Studies on Improving Seals for Enhancing the Vibration and Environmental Safety of Rotary Machines
Abstract
1. Introduction
2. Materials and Methods
2.1. Model of the Gap Seal
2.2. Radial Forces and Moments in Gap Seals
3. Results
3.1. Model of the Hydromechanical System with “Rotor-Slotted Seals”
3.2. Joint Radial–Angular Oscillations of the Rotor in Gap Seals
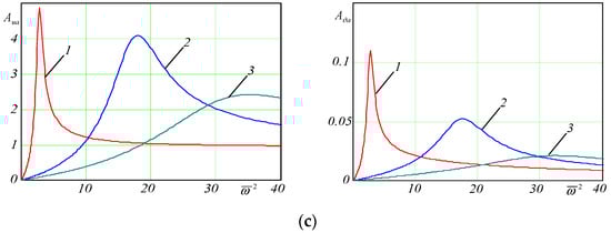
3.3. Frequency Responses and Dynamic Stability
4. Discussion
5. Gap Seals for Energy Pumps
6. Conclusions
Author Contributions
Funding
Data Availability Statement
Conflicts of Interest
Abbreviations
| Symbols and Units | ||
| a | the eccentricity of the mass center | m |
| aij | parameters of the gap seals | - |
| bi | coefficients of total radial moments | |
| E | the isothermal volumetric module of the sealed medium elasticity | Pa, N/m2 |
| F | hydrodynamic forces arising in the sealing gap | N |
| H | mean radial clearance of gap seal | m |
| M | hydrodynamic moments arising in the sealing gap | Nm |
| p(z, φ) | gap pressure | Pa, N/m2 |
| pn | nominal discharge pressure | Pa, N/m2 |
| radial component of amplitude and complex amplitude of forced vibrations | ||
| Ui, Vi | real and imaginary parts of differential operators | |
| w | gap fluid flow rate | m/s |
| x, y | radial vibrations of the rotor | m |
| αi | coefficients of hydrodynamic forces depending on the angular oscillations of the rotor | |
| βi | coefficients of hydrodynamic moments depending on the radial oscillations of the rotor | |
| angular component of the amplitude and complex amplitude of forced oscillations | ||
| θ0, θ0* | taper parameter of the annular channel and its critical value | |
| ϑ2 | mean radial taper | rad |
| ϑx, ϑy | rotor angular oscillations | rad |
| ω | rotor speed | s−1 |
| Ωu0 | the bending stiffness of a shaft | N/m |
References
- Radchenko, M.; Radchenko, A.; Trushliakov, E.; Pavlenko, A.M.; Radchenko, R. Advanced method of variable refrigerant flow (VRF) systems designing to forecast on site operation—Part 1: General approaches and criteria. Energies 2023, 16, 1381. [Google Scholar] [CrossRef]
- Radchenko, M.; Radchenko, A.; Trushliakov, E.; Koshlak, H.; Radchenko, R. Advanced method of variable refrigerant flow (VRF) systems designing to forecast on site operation—Part 2: Phenomenological simulation to recuperate refrigeration energy. Energies 2023, 16, 1922. [Google Scholar] [CrossRef]
- Radchenko, M.; Radchenko, A.; Trushliakov, E.; Pavlenko, A.; Radchenko, R. Advanced Method of Variable Refrigerant Flow (VRF) System Design to Forecast on Site Operation—Part 3: Optimal Solutions to Minimize Sizes. Energies 2023, 16, 2417. [Google Scholar] [CrossRef]
- Rodriguez-Aumente, P.A.; Rodriguez-Hidalgo, M.C.; Nogueira, J.I.; Lecuona, A.; Veneg, M.C. District heating and cooling for business buildings in Madrid. Appl. Therm. Eng. 2013, 50, 1496–1503. [Google Scholar] [CrossRef]
- Radchenko, N.; Trushliakov, E.; Radchenko, A.; Tsoy, A.; Shchesiuk, O. Methods to determine a design cooling capacity of ambient air conditioning systems in climatic conditions of Ukraine and Kazakhstan. AIP Conf. Proc. 2020, 2285, 030074. [Google Scholar]
- Ortiga, J.; Bruno, J.C.; Coronas, A. Operational optimization of a complex trigeneration system connected to a district heating and cooling network. Appl. Therm. Eng. 2013, 50, 1536–1542. [Google Scholar] [CrossRef]
- Radchenko, A.; Scurtu, I.-C.; Radchenko, M.; Forduy, S.; Zubarev, A. Monitoring the efficiency of cooling air at the inlet of gas engine in integrated energy system. Therm. Sci. 2022, 26, 185–194. [Google Scholar] [CrossRef]
- Radchenko, A.; Radchenko, M.; Koshlak, H.; Radchenko, R.; Forduy, S. Enhancing the efficiency of integrated energy system by redistribution of heat based of monitoring data. Energies 2022, 15, 8774. [Google Scholar] [CrossRef]
- Radchenko, A.; Radchenko, M.; Mikielewicz, D.; Pavlenko, A.; Radchenko, R.; Forduy, S. Energy saving in trigeneration plant for food industries. Energies 2022, 15, 1163. [Google Scholar] [CrossRef]
- Radchenko, R.; Radchenko, N.; Tsoy, A.; Forduy, S.; Zybarev, A.; Kalinichenko, I. Utilizing the heat of gas module by an absorption lithium-bromide chiller with an ejector booster stage. AIP Conf. Proc. 2020, 2285, 030084. [Google Scholar]
- Forduy, S.; Radchenko, A.; Kuczynski, W.; Zubarev, A.; Konovalov, D. Enhancing the fuel efficiency of gas engines in integrated energy system by chilling cyclic air. In Advanced Manufacturing Processes, Proceedings of the Grabchenko’s International Conference, Odessa, Ukraine, 10–13 September 2019; Tonkonogyi, V., Ivanov, V., Trojanowska, J., Oborskyi, G., Edl, M., Kuric, I., Pavlenko, I., Dasic, P., Eds.; InterPartner-2019. Lecture Notes in Mechanical Engineering; Springer: Cham, Switzerland, 2020; pp. 500–509. [Google Scholar] [CrossRef]
- Freschi, F.; Giaccone, L.; Lazzeroni, P.; Repetto, M. Economic and environmental analysis of a trigeneration system for food-industry: A case study. Appl. Energy 2013, 107, 157–172. [Google Scholar] [CrossRef]
- Radchenko, M.; Yang, Z.; Pavlenko, A.; Radchenko, A.; Radchenko, R.; Koshlak, H.; Bao, G. Increasing the Efficiency of Turbine Inlet Air Cooling in Climatic Conditions of China through Rational Designing—Part 1: A Case Study for Subtropical Climate: General Approaches and Criteria. Energies 2023, 16, 6105. [Google Scholar] [CrossRef]
- Radchenko, M.; Radchenko, A.; Mikielewicz, D.; Radchenko, R.; Andreev, A. A novel degree-hour method for rational design loading. Proc. Inst. Mech. Eng. Part A J. Power Energy 2022, 237, 570–579. [Google Scholar] [CrossRef]
- Wojs, M.K.; Orliński, P.; Kamela, W.; Kruczyński, P. Research on the influence of ozone dissolved in the fuel-water emulsion on the parameters of the CI engine. In IOP Conference Series: Materials Science and Engineering; IOPscience: Bristol, UK, 2016; Volume 148, pp. 1–8. [Google Scholar]
- Kornienko, V.; Radchenko, R.; Radchenko, M.; Radchenko, A.; Pavlenko, A.; Konovalov, D. Cooling cyclic air of marine engine with water-fuel emulsion combustion by exhaust heat recovery chiller. Energies 2022, 15, 248. [Google Scholar] [CrossRef]
- Shu, G.; Liang, Y.; Wei, H.; Tian, H.; Zhao, J.; Liu, L. A review of waste heat recovery on two-stroke IC engine aboard ships. Renew. Sustain. Energy Rev. 2013, 19, 385–401. [Google Scholar] [CrossRef]
- Yang, Z.; Korobko, V.; Radchenko, M.; Radchenko, R. Improving thermoacoustic low temperature heat recovery systems. Sustainability 2022, 14, 12306. [Google Scholar] [CrossRef]
- Serbin, S.; Radchenko, M.; Pavlenko, A.; Burunsuz, K.; Radchenko, A.; Chen, D. Improving Ecological Efficiency of Gas Turbine Power System by Combusting Hydrogen and Hydrogen-Natural Gas Mixtures. Energies 2023, 16, 3618. [Google Scholar] [CrossRef]
- Konovalov, D.; Tolstorebrov, I.; Eikevik, T.M.; Kobalava, H.; Radchenko, M.; Hafner, A.; Radchenko, A. Recent Developments in Cooling Systems and Cooling Management for Electric Motors. Energies 2023, 16, 7006. [Google Scholar] [CrossRef]
- Yang, Z.; Kornienko, V.; Radchenko, M.; Radchenko, A.; Radchenko, R. Research of Exhaust Gas Boiler Heat Exchange Surfaces with Reduced Corrosion when Water-fuel Emulsion Combustion. Sustainability 2022, 14, 11927. [Google Scholar] [CrossRef]
- Kornienko, V.; Radchenko, R.; Bohdal, T.; Radchenko, M.; Andreev, A. Thermal characteristics of the wet pollution layer on condensing heating surfaces of exhaust gas boilers. In Advances in Design, Simulation and Manufacturing IV; DSMIE 2021. Lecture Notes in Mechanical Engineering; Ivanov, V., Pavlenko, I., Liaposhchenko, O., Machado, J., Edl, M., Eds.; Springer: Cham, Switzerland, 2021; pp. 339–348. [Google Scholar] [CrossRef]
- Kornienko, V.; Radchenko, M.; Radchenko, A.; Koshlak, H.; Radchenko, R. Enhancing the Fuel Efficiency of Cogeneration Plants by Fuel Oil Afterburning in Exhaust Gas before Boilers. Energies 2023, 16, 6743. [Google Scholar] [CrossRef]
- Kuznetsov, V.; Dymo, B.; Kuznetsova, S.; Bondarenko, M. Improvement of the cargo fleet vessels power plants eco-logical indexes by development of the exhaust gas systems. Pol. Marit. Res. 2021, 28, 97–104. [Google Scholar] [CrossRef]
- Radchenko, A.; Radchenko, N.; Tsoy, A.; Portnoi, B.; Kantor, S. Increasing the efficiency of gas turbine inlet air cooling in actual climatic conditions of Kazakhstan and Ukraine. AIP Conf. Proc. 2020, 2285, 030071. [Google Scholar]
- Espirito Santo, D.B. Energy and exergy efficiency of a building internal combustion engine trigeneration system under two different operational strategies. Energy Build. 2012, 53, 28–38. [Google Scholar] [CrossRef]
- Konovalov, D.; Kobalava, H.; Radchenko, M.; Løvås, T.; Pavlenko, A.; Radchenko, R.; Radchenko, A. Experimental study of dispersed flow in the thermopressor of the intercooling system for marine and stationary power plants compressors. Bull. Pol. Acad. Sci. Tech. Sci. 2024, 71, 148439. [Google Scholar] [CrossRef]
- Mito, M.T.; Teamah, M.A.; El-Maghlany, W.M.; Shehata, A.I. Utilizing the scavenge air cooling in improving the performance of marine diesel engine waste heat recovery systems. Energy 2018, 142, 264–276. [Google Scholar] [CrossRef]
- Amin, K.A.; ElHelw, M.; Elsamni, O.A. Modeling the Intercooling of a Multi-stage Compression in Gas Turbines Using Absorption Chiller. In Proceedings of the 4th International Conference on Numerical Modelling in Engineering, Ghent, Belgium, 24–25 August 2021; Lecture Notes in Mechanical Engineering. Abdel Wahab, M., Ed.; Springer: Singapore, 2022; pp. 101–119. [Google Scholar]
- Popli, S.; Rodgers, P.; Eveloy, V. Gas turbine efficiency enhancement using waste heat powered absorption chillers in the oil and gas industry. Appl. Therm. Eng. 2013, 50, 918–931. [Google Scholar] [CrossRef]
- do Espirito Santo, D.B.; Gallo, W.L.R. Utilizing primary energy savings and exergy destruction to compare centralized thermal plants and cogeneration/trigeneration systems. Energy 2017, 120, 785–795. [Google Scholar] [CrossRef]
- Yang, Z.; Konovalov, D.; Radchenko, M.; Radchenko, R.; Kobalava, H.; Radchenko, A.; Kornienko, V. Analyzing the efficiency of thermopressor application for combustion engine cyclic air cooling. Energies 2022, 15, 2250. [Google Scholar] [CrossRef]
- Yu, Z.; Løvås, T.; Konovalov, D.; Trushliakov, E.; Radchenko, M.; Kobalava, H.; Radchenko, R.; Radchenko, A. Investigation of thermopressor with incomplete evaporation for gas turbine intercooling systems. Energies 2023, 16, 20. [Google Scholar] [CrossRef]
- Konovalov, D.; Radchenko, M.; Kobalava, H.; Kornienko, V.; Maksymov, V.; Radchenko, A.; Radchenko, R. Research of characteristics of the flow part of an aerothermopressor for gas turbine intercooling air. Proc. Inst. Mech. Eng. Part A J. Power Energy 2021, 236, 634–646. [Google Scholar] [CrossRef]
- Yang, Z.; Radchenko, M.; Radchenko, A.; Mikielewicz, D.; Radchenko, R. Gas turbine intake air hybrid cooling systems and a new approach to their rational designing. Energies 2022, 15, 1474. [Google Scholar] [CrossRef]
- Radchenko, R.; Radchenko, A.; Serbin, S.; Kantor, S.; Portnoi, B. Gas turbine unite inlet air cooling by using an excessive refrigeration capacity of absorption-ejector chiller in booster air cooler. E3S Web Conf. 2018, 70, 03012. [Google Scholar] [CrossRef]
- Radchenko, M.; Radchenko, A.; Radchenko, R.; Kantor, S.; Konovalov, D.; Kornienko, V. Rational loads of turbine inlet air absorption-ejector cooling systems. Proc. Inst. Mech. Eng. Part A J. Power Energy 2021, 236, 450–462. [Google Scholar] [CrossRef]
- Chodór, J.; Kukiełka, L.; Chomka, G.; Bohdal, Ł.; Patyk, R.; Kowalik, M.; Trzepieci’nski, T.; Radchenko, A. Using the FEM Method in the Prediction of Stress and Deformation in the Processing Zone of an Elastic/Visco-Plastic Material during Diamond Sliding Burnishing. Appl. Sci. 2023, 13, 1963. [Google Scholar] [CrossRef]
- Radchenko, M.; Portnoi, B.; Kantor, S.; Forduy, S.; Konovalov, D. Rational Thermal Loading the Engine Inlet Air Chilling Complex with Cooling Towers. In Advanced Manufacturing Processes II. InterPartner 2020; Lecture Notes in Mechanical Engineering; Springer: Cham, Switzerland, 2021; pp. 724–733. [Google Scholar]
- Kruzel, M.; Bohdal, T.; Dutkowski, K.; Radchenko, M. The Effect of Microencapsulated PCM Slurry Coolant on the Efficiency of a Shell and Tube Heat Exchanger. Energies 2022, 15, 5142. [Google Scholar] [CrossRef]
- Radchenko, N.I. On reducing the size of liquid separators for injector circulation plate freezers. Int. J. Refrig. 1985, 8, 267–269. [Google Scholar] [CrossRef]
- Radchenko, N. A concept of the design and operation of heat exchangers with change of phase. Arch. Thermodyn. 2004, 4, 3–19. [Google Scholar]
- Pavlenko, A.M.; Koshlak, H. Application of Thermal and Cavitation Effects for Heat and Mass Transfer Process Intensification in Multicomponent Liquid Media. Energies 2021, 14, 7996. [Google Scholar] [CrossRef]
- Pavlenko, A. Change of emulsion structure during heating and boiling. Int. J. Energy A Clean Environ. 2019, 20, 291–302. [Google Scholar] [CrossRef]
- Pavlenko, A. Energy conversion in heat and mass transfer processes in boiling emulsions. Therm. Sci. Eng. Prog. 2020, 15, 100439. [Google Scholar] [CrossRef]
- Radchenko, N.; Radchenko, A.; Tsoy, A.; Mikielewicz, D.; Kantor, S.; Tkachenko, V. Improving the efficiency of railway conditioners in actual climatic conditions of operation. AIP Conf. Proc. 2020, 2285, 030072. [Google Scholar] [CrossRef]
- Radchenko, A.; Radchenko, M.; Trushliakov, E.; Kantor, S.; Tkachenko, V. Statistical Method to Define Rational Heat Loads on Railway Air Conditioning System for Changeable Climatic Conditions. In Proceedings of the 5th International Conference on Systems and Informatics, ICSAI 2018, Nanjing, China, 10–12 November 2018; pp. 1294–1298. [Google Scholar] [CrossRef]
- Yang, Z.; Radchenko, R.; Radchenko, M.; Radchenko, A.; Kornienko, V. Cooling potential of ship engine intake air cooling and its realization on the route line. Sustainability 2022, 14, 15058. [Google Scholar] [CrossRef]
- Radchenko, R.; Kornienko, V.; Pyrysunko, M.; Bogdanov, M.; Andreev, A. Enhancing the Efficiency of Marine Diesel Engine by Deep Waste Heat Recovery on the Base of Its Simulation Along the Route Line. In Integrated Computer Technologies in Mechanical Engineering (ICTM 2019); Advances in Intelligent Systems and Computing; Nechyporuk, M., Pavlikov, V., Kritskiy, D., Eds.; Springer: Cham, Switzerland, 2020; pp. 337–350. [Google Scholar] [CrossRef]
- Yang, Z.; Kornienko, V.; Radchenko, M.; Radchenko, A.; Radchenko, R.; Pavlenko, A. Capture of pollutants from exhaust gases by low-temperature heating surfaces. Energies 2022, 15, 120. [Google Scholar] [CrossRef]
- Daly, J. Mechanical seals reach 660 MW mark in European Boiler—Feed pump service. Power 1980, 124, 41–45. [Google Scholar]
- Krevsun, E. End Sealers of Rotating Shafts; Arty-Flex: Minsk, Belarus, 1998; 148p. [Google Scholar]
- Marcinkowski, W.; Korczak, A.; Peczkis, G. Dynamics of the rotating assembly of a multistage centrifugal pump with a relief disc. Kielce University of Technology. Terotechnology 2009, 10, 245–263. [Google Scholar]
- Martsinkovsky, V. Hermomechanics, its role in ensuring the efficiency and environmental friendliness of pumping and compressor equipment. Bull. Sumy State Univ. Ser. Tech. Sci. 2005, 1, 5–10. [Google Scholar]
- Martsynovskyi, V.A. Groove Seals: Theory and Practice; Sumy State University: Sumy, Ukraine, 2005; 416p. [Google Scholar]
- Boyko, M.; Kozubkova, M.; Kozdera, M.; Zavila, O. Investigation of the influence of radial grooves on the flow in an eccentrically deposited annulus using CFD numerical simulation. EPJ Web Conf. 2014, 67, 02009. [Google Scholar]
- Mueller, H.; Nau, B. Fluid Sealing Technology; Marcel Dekker Inc.: New York, NY, USA, 1998; 485p. [Google Scholar]
- Martsynovsky, V. Radial-Angular Oscillations of the Centrifugal Machine Rotor in the Groove Bearings-Seals. Proc. Mech. Kielc. 1995, 54, 247–259. [Google Scholar]
- Marzinkovski, V. Dynamic characteristics of gap seals. In vestigation and application of sealing elements. In XI Dichtungskollokuium; Vulkan-Verlag: Essen, Germany, 1999; pp. 251–261. [Google Scholar]
- Bai, C.; Zhang, H.; Xu, Q. Subharmonic resonance of a symmetric ball bearing-rotor system. Int. J. Non-Linear Mech. 2013, 50, 1–10. [Google Scholar] [CrossRef]
- Pavlenko, I.; Simonovskiy, V.; Pite’, J.; Demianenko, M. Dynamic Analysis of Centrifugal Machines Rotors with Combined Using 3D and 2D Finite Element Models; RAM-Verlag: Lüdenscheid, Germany, 2018; ISBN 978-3-942303-64-4. [Google Scholar]
- Pavlenko, I.; Simonovsky, V.I.; Pitel’, J.; Verbovyi, A.E.; Demianenko, M.M. Investigation of Critical Frequencies of the Centrifugal Compressor Rotor with Taking into Account Stiffness of Bearings and Seals. J. Eng. Sci. 2017, 4, C1–C6. [Google Scholar]
- Pavlenko, I.; Trojanowska, J.; Ivanov, V.; Liaposhchenko, O. Scientific and methodological approach for the identification of mathematical models of mechanical systems by using artificial neural networks. In Proceedings of the 3rd Conference on Innovation, Engineering and Entrepreneurship, Istanbul, Turkey, 21–23 June 2019; Regional HELIX 2018; Lecture Notes in Electrical Engineering. Volume 505, pp. 299–306. [Google Scholar]
- Pozovnyi, O.; Deineka, A.; Lisovenko, D. Calculation of Hydrostatic Forces of Multi-Gap Seals and Its Dependence on Shaft Displacement. Lect. Notes Mech. Eng. 2020, 10, 661–670. [Google Scholar]
- Pozovnyi, O.; Zahorulko, A.; Krmela, J.; Artyukhov, A.; Krmelová, V. Calculation of the Characteristics of the Multi-Gap Seal of the Centrifugal Pump, in Dependence on the Chambers’ Sizes. Manuf. Technol. 2020, 20, 361–367. [Google Scholar]
- Yashchenko, A.S.; Rudenko, A.A.; Simonovskiy, V.I.; Kozlov, O.M. Effect of Bearing Housings on Centrifugal Pump Rotor Dynamics. IOP Conf. Ser. Mater. Sci. Eng. 2017, 233, 012054. [Google Scholar] [CrossRef]
- Zhang, K.; Yang, Z. Identification of Load Categories in Rotor System Based on Vibration Analysis. Sensors 2017, 17, 1676. [Google Scholar] [CrossRef]
- Kundera, C.; Marcinkowski, W. The Effect of the Annular Seal Parameters on the Dynamics of the Rotor System. Int. J. Appl. Mech. Eng. 2010, 15, 719–730. [Google Scholar]
- Martsynovskyi, V.A. Dynamics of the Centrifugal Machine Rotors: Monograph; Sumy State University: Sumy, Ukraine, 2012; 562p. [Google Scholar]
- Bondarenko, G. On the Influence of Seals on the Dynamics of the Rotor of a High-Pressure Centrifugal Compressor. In Proceedings of the 10th International Scientific and Technical Conference, Sumy, Ukraine, 10–13 September 2002; Volume 3, pp. 250–251. [Google Scholar]
- Davidenko, A.; Boyarko, N.; Katsov, S. Improvement of Pumps of the CNS Type with the Use of Built-in Journal Bearings Operating on the Pumped Medium. In Proceedings of the XI International Scientific and Technical Conference, Sumy, Ukraine, 6–9 September 2005; pp. 59–69. [Google Scholar]
- Kim, S.H.; Ha, T.W. Prediction of Leakage and Rotordynamic Coefficients for the Circumferential-Groove-Pump Seal Using CFD Analysis. J. Mech. Sci. Technol. 2016, 30, 2037–2043. [Google Scholar] [CrossRef]
- Korczak, A.; Marcinkowski, W.; Peczkis, G. Wpływ Szczelin Uszczelniających Na Dynamikę Zespołu Wirującego Pompy Odśrodkowej. Politech. Śląska Pr. Nauk. 2007, 18, 161–170. [Google Scholar]
- Marcinkowski, W.; Kundera, C. Teoria Konstrukcji Uszczelnien Bezstykowych; Wydawnictwo Politechniki Świętokrzyskiej: Kielce, Poland, 2008; 443p. [Google Scholar]
- Wang, T.; Wang, F.; Bai, H.; Cui, H. Stiffness and Critical Speed Calculation of Magnetic Bearing-Rotor System Based on FEA. In Proceedings of the 2008 International Conference on Electrical Machines and Systems, Wuhan, China, 17–20 October 2008; pp. 575–578. [Google Scholar]
- Pavlenko, I.; Simonovskiy, V.I.; Demianenko, M.M. Dynamic Analysis of Centrifugal Machines Rotors Supported on Ball Bearings by Combined Application of 3D and Beam Finite Element Models. IOP Conf. Ser. Mater. Sci. Eng. 2017, 233, 012053. [Google Scholar] [CrossRef]
- Djaidir, B.; Hafaifa, A.; Kouzou, A. Faults Detection in Gas Turbine Rotor Using Vibration Analysis under Varying Conditions. J. Theor. Appl. Mech. 2017, 55, 393–406. [Google Scholar] [CrossRef]
- Villa, C.; Sinou, J.-J.; Thouverez, F. Stability and Vibration Analysis of a Complex Flexible Rotor Bearing System. Commun. Nonlinear Sci. Numer. Simul. 2008, 13, 804–821. [Google Scholar] [CrossRef]
- Simonovskiy, V. Refinement of Mathematical Models of Oscillatory Systems according to Experimental Data: Monograph; Sumy State University: Sumy, Ukraine, 2010. [Google Scholar]
- Shalapko, D.; Radchenko, M.; Pavlenko, A.; Radchenko, R.; Radchenko, A.; Pyrysunko, M. Advanced fuel system with gaseous hydrogen additives. Bull. Pol. Acad. Sci. Tech. Sci. 2024, 72, 148837. [Google Scholar] [CrossRef]
- Shevchenko, S. Mathematical modeling of centrifugal machines rotors seals for the purpose of assessing their influence on dynamic characteristics. Math. Model. Comput. 2021, 8, 422–431. [Google Scholar] [CrossRef]
- Shevchenko, S.; Shevchenko, O. Improvement of Reliability and Ecological Safety of NPP Reactor Coolant Pump Seals. Nucl. Radiat. Safety. 2020, 4, 47–55. [Google Scholar] [CrossRef] [PubMed]
- Shevchenko, S.S.; Shevchenko, O.S.; Vynnychuk, S. Mathematical Modelling of Dynamic System Rotor-Groove Seals for the Purposes of Increasing the Vibration Reliability of NPP Pumps. Nucl. Radiat. Saf. 2021, 1, 80–87. [Google Scholar] [CrossRef] [PubMed]
- Gudkow, S.; Marcinkowski, W.; Korczak, A.; Kundera, C. Pompa Odśrodkowa z Wirnikiem Łożyskowanym w Szczelinach Uszczelniających. In Proceedings of the XIII International Scientific Technical Conference, Seals and Sealing Technology of Machines and Dewices, Wroclaw, Poland, 12 October 2013; pp. 178–187. [Google Scholar]
- Gadyaka, V.; Leikykh, D.; Simonovskiy, V. Phenomena of Stability Loss of Rotor Rotation at Tilting Pad Bearings. Procedia Eng. 2012, 39, 244–253. [Google Scholar] [CrossRef][Green Version]
- Simonovskiy, V.I. Evaluation of Coefficients of Mathematical Models for Oscillatory Systems; Lambert Academic Publishing: Saarbrücken, Germany, 2015; 100p. [Google Scholar]
- Ishida, Y.; Yamamoto, T. Linear and Nonlinear Rotordynamics: A Modern Treatment with Applications, 2nd ed.; Wiley Online Library: Hoboken, NJ, USA, 2012. [Google Scholar]
- Yu, Z.; Shevchenko, S.; Radchenko, M.; Shevchenko, O.; Radchenko, A. Methodology of Designing Sealing Systems for Highly Loaded Rotary Machines. Sustainability 2022, 14, 15828. [Google Scholar] [CrossRef]









Disclaimer/Publisher’s Note: The statements, opinions and data contained in all publications are solely those of the individual author(s) and contributor(s) and not of MDPI and/or the editor(s). MDPI and/or the editor(s) disclaim responsibility for any injury to people or property resulting from any ideas, methods, instructions or products referred to in the content. |
© 2024 by the authors. Licensee MDPI, Basel, Switzerland. This article is an open access article distributed under the terms and conditions of the Creative Commons Attribution (CC BY) license (https://creativecommons.org/licenses/by/4.0/).
Share and Cite
Yuan, Z.; Shevchenko, S.; Radchenko, M.; Shevchenko, O.; Pavlenko, A.; Radchenko, A.; Radchenko, R. Studies on Improving Seals for Enhancing the Vibration and Environmental Safety of Rotary Machines. Vibration 2024, 7, 776-790. https://doi.org/10.3390/vibration7030041
Yuan Z, Shevchenko S, Radchenko M, Shevchenko O, Pavlenko A, Radchenko A, Radchenko R. Studies on Improving Seals for Enhancing the Vibration and Environmental Safety of Rotary Machines. Vibration. 2024; 7(3):776-790. https://doi.org/10.3390/vibration7030041
Chicago/Turabian StyleYuan, Zhifei, Serhii Shevchenko, Mykola Radchenko, Oleksandr Shevchenko, Anatoliy Pavlenko, Andrii Radchenko, and Roman Radchenko. 2024. "Studies on Improving Seals for Enhancing the Vibration and Environmental Safety of Rotary Machines" Vibration 7, no. 3: 776-790. https://doi.org/10.3390/vibration7030041
APA StyleYuan, Z., Shevchenko, S., Radchenko, M., Shevchenko, O., Pavlenko, A., Radchenko, A., & Radchenko, R. (2024). Studies on Improving Seals for Enhancing the Vibration and Environmental Safety of Rotary Machines. Vibration, 7(3), 776-790. https://doi.org/10.3390/vibration7030041

