Estimating Field-Scale Soil Organic Matter in Agricultural Soils Using UAV Hyperspectral Imagery
Abstract
1. Introduction
2. Materials and Methods
2.1. Study Area and Field Experiments
2.2. Soil Samples and Chemical Analysis
2.3. Acquisition of UAV Hyperspectral Imagery
2.4. The Predictors for SOM
2.5. SOM Prediction Models
2.5.1. Stepwise Multiple Linear Regression
2.5.2. Partial Least Squares Regression
2.5.3. RF Regression
2.5.4. XGBoost Regression
3. Results
3.1. Descriptions of Sampling Data
3.2. Correlation Between SOM and Hyperspectral Data
3.3. Correlation Between SOM and Auxiliary Variables
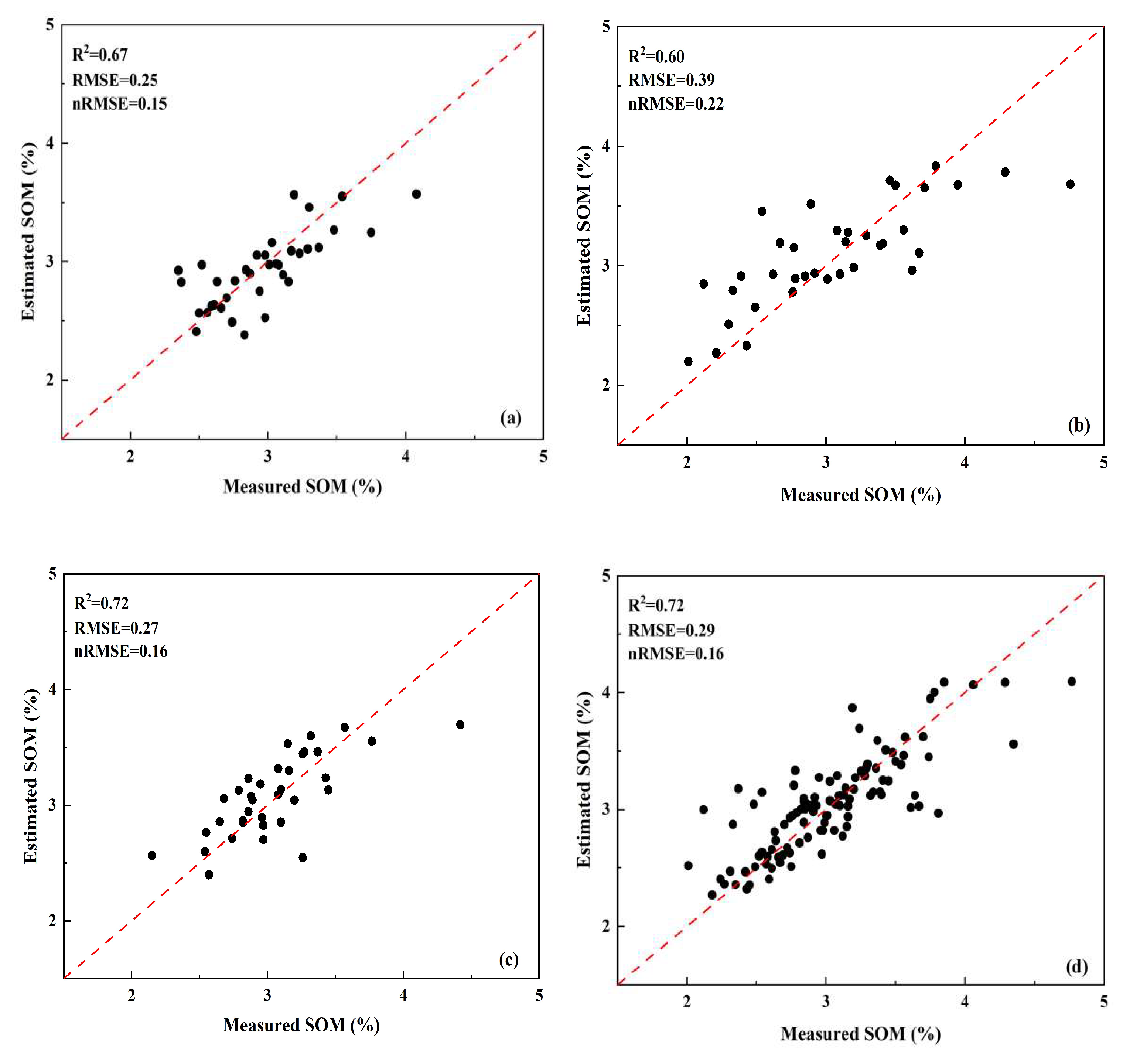
3.4. Modeling and Comparison
3.5. Importance of Auxiliary Variables
4. Discussion
4.1. Selection of the Predictors
4.2. Comparison of SOM Estimation Models
4.3. Contributions of the Predictors
5. Conclusions
- (1)
- Multi-temporal UAV hyperspectral images combined with multi-source auxiliary predictors can accurately estimate SOM across key growth periods at the field scale. The I + F + V + S predictor combination can achieve good accuracies across different models and maize growth stages when validated with the in situ SOM measured data.
- (2)
- Machine learning models obtained better performances for SOM prediction than those from the linear regression models. Specifically, the XGBoost regression model has the best stability and model accuracy for SOM prediction, achieving an R2 of 0.72 and RMSE of 0.27% at the field scale.
- (3)
- Integrating auxiliary predictors with the basic spectral covariates increased prediction accuracy by 45.95–84.72% for R2 and 14.29–38.10% for RMSE. Soil properties and spectral indices have a more significant effect than other predictors for SOM prediction in such small-scale farmland during the maize growth period.
Supplementary Materials
Author Contributions
Funding
Data Availability Statement
Conflicts of Interest
References
- Luo, Y.H.; Zhang, Z.; Chen, Y.; Li, Z.; Tao, F. ChinaCropPhen1km: A high-resolution crop phenological dataset for three staple crops in China during 2000–2015 based on leaf area index (LAI) products. Earth Syst. Sci. Data 2020, 12, 197–214. [Google Scholar] [CrossRef]
- Zhang, Z.; Ding, J.; Li, L.; Cao, J.; Wang, K.; Zhu, C.; Ge, X.; Wang, J.; Yang, C.; Li, F.; et al. The impact of extreme climate on soil organic carbon in China. Geogr. Sustain. 2025, 6, 100356. [Google Scholar] [CrossRef]
- Hong, Y.; Guo, L.; Chen, S.; Linderman, M.; Mouazen, A.M.; Yu, L.; Chen, Y.; Liu, Y.; Liu, Y.; Cheng, H.; et al. Exploring the potential of airborne hyperspectral image for estimating top-soil organic carbon: Effects of fractional-order derivative and optimal band combination algorithm. Geoderma 2020, 365, 114228. [Google Scholar] [CrossRef]
- Jenny, H. A System of Quantitative Pedology: Factors of Soil Formation; McGraw-Hill Book: New York, NY, USA, 1941. [Google Scholar]
- Zhang, Z.; Ding, J.; Wang, J.; Ge, X. Prediction of soil organic matter in northwestern China using fractional-order derivative spectroscopy and modified normalized difference indices. Catena 2020, 185, 104257. [Google Scholar] [CrossRef]
- Zhang, Z.; Ding, J.; Zhu, C.; Wang, J.; Ge, X.; Li, X.; Han, L.; Chen, X.; Wang, J. Historical and future variation of soil organic carbon in China. Geoderma 2023, 436, 116557. [Google Scholar] [CrossRef]
- Dharumarajan, S.; Kalaiselvi, B.; Suputhra, A.; Lalitha, M.; Vasundhara, R.; Kumar, K.S.A.; Nair, K.M.; Hegde, R.; Singh, S.K.; Lagacherie, P. Digital soil mapping of soil organic carbon stocks in Western Ghats, South India. Geoderma Reg. 2021, 25, e00387. [Google Scholar] [CrossRef]
- Guo, L.; Fu, P.; Shi, T.; Chen, Y.; Zhang, H.; Meng, R.; Wang, S. Mapping field-scale soil organic carbon with unmanned aircraft system-acquired time series multispectral images. Soil Tillage Res. 2020, 196, 104477. [Google Scholar] [CrossRef]
- Mosleh, Z.; Salehi, M.H.; Jafari, A.; Borujeni, I.E.; Mehnatkesh, A. The effectiveness of digital soil mapping to predict soil properties over low-relief areas. Environ. Monit. Assess. 2016, 188, 195. [Google Scholar] [CrossRef]
- Gu, X.H.; Wang, Y.C.; Sun, Q.; Yang, G.J.; Zhang, C. Hyperspectral inversion of soil organic matter content in cultivated land based on wavelet transform. Comput. Electron. Agric. 2019, 167, 105053. [Google Scholar] [CrossRef]
- Biney, J.K.M.; Houška, J.; Volánek, J.; Abebrese, D.K.; Cervenka, J. Examining the influence of bare soil UAV imagery combined with auxiliary datasets to estimate and map soil organic carbon distribution in an erosion-prone agricultural field. Sci. Total Environ. 2023, 870, 161973. [Google Scholar] [CrossRef]
- Zeraatpisheh, M.; Garosi, Y.; Owliaie, H.R.; Ayoubi, S.; Taghizadeh-Mehrjardi, R.; Scholten, T.; Xu, M. Improving the spatial prediction of soil organic carbon using environmental covariates selection: A comparison of a group of environmental covariates. Catena 2022, 208, 105723. [Google Scholar] [CrossRef]
- Zhu, C.; Ding, J.; Zhang, Z.; Wang, J.; Wang, Z.; Chen, X.; Wang, J. SPAD monitoring of saline vegetation based on Gaussian mixture model and UAV hyperspectral image feature classification. Comput. Electron. Agric. 2022, 200, 107236. [Google Scholar] [CrossRef]
- Guo, L.; Fu, P.; Shi, T.; Chen, Y.; Zeng, C.; Zhang, H.; Wang, S. Exploring influence factors in mapping soil organic carbon on low-relief agricultural lands using time series of remote sensing data. Soil Tillage Res. 2021, 210, 104982. [Google Scholar] [CrossRef]
- Zhang, J.; Wei, D.; Zhou, B.; Zhang, L.; Hao, X.; Zhao, S.; Xu, X. Responses of soil aggregation and aggregate-associated carbon and nitrogen in black soil to different long-term fertilization regimes. Soil Tillage Res. 2021, 213, 105157. [Google Scholar] [CrossRef]
- Ye, S.; Zhang, Z.; Chen, J.; Chen, H.; Zhang, B.; Bai, X.; Yang, N.; Du, R.; Yang, X.; Xu, Q.; et al. Inversion of winter wheat canopy chlorophyll content using angle-insensitive UAV-based spectral indices. Comput. Electron. Agric. 2025, 230, 109902. [Google Scholar] [CrossRef]
- Liu, Y.; Feng, H.; Fan, Y.; Yue, J.; Yang, F.; Fan, J.; Ma, Y.; Chen, R.; Bian, M.; Yang, G. Utilizing UAV-based hyperspectral remote sensing combined with various agronomic traits to monitor potato growth and estimate yield. Comput. Electron. Agric. 2025, 231, 109984. [Google Scholar] [CrossRef]
- Wang, Q.; Noë, J.; Li, Q.; Lan, T.; Gao, X.; Deng, O.; Li, Y. Incorporating agricultural practices in digital mapping improves prediction of cropland soil organic carbon content: The case of the Tuojiang River Basin. J. Environ. Manag. 2023, 330, 117203. [Google Scholar] [CrossRef]
- Pantaleão, L.; de Moraes, L.; Cesário, F.; Moser, P.; Dias, A.; Amorim, T.; Sansevero, J. Linking plant functional traits to soil properties in tropical forest restoration. For. Ecol. Manag. 2024, 563, 121976. [Google Scholar] [CrossRef]
- Mahmoudzadeh, H.; Matinfar, H.R.; Taghizadeh-Mehrjardi, R.; Kerry, R. Spatial prediction of soil organic carbon using machine learning techniques in western Iran. Geoderma Reg. 2020, 21, e00260. [Google Scholar] [CrossRef]
- Ge, X.Y.; Ding, J.L.; Wang, J.Z.; Sun, H.L.; Zhu, Z.Q. A new method for predicting soil moisture based on UAV hyperspectral image. Spectrosc. Spectr. Anal. 2020, 40, 602–609. [Google Scholar]
- Zhang, Y.; Xia, C.Z.; Zhang, X.Y.; Cheng, X.H.; Feng, G.Z.; Wang, Y.; Gao, Q. Estimating the maize biomass by crop height and narrowband vegetation indices derived from UAV-based hyperspectral images. Ecol. Indic. 2021, 129, 107985. [Google Scholar] [CrossRef]
- Zhang, Y.; Xia, C.; Zhang, X.; Sha, Y.; Feng, G.; Gao, Q. Quantifying the relationship of soil properties and crop growth with yield in a NPK fertilizer application maize field. Comput. Electron. Agric. 2022, 198, 107011. [Google Scholar] [CrossRef]
- Ritchie, S.W.; Hanway, J.J.; Benson, G.O. How a Corn Plant Develops, Special Report; Iowa State University: Ames, IA, USA, 1986; p. 48. [Google Scholar]
- Wang, W.; Zhang, X.; Shang, K.; Feng, R.; Wang, Y.; Ding, S.; Xiao, Q. Estimation of soil organic matter content by combining Zhuhai-1 hyperspectral and Sentinel-2A multispectral images. Comput. Electron. Agric. 2024, 226, 109377. [Google Scholar] [CrossRef]
- Li, Y.; Wei, X.; Yan, J.; Du, Z.; Lv, Y.; Zhou, H. Divergent stabilization characteristics of soil organic carbon between topsoil and subsoil under different land use types. Catena 2025, 252, 108838. [Google Scholar] [CrossRef]
- Zhang, Y.; Li, M.; Zheng, L.; Qin, Q.; Lee, W.S. Spectral features extraction for estimation of soil total nitrogen content based on modified ant colony optimization algorithm. Geoderma 2019, 333, 23–34. [Google Scholar] [CrossRef]
- Geng, J.; Tan, Q.; Lv, J.; Fang, H. Assessing spatial variations in soil organic carbon and C:N ratio in Northeast China’s black soil region: Insights from Landsat-9 satellite and crop growth information. Soil Tillage Res. 2024, 235, 105897. [Google Scholar] [CrossRef]
- Segura, C.; Neal, A.L.; Castro-Sardiňa, L.; Harris, P.; Rivero, M.J.; Cardenas, L.M.; Irisarri, J.G.N. Comparison of direct and indirect soil organic carbon prediction at farm field scale. J. Environ. Manag. 2024, 365, 121573. [Google Scholar] [CrossRef]
- Broeg, T.; Don, A.; Gocht, A.; Scholten, T.; Taghizadeh-Mehrjardi, R.; Erasmi, S. Using local ensemble models and Landsat bare soil composites for large-scale soil organic carbon maps in cropland. Geoderma 2024, 444, 116850. [Google Scholar] [CrossRef]
- Petito, M.; Cantalamessa, S.; Pagnani, G.; Pisante, M. Modelling and mapping Soil Organic Carbon in annual cropland under different farm management systems in the Apulia region of Southern Italy. Soil Tillage Res. 2024, 235, 105916. [Google Scholar] [CrossRef]
- Post, W.M.; Mann, L.K. Changes in soil organic carbon and nitrogen as a result of cultivation. Soils Greenh. Eff. 1990, 6, 401–406. [Google Scholar]
- Lal, R. Soil carbon sequestration impacts on global climate change and food security. Science 2004, 304, 1623–1627. [Google Scholar] [CrossRef] [PubMed]
- Liang, Y.; Al-Kaisi, M.; Yuan, J.; Liu, J.; Zhang, H.; Wang, L.; Cai, H.; Ren, J. Effect of chemical fertilizer and straw-derived organic amendments on continuous maize yield, soil carbon sequestration and soil quality in a Chinese Mollisol. Agric. Ecosyst. Environ. 2021, 314, 107403. [Google Scholar] [CrossRef]
- Wang, Z.; Du, Z.; Li, X.; Bao, Z.; Zhao, N.; Yue, T. Incorporation of high accuracy surface modeling into machine learning to improve soil organic matter mapping. Ecol. Indic. 2021, 129, 107975. [Google Scholar] [CrossRef]
- Khalil, M.I.; Hossain, M.B.; Schmidhalter, U. Carbon and nitrogen mineralization in different upland soils of the subtropics treated with organic materials. Soil Biol. Biochem. 2005, 37, 1507–1518. [Google Scholar] [CrossRef]
- Coulter, J.A.; Nafziger, E.D.; Wander, M.M. Soil organic matter response to cropping system and nitrogen fertilization. Agron. J. 2009, 101, 592–599. [Google Scholar] [CrossRef]
- De Almeida Minhoni, R.T.; Scudiero, E.; Zaccaria, D.; Saad, J.C.C. Multitemporal satellite imagery analysis for soil organic carbon assessment in an agricultural farm in southeastern Brazil. Sci. Total Environ. 2021, 784, 147216. [Google Scholar] [CrossRef]
- Xia, H.; Wang, J.; Riaz, M.; Babar, S.; Li, Y.; Wang, X.; Xia, X.; Liu, B.; Jiang, C. Co-application of biochar and potassium fertilizer improves soil potassium availability and microbial utilization of organic carbon: A four-year study. J. Clean. Prod. 2024, 469, 143211. [Google Scholar] [CrossRef]
- Song, X.Y.; Li, Y.; Yue, X.; Hussain, Q.; Zhang, J.J.; Liu, Q.H.; Jin, S.A.; Cui, D.J. Effect of cotton straw-derived materials on native soil organic carbon. Sci. Total Environ. 2019, 663, 38–44. [Google Scholar] [CrossRef]
- Li, F.; Mistele, B.; Hu, Y.; Yue, X.; Yue, S.; Miao, Y.; Chen, X.; Cui, Z.; Meng, Q.; Schmidhalter, U. Remotely estimating aerial N status of phenologically differing winter wheat cultivars grown in contrasting climatic and geographic zones in China and Germany. Field Crops Res. 2012, 138, 21–32. [Google Scholar] [CrossRef]
- Sims, D.; Luo, H.; Hastings, S.; Oechel, W.; Rahman, A.; Gamon, J. Parallel adjustments in vegetation greenness and ecosystem CO2 exchange in response to drought in a Southern California chaparral ecosystem. Remote Sens. Environ. 2006, 103, 289–303. [Google Scholar] [CrossRef]
- Gitelson, A.A.; Viña, A.; Ciganda, V.; Rundquist, D.C.; Arkebauer, T.J. Remote estimation of canopy chlorophyll content in crops. Geophys. Res. Lett. 2005, 32, 271–282. [Google Scholar] [CrossRef]
- Chen, P.; Haboudane, D.; Tremblay, N.; Wang, J.; Vigneault, P.; Li, B. New spectral indicator assessing the efficiency of crop nitrogen treatment in corn and wheat. Remote Sens. Environ. 2010, 114, 1987–1997. [Google Scholar] [CrossRef]
- le Maire, G.; François, C.; Dufrêne, E. Towards universal broad leaf chlorophyll indices using PROSPECT simulated database and hyperspectral reflectance measurements. Remote Sens. Environ. 2004, 89, 1–28. [Google Scholar] [CrossRef]
- Huete, A.; Justice, C.; Liu, H. Development of vegetation and soil indices for MODIS-EOS. Remote Sens. Environ. 1994, 49, 224–234. [Google Scholar] [CrossRef]
- Huete, A.; Didan, K.; Miura, T.; Rodriguez, E.P.; Gao, X.; Ferreira, L.G. Overview of the radiometric and biophysical performance of the MODIS vegetation indices. Remote Sens. Environ. 2002, 83, 195–213. [Google Scholar] [CrossRef]
- Gitelson, A.A.; Kaufman, Y.J.; Merzlyak, M.N. Use of a green channel in remote sensing of global vegetation from EOS-MODIS. Remote Sens. Environ. 1996, 58, 289–298. [Google Scholar] [CrossRef]
- Maccioni, A.; Agati, G.; Mazzinghi, P. New vegetation indices for remote measurement of chlorophylls based on leaf directional reflectance spectra. J. Photochem. Photobiol. B 2001, 61, 52–61. [Google Scholar] [CrossRef]
- Eitel, J.U.H.; Long, D.S.; Gessler, P.E.; Smith, A.M.S. Using in-situ measurements to evaluate the new RapidEye™ satellite series for prediction of wheat nitrogen status. Int. J. Remote Sens. 2007, 28, 4183–4190. [Google Scholar] [CrossRef]
- Zarco-Tejada, P.J.; Miller, J.R.; Morales, A.; Berjón, A.; Agüera, J. Hyperspectral indices and model simulation for chlorophyll estimation in open-canopy tree crops. Remote Sens. Environ. 2004, 90, 463–476. [Google Scholar] [CrossRef]
- Qi, J.; Chehbouni, A.; Huete, A.R.; Kerr, Y.H.; Sorooshian, S. A modified soil adjusted vegetation index. Remote Sens. Environ. 1994, 48, 119–126. [Google Scholar] [CrossRef]
- Dash, J.; Curran, P.J. The MERIS terrestrial chlorophyll index. Int. J. Remote Sens. 2004, 25, 5403–5413. [Google Scholar] [CrossRef]
- Inoue, Y.; Sakaiya, E.; Zhu, Y.; Takahashi, W. Diagnostic mapping of canopy nitrogen content in rice based on hyperspectral measurements. Remote Sens. Environ. 2012, 126, 210–221. [Google Scholar] [CrossRef]
- Yao, X.; Zhu, Y.; Tian, Y.; Feng, W.; Cao, W. Exploring hyperspectral bands and estimation indices for leaf nitrogen accumulation in wheat. Int. J. Appl. Earth Obs. Geoinf. 2010, 12, 89–100. [Google Scholar] [CrossRef]
- Rouse, J.W., Jr.; Haas, R.H.; Schell, J.A.; Deering, D.W. Monitoring Vegetation Systems in the Great Plains with Erts. In NASA Special Publication; NASA: Greenbelt, MD, USA, 1974; Volume 351, p. 309. [Google Scholar]
- Rouse, J.W., Jr.; Haas, R.H.; Schell, J.A.; Deering, D.W. Monitoring the Vernal Advancement and Retrogradation (Green Wave Effect) of Natural Vegetation. In Proceedings of the Third Earth Resources Technology Satellite-1 Symposium, Held by Goddard Space Flight Center, Washington, DC, USA, 10–14 December 1973. [Google Scholar]
- Pu, R.; Landry, S. A comparative analysis of high spatial resolution IKONOS and WorldView-2 imagery for mapping urban tree species. Remote Sens. Environ. 2012, 124, 516–533. [Google Scholar] [CrossRef]
- Mistele, B.; Gutser, R.; Schmidhalter, U. Validation of field-scaled spectral measurements of the nitrogen status in winter wheat. Paper Presented at the 7th International Conference on Precision Agriculture and Other Precision Resources Management, Hyatt Regency , Minneapolis, MN, USA, 25–28 July 2004. [Google Scholar]
- Fitzgerald, G.; Rodriguez, D.; O’Leary, G. Measuring and predicting canopy nitrogen nutrition in wheat using a spectral index-The canopy chlorophyll content index (CCCI). Field Crops Res. 2010, 116, 318–324. [Google Scholar] [CrossRef]
- Datt, B. A New Reflectance Index for Remote Sensing of Chlorophyll Content in Higher Plants: Tests using Eucalyptus Leaves. J. Plant Physiol. 1999, 154, 30–36. [Google Scholar] [CrossRef]
- Guyot, G.; Baret, F.; Major, D.J. High spectral resolution: Determination of spectral shifts between the red and near infrared. ISPRS Congr. 1988, 11, 740–760. [Google Scholar]
- Penuelas, J.; Baret, F.; Filella, I. Semiempirical Indexes to Assess Carotenoids Chlorophyll-a Ratio from Leaf Spectral Reflectance. Photosynthetica 1995, 31, 221–230. [Google Scholar] [CrossRef]
- Haboudane, D.; Miller, J.R.; Tremblay, N.; Zarco-Tejada, P.J.; Dextraze, L. Integrated narrow-band vegetation indices for prediction of crop chlorophyll content for application to precision agriculture. Remote Sens. Environ. 2002, 81, 416–426. [Google Scholar] [CrossRef]
- Gitelson, A.; Viña, A.; Ciganda, V.; Rundquist, D.C.; Arkebauer, T.J. Relationships between leaf chlorophyll content and spectral reflectance and algorithms for non-destructive chlorophyll assessment in higher plant leaves. J. Plant Physiol. 2003, 160, 271–282. [Google Scholar] [CrossRef]
- Vogelmann, J.E.; Rock, B.N.; Moss, D.M. Red edge spectral measurements from sugar maple leaves. Int. J. Remote Sens. 2007, 14, 1563–1575. [Google Scholar] [CrossRef]







| Growth Stages | Dataset | Number of Samples | Max | Min | Mean | SD | CV | Median |
|---|---|---|---|---|---|---|---|---|
| V6 | Whole | 120 | 4.08 | 2.24 | 2.95 | 0.38 | 0.14 | 2.95 |
| Calibration | 84 | 4.06 | 2.24 | 2.94 | 0.38 | 0.14 | 2.95 | |
| Validation | 36 | 4.08 | 2.35 | 2.96 | 0.39 | 0.15 | 2.96 | |
| R1 | Whole | 120 | 4.76 | 1.93 | 3.04 | 0.60 | 0.36 | 3.02 |
| Calibration | 84 | 4.48 | 1.93 | 3.03 | 0.60 | 0.35 | 3.01 | |
| Validation | 36 | 4.76 | 2.01 | 3.06 | 0.63 | 0.39 | 3.04 | |
| R3 | Whole | 120 | 4.77 | 2.15 | 3.08 | 0.44 | 0.19 | 3.02 |
| Calibration | 84 | 4.42 | 2.15 | 3.07 | 0.42 | 0.18 | 3.01 | |
| Validation | 36 | 4.77 | 2.25 | 3.10 | 0.47 | 0.22 | 3.03 | |
| Multiple periods | Whole | 360 | 4.77 | 1.93 | 3.02 | 0.48 | 0.23 | 2.98 |
| Calibration | 252 | 4.76 | 1.93 | 3.02 | 0.48 | 0.23 | 2.98 | |
| Validation | 108 | 4.77 | 2.01 | 3.03 | 0.49 | 0.24 | 2.99 |
| Growth Stage | Variables | SMLR | PLSR | RF | XGBoost | ||||||||
|---|---|---|---|---|---|---|---|---|---|---|---|---|---|
| R2 | RMSE (%) | nRMSE (%) | R2 | RMSE (%) | nRMSE (%) | R2 | RMSE (%) | nRMSE (%) | R2 | RMSE (%) | nRMSE (%) | ||
| V6 | I | 0.22 | 0.44 | 0.26 | 0.39 | 0.45 | 0.26 | 0.11 | 0.39 | 0.23 | 0.21 | 0.41 | 0.24 |
| I + F | 0.42 | 0.28 | 0.16 | 0.73 | 0.51 | 0.29 | 0.19 | 0.35 | 0.20 | 0.48 | 0.28 | 0.16 | |
| I + F + V | 0.43 | 0.27 | 0.16 | 0.85 | 0.52 | 0.30 | 0.26 | 0.33 | 0.19 | 0.44 | 0.29 | 0.17 | |
| I + F + V + S | 0.35 | 0.31 | 0.18 | 0.22 | 0.34 | 0.20 | 0.51 | 0.27 | 0.16 | 0.67 | 0.25 | 0.15 | |
| R1 | I | 0.15 | 0.63 | 0.36 | 0.25 | 0.69 | 0.39 | 0.20 | 0.63 | 0.36 | 0.20 | 0.63 | 0.36 |
| I + F | 0.33 | 0.50 | 0.29 | 0.69 | 0.80 | 0.46 | 0.37 | 0.50 | 0.32 | 0.37 | 0.49 | 0.28 | |
| I + F + V | 0.31 | 0.51 | 0.29 | 0.62 | 0.64 | 0.37 | 0.40 | 0.49 | 0.31 | 0.39 | 0.48 | 0.28 | |
| I + F + V + S | 0.25 | 0.50 | 0.29 | 0.58 | 0.40 | 0.23 | 0.52 | 0.47 | 0.27 | 0.60 | 0.39 | 0.22 | |
| R3 | I | 0.19 | 0.36 | 0.21 | 0.54 | 0.49 | 0.28 | 0.12 | 0.38 | 0.22 | 0.21 | 0.42 | 0.24 |
| I + F | 0.32 | 0.32 | 0.19 | 0.64 | 0.51 | 0.29 | 0.36 | 0.32 | 0.18 | 0.48 | 0.28 | 0.16 | |
| I + F + V | 0.54 | 0.34 | 0.20 | 0.66 | 0.48 | 0.27 | 0.29 | 0.34 | 0.19 | 0.67 | 0.36 | 0.21 | |
| I + F + V + S | 0.64 | 0.22 | 0.13 | 0.48 | 0.28 | 0.16 | 0.71 | 0.27 | 0.15 | 0.72 | 0.27 | 0.16 | |
| Multiple periods | I | 0.17 | 0.48 | 0.28 | 0.21 | 0.48 | 0.28 | 0.14 | 0.46 | 0.26 | 0.11 | 0.47 | 0.27 |
| I + F | 0.45 | 0.36 | 0.21 | 0.57 | 0.53 | 0.30 | 0.52 | 0.34 | 0.19 | 0.55 | 0.33 | 0.19 | |
| I + F + V | 0.31 | 0.41 | 0.24 | 0.58 | 0.52 | 0.30 | 0.49 | 0.35 | 0.20 | 0.55 | 0.33 | 0.19 | |
| I + F + V + S | 0.63 | 0.30 | 0.17 | 0.63 | 0.29 | 0.17 | 0.64 | 0.29 | 0.17 | 0.72 | 0.29 | 0.16 | |
Disclaimer/Publisher’s Note: The statements, opinions and data contained in all publications are solely those of the individual author(s) and contributor(s) and not of MDPI and/or the editor(s). MDPI and/or the editor(s) disclaim responsibility for any injury to people or property resulting from any ideas, methods, instructions or products referred to in the content. |
© 2025 by the authors. Licensee MDPI, Basel, Switzerland. This article is an open access article distributed under the terms and conditions of the Creative Commons Attribution (CC BY) license (https://creativecommons.org/licenses/by/4.0/).
Share and Cite
Xia, C.; Zhang, Y. Estimating Field-Scale Soil Organic Matter in Agricultural Soils Using UAV Hyperspectral Imagery. AgriEngineering 2025, 7, 339. https://doi.org/10.3390/agriengineering7100339
Xia C, Zhang Y. Estimating Field-Scale Soil Organic Matter in Agricultural Soils Using UAV Hyperspectral Imagery. AgriEngineering. 2025; 7(10):339. https://doi.org/10.3390/agriengineering7100339
Chicago/Turabian StyleXia, Chenzhen, and Yue Zhang. 2025. "Estimating Field-Scale Soil Organic Matter in Agricultural Soils Using UAV Hyperspectral Imagery" AgriEngineering 7, no. 10: 339. https://doi.org/10.3390/agriengineering7100339
APA StyleXia, C., & Zhang, Y. (2025). Estimating Field-Scale Soil Organic Matter in Agricultural Soils Using UAV Hyperspectral Imagery. AgriEngineering, 7(10), 339. https://doi.org/10.3390/agriengineering7100339

