Integrated Geochemical Assessment of Soils and Stream Sediments to Evaluate Source-Sink Relationships and Background Variations in the Parauapebas River Basin, Eastern Amazon
Abstract
1. Introduction
- How is the spatial distribution of the PTE in soils and stream sediments of the PB? Are they similar or not?
- Are the soil and stream sediment samples correlated? Do they share the same source apportionment?
- How do the geological domains affect the variations of the geochemical background and distribution of anomalies in the PB and what is their relevance for the definition of environmental guidelines?
- Is there any evidence of anthropogenic impact in the area?
2. Study Area and Geological Setting
- Rio Maria—Sapucaia—Canaã dos Carajás domains (RM-S-CC): It is restricted to the south of PB (Figure 1d), and is composed essentially of Mesoarchean tonalite—trondhjemite—granodiorite (TTG) series associated with greenstone belt sequences and calc-alkaline granites to tonalites and sanukitoids [25,26,27,28]. Neoarchean A-type like granitoids, charnockitic rocks, mafic-ultramafic bodies, and Paleoproterozoic anorogenic granites crosscut the Mesoarchean units [25,29,30,31,32,33].
- Carajás Basin (CB): It is restricted to the center of PB (Figure 1d), and is composed dominantly of Neoarchean mafic to felsic metavolcanic rocks and banded-iron formations (BIF), which hold the world-class Fe deposits of Carajás [34,35]. Neoarchean A-type like granite plutons [29,36] and mafic-ultramafic stratified bodies [31,37], as well as Paleoproterozoic anorogenic granites [38,39,40] also occur.
- Bacajá Domain (BD): It is restricted to the north of PB (Figure 1d), and is mainly composed of high-grade charnockitic rocks, with subordinate mafic orthogranulitesand para-derived granulites [41], supracrustal mafic metamorphic rocks of the Tapirapé Formation, and metasedimentary lithologies of the Buritirama Formation [42].
3. Materials and Methods
3.1. Sampling Procedure
3.2. Sample Preparation and Chemical Analyses
3.3. Data Processing and Statistical Analysis
3.4. The Determination of Geochemical Background Values
3.5. Geoprocessing and Spatial Representation of Soil and Stream Sediment Geochemical Data
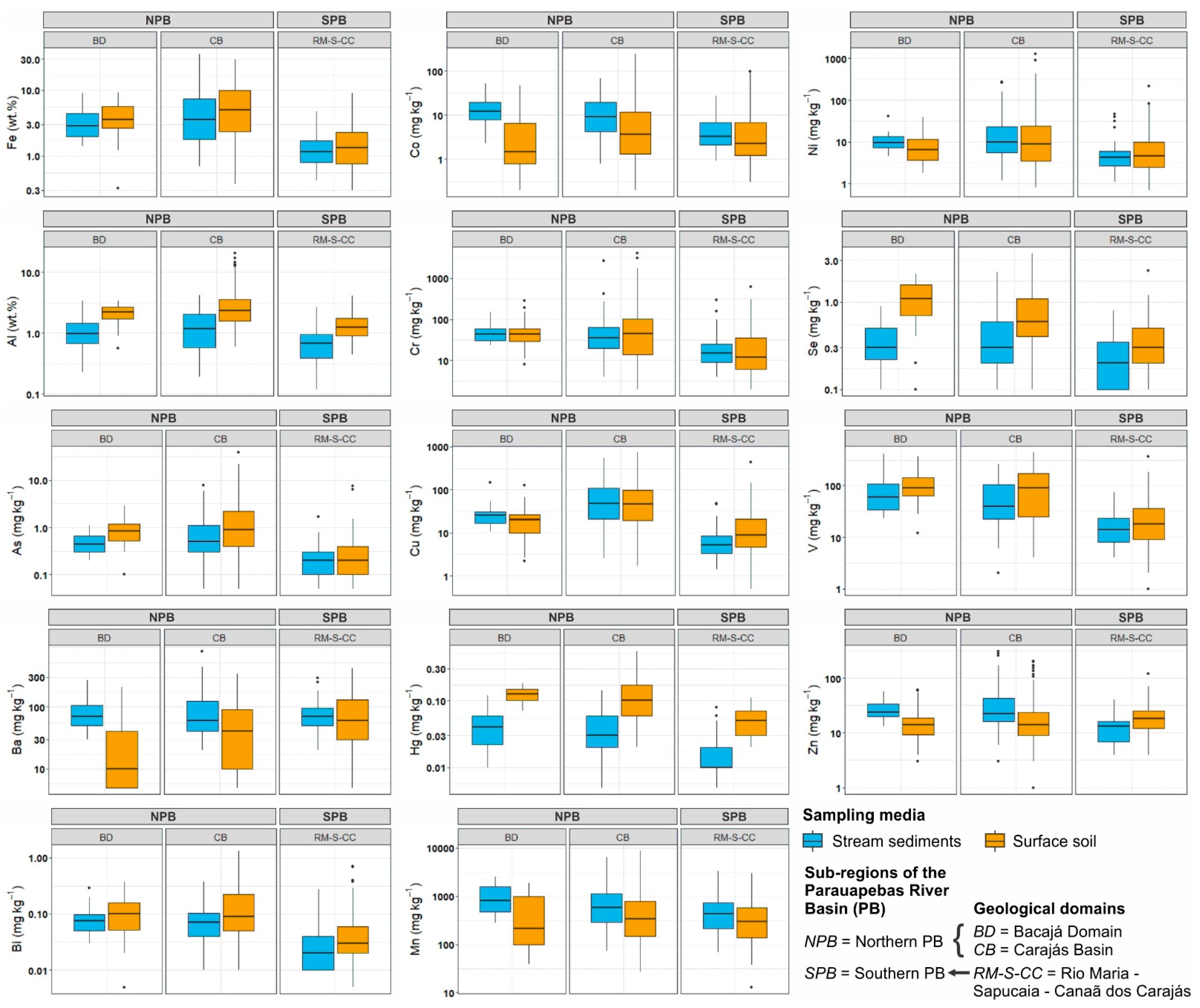
4. Results
5. Discussion
5.1. Regional Geochemical Distribution of Fe, Al, and PTE in Soils and Stream Sediments
5.2. The Geochemical Compartmentation of PB as Subsidy to Territorial and Watershed Management
5.3. The Relationship between Surface Soil and Stream Sediment Geochemistry
5.4. Geochemical Threshold Variation in Soils and Stream Sediments vs. Environmental Guidelines
6. Conclusions
Supplementary Materials
Author Contributions
Funding
Institutional Review Board Statement
Informed Consent Statement
Data Availability Statement
Acknowledgments
Conflicts of Interest
References
- Caritat, P.; Cooper, M. A continental-scale geochemical atlas for resource exploration and environmental management: The National Geochemical Survey of Australia. Geochem. Explor. Environ. Anal. 2016, 16, 3–13. [Google Scholar] [CrossRef]
- Cheng, Z.; Xie, X.; Yao, W.; Feng, J.; Zhang, Q.; Fang, J. Multi-element geochemical mapping in Southern China. J. Geochem. Explor. 2014, 139, 183–192. [Google Scholar] [CrossRef]
- Plant, J.; Smith, D.; Smith, B.; Williams, L. Environmental geochemistry at the global scale. Appl. Geochem. 2001, 16, 1291–1308. [Google Scholar] [CrossRef]
- Darnley, A.G.; Bjiirklund, A.; Belviken, B.; Gustavsson, N.; Koval, P.V.; Plant, J.A.; Steenfelt, A.; Tauchid, M.; Xuejing, X.; Xie, X. A Global Geochemical Database for Environmental and Resource Management. Recommendations for International Geochemical Mapping—Final Report of IGCP Project 259; UNESCO Publishing: Paris, France, 1995; ISBN 923103085X. [Google Scholar]
- Albanese, S.; De Vivo, B.; Lima, A.; Cicchella, D. Geochemical background and baseline values of toxic elements in stream sediments of Campania region (Italy). J. Geochem. Explor. 2007, 93, 21–34. [Google Scholar] [CrossRef]
- Gałuszka, A. Different approaches in using and understanding the term “Geochemical background”—Practical implications for environmental studies. Pol. J. Environ. Stud. 2007, 16, 389–395. [Google Scholar]
- Gałuszka, A.; Migaszewski, Z.M.; Zalasiewicz, J. Assessing the Anthropocene with geochemical methods. Geol. Soc. London Spec. Publ. 2014, 395, 221–238. [Google Scholar] [CrossRef]
- Yuan, G.L.; Sun, T.H.; Han, P.; Li, J. Environmental geochemical mapping and multivariate geostatistical analysis of heavy metals in topsoils of a closed steel smelter: Capital Iron & Steel Factory, Beijing, China. J. Geochem. Explor. 2013, 130, 15–21. [Google Scholar] [CrossRef]
- Smith, S.L.; MacDonald, D.D.; Keenleyside, K.A.; Ingersoll, C.G.; Field, L.J. A preliminary evaluation of sediment quality assessment values for freshwater ecosystems. J. Great Lakes Res. 1996, 22, 624–638. [Google Scholar] [CrossRef]
- Zhuang, W.; Gao, X. Integrated Assessment of Heavy Metal Pollution in the Surface Sediments of the Laizhou Bay and the Coastal Waters of the Zhangzi Island, China: Comparison among Typical Marine Sediment Quality Indices. PLoS ONE 2014, 9, e94145. [Google Scholar] [CrossRef] [PubMed]
- Pereira, V.; Inácio, M.; Ferreira, A.; Pinto, M. Geochemical regional surveys: Comparative analysis of data from soils and stream sediments. In Proceedings of the 19th World Congress of Soil Science, Soil Solutions for a Changing World; International Union of Soil Sciences: Brisbane, Australia, 2010; p. 4. [Google Scholar]
- Reimann, C. Comparison of stream sediment and soil sampling for regional exploration in the eastern Alps, Austria. J. Geochem. Explor. 1988, 31, 75–85. [Google Scholar] [CrossRef]
- Deschamps, E.; Ciminelli, V.S.T.; Lange, F.T.; Matschullat, J.; Raue, B.; Schmidt, H. Soil and sediment geochemistry of the iron quadrangle, Brazil the case of arsenic. J. Soils Sediments 2002, 2, 216–222. [Google Scholar] [CrossRef]
- Demetriades, A.; Smith, D.; Wang, X. General concepts of geochemical mapping at global, regional, and local scales for mineral exploration and environmental purposes. Geochim. Bras. 2018, 32, 136–179. [Google Scholar] [CrossRef]
- Licht, O. Geochemical background—What a complex meaning has such a simple expression! Geochim. Bras. 2020, 34, 161–175. [Google Scholar] [CrossRef]
- Burenkov, E.; Golovin, A.; Morozova, I.; Filatov, E. Multi-purpose geochemical mapping (1:1,000,000) as a basis for the integrated assessment of natural resources and ecological problems. J. Geochem. Explor. 1999, 66, 159–172. [Google Scholar] [CrossRef]
- Matschullat, J.; Ottenstein, R.; Reimann, C. Geochemical background—Can we calculate it? Environ. Geol. 2000, 39, 990–1000. [Google Scholar] [CrossRef]
- Reimann, C.; Garrett, R.G. Geochemical background—Concept and reality. Sci. Total Environ. 2005, 350, 12–27. [Google Scholar] [CrossRef]
- Reimann, C.; Filzmoser, P.; Garrett, R.G. Background and threshold: Critical comparison of methods of determination. Sci. Total Environ. 2005, 346, 1–16. [Google Scholar] [CrossRef]
- Reimann, C.; Caritat, P. Distinguishing between natural and anthropogenic sources for elements in the environment: Regional geochemical surveys versus enrichment factors. Sci. Total Environ. 2005, 337, 91–107. [Google Scholar] [CrossRef]
- Johnson, C.C.; Demetriades, A. Urban Geochemical Mapping: A Review of Case Studies in this Volume. In Mapping the Chemical Environment of Urban Areas; John Wiley & Sons, Ltd.: Hoboken, NJ, USA, 2011; pp. 7–27. [Google Scholar] [CrossRef]
- Reimann, C.; Caritat, P. Establishing geochemical background variation and threshold values for 59 elements in Australian surface soil. Sci. Total Environ. 2017, 578, 633–648. [Google Scholar] [CrossRef]
- Reimann, C.; Fabian, K.; Birke, M.; Filzmoser, P.; Demetriades, A.; Négrel, P.; Oorts, K.; Matschullat, J.; de Caritat, P.; Albanese, S.; et al. GEMAS: Establishing geochemical background and threshold for 53 chemical elements in European agricultural soil. Appl. Geochem. 2018, 88, 302–318. [Google Scholar] [CrossRef]
- Sahoo, P.K.; Dall’Agnol, R.; Salomão, G.N.; Ferreira Junior, J.S.; Silva, M.S.; Martins, G.C.; Souza Filho, P.W.M.; Powell, M.A.; Maurity, C.W.; Angelica, R.S.; et al. Source and background threshold values of potentially toxic elements in soils by multivariate statistics and GIS-based mapping: A high density sampling survey in the Parauapebas basin, Brazilian Amazon. Environ. Geochem. Health 2020, 42, 255–282. [Google Scholar] [CrossRef] [PubMed]
- Feio, G.R.L.; Dall’Agnol, R.; Dantas, E.L.; Macambira, M.J.B.; Santos, J.O.S.; Althoff, F.J.; Soares, J.E.B. Archean granitoid magmatism in the Canaã dos Carajás area: Implications for crustal evolution of the Carajás Province, Amazonian Craton, Brazil. Precambrian Res. 2013, 227, 157–185. [Google Scholar] [CrossRef]
- Marangoanha, B.; Oliveira, D.C.; Oliveira, V.E.S.; Galarza, M.A.; Lamarão, C.N. Neoarchean A-type granitoids from Carajás province (Brazil): New insights from geochemistry, geochronology and microstructural analysis. Precambrian Res. 2019, 324, 86–108. [Google Scholar] [CrossRef]
- Moreto, C.P.N.; Monteiro, L.V.S.; Xavier, R.P.; Creaser, R.A.; DuFrane, S.A.; Tassinari, C.C.G.; Sato, K.; Kemp, A.I.S.; Amaral, W.S. Neoarchean and Paleoproterozoic iron oxide-copper-gold events at the Sossego deposit, Carajás Province, Brazil: Re-Os and U-Pb geochronological evidence. Econ. Geol. 2015, 110, 809–835. [Google Scholar] [CrossRef]
- Vasquez, M.L.; Sousa, C.S.; Carvalho, K.M.A. Mapa Geológico e de Recursos Minerais do Estado do Pará, escala 1:1.000.000. Programa Geologia do Brasil (PGB), Integração, Atualização e Difusão de Dados da Geologia do Brasil, Mapas Geológicos Estaduais; Serviço Geológico do Brasil (CPRM): Belém, Brasil, 2008. [Google Scholar]
- Barros, C.E.M.; Sardinha, A.S.; Barbosa, J.P.O.; Macambira, M.J.B.; Barley, P.; Boullier, A. Structure, petrology, geochemistry and zircon U/Pb and Pb/Pb geochronology of the synkinematic Archean (2.7 Ga) A-type Granities from the Carajás Metallogenic Province, Northern Brazil. Can. Mineral. 2009, 47, 1423–1440. [Google Scholar] [CrossRef]
- Dall’Agnol, R.; Cunha, I.R.V.; Guimarães, F.V.; Oliveira, D.C.; Teixeira, M.F.B.; Feio, G.R.L.; Lamarão, C.N. Mineralogy, geochemistry, and petrology of Neoarchean ferroan to magnesian granites of Carajás Province, Amazonian Craton: The origin of hydrated granites associated with charnockites. Lithos 2017, 277, 3–32. [Google Scholar] [CrossRef]
- Mansur, E.T.; Ferreira Filho, C.F. Chromitites from the Luanga Complex, Carajás, Brazil: Stratigraphic distribution and clues to processes leading to post-magmatic alteration. Ore Geol. Rev. 2017, 90, 110–130. [Google Scholar] [CrossRef]
- Marangoanha, B.; Oliveira, D.C.; Dall’Agnol, R. The Archean granulite-enderbite complex of the northern Carajás province, Amazonian craton (Brazil): Origin and implications for crustal growth and cratonization. Lithos 2019, 350–351, 105275. [Google Scholar] [CrossRef]
- Rosa, W.D. Complexos Acamadados da Serra da Onça e Serra do Puma: Geologia e Petrologia de Duas Intrusões Máfico-ultramáficas com Sequência de Cristalização Distinta na Província Arqueana de Carajás, Brasil. Master’s Thesis, Universidade de Brasília, Brasília, Brazil, 2014. [Google Scholar]
- Gibbs, A.K.; Wirth, K.R.; Hirata, K.H.; Olszewski Junior, W.J. Age and composition of the Grao Para Group volcanics, Serra dos Carajas, Brazil. Rev. Bras. Geocienc. 1986, 16, 201–211. [Google Scholar] [CrossRef]
- Martins, P.L.G.; Toledo, C.L.B.; Silva, A.M.; Chemale, F.; Santos, J.O.S.; Assis, L.M. Neoarchean magmatism in the southeastern Amazonian Craton, Brazil: Petrography, geochemistry and tectonic significance of basalts from the Carajás Basin. Precambrian Res. 2017, 302, 340–357. [Google Scholar] [CrossRef]
- Sardinha, A.S.; Barros, C.E.M.; Krymsky, R. Geology, geochemistry, and U-Pb geochronology of the Archean (2.74 Ga) Serra do Rabo granite stocks, Carajás Metallogenetic Province, northern Brazil. J. S. Am. Earth Sci. 2006, 20, 327–339. [Google Scholar] [CrossRef]
- Mansur, E.T.; Ferreira Filho, C.F.; Oliveira, D.P.L. The Luanga deposit, Carajás Mineral Province, Brazil: Different styles of PGE mineralization hosted in a medium-size layered intrusion. Ore Geol. Rev. 2020, 103340. [Google Scholar] [CrossRef]
- Dall’Agnol, R.; Teixeira, N.P.; Rämö, O.T.; Moura, C.A.V.; Macambira, M.J.B.; Oliveira, D.C. Petrogenesis of the Paleoproterozoic rapakivi A-type granites of the Archean Carajás metallogenic province, Brazil. Lithos 2005, 80, 101–129. [Google Scholar] [CrossRef]
- Machado, N.; Lindenmayer, Z.G.; Krogh, T.E.; Lindenmayer, D. U-Pb geochronology of Archean magmatism and basement reactivation in the Carajás area, Amazon shield, Brazil. Precambrian Res. 1991, 49, 329–354. [Google Scholar] [CrossRef]
- Teixeira, M.F.B.; Dall’Agnol, R.; Santos, J.O.S.; Kemp, A.; Evans, N. Petrogenesis of the Paleoproterozoic (Orosirian) A-type granites of Carajás Province, Amazon Craton, Brazil: Combined in situ Hf O isotopes of zircon. Lithos 2019, 332–333, 1–22. [Google Scholar] [CrossRef]
- Oliveira, F.A.; Almeida, J.A.C.; Figueira, R.L. Magnetic petrology of rocks of the Novolândia Granulite, Cruzeiro do Sul Village, Bacajá Domain. Rev. Sumaúma 2018, 10, 61–74. [Google Scholar]
- Macambira, M.J.B.; Vasquez, M.L.; Silva, D.C.C.; Galarza, M.A.; Barros, C.E.M.; Camelo, J.F. Crustal growth of the central-eastern Paleoproterozoic domain, SW Amazonian Craton: Juvenile accretion vs. reworking. J. S. Am. Earth Sci. 2009, 27, 235–246. [Google Scholar] [CrossRef]
- Souza-Filho, P.W.M.; Sahoo, P.K.; Silva, M.S.; Medeiros Filho, C.A.; Dall’Agnol, R.; Ferreira Junior, J.S.; Nascimento-Junior, W.; Silva, G.S.; Salomão, G.N.; Sarracini, F.; et al. General guidelines for baselines mapping and geochemical background in the Itacaiúnas River watershed, Carajás Mineral Province, Brazilian Amazon. J. S. Am. Earth Sci. 2020. submitted. [Google Scholar]
- Sahoo, P.K.; Dall’Agnol, R.; Salomão, G.N.; Ferreira Junior, J.S.F.; Silva, M.S.; Souza Filho, P.W.M.; Costa, M.L.; Angélica, R.S.; Medeiros Filho, C.A.; Costa, M.F.; et al. Regional-scale mapping for determining geochemical background values in soils of the Itacaiúnas River Basin, Brazil: The use of compositional data analysis (CoDA). Geoderma 2020, 376, 114504. [Google Scholar] [CrossRef]
- Salomão, G.N.; Dall’Agnol, R.; Sahoo, P.K.; Angélica, R.S.; Medeiros Filho, C.A.; Ferreira Júnior, J.S.S.; Silva, M.S.S.; e Souza Filho, P.W.M.; Nascimento Junior, W.R.R.; Costa, M.F.; et al. Geochemical mapping in stream sediments of the Carajás Mineral Province: Background values for the Itacaiúnas River watershed, Brazil. Appl. Geochem. 2020, 118, 104608. [Google Scholar] [CrossRef]
- Sahoo, P.K.; Dall’Agnol, R.; Salomão, G.N.; Ferreira Junior, J.S.; Silva, M.S.; Souza Filho, P.W.M.; Powell, M.A.; Angélica, R.S.; Pontes, P.R.; Costa, M.F.; et al. High resolution hydrogeochemical survey and estimation of baseline concentrations of trace elements in surface water of the Itacaiúnas River Basin, southeastern Amazonia: Implication for environmental studies. J. Geochem. Explor. 2019, 205, 106321. [Google Scholar] [CrossRef]
- Grunsky, E.C.; Caritat, P. Advances in the Use of Geochemical Data for Mineral Exploration. In Proceedings of the Exploration 17: Sixth Decennial International Conference on Mineral Exploration; Tschirhart, V., Thomas, M.D., Eds.; Lakehead University: Orillia, ON, USA, 2017; pp. 441–456. [Google Scholar]
- Ander, E.L.; Johnson, C.C.; Cave, M.R.; Palumbo-Roe, B.; Nathanail, C.P.; Lark, R.M. Methodology for the determination of normal background concentrations of contaminants in English soil. Sci. Total Environ. 2013, 454–455, 604–618. [Google Scholar] [CrossRef]
- Cave, M.R.; Johnson, C.C.; Ander, E.; Palumbo-Roe, B. Methodology for the determination of normal background contaminant concentrations in English soils. Br. Geol. Surv. Comm. Rep. 2012, CR/12/003, 42. [Google Scholar]
- Conselho Nacional do Meio Ambiente—CONAMA. Resolução CONAMA N° 420, de 28 de Dezembro de 2009. Dispõe sobre critérios e valores orientadores de qualidade do solo quanto à presença de substâncias químicas e estabelece diretrizes para o gerenciamento ambiental de áreas contaminadas por essas substâncias em decorrência de atividades antrópicas; Diário Oficial da República Federativa do Brasil: Brasilia, Brasil, 2009; pp. 81–84. [Google Scholar]
- DEC (Department of Environment and Conservation). Assessment Levels for Soil, Sediment and Water; Version 4; DEC: Joondalup, Australia, 2010; ISBN 2009641-0110-100. [Google Scholar]
- Ministry of the Environment of Finland (MEF) Government Decree on the Assessment of Soil Contamination and Remediation Needs. 214/2007. Available online: http://www.finlex.fi/en/laki/kaannokset/2007/en20070214 (accessed on 19 February 2021).
- Bonham-Carter, G.F.; Rogers, P.J.; Ellwood, D.J. Catchment basin analysis applied to surficial geochemical data, Cobequid Highlands, Nova Scotia. J. Geochem. Explor. 1987, 29, 259–278. [Google Scholar] [CrossRef]
- Carranza, E.J.M. Geochemical sampling for geological–environmental studies. J. Geochem. Explor. 2011, 111, 57–58. [Google Scholar] [CrossRef]
- Lancianese, V.; Dinelli, E. Different spatial methods in regional geochemical mapping at high density sampling: An application on stream sediment of Romagna Apennines, Northern Italy. J. Geochem. Explor. 2015, 154, 143–155. [Google Scholar] [CrossRef]
- Reimann, C.; Flem, B.; Gasser, D.; Eggen, O.A.; Birke, M. Background values of gold, potentially toxic elements and emerging high-tech critical elements in surface water collected in a remote northern European environment. Geochem. Explor. Environ. Anal. 2018, 18, 185–195. [Google Scholar] [CrossRef]
- Tukey, J.W. Exploratory Data Analysis, 1st ed.; Addison-Wesley Publishing Company: Boston, MA, USA, 1977. [Google Scholar]
- Farias, D.L. Geoquímica de Sedimentos Ativos de Corrente e Estimativa de Background Geoquímico na Bacia do Rio Parauapebas—Pará; Instituto Tecnológico Vale: Belém, Brazil, 2020. [Google Scholar]
- Companhia Ambiental do Estado de São Paulo—CETESB. Decisão de Diretoria-256/2016/E, de 22-11-2016 Dispõe Sobre a Aprovação dos “Valores Orientadores para Solos e Águas Subterrâneas no Estado de São Paulo—2016” e dá Outras Providências; CETESB: São Paulo, Brazil, 2016; p. 5. [Google Scholar]
- Conselho Nacional do Meio Ambiente—CONAMA. Resolução CONAMA N° 454, de 01 de Novembro de 2012. Estabelece as Diretrizes Gerais e os Procedimentos Referenciais Para o Gerenciamento do Material a Ser Dragado Em águas Sob Jurisdição Nacional; Diário Oficial da República Federativa do Brasil: Brasilia, Brasil, 2012; p. 17. [Google Scholar]
- Tolbert, G.E.; Tremaine, J.W.; Malcher, G.C.; Gomes, C.B. The Recently Discovered Serra dos Carajás Iron Deposits. Econ. Geol. 1971, 66, 985–994. [Google Scholar] [CrossRef]
- Beisiegel, V.R.; Bernardelli, A.L.; Drummond, N.F.; Ruff, A.W.; Tremaine, J.W. Geologia e recursos minerais da Serra dos Carajás. Rev. Bras. Geociências 1973, 3, 215–242. [Google Scholar]
- Docegeo (Rio Doce Geologia e Mineração). Revisão litoestratigráfica da Província Mineral de Carajás. In Proceedings of the 35 Congresso Brasileiro de Geologia; CVRD/SBG: Belém, Brazil, 1988; pp. 11–59. [Google Scholar]
- Siepierski, L.; Ferreira Filho, C.F. Magmatic structure and petrology of the Vermelho Complex, Carajás Mineral Province, Brazil: Evidence for magmatic processes at the lower portion of a mafic-ultramafic intrusion. J. S. Am. Earth Sci. 2020, 102, 102700. [Google Scholar] [CrossRef]
- Sousa, S.D.; Monteiro, L.V.S.; Oliveira, D.C.; Silva, M.A.D.; Moreto, C.P.N.; Juliani, C. O Greenstone Belt Sapucaia na região de Água Azul do Norte, Província Carajás: Contexto geológico e caracterização petrográfica e geoquímica. Contrib. Geol. Amaz. 2015, 9, 317–338. [Google Scholar]
- Mander, Ü. Watershed Management. In Encyclopedia of Ecology; Elsevier: Amsterdam, The Netherlands, 2008; pp. 3737–3748. [Google Scholar]
- Tomer, M.D. Watershed Management. In Encyclopedia of Soils in the Environment; Elsevier: Amsterdam, The Netherlands, 2005; pp. 306–315. [Google Scholar]
- Wang, X.; Chi, Q.; Liu, H.; Nie, L.; Zhang, B. Wide-spaced sampling for delineation of geochemical provinces in desert terrains, northwestern China. Geochem. Explor. Environ. Anal. 2007, 8, 153–161. [Google Scholar] [CrossRef]
- Souza-Filho, P.W.M.; Souza, E.B.; Silva Júnior, R.O.; Nascimento, W.R., Jr.; Mendonça, B.R.V.; Guimarães, J.T.F.; Dall’Agnol, R.; Siqueira, J.O. Four decades of land-cover, land-use and hydroclimatology changes in the Itacaiúnas River watershed, southeastern Amazon. J. Environ. Manag. 2016, 167, 175–184. [Google Scholar] [CrossRef]
- Souza, E.S.; Fernandes, A.R.; Braz, A.M.S.; Oliveira, F.J.; Alleoni, L.R.F.; Campos, M.C.C. Physical, chemical, and mineralogical attributes of a representative group of soils from the eastern Amazon region in Brazil. Soil 2018, 4, 195–212. [Google Scholar] [CrossRef]
- Kabata-pendias, A.; Pendias, H. Trace Elements in Soils and Plants, 3rd ed.; CRC Press: Boca Raton, FL, USA, 2001; ISBN 0849315751. [Google Scholar]
- Gałuszka, A.; Migaszewski, Z.; Duczmal-Czernikiewicz, A.; Dołęgowska, S. Geochemical background of potentially toxic trace elements in reclaimed soils of the abandoned pyrite–uranium mine (south-central Poland). Int. J. Environ. Sci. Technol. 2016, 13, 2649–2662. [Google Scholar] [CrossRef]
- Yotova, G.; Padareva, M.; Hristova, M.; Astel, A.; Georgieva, M.; Dinev, N.; Tsakovski, S. Establishment of geochemical background and threshold values for 8 potential toxic elements in the Bulgarian soil quality monitoring network. Sci. Total Environ. 2018, 643, 1297–1303. [Google Scholar] [CrossRef]
- Urresti-Estala, B.; Carrasco-Cantos, F.; Vadillo-Pérez, I.; Jiménez-Gavilán, P. Determination of background levels on water quality of groundwater bodies: A methodological proposal applied to a Mediterranean River basin (Guadalhorce River, Málaga, southern Spain). J. Environ. Manag. 2013, 117, 121–130. [Google Scholar] [CrossRef]
- MacDonald, D.D.; Ingersoll, C.G.; Berger, T.A. Development and evaluation of consensus-based sediment quality guidelines for freshwater ecosystems. Arch. Environ. Contam. Toxicol. 2000, 39, 20–31. [Google Scholar] [CrossRef]
- Lima, M.W.; Hamid, S.S.; Souza, E.S.; Teixeira, R.A.; Conceição Palheta, D.; Faial, K.C.F.; Fernandes, A.R. Geochemical background concentrations of potentially toxic elements in soils of the Carajás Mineral Province, southeast of the Amazonian Craton. Environ. Monit. Assess. 2020, 192, 649. [Google Scholar] [CrossRef]
- Fernandes, A.R.; Souza, E.S.; Souza Braz, A.M.; Birani, S.M.; Alleoni, L.R.F. Quality reference values and background concentrations of potentially toxic elements in soils from the Eastern Amazon, Brazil. J. Geochem. Explor. 2018, 190, 453–463. [Google Scholar] [CrossRef]





| Element | Do the Samples from BD and CB Have Similar Distribution? (p-Values of the MWW Test) | Element | Do the Samples from BD and CB Have Similar Distribution? (p-Values of the MWW Test) | ||
|---|---|---|---|---|---|
| Surface Soils | Stream Sediments | Surface Soils | Stream Sediments | ||
| Fe | 0.40 | Hg | 0.22 | 0.21 | |
| Al | 0.13 | 0.46 | Mn | 0.12 | |
| Ag | 0.18 | 0.37 | Mo | 0.29 | |
| As | 0.37 | 0.43 | Ni | 0.09 | 0.90 |
| B | 0.12 | Pb | 0.09 | ||
| Ba | 0.93 | Sb | 0.50 | ||
| Bi | 0.75 | 0.50 | Se | 0.92 | |
| Cd | 0.59 | Sn | 0.43 | 0.74 | |
| Co | 0.20 | U | 0.29 | ||
| Cr | 0.88 | 0.13 | V | 0.30 | 0.07 |
| Cu | Zn | 0.80 | 0.86 | ||
| Element | Region | Surface Soil | Stream Sediments | ||||||||||
|---|---|---|---|---|---|---|---|---|---|---|---|---|---|
| LLD (% < LLD) | Mean | SD | Min | Med | Max | LLD (% < LLD) | Mean | SD | Min | Med | Max | ||
| Fe | PB * | 0.01 (0) | 4.96 | 5.82 | 0.3 | 2.71 | 29.6 | 0.01 (0) | 4.01 | 5.17 | 0.42 | 1.98 | 35.4 |
| NPB | 0.01 (0) | 6.95 | 6.60 | 0.32 | 4.75 | 29.6 | 0.01 (0) | 5.48 | 5.92 | 0.68 | 3.5 | 35.4 | |
| SPB | 0.01 (0) | 1.84 | 1.63 | 0.3 | 1.34 | 9.04 | 0.01 (0) | 1.34 | 0.81 | 0.42 | 1.16 | 4.79 | |
| Al | PB * | 0.01 (0) | 2.48 | 2.51 | 0.44 | 1.80 | 20.2 | 0.01 (0) | 1.14 | 0.84 | 0.12 | 0.87 | 4.17 |
| NPB | 0.01 (0) | 3.17 | 2.96 | 0.57 | 2.29 | 20.2 | 0.01 (0) | 1.37 | 0.91 | 0.19 | 1.11 | 4.17 | |
| SPB | 0.01 (0) | 1.40 | 0.66 | 0.44 | 1.26 | 4.06 | 0.01 (0) | 0.74 | 0.48 | 0.12 | 0.67 | 2.69 | |
| As | PB * | 0.1 (5.2) | 1.24 | 2.9 | <0.1 | 0.5 | 38.4 | 0.1 (10.1) | 0.66 | 1.00 | <0.1 | 0.3 | 7.9 |
| NPB | 0.1 (1.8) | 1.79 | 3.50 | <0.1 | 0.9 | 38.4 | 0.1 (3.3) | 0.90 | 1.17 | <0.1 | 0.5 | 7.9 | |
| SPB | 0.1 (10.6) | 0.37 | 0.82 | <0.1 | 0.2 | 7.5 | 0.1 (22.4) | 0.22 | 0.24 | <0.1 | 0.2 | 1.7 | |
| Co | PB * | 0.01 (0) | 10.71 | 22.6 | 0.2 | 2.9 | 237 | 0.01 (0) | 11.60 | 12.88 | 0.8 | 6.8 | 66.9 |
| NPB | 0.01 (0) | 12.24 | 25.98 | 0.2 | 3.3 | 237 | 0.01 (0) | 14.96 | 14.52 | 0.8 | 9.7 | 66.9 | |
| SPB | 0.01 (0) | 8.27 | 15.69 | 0.3 | 2.3 | 97.5 | 0.01 (0) | 5.49 | 5.21 | 0.9 | 3.3 | 26.8 | |
| Cr | PB * | 1 (0) | 82.34 | 296.3 | 2 | 31 | 3970 | 1 (0) | 58.38 | 196.57 | 4 | 30 | 2630 |
| NPB | 1 (0) | 114.35 | 371.76 | 2 | 44 | 3970 | 1 (0) | 75.83 | 241.32 | 4 | 37.5 | 2630 | |
| SPB | 1 (0) | 32.63 | 65.82 | 2 | 12 | 612 | 1 (0) | 26.61 | 41.41 | 4 | 15 | 294 | |
| Cu | PB * | 0.2 (0) | 48.88 | 79 | 0.5 | 21.8 | 726 | 0.2 (0) | 48.92 | 73.69 | 1.4 | 20 | 556 |
| NPB | 0.2 (0) | 66.36 | 90.89 | 1.7 | 34.9 | 726 | 0.2 (0) | 71.55 | 83.32 | 2.6 | 41.65 | 556 | |
| SPB | 0.2 (0) | 21.39 | 42.75 | 0.5 | 8.7 | 438 | 0.2 (0) | 7.73 | 8.49 | 1.4 | 5.2 | 47.4 | |
| Hg | PB * | 0.01 (0) | 0.1 | 0.1 | 0.02 | 0.07 | 0.54 | 0.01 (9.0) | 0.03 | 0.03 | <0.01 | 0.02 | 0.14 |
| NPB | 0.01 (0) | 0.13 | 0.08 | 0.02 | 0.11 | 0.54 | 0.01 (5.7) | 0.04 | 0.03 | <0.01 | 0.03 | 0.14 | |
| SPB | 0.01 (0) | 0.05 | 0.02 | 0.02 | 0.05 | 0.11 | 0.01 (14.9) | 0.02 | 0.01 | <0.01 | 0.01 | 0.08 | |
| Mn | PB * | 5 (0) | 606.2 | 941.5 | 13 | 308 | 8590 | 5 (0) | 826.32 | 933.84 | 69 | 547 | 6420 |
| NPB | 5 (0) | 710.33 | 1136.67 | 27 | 318 | 8590 | 5 (0) | 950.10 | 1050.42 | 74 | 609.5 | 6420 | |
| SPB | 5 (0) | 440.04 | 453.61 | 13 | 300 | 2970 | 5 (0) | 600.94 | 617.48 | 69 | 428 | 3270 | |
| Mo | PB * | 0.05 (0.5) | 0.85 | 0.9 | <0.05 | 0.48 | 6.34 | 0.05 (0) | 0.57 | 0.60 | 0.06 | 0.36 | 3.49 |
| NPB | 0.05 (0) | 1.16 | 1.02 | 0.06 | 0.84 | 6.34 | 0.05 (0) | 0.75 | 0.68 | 0.11 | 0.545 | 3.49 | |
| SPB | 0.05 (1.4) | 0.36 | 0.35 | 0.025 | 0.26 | 2.17 | 0.05 (0) | 0.24 | 0.13 | 0.06 | 0.23 | 0.76 | |
| Ni | PB * | 0.2 (0) | 21.47 | 87.8 | 0.7 | 6.3 | 1260 | 0.2 (0) | 15.73 | 32.24 | 1.1 | 6.9 | 273 |
| NPB | 0.2 (0) | 28.20 | 110.36 | 0.8 | 8.3 | 1260 | 0.2 (0) | 20.95 | 38.76 | 1.2 | 9.7 | 273 | |
| SPB | 0.2 (0) | 10.89 | 22.43 | 0.7 | 4.6 | 220 | 0.2 (0) | 6.21 | 7.97 | 1.1 | 4.2 | 47.1 | |
| V | PB * | 1 (0) | 81.09 | 87.3 | 1 | 43 | 435 | 1 (0) | 50.37 | 57.18 | 2 | 29 | 410 |
| NPB | 1 (0) | 111.46 | 93.79 | 4 | 89 | 435 | 1 (0) | 68.57 | 63.63 | 2 | 43 | 410 | |
| SPB | 1 (0) | 33.90 | 45.80 | 1 | 18 | 369 | 1 (0) | 17.22 | 12.81 | 4 | 14 | 75 | |
| Zn | PB * | 2 (0.5) | 22.35 | 25.7 | <2 | 16 | 202 | 2 (0) | 30.04 | 40.99 | 3 | 19 | 304 |
| NPB | 2 (0.9) | 23.52 | 30.92 | <2 | 14 | 202 | 2 (0) | 39.28 | 48.40 | 3 | 24 | 304 | |
| SPB | 2 (0) | 20.53 | 13.95 | 4 | 18 | 120 | 2 (0) | 13.22 | 6.80 | 4 | 13 | 40 | |
| Element | Regions | Geochemical Threshold in Surface Soil | Soil Guidelines | Geochemical Threshold in Stream Sediments | Stream Sediment Guidelines | ||||||||
|---|---|---|---|---|---|---|---|---|---|---|---|---|---|
| MMAD | TIF | P98 | P95 | QRV b | PGV c | MMAD | TIF | P98 | P95 | L1 d | L2 d | ||
| Fe | PB a | 25.7 | 58.21 | 24.55 | 18.2 | 12.02 | 29.51 | 17.76 | 12.94 | ||||
| NPB | 34.24 | 68.63 | 27.51 | 22.65 | 22.93 | 42.89 | 26.74 | 16.73 | |||||
| SPB | 6.93 | 12.24 | 6.92 | 5.99 | 3.54 | 5.20 | 3.74 | 2.88 | |||||
| Al | PB a | 5.62 | 8.51 | 11.22 | 8.32 | ⯅ | ⯅ | 3.32 | 2.76 | ||||
| NPB | 6.51 | 8.89 | 12.45 | 10.57 | 6.25 | 10.72 | 3.44 | 3.16 | |||||
| SPB | 3.34 | 4.74 | 3.05 | 2.65 | 2.87 | 3.63 | 2.01 | 1.51 | |||||
| As | PB a | 7.2 | 14.1 | 7.2 | 4.5 | 2.4 | 4.6 | 3.9 | 2.4 | ||||
| NPB | 7.0 | 14.9 | 9.4 | 5.2 | 3.5 | 15 | 2.3 | 6.1 | 4.5 | 2.9 | 5.9 | 17 | |
| SPB | 1.6 | 3.2 | 1.1 | 0.6 | 1.6 | 1.6 | 0.8 | 0.5 | |||||
| Co | PB a | 69.2 | 201.8 | 79.4 | 47.9 | ⯅ | ⯅ | 51.4 | 42.5 | ||||
| NPB | 96.4 | 284.9 | 96.5 | 48.9 | 13 | 25 | 93.2 | 190.1 | 52.2 | 48.3 | |||
| SPB | 35.7 | 91.7 | 64.5 | 37.0 | 16.7 | 39.6 | 18.3 | 16.3 | |||||
| Cr | PB a | 562 | 1413 | 468 | 191 | 191 | 331 | 275 | 138 | ||||
| NPB | 564 | 1401 | 661 | 254 | 40 | 75 | 160 | 277 | 348 | 139 | 37.3 | 90 | |
| SPB | 161 | 529 | 204 | 117 | 68 | 121 | 134 | 89 | |||||
| Cu | PB a | 398.1 | 1216.2 | 275.4 | 162.2 | 512.9 | ⯅ | 288.5 | 177.0 | ||||
| NPB | 365.9 | 926.3 | 302.7 | 223.7 | 35 | 60 | 482.4 | 1223.9 | 306.0 | 190.5 | 35.7 | 197 | |
| SPB | 72.7 | 203.1 | 101.9 | 70.7 | 20.0 | 35.1 | 37.8 | 22.8 | |||||
| Hg | PB a | 0.16 | ⯅ | 0.13 | 0.10 | ||||||||
| NPB | 0.40 | 0.55 | 0.32 | 0.27 | 0.05 | 0.5 | 0.23 | 0.31 | 0.13 | 0.11 | 0.17 | 0.486 | |
| SPB | 0.14 | 0.25 | 0.10 | 0.09 | 0.08 | 0.06 | 0.06 | 0.04 | |||||
| Mn | PB a | 3890 | 8810 | 2884 | 1995 | 3548 | 6383 | 3387 | 2564 | ||||
| NPB | 4835 | 14,783 | 3908 | 2359 | 4503 | 8660 | 3732 | 3117 | |||||
| SPB | 2538 | 5083 | 1793 | 1250 | 3079 | 4643 | 2766 | 1839 | |||||
| Mo | PB a | 4.79 | 10.59 | 3.31 | 2.88 | 1.95 | ⯅ | 2.92 | 1.69 | ||||
| NPB | 6.11 | 11.43 | 3.60 | 3.14 | <4 | 30 | 2.82 | 4.63 | 3.02 | 2.36 | |||
| SPB | 1.10 | 1.58 | 1.70 | 0.99 | 0.73 | 1.02 | 0.51 | 0.46 | |||||
| Ni | PB a | 60.3 | 142.9 | 107.2 | 52.5 | 45.7 | 88.1 | 100.3 | 46.8 | ||||
| NPB | 98.8 | 173.0 | 174.2 | 64.1 | 13 | 30 | 56.4 | 127.0 | 137.3 | 71.0 | 18 | 35.9 | |
| SPB | 32.6 | 80.0 | 78.7 | 33.5 | 12.6 | 19.5 | 36.4 | 17.5 | |||||
| V | PB a | 891 | 2512 | 331 | 269 | 234 | ⯅ | 188 | 162 | ||||
| NPB | 769 | 1831 | 344 | 284 | 360 | 931 | 239 | 183 | |||||
| SPB | 141 | 288 | 160 | 121 | 61 | 112 | 47 | 40 | |||||
| Zn | PB a | 63 | 89 | 115 | 65 | 60 | 88 | 27 | 18 | ||||
| NPB | 53 | 84 | 144 | 74 | 60 | 300 | 83 | 169 | 216 | 114 | 123 | 315 | |
| SPB | 54 | 75 | 55 | 43 | 47 | 55 | 27 | 24 | |||||
Publisher’s Note: MDPI stays neutral with regard to jurisdictional claims in published maps and institutional affiliations. |
© 2021 by the authors. Licensee MDPI, Basel, Switzerland. This article is an open access article distributed under the terms and conditions of the Creative Commons Attribution (CC BY) license (http://creativecommons.org/licenses/by/4.0/).
Share and Cite
Salomão, G.N.; Farias, D.d.L.; Sahoo, P.K.; Dall’Agnol, R.; Sarkar, D. Integrated Geochemical Assessment of Soils and Stream Sediments to Evaluate Source-Sink Relationships and Background Variations in the Parauapebas River Basin, Eastern Amazon. Soil Syst. 2021, 5, 21. https://doi.org/10.3390/soilsystems5010021
Salomão GN, Farias DdL, Sahoo PK, Dall’Agnol R, Sarkar D. Integrated Geochemical Assessment of Soils and Stream Sediments to Evaluate Source-Sink Relationships and Background Variations in the Parauapebas River Basin, Eastern Amazon. Soil Systems. 2021; 5(1):21. https://doi.org/10.3390/soilsystems5010021
Chicago/Turabian StyleSalomão, Gabriel Negreiros, Danielle de Lima Farias, Prafulla Kumar Sahoo, Roberto Dall’Agnol, and Dibyendu Sarkar. 2021. "Integrated Geochemical Assessment of Soils and Stream Sediments to Evaluate Source-Sink Relationships and Background Variations in the Parauapebas River Basin, Eastern Amazon" Soil Systems 5, no. 1: 21. https://doi.org/10.3390/soilsystems5010021
APA StyleSalomão, G. N., Farias, D. d. L., Sahoo, P. K., Dall’Agnol, R., & Sarkar, D. (2021). Integrated Geochemical Assessment of Soils and Stream Sediments to Evaluate Source-Sink Relationships and Background Variations in the Parauapebas River Basin, Eastern Amazon. Soil Systems, 5(1), 21. https://doi.org/10.3390/soilsystems5010021

