Demystifying DFT-Based Harmonic Phase Estimation, Transformation, and Synthesis
Abstract
1. Introduction
1.1. Motivation
1.2. Problem Statement
1.3. A Practical Approach to Harmonic Signal Processing
- A discrete-time version of the signal represented by Equation (1) is first obtained using a convenient sampling frequency (), i.e., we have the following:where represents the sampling period and corresponds to the reciprocal of the sampling frequency ().
- A T-F transformation (using e.g., the DFT) is computed on a windowed region of the discrete-time signal containing N samples. We assume that N is a power of two numbers. If the window is represented by (and we assume is symmetric), this means that, in the case of the DFT, we compute the following:where .
- Finally, a suitable estimation procedure is used that takes the spectral coefficients, , as input and delivers robust estimates of all the harmonic frequencies, magnitudes, and phases.
1.4. Paper Structure
2. Robust DFT-Based Phase Estimation of Individual Sinusoids
2.1. DFT and the Rectangular Window
2.2. DFT and the Sine and Shifted Hanning Windows
2.3. ODFT and the Rectangular Window
2.4. ODFT and the Sine and Shifted Hanning Windows
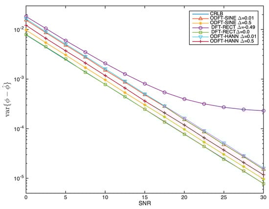
2.5. Bias and Variance of the Phase Estimation Error
3. An Interpretable Time-Shift Invariant Harmonic Phase Model
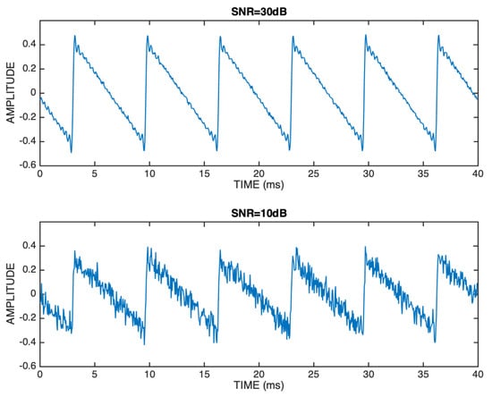
3.1. NRD Estimation Example Based on the Sawtooth Wave
3.2. NRD Estimation Examples Based on the Sawtooth Wave Derivative
3.3. NRD Estimation Examples Using Natural Voice Signals
3.4. Demystifying the Phasegram
4. Conclusions
Author Contributions
Funding
Data Availability Statement
Acknowledgments
Conflicts of Interest
Abbreviations
| CRLB | Cramér–Rao lower bound |
| DFT | discrete Fourier transform |
| ECG | electrocardiogram |
| FFT | fast Fourier transform |
| FM | frequency modulation |
| HPM | harmonic phase model |
| MM | magnitude model |
| NRD | normalized relative delay |
| ODFT | odd-frequency discrete Fourier transform |
| PM | phase model |
| SNR | signal-to-noise ratio |
| T-F | time-to-frequency |
References
- Mowlaee, P.; Kulmer, J.; Stahl, J.; Mayer, F. Single Channel Phase-Aware Signal Processing in Speech Communication; John Wiley and Sons Ltd.: Hoboken, NJ, USA, 2017. [Google Scholar]
- Bonada, J.; Serra, X.; Amatriain, X.; Loscos, A. Spectral processing. In DAFX: Digital Audio Effects; Zölzer, U., Ed.; John Wiley & Sons Ltd.: Hoboken, NJ, USA, 2011; Chapter 10; pp. 393–445. [Google Scholar]
- Quatieri, T.F.; McAulay, R.J. Audio Signal Processing Based on Sinusoidal Analysis/Synthesis. In Applications of Digital Signal Processing to Audio and Acoustics; Kahrs, M., Brandenburg, K., Eds.; Kluwer Academic Publishers: London, UK, 2002; Chapter 9; pp. 343–416. [Google Scholar]
- Oppenheim, A.V.; Lim, J.S. The importance of phase in signals. Proc. IEEE 1981, 69, 529–541. [Google Scholar] [CrossRef]
- Silva, J.M.; Oliveira, M.A.; Saraiva, A.F.; Ferreira, A.J.S. One-Step Discrete Fourier Transform-Based Sinusoid Frequency Estimation under Full-Bandwidth Quasi-Harmonic Interference. Acoustics 2023, 5, 845–869. [Google Scholar] [CrossRef]
- Matusiak, A.; Borkowski, J.; Mroczka, J. Noniterative method for frequency estimation based on interpolated DFT with low-order harmonics elimination. Measurement 2022, 196, 111241. [Google Scholar] [CrossRef]
- Belega, D.; Petri, D. Effect of noise and harmonics on sine-wave frequency estimation by interpolated DFT algorithms based on few observed cycles. Signal Process. 2017, 140, 207–218. [Google Scholar] [CrossRef]
- Jacobsen, E.; Kootsookos, P. Fast, Accurate Frequency estimators. IEEE Signal Process Mag. 2007, 24, 123–125. [Google Scholar] [CrossRef]
- Schoukens, J.; Pintelon, R.; Hamme, H.V. The Interpolated Fast Fourier Transform: A comparative study. IEEE Trans. Instrum. Meas. 1992, 41, 226–232. [Google Scholar] [CrossRef]
- Keiler, F.; Marchand, S. Survey on extraction of sinusoids in stationary sounds. In Proceedings of the 5th International Conference on Digital Audio Effects (DAFx-02), Hamburg, Germany, 26–28 September 2002; pp. 51–58. [Google Scholar]
- Ferreira, A.J.S. Accurate Estimation in the ODFT Domain of the Frequency, Phase and Magnitude of Stationary Sinusoids. In Proceedings of the 2001 IEEE Workshop on Applications of Signal Processing to Audio and Acoustics, New Paltz, NY, USA, 21–24 October 2001; pp. 47–50. [Google Scholar]
- Rife, D.C.; Boorstyn, R.R. Single-Tone Parameter Estimation from Discrete-Time Observations. IEEE Trans. Inf. Theory 1974, 20, 591–598. [Google Scholar] [CrossRef]
- Quinn, B.G. Estimation of Frequency, Amplitude, and Phase from the DFT of a Time Series. IEEE Trans. Signal Process. 1997, 45, 814–817. [Google Scholar] [CrossRef]
- Oppenheim, A.V.; Willsky, A.S.; Hamid, S. Signals and Systems, 2nd ed.; Pearson Education Limited: Upper Saddle River, NJ, USA, 1996. [Google Scholar]
- Oppenheim, A.V.; Schafer, R.W. Discrete-Time Signal Processing; Pearson Higher Education Inc.: Upper Saddle River, NJ, USA, 2010. [Google Scholar]
- Laroche, J.; Dolson, M. Phase-vocoder: About this phasiness business. In Proceedings of the Workshop on Applications of Signal Processing to Audio and Acoustics, New Paltz, NY, USA, 19–22 October 1997. [Google Scholar]
- M.Kay, S. Fundamentals of Statistical Signal Processing Estimation Theory; Prentice Hall, Inc.: Saddle River, NJ, USA, 1993. [Google Scholar]
- Liguori, C.; Paolillo, A.; Pignotti, A. Estimation of Signal Parameters in the Frequency Domain in the Presence of Harmonic Interference: A Comparative Analysis. IEEE Trans. Instrum. Meas. 2006, 55, 562–569. [Google Scholar] [CrossRef]
- Vaidyanathan, P.P. Multirate Systems and Filter Banks; Prentice-Hall: Saddle River, NJ, USA, 1993. [Google Scholar]
- Malvar, H. Signal Processing with Lapped Transforms; Artech House, Inc.: Norwood, MA, USA, 1992. [Google Scholar]
- Painter, T.; Spanias, A. Perceptual Coding of Digital Audio. Proc. IEEE 2000, 88, 451–513. [Google Scholar] [CrossRef]
- Bellanger, M. Digital Processing of Signals; John Willey & Sons: Hoboken, NJ, USA, 1989. [Google Scholar]
- Ferreira, A.J.; Tribolet, J.M. A holistic glottal phase related feature. In Proceedings of the 21st International Conference on Digital Audio Effects (DAFx-18), Aveiro, Portugal, 4–8 September 2018. [Google Scholar]
- Sousa, R.; Ferreira, A. Importance of the Relative Delay of Glottal Source Harmonics. In Proceedings of the 39th AES International Conference on Audio Forensics—Practices and Challenges, Hillerød, Denmark, 17–19 June 2010; pp. 59–69. [Google Scholar]
- Stylianou, I. Harmonic Plus Noise Models for Speech, Combined with Statistical Methods, for Speech and Speaker Modification. Ph.D. Thesis, École Nationale Supérieure des Télécommunications, Paris, France, 1996. [Google Scholar]
- Federico, R.D. Waveform Preserving Time Stretching and Pitch Shifting for Sinusoidal Models of Sound. In Proceedings of the COST-G6 Digital Audio Effects Workshop, Limerick, Ireland, 6–8 December 1998; pp. 44–48. [Google Scholar]
- Saratxaga, I.; Hernaez, I.; Erro, D.; Navas, E.; Sanchez, J. Simple representation of signal phase for harmonic speech models. Electron. Lett. 2009, 45, 381–383. [Google Scholar] [CrossRef]
- Ferreira, A.; Oliveira, M.; Santos, V. On the mismatch between the phase structure of all-pole-based synthetic vowels and natural vowels. In Proceedings of the IEEE Workshop on Signal Processing Systems (SiPS), Cambridge, MA, USA, 4–6 November 2024; pp. 1–6. [Google Scholar]
- Ferreira, A. Phonetic-oriented identification of twin speakers using 4-second vowel sounds and a combination of a shift-invariant phase feature (NRD), MFCCs and F0 information. In Proceedings of the 2019 AES International Conference on Audio Forensics, Porto, Portugal, 18–20 June 2019. [Google Scholar]
- Quatieri, T.F.; McAulay, R.J. Phase Coherence in Speech Reconstruction for Enhancement and Coding Applications. In Proceedings of the IEEE International Conference on Acoustics, Speech and Signal Processing, Glasgow, Scotland, 23–26 May 1989; pp. 207–210. [Google Scholar]


























Disclaimer/Publisher’s Note: The statements, opinions and data contained in all publications are solely those of the individual author(s) and contributor(s) and not of MDPI and/or the editor(s). MDPI and/or the editor(s) disclaim responsibility for any injury to people or property resulting from any ideas, methods, instructions or products referred to in the content. |
© 2024 by the authors. Licensee MDPI, Basel, Switzerland. This article is an open access article distributed under the terms and conditions of the Creative Commons Attribution (CC BY) license (https://creativecommons.org/licenses/by/4.0/).
Share and Cite
Oliveira, M.; Santos, V.; Saraiva, A.; Ferreira, A. Demystifying DFT-Based Harmonic Phase Estimation, Transformation, and Synthesis. Signals 2024, 5, 841-868. https://doi.org/10.3390/signals5040046
Oliveira M, Santos V, Saraiva A, Ferreira A. Demystifying DFT-Based Harmonic Phase Estimation, Transformation, and Synthesis. Signals. 2024; 5(4):841-868. https://doi.org/10.3390/signals5040046
Chicago/Turabian StyleOliveira, Marco, Vasco Santos, André Saraiva, and Aníbal Ferreira. 2024. "Demystifying DFT-Based Harmonic Phase Estimation, Transformation, and Synthesis" Signals 5, no. 4: 841-868. https://doi.org/10.3390/signals5040046
APA StyleOliveira, M., Santos, V., Saraiva, A., & Ferreira, A. (2024). Demystifying DFT-Based Harmonic Phase Estimation, Transformation, and Synthesis. Signals, 5(4), 841-868. https://doi.org/10.3390/signals5040046

