato, R.A.; Baumgartner, J.E.; Vroman, H.; Miseo, S. Control of metal dispersion and structure by changes in the solid-state chemistry of supported cobalt Fischer–Tropsch catalysts. Top. Catal. 2003, 26, 101–109. [Google Scholar] [CrossRef]
- Vosoughi, V.; Badoga, S.; Dalai, A.K.; Abatzoglou, N. Effect of pretreatment on physicochemical properties and performance of multiwalled carbon nanotube supported cobalt catalyst for Fischer–Tropsch Synthesis. Ind. Eng. Chem. Res. 2016, 55, 6049–6059. [Google Scholar] [CrossRef]
- Mehrbod, M.; Martinelli, M.; Martino, A.G.; Cronauer, D.C.; Kropf, A.J.; Marshall, C.L.; Jacobs, G. Fischer-Tropsch synthesis: Direct cobalt nitrate reduction of promoted Co/TiO2 catalysts. Fuel 2019, 245, 488–504. [Google Scholar] [CrossRef]
- De la Peña O’Shea, V.A.; Campos-Martin, J.M.; Fierro, J.L.G. Strong enhancement of the Fischer–Tropsch synthesis on a Co/SiO2 catalyst activate in syngas mixture. Catal. Comm. 2004, 5, 635–638. [Google Scholar] [CrossRef]
- Tsubaki, N.; Sun, S.; Fujimoto, K. Different functions of the noble metals added to cobalt catalysts for Fischer–Tropsch synthesis. J. Catal. 2001, 199, 236–246. [Google Scholar] [CrossRef]
- Jalama, K.; Kabuba, J.; Xiong, H.; Jewell, L.L. Co/TiO2 Fischer–Tropsch catalyst activation by synthesis gas. Catal. Comm. 2012, 17, 154–159. [Google Scholar] [CrossRef]
- Dai, Y.; Zhao, Y.; Lin, T.; Li, S.; Yu, F.; An, Y.; Wang, X.; Xiao, K.; Sun, F.; Jiang, Z.; et al. Particle size effects of cobalt carbide for Fischer–Tropsch to olefins. ACS Catal. 2018, 9, 798–809. [Google Scholar] [CrossRef]
- Claeys, M.; Dry, M.E.; van Steen, E.; van Berge, P.J.; Booyens, S.; Crous, R.; van Helden, P.; Labuschagne, J.; Moodley, D.J.; Saib, A.M. Impact of process conditions on the sintering behavior of an alumina-supported cobalt Fischer–Tropsch catalyst studied with an in-situ magnetometer. ACS Catal. 2015, 5, 841–852. [Google Scholar] [CrossRef]
- Yang, J.; Jacobs, G.; Jermwongratanachai, T.; Anders, D.C.; Burtron, H. Fischer–Tropsch synthesis: Impact of H2 or CO activation on methane selectivity. Catal. Lett. 2014, 144, 123–132. [Google Scholar] [CrossRef]
- Li, J.; Xu, L.; Keogh, R.; Davis, B. Fischer–Tropsch synthesis: Effect of CO pretreatment on a ruthenium promoted Co/TiO2. Catal. Lett. 2000, 70, 127–130. [Google Scholar] [CrossRef]
- Pei, Y.P.; Liu, J.X.; Zhao, Y.H.; Ding, Y.J.; Liu, T.; Dong, W.D.; Zhu, H.J.; Su, H.Y.; Yan, L.; Li, J.L.; et al. High alcohols synthesis via Fischer–Tropsch reaction at cobalt metal/carbide interface. ACS Catal. 2015, 5, 3620–3624. [Google Scholar] [CrossRef]
- Chen, W.; Kimpel, T.F.; Song, Y.; Chiang, F.K.; Zijlstra, B.; Pestman, R.; Wang, P.; Hensen, E.J. Influence of carbon deposits on the cobalt-catalyzed Fischer–Tropsch reaction: Evidence of a two-site reaction model. ACS Catal. 2018, 8, 1580–1590. [Google Scholar] [CrossRef] [PubMed]
- Fischer, N.; Clapham, B.; Feltes, T.; Claeys, M. Cobalt-based Fischer–Tropsch activity and selectivity as a function of crystallite size and water partial pressure. ACS Catal. 2015, 5, 113–121. [Google Scholar] [CrossRef]
- Tucker, C.L.; van Steen, E. Activity and selectivity of a cobalt-based Fischer-Tropsch catalyst operating at high conversion for once-through biomass-to-liquid operation. Catal. Today 2020, 342, 115–123. [Google Scholar] [CrossRef]
- Shiba, N.C.; Yao, Y.; Forbes, R.P.; Okoye-Chine, C.G.; Liu, X.; Hildebrandt, D. Role of CoO-Co nanoparticles supported on SiO2 in Fischer-Tropsch synthesis: Evidence for enhanced CO dissociation and olefin hydrogenation. Fuel Proc. Technol. 2021, 216, 106781. [Google Scholar] [CrossRef]
- Gnanamani, M.K.; Jacobs, G.; Keogh, R.A.; Shafer, W.D.; Sparks, D.E.; Hopps, S.D.; Thomas, G.A.; Davis, B.H. Fischer-Tropsch synthesis: Effect of pretreatment conditions of cobalt on activity and selectivity for hydrogenation of carbon dioxide. Appl. Catal. A Gen. 2015, 499, 39–46. [Google Scholar] [CrossRef]
- Peacock, M.; Purves, R.; Ojeda, M.; Ferguson, E.; Paterson, J. In situ diffraction of Fischer-Tropsch catalysts: Cobalt reduction and carbide formation. ChemCatChem 2017, 9, 3463–3469. [Google Scholar] [CrossRef]
- Claeys, M.; Dry, M.E.; van Steen, E.; Du Plessis, E.; Van Berge, P.J.; Saib, A.M.; Moodley, D.J. In situ magnetometer study on the formation and stability of cobalt carbide in Fischer–Tropsch synthesis. J. Catal. 2014, 318, 193–202. [Google Scholar] [CrossRef]
- Jiao, F.; Li, J.; Pan, X.; Xiao, J.; Li, H.; Ma, H.; Wei, M.; Pan, Y.; Zhou, Z.; Li, M.; et al. Selective conversion of syngas to light olefins. Science 2016, 351, 1065–1068. [Google Scholar] [CrossRef] [PubMed]
- Lee, D.; Lee, J.; Ihm, S. Effect of carbon deposits on carbon monoxide hydrogenation over alumina-supported cobalt catalyst. Appl. Catal. 1988, 36, 199–207. [Google Scholar] [CrossRef]
Publisher’s Note: MDPI stays neutral with regard to jurisdictional claims in published maps and institutional affiliations. |
© 2021 by the authors. Licensee MDPI, Basel, Switzerland. This article is an open access article distributed under the terms and conditions of the Creative Commons Attribution (CC BY) license (https://creativecommons.org/licenses/by/4.0/).










