Characteristics and Transition of Sleep–Wake Rhythm in Nursery School Children: The Importance of Nocturnal Sleep
Abstract
1. Introduction
2. Results
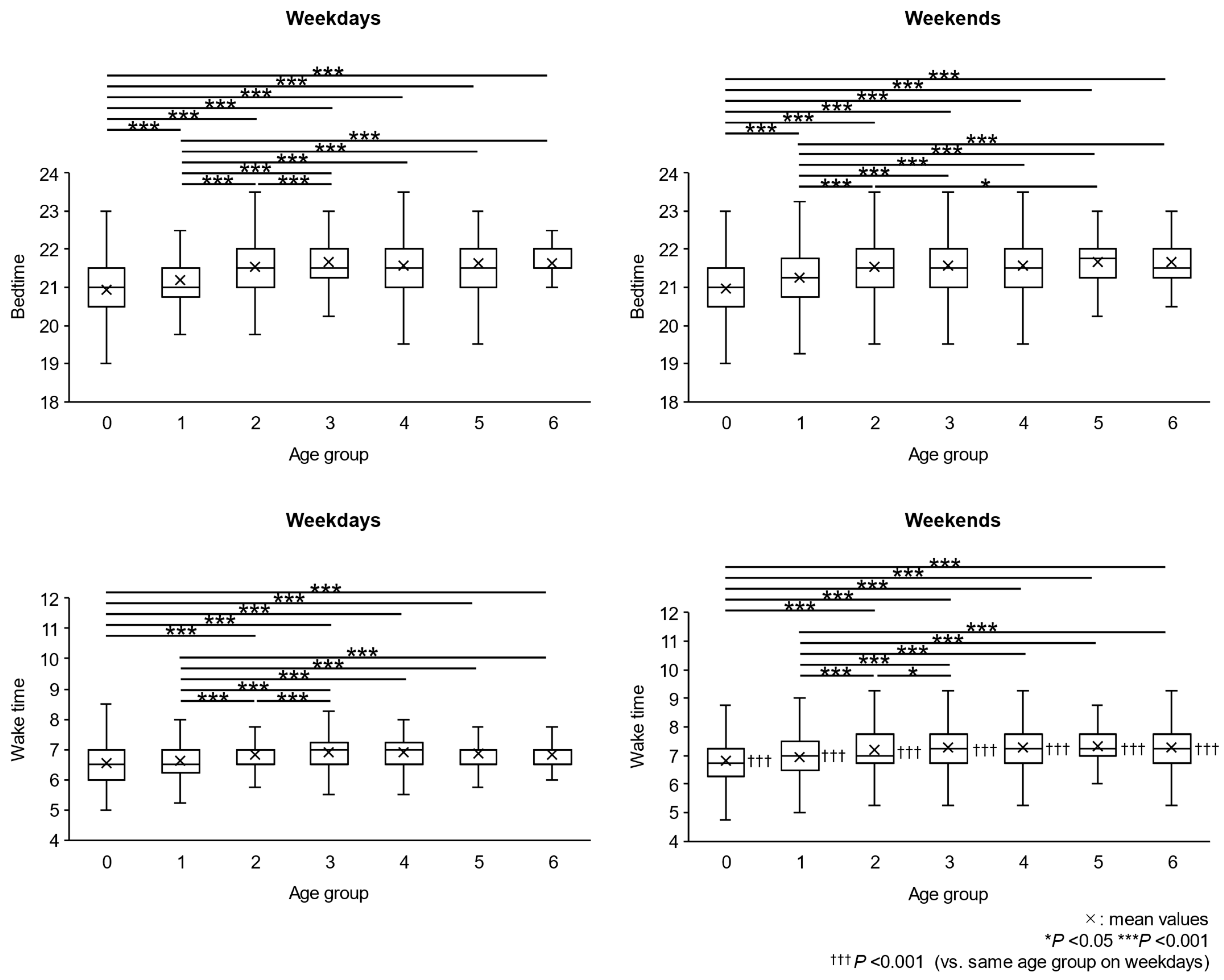
2.1. Night Bedtime and Morning Wake Time
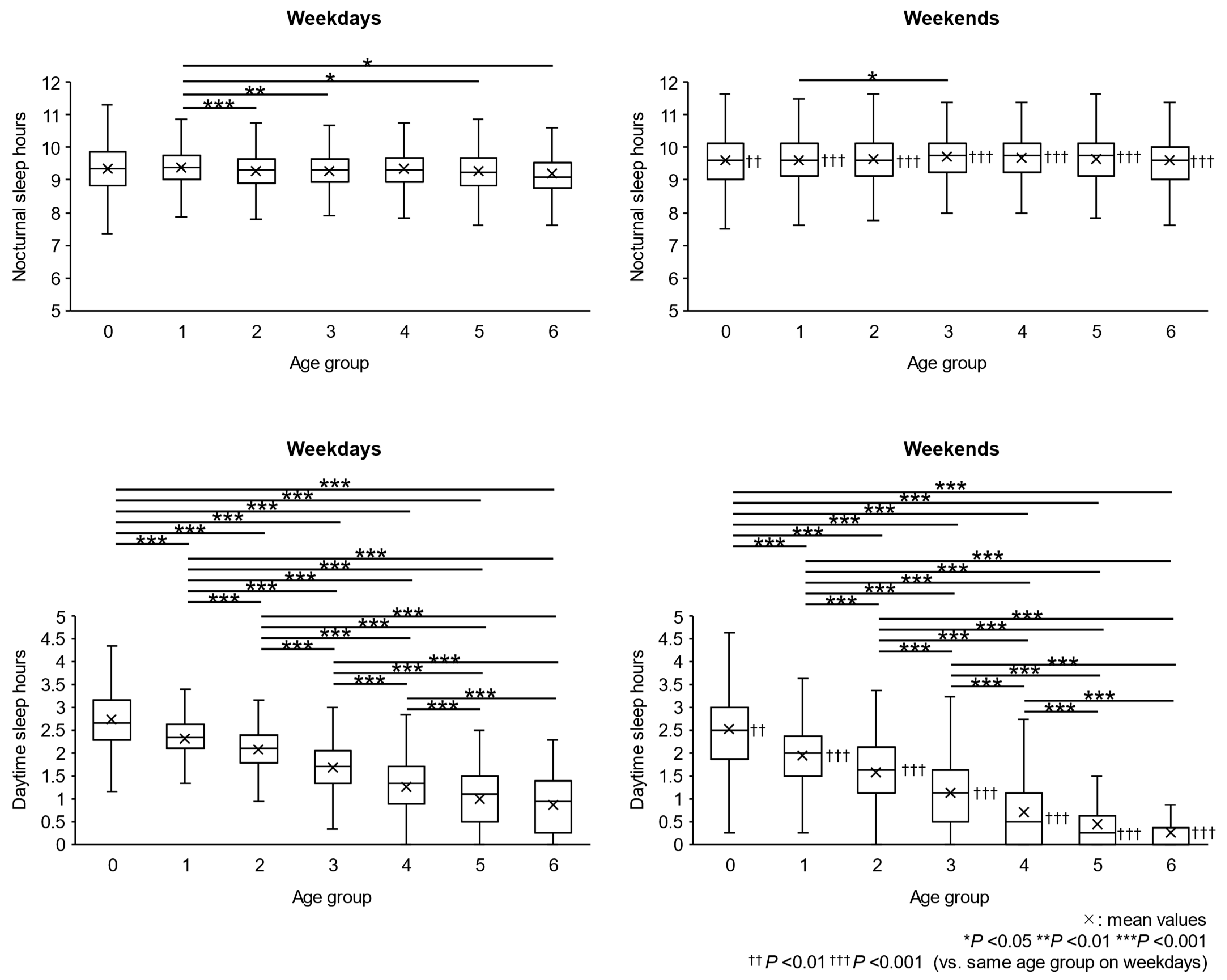
2.2. Nocturnal Sleep Duration and Daytime Sleep Duration
2.3. Relationship Between Night Bedtime and Morning Wake Time
3. Discussion
4. Conclusions
5. Materials and Methods
5.1. Night Bedtime
- (1)
- After 18:00, if the children slept for 0.5 h, woke up for 0.5 h or more, and then slept for 0.5 h or more after that, the time the children first fell asleep was considered the bedtime;
- (2)
- The time when the children fell asleep after 18:00 and slept for at least one continuous hour.
5.2. Morning Wake Time
5.3. Total Sleep Duration
5.4. Nocturnal Sleep Duration
5.5. Daytime Sleep Duration
Author Contributions
Funding
Institutional Review Board Statement
Informed Consent Statement
Data Availability Statement
Acknowledgments
Conflicts of Interest
Abbreviation
| NBSD | Nighttime basic sleep duration |
References
- Paruthi, S.; Brooks, L.J.; D‘Ambrosio, C.; Hall, W.A.; Kotagal, S.; Lloyd, R.M.; Malow, B.A.; Maski, K.; Nichols, C.; Quan, S.F.; et al. Consensus Statement of the American Academy of Sleep Medicine on the Recommended Amount of Sleep for Healthy Children: Methodology and Discussion. J. Clin. Sleep. Med. 2016, 12, 1549–1561. [Google Scholar] [CrossRef] [PubMed]
- Touchette, E.; Côté, S.M.; Petit, D.; Liu, X.; Boivin, M.; Falissard, B.; Tremblay, R.E.; Montplaisir, J.Y. Short nighttime sleep-duration and hyperactivity trajectories in early childhood. Pediatrics 2009, 124, e985–e993. [Google Scholar] [CrossRef] [PubMed]
- Zhang, Z.; Adamo, K.B.; Ogden, N.; Goldfield, G.S.; Okely, A.D.; Kuzik, N.; Crozier, M.; Hunter, S.; Predy, M.; Carson, V. Associations between sleep duration, adiposity indicators, and cognitive development in young children. Sleep Med. 2021, 82, 54–60. [Google Scholar] [CrossRef] [PubMed]
- Yamauchi, Y.; Takao, S.; Matsumoto, N.; Yorifuji, T. Association of nighttime sleep with behaviors in Japanese early childhood. Pediatr Int. 2022, 64, e15354. [Google Scholar] [CrossRef]
- Henderson, J.M.T.; France, K.G.; Blampied, N.M. The consolidation of infants’ nocturnal sleep across the first year of life. Sleep Med. Rev. 2011, 15, 211–220. [Google Scholar] [CrossRef]
- Paul, I.M.; Savage, J.S.; Anzman-Frasca, S.; Marini, M.E.; Mindell, J.A.; Birch, L.L. INSIGHT Responsive Parenting Intervention and Infant Sleep. Pediatrics 2016, 138, e20160762. [Google Scholar] [CrossRef] [PubMed]
- Miike, T.; Oniki, K.; Toyoura, M.; Tonooka, S.; Tajima, S.; Kinoshita, J.; Saruwatari, J.; Konishi, Y. Disruption of Circadian Sleep/Wake Rhythms in Infants May Herald Future Development of Autism Spectrum Disorder. Clocks Sleep 2024, 6, 170–182. [Google Scholar] [CrossRef]
- Konishi, Y.; Toyoura, M.; Konishi, Y.; Miike, T. New developments in the autism spectrum disorders. J. Daycare Res. Sick. Child. 2019, 10, 14–21. (In Japanese) [Google Scholar]
- Ishihara, K.; Doi, Y.; Uchiyama, M. Sleep and health from early childhood to preadolescence. J. Natl. Inst. Public Health 2015, 64, 3–10, (In Japanese with English Abstract). [Google Scholar]
- Vriend, J.; Davidson, F.; Rusak, B.; Corkum, P. Emotional and Cognitive Impact of Sleep Restriction in Children. Sleep. Med. Clin. 2015, 10, 107–115. [Google Scholar] [CrossRef]
- Reid, G.J.; Hong, R.Y.; Wade, T.J. The Relation Between Common Sleep Problems and Emotional and Behavioral Problems Among 2- And 3-year-olds in the Context of Known Risk Factors for Psychopathology. J. Sleep. Res. 2009, 18, 49–59. [Google Scholar] [CrossRef] [PubMed]
- Jan, J.E.; Reiter, R.J.; Bax, M.C.; Ribary, U.; Freeman, R.D.; Wasdell, M.B. Long-term sleep disturbances in children: A cause of neuronal loss. Eur. J. Paediatr. Neurol. 2010, 14, 380–390. [Google Scholar] [CrossRef] [PubMed]
- Qian, J.; Scheer, F.A.J.L. Circadian System and Glucose Metabolism: Implications for Physiology and Disease. Trends Endocrinol. Metab. 2016, 27, 282–293. [Google Scholar] [CrossRef] [PubMed]
- Geoffray, M.M.; Nicolas, A.; Speranza, M.; Georgieff, N. Are circadian rhythms new pathways to understand Autism Spectrum Disorder? Physiol. Parisb. 2016, 110, 434–438. [Google Scholar] [CrossRef] [PubMed]
- Tarokh, L.; Saletin, J.M.; Carskadon, M.A. Sleep in adolescence: Physiology, cognition and mental health. Neurosci. Biobehav. Rev. 2016, 7, 182–188. [Google Scholar] [CrossRef]
- Maeda, T.; Oniki, K.; Miike, T. Sleep education in primary school prevents future school refusal behavior. Pediatr. Int. 2019, 61, 1036–1042. [Google Scholar] [CrossRef]
- Kushnir, J.; Sadeh, A. Correspondence between reported and actigraphic sleep measures in preschool children: The role of a clinical context. J. Clin. Sleep Med. 2013, 9, 1147–1151. [Google Scholar] [CrossRef]
- Nelson, T.D.; Lundahl, A.; Molfese, D.L.; Waford, R.N.; Roman, A.; Gozal, D.; Molfese, V.J.; Ferguson, M.C. Estimating child sleep from parent report of time in bed: Development and evaluation of adjustment approaches. Pediatr. Psychol. 2014, 39, 624–632. [Google Scholar] [CrossRef]
- Mazza, S.; Bastuji, H.; Rey, A.E. Objective and Subjective Assessments of Sleep in Children: Comparison of Actigraphy, Sleep D iary by Children and Parents’ Estimation. Front. Psychiatry 2020, 11, 495. [Google Scholar] [CrossRef]
- Brazendale, K.; Beets, M.W.; Weaver, R.G.; Perry, M.W.; Tyler, E.B.; Hunt, E.T.; Decker, L.; Chaput, J.-P. Comparing measures of free-living sleep in school-aged children. Sleep. Med. 2019, 60, 197–201. [Google Scholar] [CrossRef]
- Gruber, R.; Somerville, G.; Santisteban, J.A. Using Parental Report to Identify Children at Risk for Poor Sleep and Daytime Problems. Behav. Sleep. Med. 2020, 18, 460–476. [Google Scholar] [CrossRef] [PubMed]
- Ma, G.; Segawa, M.; Nomura, Y.; Kondo, Y.; Tanagitani, M.; Higurashi, M. The Development of Sleep-Wakefulness Rhythm in Normal Infants and Young Children. Tohoku J. Exp. Med. 1993, 171, 29–41. [Google Scholar] [CrossRef][Green Version]
- Bruni, O.; Baumgartner, E.; Sette, S.; Ancona, M.; Caso, G.; Di Cosimo, M.E.; Mannini, A.; Ometto, M.; Pasquini, A.; Ulliana, A.; et al. Longitudinal study of sleep behavior in normal infants during the first year of life. J. Clin. Sleep. Med. 2014, 10, 1119–1127. [Google Scholar] [CrossRef] [PubMed]
- Touchette, E.; Dionne, G.; Forget-Dubois, N.; Vilches, N.; Valenzuela, F.J. Genetic and environmental influences on daytime and nighttime sleep duration in early childhood. Pediatrics 2013, 131, e1874–e1880. [Google Scholar] [CrossRef]
- Rivkees, S.A.; Hao, H. Developing circadian rhythmicity. Semin. Perinatol. 2000, 24, 232–242. [Google Scholar] [CrossRef] [PubMed]
- Mirmiran, M.; Maas, Y.G.; Ariagno, R.L. Development of fetal and neonatal sleep and circadian rhythms. Sleep. Med. Rev. 2003, 7, 321–334. [Google Scholar] [CrossRef]
- Serón-Ferré, M.; Valenzuela, G.J.; Torres-Farfan, C. Circadian clocks during embryonic and fetal development. Birth Defects Res. Embryo Today 2007, 81, 204–214. [Google Scholar] [CrossRef]
- Wing, Y.K.; Li, S.X.; Li, A.M.; Zhang, J.; Kong, A.P. The effect of weekend and holiday sleep compensation on childhood overweight and obesity. Pediatric. 2009, 124, e994–e1000. [Google Scholar] [CrossRef]
- Iglowstein, I.; Jenni, O.G.; Molinari, L.; Largo, R.H. Sleep duration from infancy to adolescence: Reference values and generational trends. Pediatrics 2003, 111, 302–307. [Google Scholar] [CrossRef]
- Blair, P.S.; Humphreys, J.S.; Gringras, P.; Taheri, S.; Scott, N.; Emond, A.; Henderson, J.; Fleming, P.J. Childhood sleep duration and associated demographic characteristics in an English cohort Sleep. Sleep 2012, 35, 353–360. [Google Scholar] [CrossRef]
- Staton, S.; Rankin, P.S.; Harding, M.; Smith, S.S.; Westwood, E.; LeBourgeois, M.K. Many naps, one nap, none: A systematic review and meta-analysis of napping patterns in children 0–12 years. Sleep Med. Rev. 2020, 50, 101247. [Google Scholar] [CrossRef] [PubMed]
- Weissbluth, M. Naps in Children: 6 months-7 Years. Sleep 1995, 18, 82–87. [Google Scholar] [CrossRef] [PubMed]
- Mindell, J.A.; Sadeh, A.; Wiegand, B.; How, T.H.; Goh, D.Y. Cross-cultural differences in infant and toddler sleep. Sleep Med. 2010, 11, 274–280. [Google Scholar] [CrossRef] [PubMed]
- Fukuda, K.; Sakashita, Y. Sleeping pattern of kindergartners and nursery school children: Function of daytime nap. Percept. Mot. Skills. 2002, 94, 219–228. [Google Scholar] [CrossRef] [PubMed]
- Kim, C.W.; Choi, M.K.; Im, H.J.; Kim, O.-H.; Lee, H.-J.; Song, J.; Kang, J.-H.; Parket, K.-H. Weekend catch-up sleep is associated with decreased risk of being overweight among fifth-grade student with short sleep duration. J. Sleep. Res. 2012, 21, 546–551. [Google Scholar] [CrossRef]
- Chaput, J.P.; Brunet, M.; Tremblay, A. Relationship between short sleeping hours and childhood overweight/obesity: Results from the Q‘uébec en Forme’ Project. Int. J. Obes. 2006, 30, 1080–1085. [Google Scholar] [CrossRef]
- Danielsen, Y.S.; Pallesen, S.; Stormark, K.M.; Nordhus, I.H.; Bjorvatn, B. The relationship between school day sleep duration and body mass index in Norwegian children (aged 10–12). Int. J. Pediatr. Obes. 2010, 5, 214–220. [Google Scholar] [CrossRef]
- Marshall, N.S.; Glozier, N.; Grunstein, R.R. Is sleep duration related to obesity? A critical review of the epidemiological evidence. Sleep Med. Rev. 2008, 12, 289–298. [Google Scholar] [CrossRef]
- Hart, C.N.; Jelalian, E. Shortened sleep duration is associated with pediatric overweight. Behav. Sleep Med. 2008, 6, 251–267. [Google Scholar] [CrossRef]
- Lo, J.C.; Ong, J.L.; Leong, R.L.F.; Gooley, J.J.; Chee, M.W.L. Cognitive Performance, Sleepiness, and Mood in Partially Sleep Deprived Adolescents: The Need for Sleep Study. Sleep 2016, 39, 687–698. [Google Scholar] [CrossRef]
- Lo, J.C.; Twan, D.C.K.; Karamchedu, S.; Lee, X.K.; Ong, J.L.; Rijn, E.V.; Gooley, J.J.; Chee, M.W.L. Differential effects of split and continuous sleep on neurobehavioral function and glucose tolerance in sleep-restricted adolescents. Sleep 2019, 42, zsz037. [Google Scholar] [CrossRef] [PubMed]
- Thorpe, K.; Staton, S.; Sawyer, E.; Pattinson, C.; Haden, C.; Smith, S. Napping, development and health from 0 to 5 years: A systematic review. Arch. Dis. Child. 2015, 100, 615–622. [Google Scholar] [CrossRef] [PubMed]
- Tomoda, A.; Jhodoi, T.; Miike, T. Chronic fatigue syndrome and abnormal biological rhythms in school children. J. Chronic Fatigue Syndr. 2001, 60, 607–612. [Google Scholar] [CrossRef]
- Takimoto, M.; Hamada, A.; Tomoda, A.; Ohdo, S.; Ohmura, T.; Sakato, H.; Kawatani, J.; Jodoi, T.; Nakagawa, H.; Terazono, H.; et al. Daily expression of clock genes in whole blood cells in healthy subjects and a patient with circadian rhythm sleep disorder. Am. J. Physiol. Regul. Integr. Comp. Physiol. 2005, 289, R1273–R1279. [Google Scholar] [CrossRef]
- Vitale, J.A.; Lombardi, G.; Weydahl, A.; Banfi, G. Biological rhythms, chronodisruption and chrono-enhancement: The role of physical activity as synchronizer in correcting steroids circadian rhythm in metabolic dysfunctions and cancer. Chronobiol. Int. 2018, 35, 1185–1197. [Google Scholar] [CrossRef]
- Hsu, C.N.; Tain, Y.L. Light and Circadian Signaling Pathway in Pregnancy: Programming of Adult Health and Disease. Int. J. Mol. Sci. 2020, 21, 2232. [Google Scholar] [CrossRef] [PubMed]
- Miike, T.; Toyoura, M.; Tonooka, S.; Konishi, Y.; Oniki, K.; Saruwatari, J.; Tajima, S.; Kinoshita, J.; Nakai, A.; Kikuchi, K. Neonatal irritable sleep-wake rhythm as a predictor of autism spectrum disorders. Neurobiol. Sleep Circadian Rhythm. 2020, 9, 100053. [Google Scholar] [CrossRef]
- Minami, Y.; Ohashi, M.; Hotta, E.; Hisatomi, M.; Okada, N.; Konishi, E.; Teramukai, S.; Inokawa, H.; Yagita, K. Chronic inflammation in mice exposed to the long-term un-entrainable light–dark cycles. Sleep Biol. Rhythm. 2018, 16, 63–68. [Google Scholar] [CrossRef]
- Schwichtenberg, A.J.; Christ, S.; Abel, E.; Poehlmann-Tynan, J.A. Circadian Sleep Patterns in Toddlers Born Preterm: Longitudinal Associations with Developmental and Health Concerns. J. Dev. Behav. Pediatr. 2016, 37, 358–369. [Google Scholar] [CrossRef]
- Williamson, A.A.; Mindell, J.A.; Hiscock, H.; Quach, J. Longitudinal sleep problem trajectories are associated with multiple impairments in child well-being. J. Child. Psychol. Psychiatry 2020, 61, 1092–1103. [Google Scholar] [CrossRef]
- Chaput, J.P.; Gray, C.E.; Poitras, V.J.; Carson, V.; Gruber, R.; Birken, C.S.; MacLean, J.E.; Aubert, S.; Sampson, M.; Tremblay, M.S. Systematic review of the relationships between sleep duration and health indicators in the early years (0–4 years). BMC Public Health 2017, 17 (Suppl. S5), 855. [Google Scholar] [CrossRef] [PubMed]
- Cortesi, F.; Giannotti, F.; Ivanenko, A.; Johnson, K. Sleep in children with autistic spectrum disorder. Sleep Med. 2010, 11, 659–664. [Google Scholar] [CrossRef] [PubMed]
- Veatch, O.J.; Maxwell-Horn, A.C.; Malow, B.A. Sleep in autism spectrum disorders. Curr. Sleep Med. Rep. 2015, 1, 131–140. [Google Scholar] [CrossRef]
- Tordjman, S.; Davlantis, K.S.; Georgieff, N.; Geoffray, M.-M.; Speranza, M.; Anderson, G.M.; Xavier, J.; Botbol, M.; Oriol, C.; Bellissan, E.; et al. Autism as a disorder of biological and behavioral rhythms: Toward new therapeutic perspectives. Front. Pediatr. 2015, 3, 1. [Google Scholar] [CrossRef]
- Miike, T.; Toyoura, M.; Oniki, K.; Tonooka, S.; Tajima, S. Prophylactic Treatment of ASD Based on Sleep-Wake Circadian Rhythm Formation in Infancy to Early Childhood. In Neurobiology of Autism Spectrum Disorders; El Idrissi, A., McCloskey, D., Eds.; Springer: Cham, Switzerland, 2023; pp. 183–207. [Google Scholar]



| Weekends | ||||||
|---|---|---|---|---|---|---|
| Class | 1. Group with Sufficient Sleep | 2. Group with Excessive Sleep | 3. Group with Sleep Deprivation | 4. Group with Delayed Sleep Phase | Total | |
| Weekdays | 1. Group with sufficient sleep | 1342 (80.3%) | 330 (19.7%) | 0 | 0 | 1672 |
| 2. Group with excessive sleep | 17 (14.9%) | 97 (85.1%) | 0 | 0 | 114 | |
| 3. Group with sleep deprivation | 0 | 0 | 1157 (51.2%) | 1103 (48.8%) | 2260 | |
| 4. Group with delayed sleep phase | 0 | 0 | 81 (9.7%) | 754 (90.3%) | 835 | |
| Total | 1359 | 427 | 1238 | 1857 | 4881 | |
Disclaimer/Publisher’s Note: The statements, opinions and data contained in all publications are solely those of the individual author(s) and contributor(s) and not of MDPI and/or the editor(s). MDPI and/or the editor(s) disclaim responsibility for any injury to people or property resulting from any ideas, methods, instructions or products referred to in the content. |
© 2024 by the authors. Licensee MDPI, Basel, Switzerland. This article is an open access article distributed under the terms and conditions of the Creative Commons Attribution (CC BY) license (https://creativecommons.org/licenses/by/4.0/).
Share and Cite
Hasegawa, T.; Murata, S.; Kagimura, T.; Omae, K.; Tanaka, A.; Takahashi, K.; Narusawa, M.; Konishi, Y.; Oniki, K.; Miike, T. Characteristics and Transition of Sleep–Wake Rhythm in Nursery School Children: The Importance of Nocturnal Sleep. Clocks & Sleep 2024, 6, 668-681. https://doi.org/10.3390/clockssleep6040045
Hasegawa T, Murata S, Kagimura T, Omae K, Tanaka A, Takahashi K, Narusawa M, Konishi Y, Oniki K, Miike T. Characteristics and Transition of Sleep–Wake Rhythm in Nursery School Children: The Importance of Nocturnal Sleep. Clocks & Sleep. 2024; 6(4):668-681. https://doi.org/10.3390/clockssleep6040045
Chicago/Turabian StyleHasegawa, Takehiro, Shozo Murata, Tatsuo Kagimura, Kaoru Omae, Akiko Tanaka, Kaori Takahashi, Mika Narusawa, Yukuo Konishi, Kentaro Oniki, and Teruhisa Miike. 2024. "Characteristics and Transition of Sleep–Wake Rhythm in Nursery School Children: The Importance of Nocturnal Sleep" Clocks & Sleep 6, no. 4: 668-681. https://doi.org/10.3390/clockssleep6040045
APA StyleHasegawa, T., Murata, S., Kagimura, T., Omae, K., Tanaka, A., Takahashi, K., Narusawa, M., Konishi, Y., Oniki, K., & Miike, T. (2024). Characteristics and Transition of Sleep–Wake Rhythm in Nursery School Children: The Importance of Nocturnal Sleep. Clocks & Sleep, 6(4), 668-681. https://doi.org/10.3390/clockssleep6040045

