Abstract
The effectiveness of vibration-reducing (VR) gloves is conventionally assessed based on the vibration transmissibility of the gloves. This study proposed a method for analyzing and assessing the effectiveness of VR gloves based on how gloves affect the vibration power absorption (VPA) of the hand–arm system and its distribution. A model of the entire tool–handle–glove–hand–arm system was used to predict the VPA distributed in the glove and across the substructures of the hand–arm system. The ratio of the gloved-VPA and ungloved-VPA in each group of system substructures was calculated and used to quantify VR glove effectiveness, which was termed the VPA-based glove vibration transmissibility in this study. The VPA-based transmissibility values were compared with those determined using to-the-hand and on-the-hand methods. Three types of gloves (ordinary work glove, gel VR glove, and air bubble VR glove) were considered in the modeling analyses. This study made the following findings: the total VPA-based transmissibility spectrum exhibits some similarities with those determined using the other two methods; the VPA-based transmissibility for the wrist–forearm–elbow substructures is identical to that for the upper–arm–shoulder substructures in the model used in this study; each of them is equal to the square of the glove vibration transmissibility determined using the on-the-wrist method or on-the-upper-arm method; the other substructure-specific VPA-based transmissibility spectra exhibit some unique features; the effectiveness of a glove for reducing the overall VPA in the hand–arm system depends on the glove effectiveness for absorbing the vibration energy, which seems to be associated primarily with the glove cushioning materials; the glove may also help protect the fingers or hand by redistributing the VPA across the hand substructures; this redistribution seems to be primarily associated with the glove structural properties, especially the tightness of fit for the glove.
1. Introduction
Vibration-reducing (VR) gloves have been used to help control vibration exposures of the hand–arm system [1,2]. However, VR glove effectiveness remains an issue for further studies [3].
The major difference between ordinary gloves and VR gloves is that VR gloves have a layer of specially designed cushioning materials such as viscoelastic gels, foams, neoprene, air bladders, or air bubbles in the glove palm area so that they can isolate or reduce more vibration transmitted to the hand within a certain frequency range than ordinary gloves. Therefore, the effectiveness of VR gloves has been conventionally assessed based on the measurement of glove vibration transmissibility. Specifically, VR glove effectiveness has been assessed using two approaches: to-the-hand approach and on-the-hand approach [4]. The first approach measures the vibration transmitted through the glove at the glove–hand interface and that input to the glove; their ratio is defined as glove transmissibility (the magnitude of the transfer function). Depending on the location where the transmitted vibration is measured, it may be termed as a to-the-finger method or a to-the-palm method. An adapter equipped with an accelerometer is usually used to measure the transmitted vibration [5,6]. Hence, it may also be called the finger adapter method or the palm adapter method [5,7]. The palm adapter method has been adopted in the standard test for determining which VR gloves meet the requirements for classification as antivibration (AV) gloves [5]. The on-the-hand approach measures the vibrations on the dorsum of a finger or hand or on the skin of the wrist or arm substructures using a laser vibrometer or an accelerometer with and without wearing a glove; the ratio of the gloved and ungloved vibrations is used to assess VR glove effectiveness [8,9,10,11,12,13,14]. Theoretically, this vibration ratio is equivalent to the glove vibration transmissibility at the glove–hand interface [14,15], and it can be termed as equivalent glove vibration transmissibility. Depending on the location of the vibration measurement, the on-the-hand approach may be called the on-the-finger method, on-the-hand-dorsum method, etc.
In addition to its cushioning function, a glove may also increase or reduce the vibration responses of the hand–arm system through some other factors, which are termed as non-cushioning factors in this study. For example, the glove material wrapped around a finger or squeezed between two fingers may constrain the finger deformation and increase its stiffness, which may increase the finger natural frequency and change the finger vibration responses [15]. The use of a VR glove could also change the hand’s coefficient of friction, which may affect the hand forces applied to a tool in its operation; the changed hand forces may influence VR glove effectiveness [16]. While to-the-hand methods have been primarily used to measure the cushioning effectiveness of VR gloves at different locations on the glove–hand interface [4], on-the-hand methods can be used to assess the combined cushioning and non-cushioning effects on the vibration transmissibility at different locations on the hand–arm system [4,15].
These transmissibility methods are based on the conventional or standard approach for the measurement and assessment of hand-transmitted vibration (HTV) exposures [17]. Some researchers have proposed to use vibration power absorption (VPA) in the hand–arm system as an alternative measure to assess the risk of HTV exposures [18,19]. While their proposed total energy method has been demonstrated to be similar to the conventional or standard method [20,21], a substructure-specific energy method has been proposed to overcome deficiencies of the total energy method [20,22]. The local energy method has been further developed in a study on the theory of human vibration biodynamics [23]. According to the proposed theory, the local vibration stresses, strains, or power absorption density inside the tissues of the hand–arm system are closely associated with vibration injuries or health effects of the hand–arm system. Ideally, these detailed vibration responses should be quantified and used to assess the risk of HTV exposures. While it is practically difficult to measure the detailed responses, the average VPA or total VPA in the major substructures of the hand–arm system can be estimated using a lumped parameter model of the system calibrated using measurable response functions of the hand–arm system. A study has demonstrated that this approach could provide more reasonable risk assessments of HTV exposures [22]. These observations led to the proposed use of the local energy method to analyze and assess the effectiveness of VR gloves. Since this approach provides a new window to look at VR glove effectiveness, we further hypothesize that it may create some useful information to enhance the understanding of VR glove mechanisms and to help further improve their designs.
No one has applied the energy method to study VR glove effectiveness, and the specific methodology for the analysis and assessment has not been established. We have recently developed a model of the entire tool–glove–hand–arm system [15], which has laid a good foundation to formulate the local energy method for analyzing VR gloves. Hence, the specific aims of this study are as follows: (I) establish the energy method based on the reported model of the system; (II) identify and understand the basic characteristics of VR glove VPA and its effects on the VPA distributed across the hand–arm system; (III) compare the VPA assessments with vibration transmissibility assessments to identify their major differences; and (IV) enhance the understanding of glove cushioning functions and non-cushioning factors.
2. Materials and Methods
2.1. System Model
The model used in this study is illustrated in Figure 1, which was developed in a recent study [15]. It is a revision of the model reported before [4]. In addition to simulating the cushioning function of VR gloves, the revised model can also simulate non-cushioning factors that may affect the effectiveness of the gloves for reducing the hand-transmitted vibration. Briefly, the human hand–arm system was simulated using five lumped mass elements: M0 represents the effective mass of the upper arm and part of the shoulder; M1 represents the effective mass of the palm, wrist, and forearm; M2 represents the effective mass of the fingers grasping half a cylindrical handle; M3 represents the effective mass of the palm skin contacting the handle; and M4 represents the effective mass of the finger skin contacting the handle. These mass elements were connected with five sets of spring–damper elements: K0 and C0 connect the arm to the human body; K1 and C1 represent the flexibility between the forearm and upper arm; K2 and C2 represent the flexibility between the fingers and the remaining substructures of the hand; K3 and C3 represent the palm contact stiffness and damping value; and K4 and C4 represent the finger contact stiffness and damping values. An additional mass element (Ma) is considered to represent the mass of the accelerometer and its attachment and fastening system, which was used to measure the finger vibration responses with and without wearing a glove [15]. Ka and Ca represent its equivalent attachment stiffness and damping values, respectively.
Figure 1.
A lumped parameter model of the entire tool–handle–glove–hand–arm system used in this study and reported before [15].
As also shown in Figure 1, each glove was simulated using six lumped mass elements: Mg1 and Mg2 represent the glove mass lumped to the handle in the palm contact area and in the finger contact area, respectively; Mg3 and Mg4 represent the glove mass lumped to the human skin in the palm contact area (M3) and in the finger contact area (M4), respectively; Mg6 represents the mass of the glove fingers lumped to the major human finger mass element (M2); and Mg5 represents the remaining glove mass lumped to the remaining hand substructures (M1). The stiffness and damping properties of the glove were simulated using six sets of spring-damper elements: Kg1 and Cg1 represent the glove contact stiffness and damping values at the palm, respectively; Kg2 and Cg2 represent those at the fingers; Kg3 and Cg3 represent a part of the glove bending and compression stiffness and damping values between the human fingers and palm contact skins, respectively; Kg4 and Cg4 represent the remaining part of the glove bending and compression stiffness and damping values between the human fingers and the remaining hand substructures; Kg6 and Cg6 represent the equivalent stiffness and damping values between the handle and the non-contact areas of the fingers, which partially result from the glove materials squeezed between any two fingers, partially result from the finger skins in the non-contact areas, and partially result from the vibration friction between glove material and finger skins; similarly, Kg5 and Cg5 represent the equivalent stiffness and damping values connecting the handle with the non-contact areas of the remaining hand substructures.
The barehand/ungloved model used in this study is similar to that shown in Figure 1, except that the glove elements are eliminated and the finger and palm skin mass elements (M3 and M4) are rigidly attached to the handle represented by a lumped mass (MHandle). The handle is connected to the tool body (MTool) through a spring-damper pair (KHandle and CHandle), which represent the dynamic properties of the handle suspension. The vibration source is represented by an excitation force (FExcitation) acting on the tool body.
Table 1 lists the model parameters values used in this study. In addition to the barehand treatment, this study also considered three types of gloves (Glove 1, Glove 2, and Glove 3) in the simulations. Glove 1 is an ordinary work glove (weight: 42 g) with little cushioning function. It was considered for the analyses to find whether ordinary work gloves can reduce the vibration power absorption in some substructures of the hand–arm system. Glove 2 is a gel-filled VR glove (weight: 151 g), and Glove 3 is an air bubble-filled VR glove (weight: 60 g).
Table 1.
The model parameter values for four hand treatments (bare hand and wearing each of the three different gloves: Glove 1, Glove 2, and Glove 3) considered in this study, most of which were determined from a previous study [15].
Except for the tool parameters (MTool, MHandle, KHandle, CHandle) that were estimated in the current study, the other parameters listed in Table 1 were determined using a model calibration method in a previous study [15]. While the basic calibration procedures were the same as those used in the development of the original model [4], there were two changes in the new model calibration. The first was that more reference functions were included. In addition to the mechanical impedances at the fingers and palm of the hand, the glove vibration transmissibility spectra measured simultaneously at the fingers and palm of the hand were also used in the new model calibration. All these reference functions were measured in a recent study [7], using the same human subject postures, hand forces (30 N grip and 50 N push), and vibration direction (along the forearm direction or z-direction) as those required in the standard glove test [5]. The calibration reference functions also included the finger vibration response measured on the middle finger dorsum using a miniature accelerometer attached to the finger using a medical tape in an additional experiment [15], which was simulated by Ma in the model shown in Figure 1. The second change was that a portion of the hand parameters (K3, K4, C3, C4, Ka, Ca) listed in the table were allowed to change with each gloved hand treatment, because some non-cushioning factors of the glove may significantly affect those parameter values [15]. These two changes increased the goodness of the reference function fit in the model calibration [15].
2.2. Calculations of System Responses and Vibraton Transmissibility
The model shown in Figure 1 has eight degrees of freedom (u: uM0, uM1, uM2, uM3, uM4, uMa, uHandle, and uTool) corresponding to the eight mass elements. The Equations of motion of the model were written in a matrix form as follows:
where M is mass matrix, C is damping matrix, and K is stiffness matrix, u is coordinate vector, and F is force vector.
The amplitudes of the system vibration displacement responses (U: UM0, UM1, UM2, UM3, UM4, UMa, UHandle, and UTool) for each hand treatment were calculated using Equation (1) with the model parameters listed in Table 1 and an excitation force acting on the tool expressed as follows:
where , ω is angular frequency, and t is time.
FExcitation = 1 expjωt
Similarly, the amplitudes of the vibration displacement responses for the barehand model were also calculated. All the modeling programs used in this study were developed in MS Excel.
With the resulting displacement amplitudes from Equation (1), the vibration transfer function of each mass element (L) relative to the tool body for a hand treatment (H) was defined and calculated using the following formula:
where L = Handle (MHandle), Palm contact skin (M3), Fingers contact skin (M4), Fingers (M2), Finger accelerometer (Ma), Wrist (M1), Upper arm (M0), and H = Bare Hand (BH), Gloved Hand (GH).
TL-Tool_H = UL_H/UTool_H
The two glove vibration transfer functions determined using to-the-fingers and to-the-palm methods are usually measured relative to the handle in the gloved-hand treatment. Hence, they were defined and calculated using the following formulas:
TTo-the-fingers from handle = UM4_GH/UHandle_GH
TTo-the-palm from handle = UM3_GH/UHandle_GH.
The equivalent glove vibration transmissibility using the on-the-hand method is defined as follows:
TOn-L = UL_GH/UL_BH.
With the model parameters used in this study, the amplitude of the tool body displacement for a gloved-hand treatment (UTool_GH) was almost identical to that for the bare-hand treatment (UTool_BH) in the frequency range of interest (6.3 to 1250 Hz). Hence, the equivalent glove vibration transfer functions can also be estimated using the following formula:
TOn-L ≈ [UL_GH/UTool_GH]/[UL_BH/UTool_BH] = TOn-L_GH/TOn-L_BH.
Each transfer function was in a complex form. For the purpose of this study, its magnitude was calculated and used to represent the vibration transmissibility. Each transmissibility spectrum was expressed in the one-third octave bands from 6.3 to 1250 Hz.
2.3. Calculation of Vibration Power Absorption
The vibration power dissipated in each viscous damping element (Ck) at each frequency for a hand treatment (H) was calculated using the following formula:
where ∆V is the amplitude of relative velocity across the damping element, which was calculated using the relative displacement: ∆VH = |jω∙∆u_H|. For example, the vibration power dissipated in C1 in the bare-hand (BH) treatment at each frequency was calculated from:
PCk_H = Ck∙[∆VH]2,
Ck = C0, C1, C2, C3, C4, Ca, Cg1, Cg2, Cg3, Cg4, Cg5, Cg6, and CHandle
Ck = C0, C1, C2, C3, C4, Ca, Cg1, Cg2, Cg3, Cg4, Cg5, Cg6, and CHandle
PC1_BH = C1∙[|jω∙(u1−u0)BH|]2.
The total power absorption of the entire system was the sum of the distributed power absorption values:
The total power absorption of the glove–hand–arm system (without that of the tool) was calculated from:
PGlove-hand-arm_H = PTotal_H − PCHandle_H.
With such a lumped parameter model, it is very difficult to determine the precise distributions of the vibration power absorption, especially in the hand–arm system. As an approximation, the distributions were estimated as follows:
In finger contact area:
PFingers-contact_H = PC4_H + 0.5∙PCg6_H.
In palm contact area:
PPalm-contact_H = PC3_H + 0.5∙PCg5_H.
In remaining hand structures:
PRemaining-hand_H = PC2_H + PCa_H.
In the entire hand:
PHand_H = PFingers-contact_H + PPalm-contact_H + PRemaining-hand_H.
In the wrist–forearm–elbow:
PWrist-forearm-elbow_H = PC1_H.
In the upper–arm–shoulder:
PUpper-arm-shoulder_H = PC0_H.
In the entire hand–arm system:
PHand-arm_H = PHand_H + PWrist-forearm-elbow_H + PUpper-arm-shoulder_H.
In glove finger contact area:
PGlove-fingers-Contact = PCg2 + 0.5∙PCg6.
In glove palm contact area:
PGlove-palm-Contact = PCg1 + 0.5∙PCg5.
In remaining glove structures:
PRemaining-glove = PCg3 + PCg4.
In the entire glove:
PGlove = PGlove-fingers-Contact + PGlove-palm-Contact + PRemaining-glove.
These formulas were applied to calculate the power distributions for both gloved- and bare-hand treatments except that each Cg was set to zero when the bare-hand treatment was considered in the calculation or PGlove = 0 when H = Bare Hand.
The VPA distributed in the tool depends on the tool dynamic properties and its interactions with the hand–arm system. It may vary among different tools, and it is beyond the scope of this study to investigate these variations. On the other hand, the basic features or characteristics of the VPA distributions in the glove–hand–arm system are likely to show minimal variations with the change of tools. To find the basic characteristics of the VPA distributions, the percent of distributed VPAs relative to the total VPA in the glove–hand–arm system (PGlove-hand-arm_H) was calculated from:
%PS = 100∙PS_H/PGlove-hand-arm_H.
The ratio of the gloved- and ungloved absorption in each group of substructures (RS) was calculated and used to assess the effectiveness of each glove:
RS = PS_GH/PS_BH.
Similar to the glove vibration transmissibility determined using on-the-hand methods, such a ratio is also equivalent to glove vibration transmissibility. Hence, it is termed as VPA-based glove vibration transmissibility in this study.
3. Results and Discussion
3.1. Distributions of Vibration Power Absorption (VPA)
Figure 2 illustrates the percent distributions of the vibration power absorption calculated using Equation (23) for the four hand treatments.
Figure 2.
Percent distributions of the vibration power absorption in the substructures of the glove–hand–arm system calculated using Equation (23): (a) bare hand and arm VPAs; (b) hand and arm VPAs with Glove 1; (c) Glove VPAs and entire hand VPA with Glove 1; (d) hand and arm VPAs with Glove 2; (e) Glove VPAs and entire hand VPA with Glove 2; (f) hand and arm VPAs with Glove 3; and (g) Glove VPAs and entire hand VPA with Glove 3.
As expected, the VPA was mostly distributed in the wrist–forearm–elbow–upper-arm–shoulder substructures at frequencies below 25 Hz. Glove use did not change the low-frequency distribution pattern. At higher frequencies, more VPA was distributed in the hand, especially in the palm contact area. The percent VPA distributed in the finger contact area was less than 2% at frequencies below 100 Hz, as shown in Figure 2a,b,d,f. However, it became comparable with that distributed in the palm contact area above 500 Hz, especially in the bare-hand treatment, as shown in Figure 2a.
As expected, the ordinary work glove (Glove 1) dissipated less than 10% of the total VPA of the glove–hand–arm system at frequencies below 500 Hz, as shown in Figure 2c. As a result, this glove only slightly affected the overall distribution of the VPA in the hand–arm system below this frequency. Above 1000 Hz, Glove 1 absorbed more than 44% of the VPA distributed in the hand. These observations suggest that ordinary work gloves can also absorb some VPA in the high-frequency range.
As shown in Figure 2e,g, each of the two VR gloves absorbed more than 10% of the total VPA of the glove–hand–arm system at frequencies above 25 Hz, more than 20% above 50 Hz, and more than 45% above 400 Hz. Glove 2 was generally more effective than Glove 3. These gloves primarily reduced the palm contact VPA in the middle-frequency range and the finger contact VPA in the high-frequency range, as shown in Figure 2d,f. However, the use of each of the three gloves increased the VPA in the remaining hand substructures (PRemaining_hand_substructures) in the frequency range of 15 to 500 Hz, as shown in Figure 2b,d,f. All glove-induced changes in the VPA distributions can be more clearly identified by examining the ratio of the gloved-VPA and ungloved-VPA in each substructure of the hand–arm system or the VPA-based glove vibration transmissibility spectra, which are presented in the next subsection.
3.2. The VPA-Based Glove Vibration Transmissibility Spectra
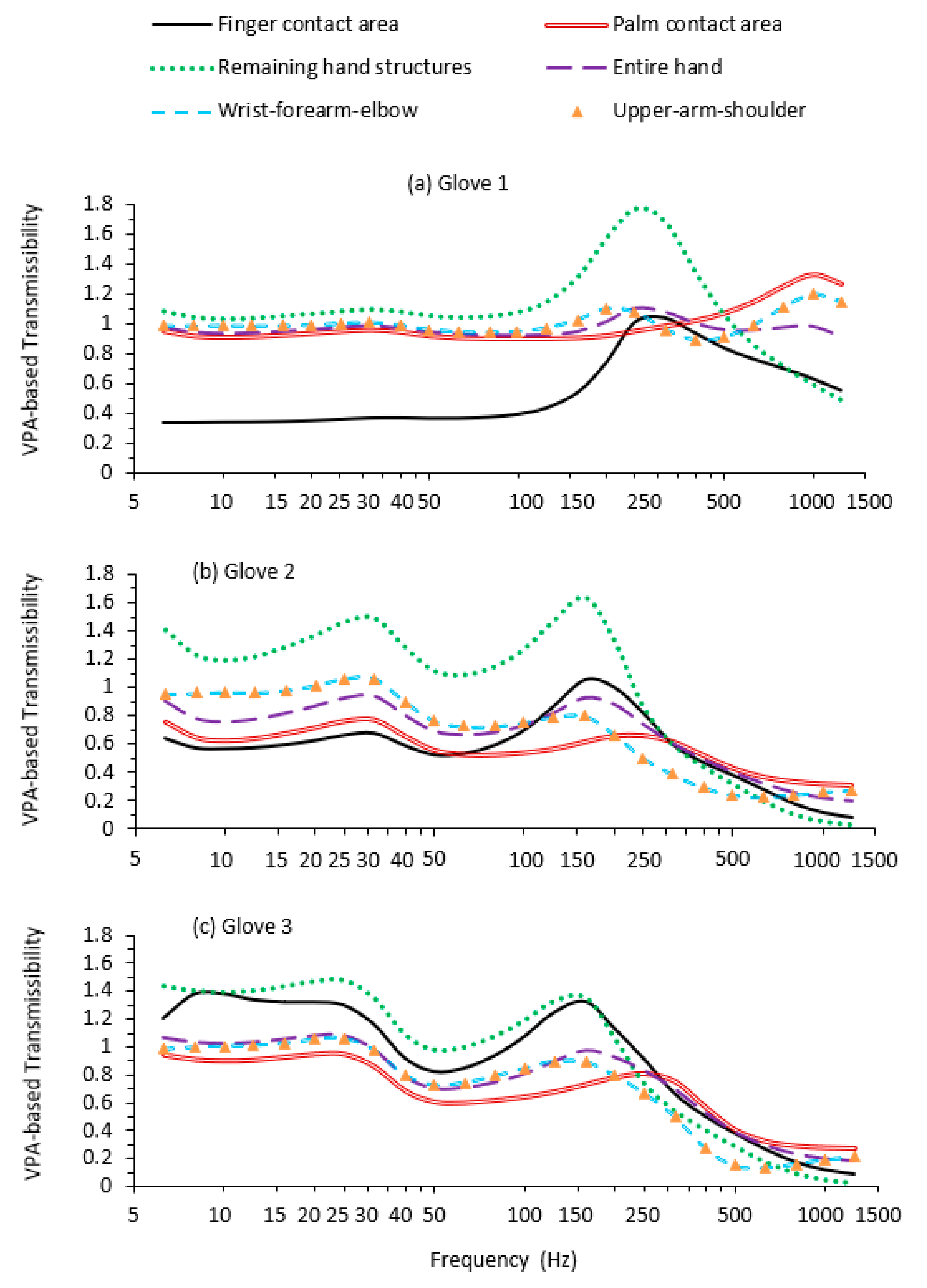
Figure 3 illustrates the substructure VPA-based glove vibration transmissibility spectra, which were calculated by taking the ratio of gloved-VPA and ungloved-VPA, as expressed in Equation (24). Similar to the glove vibration transmissibility, any ratio greater than 1.0 for a substructure of the hand–arm system indicates that the use of a glove amplifies the VPA in that substructure; otherwise, it reduces the VPA in the substructure.
Figure 3.
The ratios of gloved-VPA and ungloved-VPA in different substructures of the hand–arm system for the three gloves calculated using Equation (24): (a) Glove 1; (b) Glove 2; and (c) Glove 3.
As shown in Figure 3, a common feature of the ratio spectra derived from the wrist–forearm–elbow VPA and the upper-arm–shoulder VPA for each glove was that the ratios were identical. This is because the modeling vibration transmissibility from M1 to M0 remains unchanged with and without wearing a glove or TM0-M1_GH = TM0-M1_BH. The detailed proof is described in Appendix A.
As shown in Figure 3a, when Glove 1 was used, the ratios of the gloved- and ungloved-VPA in the entire hand, wrist–forearm–elbow, and upper-arm–shoulder substructures were close to unity at frequencies below 500 Hz. This also held true for the VPA ratio in the palm contact area. However, the ratios of the gloved- and ungloved-VPA in the finger contact area were less than 0.5 at frequencies below 100 Hz and less than 0.85 at frequencies below 200 Hz. Such large reductions resulted for two reasons: (a) the use of Glove 1 increased the effective stiffness in the finger contact area (= K4 + Kg6) by 46% {= [(K4 + Kg6)GH − (K4)BH]/(K4)BH}, which reduced the relative vibration velocity (∆VFingers) in the finger contact area; and (b) the use of Glove 1 reduced the effective damping value in the finger contact area (= C4 + Cg6) by 24% {= [(C4 + Cg6)GH − (C4)BH]/(C4)BH}, which is another critical factor of the VPA formula expressed in Equation (8).
The use of Glove 1 did not change the effective stiffness in the palm contact area (= K3 + Kg5) but only slightly reduced its effective damping value (= C3 + Cg5: −4%). As a result, its corresponding VPA ratio was close to unity at frequencies below 500 Hz, as shown in Figure 3a. This figure also shows that the VPA ratio spectra for the wrist–forearm–elbow substructures and the upper-arm–shoulder were close to unity in the entire frequency range of concern. This suggests that the use of Glove 1 did not affect the VPA in these substructures.
The use of Glove 1 substantially increased the ratio of the gloved- and ungloved-VPA in the remaining hand substructures at frequencies below 500 Hz, especially in the range of 150 to 400 Hz, as also shown in Figure 3a. This was consistent with the phenomenon demonstrated in Figure 2b: the use of Glove 1 increased the VPA in the remaining hand substructures. The total hand VPA ratio remained close to unity in the entire frequency range of concern. The above-observed phenomena indicate that the total vibration power transmitted from the tool handle and absorbed in the hand–arm system remained unchanged when Glove 1 was used, but the glove transferred a large part of the VPA in the finger contact area to the non-contact area of hand substructures.
As shown in Figure 3b,c, the increase in the gloved- and ungloved-VPA ratios in the remaining hand substructures in the low- and middle-frequency ranges for each of the two VR gloves (Gloves 2 and 3) was generally more than that for the ordinary work glove (Glove 1). This was because the use of each VR glove substantially reduced not only the overall contact damping value of the gloved fingers {≈ C4∙Cg2/(C4+Cg2)+Cg6: −66% for Glove 2 and −65% for Glove 3} but also the overall contact damping value of the gloved palm (≈ C3∙Cg1/(C3+Cg1)+Cg5: −20% for Glove 2 and −36% for Glove 3), and the overall contact stiffness values of the gloved fingers (≈ K4∙Kg2/(K4+Kg2)+Kg6: −30% for Glove 2 and −39% for Glove 3) and gloved palm (≈ K3∙Kg1/(K3+Kg1)+Kg5: −10% for Glove 2 and −22% for Glove 3). The reduced overall contact stiffness and damping values of the gloved hand must increase the relative vibration deformation and velocity between the fingers and other hand substructures. Since the damping value in the remaining hand substructures remained unchanged, and vibrations below 200 Hz can be transmitted to these substructures, the VPA in these areas increased in this frequency range. Since VR gloves can effectively absorb the vibration energy in the high-frequency range (>250 Hz), as shown in Figure 2e,g, the gloved- and ungloved-VPA ratio was reduced in this frequency range, as also shown in Figure 3b,c.
Since the use of Glove 2 increased the stiffness in both the finger and palm contact areas (K4 + Kg6: 20%; K3 + Kg5: 15%) but reduced their damping values (C4+Cg6: −34%; C3 +Cg5: −4%), the gloved- and ungloved-VPA ratios in these contact areas were reduced not only in the high-frequency range, but also in the low- and middle-frequency ranges, as shown in Figure 3b,c. The remaining ratio spectra illustrated in this figure also indicate that the use of Glove 2 reduced the VPA in the entire hand and reduced the VPA in the wrist–forearm–elbow and upper-arm–shoulder substructures at frequencies above 31.5 Hz.
As also shown in Figure 3b,c, the effectiveness of Glove 3 was similar to that of Glove 2 in the high-frequency range, but Glove 3 was less effective than Glove 2 in the low- and middle-frequency ranges in terms of VPA reduction. This was primarily because Glove 3 generally exhibited less damping than Glove 2, as shown in Figure 2 and Table 1. Glove 3 also amplified the VPA in the finger contact area in these frequency ranges, although this glove reduced the finger damping values (C4 + Cg6: −19%). This was because the increased finger velocity relative to the tool handle due to the reduced overall stiffness of the gloved fingers played a dominant role in determining the VPA in the finger contact area.
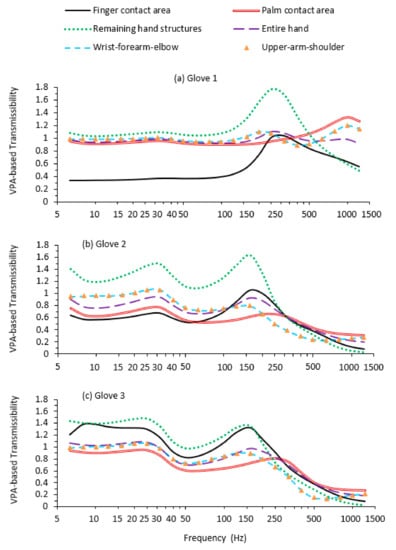
For a direct comparison, Figure 4 illustrates the major VPA-based glove vibration transmissibility spectra, together with the other glove vibration transmissibility spectra determined using the to-the-fingers and to-the-palm methods calculated using Equations (4) and (5), and the glove equivalent transmissibility spectra determined using the on-the-finger, on-the-finger dorsum, and on-the-wrist methods calculated using Equation (6).
Figure 4.
Comparisons of the glove vibration transmissibility spectra determined using three types of methods: the vibration power absorption (VPA) method—the VPA-based glove vibration transmissibility calculated using Equation (24), which includes Finger contact VPA, Palm contact VPA, Remaining hand VPA, Entire hand VPA, Wrist–forearm–elbow VPA, Upper-arm–shoulder VPA; the to-the-hand method—the glove vibration transmissibility at the fingers or palm of the hand calculated using Equation (4) or Equation (5), which includes To-the-fingers and To-the-palm spectra; and the on-the-hand method—the glove vibration transmissibility calculated using Equation (6), which includes On-the-fingers, On-the-finger-dorsum, and On-the-wrist spectra. (a) Methods associated with fingers for Glove 1; (b) Methods associated with palm, hand, and arms for Glove 1; (c) Methods associated with fingers for Glove 2; (d) Methods associated with palm, hand, and arms for Glove 2; (e) Methods associated with fingers for Glove 3; (f) Methods associated with palm, hand, and arms for Glove 3.
The results suggest that the general trends and characteristics of the VPA-based glove vibration transmissibility spectra derived from the entire hand VPA method, wrist–forearm–elbow VPA method, and upper-arm–shoulder VPA method were similar to each other; they were also similar to those determined using the to-the-palm and on-the-wrist methods. As proved in the Appendix A, the glove vibration transmissibility determined using the on-the-wrist method is identical to that determined using the on-the-upper-arm method. It is also very interesting that the VPA-based glove vibration transmissibility for the wrist–forearm–elbow substructures or for the upper-arm–shoulder substructures is equal to the square of the glove vibration transmissibility determined using the on-the-wrist method or the on-the-upper-arm-shoulder method. However, the VPA-based glove vibration transmissibility spectra derived from the VPA in the finger and palm contact areas could be largely different from each other and from the other spectra.
4. Summary and Conclusions
This study proposed a novel method for analyzing and assessing the effectiveness of vibration-reducing gloves. The method is based on the modeling predictions of the vibration power absorption (VPA) by a glove and the VPA distributed in the substructures of the human hand-arm system. In addition to the percent distributions of the VPA in the glove and hand–arm system, the ratio of gloved- and ungloved-VPA in the system was also used to analyze and assess vibration-reducing (VR) glove effectiveness. Since the ratio is directly comparable with the glove vibration transmissibility determined or measured using a to-the-hand or on-the-hand method, it can be termed as VPA-based glove vibration transmissibility. The results of this study suggest that the proposed VPA method may provide some unique information for understanding and assessing the glove effectiveness.
The results of this study indicate that the effectiveness of a glove for reducing the overall VPA in the hand–arm system was associated with the effectiveness of the glove for absorbing the vibration energy. For example, the gel glove (Glove 2) absorbed more VPA than the other two gloves; it was generally more effective at reducing the overall VPA in the hand–arm system. This could be primarily because the gel material was able to absorb more vibration energy than the air bubble material and some other glove materials.
Although a glove may not reduce any significant amount of vibration energy in a certain frequency range, it could change the VPA distribution in the hand. For example, the ordinary work glove (Glove 1) could absorb little vibration energy in the low- and middle-frequency ranges, but it reduced the VPA distributed in the finger contact area and marginally increased the VPA in the remaining hand substructures. This effect seemed to be associated with the structure of this glove, especially the tightness of fit for the glove. We hypothesize that this glove effect may also help protect the fingers or hand if the glove structure or tightness is optimized. However, this requires further studies.
It should be emphasized that the model parameter values listed in Table 1 were determined using the mean values of the experimental data measured with the subjects [15]. The parameter values determined using the experimental data from different individuals varied in a certain range [15]. As confirmed in this study, the VPA values and transmissibility values at each frequency also varied with the individuals. However, the individual differences did not change the basic trends and characteristics of the results illustrated in Figure 2, Figure 3 and Figure 4.
In addition to the individual differences, the actual effectiveness of the gloves at workplaces may also vary with many other influencing factors such as the vibration directions, applied hand forces, hand and arm postures, vibration magnitudes, tool handle shapes and covering materials, glove conditions (worn conditions, time effect, etc.), and environmental conditions (temperature, moisture, etc.). While it is impossible to consider all these factors in a single study, the current study only simulated the averaged responses of the subjects wearing new gloves to the vibration excitation along the forearm direction or z-direction under the same subject postures and hand forces as those required in the standard glove test [5]. Since the specific values of the distributed VPAs and the VPA-based glove vibration transmissibility spectra may vary with many of the influencing factors, the glove effectiveness shown in Figure 3 and Figure 4 may be different from that at workplaces. As a result of these limitations of the study, the results presented in this paper should be used with caution. However, these limitations are unlikely to affect the validity of the major findings of this study.
Author Contributions
Conceptualization, R.G.D.; methodology, R.G.D., X.S.X., and D.E.W.; modeling programming, R.G.D.; program examination and verification, X.S.X.; formal analysis, R.G.D., X.S.X.; modeling results validation, X.S.X., D.E.W. and T.W.M.; writing—original draft preparation, R.G.D.; writing—review and editing, T.W.M. and other coauthors; project administration, R.G.D. All authors have read and agreed to the published version of the manuscript.
Funding
This research was fully funded by NIOSH; it received no external funding.
Institutional Review Board Statement
No IRB protocol was required for this study, because no human subject experiment was conducted in this study.
Informed Consent Statement
Also for the above reason, no consent form was signed in this study.
Data Availability Statement
The data of this study are available upon request.
Conflicts of Interest
The authors declare no conflict of interest.
Disclaimer
The findings and conclusions in this manuscript are those of the authors and do not necessarily represent the official position of the National Institute for Occupational Safety and Health, Centers for Disease Control and Prevention.
Appendix A
Using Equations (8) and (16), the vibration power absorption in the wrist–forearm–elbow substructures can be written as follows:
PWrist-forearm-elbow_H = PC1_H = C1∙(VM0_H − VM1_H)2.
According to Equation (24), the VPA-based glove vibration transmissibility for the wrist–forearm–elbow substructures can be written as follows:
RWrist-forearm-elbow = (PWrist-forearm-elbow_GH)/(PWrist-forearm-elbow_BH)
= [C1∙(VM0_GH − VM1_GH)2]/[C1∙(VM0_BH − VM1_BH)2]
= [(VM1_GH)2∙(VM0_GH/VM1_GH−1)2]/[(VM1_BH)2∙(VM0_BH/VM1_BH − 1)2]
= [(VM1_GH)2∙(TM0-M1_GH−1)2]/[(VM1_BH)2∙(TM0-M1_BH − 1)2].
= [C1∙(VM0_GH − VM1_GH)2]/[C1∙(VM0_BH − VM1_BH)2]
= [(VM1_GH)2∙(VM0_GH/VM1_GH−1)2]/[(VM1_BH)2∙(VM0_BH/VM1_BH − 1)2]
= [(VM1_GH)2∙(TM0-M1_GH−1)2]/[(VM1_BH)2∙(TM0-M1_BH − 1)2].
Since wearing a glove does not change the model structure and parameter values from M1 to M0, their related vibration transmissibility remains unchanged or TM0-M1_GH = TM0-M1_BH. Then, Equation (A2) can be reduced to
RWrist-forearm-elbow = (VM1_GH)2/(VM1_BH)2 = (TOn-M1)2.
Similarly, using Equations (8), (17), and (24), and TM0-M1_GH = TM0-M1_BH, the VPA-based glove vibration transmissibility for the upper-arm–shoulder substructures can be written as follows:
RUpper-arm-shoulder = [C0∙(VM0_GH)2]/[C0∙(VM0_BH)2]
= (VM0_GH)2/(VM0_BH)2 = (TOn-M0)2
= (TM0-M1_GH∙VM1_GH)2/(TM0-M1_BH∙VM1_BH)2
= (VM1_GH)2/(VM1_BH)2 = RWrist-forearm-elbow.
= (VM0_GH)2/(VM0_BH)2 = (TOn-M0)2
= (TM0-M1_GH∙VM1_GH)2/(TM0-M1_BH∙VM1_BH)2
= (VM1_GH)2/(VM1_BH)2 = RWrist-forearm-elbow.
Equation (A4) proves the VPA-based glove vibration transmissibility for the upper-arm–shoulder substructures is identical to that for the wrist–forearm–elbow substructures. Equations (A3) and (A4) also reveal that they have a relationship with the glove vibration transmissibility determined using the on-the-wrist method; the glove vibration transmissibility determined using the on-the-wrist method is identical to that determined using the on-the-upper-arm method.
References
- Brown, A.P. The effects of anti-vibration gloves on vibration induced disorders: A case study. J. Hand Ther. 1990, 3, 94–100. [Google Scholar] [CrossRef]
- Jetzer, T.; Haydon, P.; Reynolds, D.D. Effective intervention with ergonomics, antivibration gloves, and medical surveillance to minimize hand-arm vibration hazards in the workplace. J. Occup. Environ. Med. 2003, 45, 1312–1317. [Google Scholar] [CrossRef] [PubMed]
- HSE 2019. Hand-arm vibration, the control of vibration at work regulations 2005. In Guidance on Regulations; TSO: Norwich, UK, 2019. [Google Scholar]
- Dong, R.G.; McDowell, T.W.; Welcome, D.E.; Wu, J.Z.; Rakheja, S. Analysis of anti-vibration gloves mechanism and evaluation methods. J. Sound Vib. 2009, 321, 435–453. [Google Scholar] [CrossRef]
- ISO 10819. Mechanical Vibration and Shock—Hand-Arm Vibration—Measurement and Evaluation of the Vibration Transmissibility of Gloves at the Palm of the Hand; ISO: Geneva, Switzerland, 2013. [Google Scholar]
- Peterson, D.R.; Peterson, T.; Asaki, S.; Kudernatsch, A.J.; Brammer, M.G.; Cherniack. Incorporating a finger adapter into ISO 10819 assessments to measure the vibration transmissibility of gloves at the fingers. In Proceedings of the 5th American Conference on Human Vibration, Guelph, ON, Canada, 10–13 June 2014; pp. 33–34. [Google Scholar]
- Xu, X.S.; Welcome, D.E.; Warren, C.; McDowell, T.W.; Dong, R.G. Development of a finger adapter method for testing and evaluating vibration-reducing gloves and materials. Measurement 2019, 137, 362–374. [Google Scholar] [CrossRef]
- Griffin, M.J.; Macfarlane, C.R.; Norman, C.D. The transmission of vibration to the hand and the influence of Gloves. In Vibration Effects on the Hand and Arm in Industry; Brammer, A.J., Taylor, W., Eds.; John Wiley & Sons: Hoboken, NJ, USA, 1982; pp. 103–116. [Google Scholar]
- Paddan, G.S.; Griffin, M.J. Measurement of glove and hand dynamics using knuckle vibration. In Proceedings of the 9th International Conference on Hand-Arm Vibration 2001, Section 15, Nancy, France, 1 January 2001. [Google Scholar]
- Cheng, C.H.; Wang, M.J.J.; Lin, S.C. Evaluating the effects of wearing gloves and wrist support on hand-arm response while operating an in-line pneumatic screwdriver. Int. J. Ind. Ergon. 1999, 24, 473–481. [Google Scholar] [CrossRef]
- Dong, R.G.; McDowell, T.W.; Welcome, D.E.; Smutz, W.P.; Schopper, A.W.; Warren, C.; Wu, J.Z.; Rakheja, S. On-the-Hand Measurement Methods for Assessing Effectiveness of Anti-Vibration Gloves. Int. J. Ind. Ergon. 2003, 32, 283–298. [Google Scholar] [CrossRef]
- Welcome, D.E.; Dong, R.G.; Xu, X.S.; Warren, C.; McDowell, T.W. The effects of vibration-reducing gloves on finger vibration. Int. J. Ind. Ergon. 2014, 44, 45–59. [Google Scholar] [CrossRef] [PubMed]
- Hamouda, K.; Rakheja, S.; Dewangan, K.N.; Marcotte, P. Fingers’ vibration transmission and grip strength preservation performance of vibration reducing gloves. Appl. Ergon. 2018, 66, 121–138. [Google Scholar] [CrossRef] [PubMed]
- Xu, X.S.; Welcome, D.E.; Warren, C.; McDowell, T.W.; Lin, H.; Xiao, B.; Chen, Q.; Dong, R.G. The vibration responses of a handheld workpiece and the hand arm system. In Proceedings of the 7th American Conference on Human Vibration 2018, Seattle, WA, USA, 13–15 June 2018; pp. 88–89. [Google Scholar]
- Dong, R.G.; Welcome, D.E.; Xu, X.S.; McDowell, T.W. An improved vibration model of glove-hand-arm system. In Proceedings of the 8th American Conference on Human Vibration, (Postponed to 2021). [Google Scholar]
- McDowell, T.W.; Dong, R.G.; Welcome, D.E.; Warren, C.; Xu, X.S. Vibration-reducing gloves: Transmissibility at the palm of the hand in three orthogonal directions. Ergonomics 2013, 56, 1823–1840. [Google Scholar] [CrossRef] [PubMed]
- ISO 5349-1. Mechanical Vibration—Measurement and Evaluation of Human Exposure to Hand-Transmitted Vibration—Part 1: General Requirements; International Organization for Standardization: Geneva, Switzerland, 2001. [Google Scholar]
- Cundiff, J.S. Energy dissipation in human hand-arm exposed to random vibration. J. Acoust. Soc. Am. 1976, 59, 212–214. [Google Scholar] [CrossRef] [PubMed]
- Lidström, I.M. Vibration injury in rock drillers, chiselers, and grinders. Some views on the relationship between the quantity of energy absorbed and the risk of occurrence of vibration injury. In Proceedings of the International Conference on Hand-Arm Vibration, Cincinnati, OH, USA, 1 January 1977; pp. 77–83. [Google Scholar]
- Dong, R.G.; Schopper, A.W.; McDowell, T.W.; Welcome, D.E.; Wu, J.Z.; Smutz, W.P.; Warren, C.; Rakheja, S. Vibration Energy Absorption (VEA) in Human Fingers-Hand-Arm System. Med. Eng. Phys. 2004, 26, 483–492. [Google Scholar] [CrossRef] [PubMed]
- Dong, R.G.; Welcome, D.E.; McDowell, T.W.; Wu, J.Z.; Schopper, A.W. Frequency weighting derived from power absorption of fingers-hand-arm system under zh-axis. J. Biomech. 2006, 39, 2311–2324. [Google Scholar] [CrossRef] [PubMed]
- Dong, J.H.; Dong, R.G.; Rakheja, S.; Welcome, D.E.; McDowell, T.W.; Wu, J.Z. A method for analyzing absorbed power distribution in the hand and arm substructures when operating vibrating tools. J. Sound Vib. 2008, 311, 1286–1309. [Google Scholar] [CrossRef]
- Dong, R.G.; Welcome, D.E.; McDowell, T.W.; Xu, X.S.; Krajnak, K.; Wu, J.Z. A proposed theory on biodynamic frequency weighting for hand-transmitted vibration exposure. Ind. Health 2012, 50, 412–424. [Google Scholar] [CrossRef] [PubMed]
Publisher’s Note: MDPI stays neutral with regard to jurisdictional claims in published maps and institutional affiliations. |
© 2020 by the authors. Licensee MDPI, Basel, Switzerland. This article is an open access article distributed under the terms and conditions of the Creative Commons Attribution (CC BY) license (http://creativecommons.org/licenses/by/4.0/).



