Medium-Term Comparative Effects of Prescribed Burning and Mechanical Shredding on Soil Characteristics in Heathland and Shrubland Habitats: Insights from a Protected Natural Area
Abstract
1. Introduction
2. Materials and Methods
2.1. Study Area
2.2. Vegetation Treatments
2.3. Experimental Plots
2.4. Soil Sampling and Analysis
2.5. Statistical Analysis
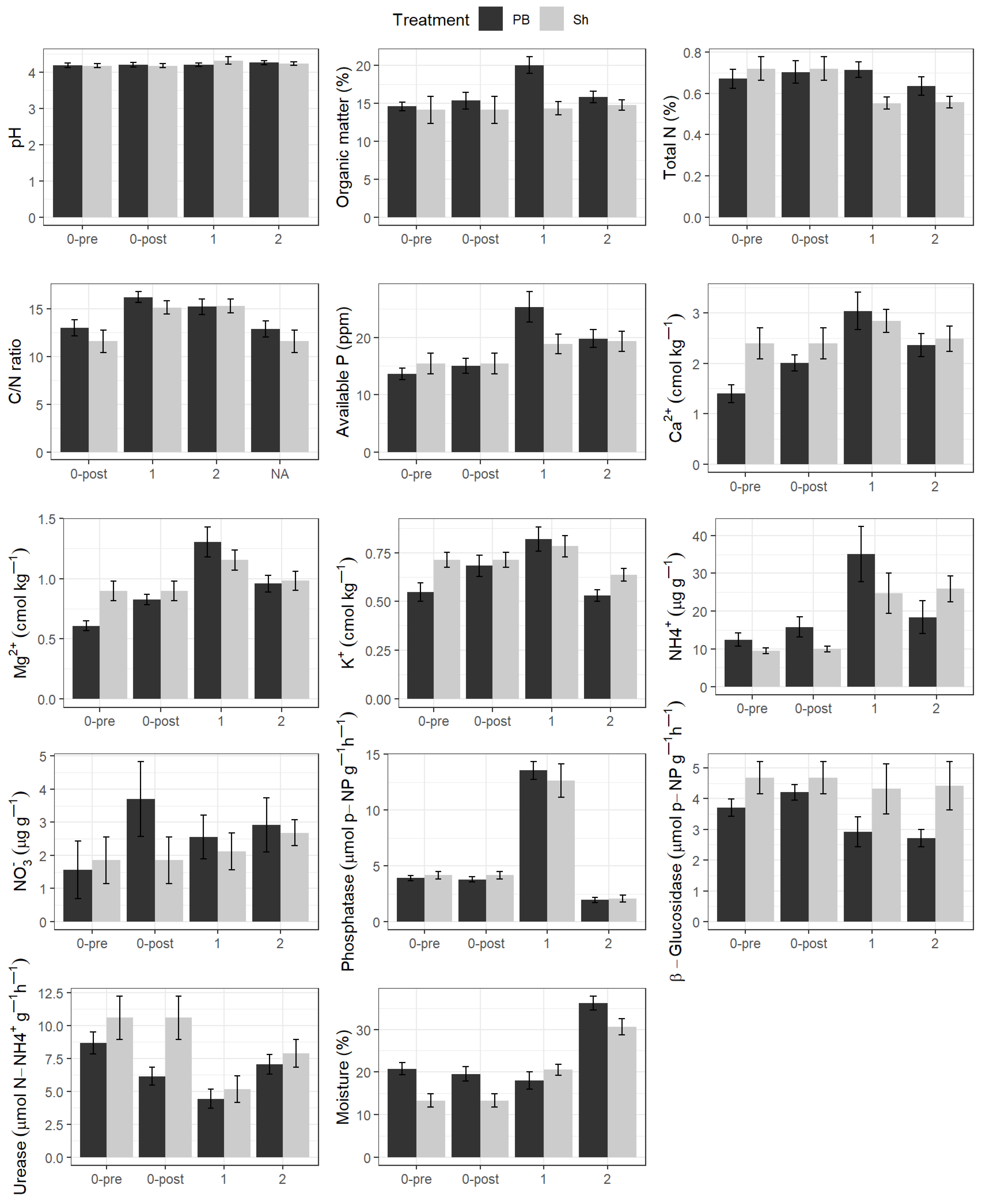
3. Results
3.1. Effects of Vegetation Treatments and Sampling Dates on Soil Properties
3.2. Medium-Term Effects of Vegetation Treatments on Soil Properties
4. Discussion
5. Conclusions
Author Contributions
Funding
Informed Consent Statement
Data Availability Statement
Acknowledgments
Conflicts of Interest
References
- Keeley, J.E. Fire in Mediterranean Climate Ecosystems—A Comparative Overview. Isr. J. Ecol. Evol. 2012, 58, 123–135. [Google Scholar]
- Chas-Amil, M.L.; Prestemon, J.P.; McClean, C.J.; Touza, J. Human-ignited wildfire patterns and responses to policy shifts. Appl. Geogr. 2015, 56, 164–176. [Google Scholar] [CrossRef]
- Pérez-Díaz, S.; López-Sáez, J.A.; Núñez de la Fuente, S.; Ruiz-Alonso, M. Early farmers, megalithic builders and the shaping of the cultural landscapes during the Holocene in Northern Iberian mountains. A palaeoenvironmental perspective. J. Archaeol. Sci. Rep. 2018, 18, 463–474. [Google Scholar] [CrossRef]
- Tedim, F.; Leone, V.; Xanthopoulos, G. A wildfire risk management concept based on a social-ecological approach in the European Union: Fire Smart Territory. Int. J. Disaster Risk Reduct. 2016, 18, 138–153. [Google Scholar] [CrossRef]
- Amigo, J.; Rodríguez-Guitián, M.A.; Pradinho Honrado, J.J.; Alves, P. The Lowlands and Midlands of Northwestern Atlanic Iberia. In The Vegetation of the Iberian Peninsula, Plant and Vegetation, Plant and Vegetation; Loidi, J., Ed.; Springer International Publishing AG: Cham, Switzerland, 2017; Volume 12, pp. 191–250. [Google Scholar] [CrossRef]
- Carracedo, V.; Cunill, R.; García-Codron, J.C.; Pèlachs, A.; Pérez-Obiol, R.; Sorianao, J.M. History of fires and vegetation since the Neolithic in the Cantabrian Mountains (Spain). Land Degrad. Dev. 2018, 29, 2037–2232. [Google Scholar] [CrossRef]
- Cubas, M.; Altuna, J.; Álvarez-Fernández, E.; Armendariz, A.; Fano, M.Á.; López-Dóriga, I.L.; Mariezkurrena, K.; Tapia, J.; Teira, L.C.; Arias, P. Re-evaluating the Neolithic: The Impact and the consolidation of farming practices in the Cantabrian region (Northern Spain). J. World Prehist. 2016, 29, 79–116. [Google Scholar] [CrossRef]
- Álvarez-Martínez, J.; Gómez-Villar, A.; Lasanta, T. The use of goats grazing to restore pastures invaded by shrubs and avoid desertification: A preliminary case study in the Spanish Cantabrian Mountains. Land Degrad. Dev. 2013, 27, 3–13. [Google Scholar] [CrossRef]
- Cocca, G.; Sturaro, E.; Gallo, L.; Ramanzin, M. Is the abandonment of traditional livestock farming systems the main driver of mountain landscape change in Alpine areas? Land Use Policy 2012, 29, 878–886. [Google Scholar] [CrossRef]
- Velado-Alonso, E.; Gómez-Sal, A. The current status of transhumance systems in the province of León (Spain), towards a multi-dimensional evaluation. In Mountain Pastures and Livestock Farming Facing Uncertainty: Environmental, Technical and Socio-Economic Challenges; Casasús, I., Lombardi, G., Eds.; OPTIONS Méditerranéennes; Proceeding of the Meeting of the FAO-CIHEAM. Series A: Mediterranean Seminars; 2016; Volume 116, pp. 63–67. Available online: http://om.ciheam.org/om/pdf/a116/a116.pdf (accessed on 4 September 2023).
- Resco de Dios, V.; Hedo, J.; Cunill Camprubí, À.; Thapa, P.; Martínez del Castillo, E.; Martínez de Aragón, J.; Bonet, J.A.; Balaguer-Romano, R.; Díaz-Sierra, R.; Yebra, M.; et al. Climate change induced declines in fuel moisture may turn currently fire-free Pyrenean mountain forests into fire-prone ecosystems. Sci. Total Environ. 2021, 797, 149104. [Google Scholar] [CrossRef]
- Baeza, M.J.; De Luís, M.; Raventós, J.; Escarré, A. Factors influencing fire behaviour in shrublands of different stand ages and the implications for using prescribed burning to reduce wildfire risk. J. Environ. Manag. 2002, 65, 199–208. [Google Scholar] [CrossRef]
- Calvo, L.; Tarrega, R.; de Luis, E. Space-time distribution patterns of Erica australis L. subsp. aragonensis (Willk) after experimental burning, cutting, and ploughing. Plant Ecol. 1998, 137, 1–12. [Google Scholar] [CrossRef]
- Calvo, L.; Tárrega, R.; Luis, E.; Valbuena, L.; Marcos, E. Recovery after experimental cutting and burning in three shrub communities with different dominant species. Plant Ecol. 2005, 180, 175–185. [Google Scholar] [CrossRef]
- Fernandes, P.M.; Botelho, H.S. A review of prescribed burning effectiveness in fire hazard reduction. Int. J. Wildland Fire 2003, 12, 117–128. Available online: https://api.semanticscholar.org/CorpusID:59444754 (accessed on 10 December 2023). [CrossRef]
- Fernández, C.; Vega, J.A.; Fonturbel, T. Does fire severity influence shrub resprouting after spring prescribed burning? Acta Oecol. 2013, 48, 30–36. [Google Scholar] [CrossRef]
- DECREE 7/2014, of February 20, Which Approves the Natural Resources Management Plan of the “Babia y Luna” Natural Space (León). BOCyL 2014, 37. Available online: https://bocyl.jcyl.es/html/2014/02/24/html/BOCYL-D-24022014-3.do (accessed on 31 October 2023).
- Lal, R. Restoring soil quality to mitigate soil degradation. Sustainability 2015, 7, 5875–5895. [Google Scholar] [CrossRef]
- Santín, C.; Doerr, S.H. Fire effects on soils: The human dimension. Philos. Trans. R. Soc. B Biol. Sci. 2016, 371, 20150171. [Google Scholar] [CrossRef]
- Mataix Solera, J. Physical, Chemical and Biological Alterations in Soils Affected by Forest Fires: Contribution to Their Conservation and Regeneration. Ph.D. Thesis, University of Alicante, Alicante, Spain, 1999. Available online: http://hdl.handle.net/10045/9988 (accessed on 17 November 2023).
- Alcañiz, M.; Úbeda, X.; Cerdà, A. A 13-year approach to understand the effect of prescribed fires and livestock grazing on soil chemical properties in Tivissa, NE Iberian Peninsula. Forests 2020, 11, 1013. [Google Scholar] [CrossRef]
- Dorland, E.; Bobbink, R.; Messelink, J.H.; Verhoeven, J.T.A. Soil ammonium accumulation after sod cutting hampers the restoration of degraded wet heathlands. J. Appl. Ecol. 2003, 40, 804–814. [Google Scholar] [CrossRef]
- Fontúrbel, M.T.; Fernández, C.; Vega, J.A. Prescribed burning versus mechanical treatments as shrubland management options in NW Spain: Mid-term soil microbial response. Appl. Soil Ecol. 2016, 107, 334–346. [Google Scholar] [CrossRef]
- Härdtle, W.; Niemeyer, M.; Niemeyer, T.; Assmann, T.; Fottner, S. Can management compensate for atmospheric nutrient deposition in heathland ecosystems? J. Appl. Ecol. 2006, 43, 759–769. [Google Scholar] [CrossRef]
- Mitchell, R.J.; Marrs, R.H.; Le Duc, M.G.; Auld, M.H.D. A study of the restoration of heathland on successional sites: Changes in vegetation and soil chemical properties. J Appl Ecol. 1999, 36, 770–783. [Google Scholar] [CrossRef]
- Mohamed, A.; Härdtle, W.; Jirjahn, B.; Niemeyer, T.; von Oheimb, G. Effects of prescribed burning on plant available nutrients in dry heathland ecosystems. Plant Ecol. 2007, 189, 279–289. [Google Scholar] [CrossRef]
- Niemeyer, T.; Niemeyer, M.; Mohamed, A.; Fottner, S.; Härdtle, W. Impact of prescribed burning on the nutrient balance of heathlands with particular reference to nitrogen and phosphorus. Appl. Veg. Sci. 2005, 8, 183–192. [Google Scholar] [CrossRef]
- Gómez, V.P.; Del Blanco Medina, V.; Bengoa, J.L.; Nafría García, D.A. Accuracy assessment of a 122 classes land cover map based on Sentinel-2, Landsat 8 and Deimos-1 images and ancillary data. In Proceedings of the IGARSS 2018—2018 IEEE International Geoscience and Remote Sensing Symposium, Valencia, Spain, 22–27 July 2018; pp. 5453–5456. [Google Scholar] [CrossRef]
- Morán-Ordóñez, A.; Bugter, R.; Suárez-Seoane, S.; de Luis, E.; Calvo, L. Temporal changes in socio-ecological systems and their impact on ecosystem services at different governance scales: A case study of heathlands. Ecosystems 2013, 16, 765–782. [Google Scholar] [CrossRef]
- Targetti, S.; Staglian, N.; Messeri, A.; Argenti, G. A state-and-transition approach to alpine grasslands under abandonment. IForest—Biogeosci. For. 2010, 3, 44–51. [Google Scholar] [CrossRef]
- Kottek, M.; Grieser, J.; Beck, C.; Rudolf, B.; Rubel, F. World map of the Köppen-Geiger climate classification updated. Meteorol. Z. 2006, 15, 259–263. [Google Scholar] [CrossRef] [PubMed]
- Scott, J.H.; Burgan, R.E. Standard Fire Behavior Fuel Models: A Comprehensive Set for Use with Rothermel’s Surface Fire Spread Model; Gen. Tech. Rep. RMRS-GTR-153; U.S. Department of Agriculture, Forest Service, Rocky Mountain Research Station: Fort Collins, CO, USA, 2005; 72p. [CrossRef]
- Alcañiz, M.; Outeiro, L.; Francos, M.; Úbeda, X. Effects of prescribed fires on soil properties: A review. Sci. Total Environ. 2018, 613, 944–957. [Google Scholar] [CrossRef]
- Marcos, E.; Villalón, C.; Calvo, L.; Luis-Calabuig, E. Short-term effects of experimental burning on soil nutrients in the Cantabrian heathlands. Ecol. Eng. 2009, 35, 820–828. [Google Scholar] [CrossRef]
- Nelson, D.W.; Sommers, L.E. Total carbon, organic carbon, and organic matter. In Methods of Soil Analysis: Part 2, Chemical and Microbiological Properties; Page, A.L., Miller, R.H.y., Keeney, D.R., Eds.; Agronomy Society of America and Soil Science Society of America: Madison, WI, USA, 1983; Volume 9, pp. 539–579. [Google Scholar]
- Kirk, P.L. Kjeldahl method for total nitrogen. Anal. Chem. 1950, 22, 354–358. [Google Scholar] [CrossRef]
- Olsen, S.R.; Cole, C.V.; Watanabe, F.S. Estimation of Available Phosphorus in Soils by Extraction with Sodium Bicarbonate; USDA, US Government Printing Office: Washington, DC, USA, 1954; p. 939.
- Florentino, A. Métodos para medir el contenido de agua en el suelo. Venesuelos 2006, 14, 48–70. [Google Scholar]
- Tabatabai, M.A. Soil enzymes. In Methods of Soil Analysis: Microbial and Biochemical Properties; Weaver, R.W., Angle, J.S., Bottomley, P.J., Bezdicek, D.F., Smith, S., Tabatabai, M.A., Wollum, A.G., Eds.; ASA and SSSA: Madison, WI, USA, 1994; pp. 775–833. [Google Scholar]
- Kandeler, E.; Gerber, H. Short-term assay of soil urease activity using colorimetric determination of ammonium. Biol. Fertil. Soils 1988, 6, 68–72. [Google Scholar] [CrossRef]
- R Core Team. R: A Language and Environment for Statistical Computing; R Foundation for Statistical Computing: Vienna, Austria, 2024; Available online: https://www.R-project.org/ (accessed on 10 September 2023).
- Kenward, M.G.; Roger, J.H. Small sample inference for fixed effects from restricted maximum likelihood. Biometrics 1997, 53, 983–997. [Google Scholar] [CrossRef]
- Alfaro-Leranoz, A.; Badia-Villas, D.; Marti-Dalmau, C.; Emran, M.; Conte-Dominguez, A.P.; Ortiz-Perpiña, O. Long-term evolution of shrub prescribed burning effects on topsoil organic matter and biological activity in the Central Pyrenees (NE-Spain). Sci. Total Environ. 2023, 888, 163994. [Google Scholar] [CrossRef]
- Alcañiz, M.; Outeiro, L.; Francos, M.; Farguell, J.; Úbeda, X. Long-term dynamics of soil chemical properties after a prescribed fire in a Mediterranean forest (Montgrí Massif, Catalonia, Spain). Sci. Total Environ. 2016, 572, 1329–1335. [Google Scholar] [CrossRef]
- Pereira, J.S.; Badia, D.; Marti, C.; Mora, J.L.; Donzeli, V.P. Fire effects on biochemical properties of a semiarid pine forest topsoil at cm-scale. Pedobiologia 2023, 96, 150860. [Google Scholar] [CrossRef]
- Úbeda, X.; Lorca, M.; Outeiro, L.; Bernia, S.; Castellnou, M. Effects of prescribed fire on soil quality in Mediterranean grassland (Prades Mountains, north-east Spain). Int. J. Wildland Fire 2005, 14, 379–384. [Google Scholar] [CrossRef]
- Afif Khouri, E.; Oliveira Prendes, J.A. Efectos del fuego prescrito sobre matorral en las propiedades del suelo. Investig. Agrar. Sist. Y Recur. For. 2006, 15, 262–270. [Google Scholar] [CrossRef]
- Fontúrbel, T.; Carrera, N.; Vega, J.A.; Fernández, C. The effect of repeated prescribed burning on soil properties: A review. Forests 2021, 12, 767. [Google Scholar] [CrossRef]
- Moghaddas, E.E.Y.; Stephens, S.L. Thinning, burning, and thin-burn fuel treatment effects on soil properties in a Sierra Nevada mixed-conifer forest. For. Ecol. Manag. 2007, 250, 156–166. [Google Scholar] [CrossRef]
- Battaglia, M.; Rhoades, C.; Rocca, M.E.; Ryan, M.G. A regional assessment of the ecological effects of chipping and mastication fuels reduction and forest restoration treatments. JFSP Res. Proj. Rep. 2009, 148. Available online: http://digitalcommons.unl.edu/jfspresearch/148 (accessed on 21 January 2024).
- Lasanta, T.; Cortijos-López, M.; Errea, M.P.; Llena, M.; Sánchez-Navarrete, P.; Zabalza, J.; Nadal-Romero, E. Shrub clearing and extensive livestock as a strategy for enhancing ecosystem services in degraded Mediterranean mid-mountain areas. Sci. Total Environ. 2024, 906, 167668. [Google Scholar] [CrossRef] [PubMed]
- Arocena, J.M.; Opio, C. Prescribed fire-induced changes in properties of sub-boreal forest soils. Geoderma 2003, 113, 1–16. [Google Scholar] [CrossRef]
- Marcos, E. Procesos Edáficos en Comunidades Vegetales Alteradas por el Fuego. Ph.D. Thesis, Universidad de León, León, Spain, 1997. [Google Scholar]
- DeBano, L.F.; Conrad, C.E. The effect of fire on nutrients in a chaparral ecosystem. Ecology 1978, 59, 489–497. [Google Scholar] [CrossRef]
- Díaz-Fierros, F.; Gil Sotres, V.F.; Cabaneiro, A.; Carballas, T.; Leiros de La Peña, M.C.; Villar Celorio, M.C. Efectos erosivos de los incendios forestales en suelos de Galicia. An. Edafol. y Agrobiol. 1982, 41, 627–639. [Google Scholar]
- Stednick, J.D.; Tripp, L.N.; McDonald, R.J. Slash burning effects on soil and water chemistry in southeastern Alaska. J. Soil Water Conserv. 1982, 37, 126–128. [Google Scholar]
- Wilbur, R.B.; Christensen, N.L. Effects of fire on nutrient availability in a North Carolina Coastal Plain pocosin. Am. Midl. Nat. 1983, 110, 54–61. [Google Scholar] [CrossRef]
- Giovannini, G. The effect of fire on soil quality. In Soil Erosion as a Consequence of Forest Fires; Sala, M., Rubio, J.L., Eds.; Geoforma Ediciones: Logroño, Spain, 1994; pp. 15–27. [Google Scholar]
- Marcos, E.; Tárrega, R.; Luis, E. Changes in a humic cambisol heated (100–500 °C) under laboratory conditions: The significance of heating time. Geoderma 2007, 138, 237–243. [Google Scholar] [CrossRef]
- Terefe, T.; Mariscal-Sancho, I.; Peregrina, F.; Rafael, E. Influence of heating on various properties of six Mediterranean soils. A laboratory study. Geoderma 2008, 143, 273–280. [Google Scholar] [CrossRef]
- Certini, G. Effects of fire on properties of forest soils: A review. Oecologia 2005, 143, 1–10. [Google Scholar] [CrossRef]
- Shakesby, R.A.; Bento, C.P.M.; Ferreira, C.S.S.; Ferreira, A.J.D.; Stoof, C.R.; Urbanek, E.; Walsh, R.P.D. Impacts of prescribed fire on soil loss and soil quality: An assessment based on an experimentally-burned catchment in central Portugal. Catena 2015, 128, 278–293. [Google Scholar] [CrossRef]
- Sánchez, J.R.; Mangas, V.J.; Ortiz, C.; Bellot, J. Forest fire effect on soil chemical properties and runoff. In Soil Erosion as a Consequence of Forest Fires; Sala, M., Rubio, J.L., Eds.; Geoforma Ediciones: Logroño, Spain, 1994; pp. 53–65. [Google Scholar]
- Smith, D.W. Concentrations of soil nutrients before and after fire. Can. J. Soil Sci. 1970, 50, 17–29. [Google Scholar] [CrossRef]
- Úbeda, X. Influencia de la intensidad de quemado sobre algunas propiedades del suelo después de un incendio forestal. Rev. Soc. Española Cienc. Suelo 2001, 8, 41–49. [Google Scholar]
- Salgado, J.; González, M.I.; Armada, J.; Paz-Andrade, M.I.; Carballas, M.; Carballas, T. Loss of organic matter in Atlantic forest soils due to wildfires. Calculation of the ignition temperature. Thermochim. Acta 1995, 259, 165–175. [Google Scholar] [CrossRef]
- Hinojosa, M.B.; Parra, A.; Laudicina, V.A.; Moreno, J.M. Post-fire soil functionality and microbial community structure in a Mediterranean shrubland subjected to experimental drought. Sci. Total Environ. 2016, 573, 1178–1189. [Google Scholar] [CrossRef] [PubMed]
- Shelburne, V.B.; Forbes Boyle, F.; Lione, D.J.; Waldrop, T.A. Preliminary effects of prescribed burning and thinning as fuel reduction treatments on the Piedmont soils of the Clemson Experimental Forest. In Proceedings of the 12th Biennial Southern Silviculture Research Conference, Biloxi, MS, USA, 24–28 February 2003; Connor, K.F., Ed.; GTR-SRS–71. USDA Forest Service, Southern Research Station: Asheville, NC, USA, 2004; pp. 35–38. [Google Scholar]
- Grogan, P.; Bruns, T.D.; Chapin III, F.S. Fire effects on ecosystem nitrogen cycling in a Californian bishop pine forest. Oecologia 2000, 122, 537–544. [Google Scholar] [CrossRef]
- Canals Tresserras, R.M., San Emeterio Garciandía, L., Eds.; New Challenges of Extensive Livestock Farming: A Conservation agent in Danger of Extinction. In Proceedings of the 51st SEEP Scientific Meeting, Pamplona, Spain, 14–18 May 2012; Available online: https://academica-e.unavarra.es/handle/2454/28044 (accessed on 4 March 2024).
- Neary, D.G.; Klopatek, C.C.; DeBano, L.F.; Ffolliott, P.F. Fire effects on belowground sustainability: A review and synthesis. For. Ecol. Manag. 1999, 122, 51–71. [Google Scholar] [CrossRef]
- Ficken, C.; Wright, J.P. Nitrogen uptake and biomass resprouting show contrasting relationships with resource acquisitive and conservative plant traits. Appl. Veg. Sci. 2019, 30, 65–74. [Google Scholar] [CrossRef]
- De Lillis, M.; Federici, F.M. Gas exchange and resource-use patterns along a Mediterranean successional gradient. J. Veg. Sci. 1993, 4, 269–272. [Google Scholar] [CrossRef]
- Blank, R.R.; Zamudio, D.C. The influence of wildfire on aqueous-extractable soil solutes in forested and wet meadow ecosystems along the eastern front of the Sierra-Nevada range, California. Int. J. Wildland Fire 1998, 8, 79–85. [Google Scholar] [CrossRef]
- Fernández, I.; Cabaneiro, A.; Carballas, T. Organic matter changes immediately after a wildfire in an atlantic forest soil and comparison with laboratory soil heating. Soil Biol. Biochem. 1997, 29, 1–11. [Google Scholar] [CrossRef]
- Mataix-Solera, J.; Gómez, I.; Navarro-Pedreño, J.; Guerrero, C.; Moral, R. Soil organic matter and aggregates affected by wildfire in Pinus halepensis forest in a Mediterranean environment. Int. J. Wildland Fire 2002, 11, 107–114. [Google Scholar] [CrossRef]
- Scharenbroch, B.C.; Nix, B.; Jacobs, K.A.; Bowles, M.L. Two decades of low-severity prescribed fire increases soil nutrient availability in Midwestern, USA oak (Quercus) forest. Geoderma 2012, 183–184, 89–91. [Google Scholar] [CrossRef]
- Brye, K.R. Soil physicochemical changes following 12 years of annual burning in a humid subtropical tallgrass prairie: A hypothesis. Acta Oecol. 2006, 30, 407–413. [Google Scholar] [CrossRef]
- Lavoie, M.; Starr, G.; Mack, M.C.; Martin, T.A.; Gholz, H.L. Effects of a prescribed fire on understory vegetation, carbon pools, and soil nutrients in a longleaf pine-slash pine forest in Florida. Nat. Areas J. 2010, 30, 82–94. [Google Scholar] [CrossRef]
- Schoch, P.; Binkley, D. Prescribed burning increased nitrogen availability in a mature loblolly pine stand. For. Ecol. Manag. 1986, 14, 13–22. [Google Scholar] [CrossRef]
- Soto, B.; Díaz-Fierros, F. Interactions between plant ash leachates and soil. Int. J. Wildland Fire 1993, 3, 207–216. [Google Scholar] [CrossRef]
- Giovannini, G. The effect of fire on soil quality. Physical and chemical aspects. In Proceedings of the European School of Climatology and Natural Hazards Course, Forest Fire Risk and Management, Porto Carras, Halkidiki, Greece, 27 May–4 June 1992; European Commission: Brussels, Belgium, 1997; pp. 217–248. [Google Scholar]
- Romanyà, J.; Khanna, P.K.; Raison, R.J. Effects of slash burning on soil phosphorous fractions and sorption and desorption of phosphorous. For. Ecol. Manag. 1994, 65, 89–103. [Google Scholar] [CrossRef]
- Huerta, S.; Marcos, E.; Fernández-García, V.; Calvo, L. Short-term effects of burn severity on ecosystem multifunctionality in the northwest Iberian Peninsula. Sci. Total Environ. 2022, 844, 157193. [Google Scholar] [CrossRef]
- Fernandez, A.J. Effect of Nitrogen Concentration on High Mountain Callunar Communities. Bachelor’s Thesis, University of Leon, Leon, Spain, 2002. [Google Scholar]
- Outeiro, L.; Asperó, F.; Úbeda, X. Geostatistical methods to study spatial variability of soil cations after a prescribed fire and rainfall. Catena 2008, 74, 310–320. [Google Scholar] [CrossRef]
- Fontúrbel, M.T.; Barreiro, A.; Vega, J.A.; Martín, A.; Jiménez, E.; Carballas, T.; Fernández, C.; Díaz-Raviña, M. Effects of an experimental fire and post-fire stabilization treatments on soil microbial communities. Geoderma 2012, 191, 51–60. [Google Scholar] [CrossRef]
- Saa, A.; Trasar-Cepeda, M.C.; Gil-Sotres, F.; Carballas, T. Changes in soil phosphorus and acid phosphatase activity immediately following forest fires. Soil Biol. Biochem. 1993, 25, 1223–1230. [Google Scholar] [CrossRef]
- Goberna, M.; García, C.; Insam, H.; Hernández, M.T.; Verdú, M. Burning of fire-prone Mediterranean shrublands: Immediate changes in soil microbial community structure and ecosystem functions. Microb. Ecol. 2012, 64, 242–255. [Google Scholar] [CrossRef] [PubMed]
- Huerta, S.; Fernández-García, V.; Calvo, L.; Marcos, E. Soil resistance to burn severity in different forest ecosystems in the framework of a wildfire. Forests 2020, 11, 773. [Google Scholar] [CrossRef]
- González-Pelayo, O.; Andreu, V.; Campo, J.; Gimeno-García, E.; Rubio, J.L. Hydrological properties of a Mediterranean soil burned with different fire intensities. Catena 2006, 68, 186–193. [Google Scholar] [CrossRef][Green Version]
- DeBano, L.F. The role of fire and soil heating on water repellency in wildland environments: A review. J. Hydrol. 2000, 231–232, 195–206. [Google Scholar] [CrossRef]
- Lewis, T.; Reif, M.; Prendergast, E.; Tran, C. The effect of long-term repeated burning and fire exclusion on above- and belowground Blackbutt (Eucalyptus pilularis) forest vegetation assemblages. Austral Ecol. 2012, 37, 767–778. [Google Scholar] [CrossRef]
- Crawley, M.J. Plant–Herbivore Dynamics in Plant Ecology; Crawley, M.J., Ed.; Wiley Online Library: Hoboken, NJ, USA, 1997; pp. 401–474. [Google Scholar] [CrossRef]
- Proulx, M.; Mazumder, A. Reversal of grazing impact on plant species richness in nutrient-poor vs. nutrient-rich ecosystems. Ecol. 1998, 79, 2581–2592. [Google Scholar] [CrossRef]
- Rodrigo-Comino, J. Five decades of soil erosion research in “terroir”. The State-of-the-Art. Earth Sci. Rev. 2018, 179, 436–447. [Google Scholar] [CrossRef]
- Rigolot, E.; Lambert, B.; Pons, P.; Prodon, R. Management of a mountain rangeland combining periodic prescribed burnings with grazing: Impacts on vegetation. In Fire and Biological Processes; Trabaud, L., Prodon, E., Eds.; Backhuys: Leiden, The Netherlands, 2002; pp. 325–337. [Google Scholar]



| Treatment Site | Wind Speed (km/h) | Wind Direction | Temperature (°C) | Relative Humidity (%) |
|---|---|---|---|---|
| Shrubland | ||||
| G1 | 12.72 (5.41) | S | 19.78 (0.80) | 37.41 (1.33) |
| G2 | 14.82 (4.57) | SE | 17.74 (0.62) | 40.12 (1.13) |
| G3 | 18.06(4.12) | SE | 18.53 (0.53) | 40.82 (1.48) |
| Heathland | ||||
| C1 | 17.93 (1.24) | SW | 12.77 (0.90) | 78.57 (3.43) |
| C2 | 6.93 (0.59) | S | 18.43 (0.60) | 51.30 (4.40) |
| C3 | 16.70 (1.65) | W | 10.60 (0.89) | 89.63 (4.76) |
| Land Cover Variable | Shrub-Dominated Plots | Heath-Dominated Plots |
|---|---|---|
| Shrub height (cm) | 25.96 (7.50) | 27.16 (5.68) |
| Shrub cover (%) | 82.66 (20.49) | 85.23 (13.84) |
| Herbaceous cover (%) | 19.17 (18.37) | 3.30 (4.42) |
| Bare ground (%) | 1.76 (3.76) | 9.56 (9.42) |
| Rocks (%) | 0.44 (1.40) | 0.03 (0.31) |
| Soil Property | Time | Treatment | Treatment × Time | |||
|---|---|---|---|---|---|---|
| F-Value | p-Value | F-Value | p-Value | F-Value | p-Value | |
| pH | 1.3305 | 0.8562 | 5.5411 | 0.1362 | 0.203 | 0.9035 |
| Organic matter | 5.6079 | 0.2304 | 3.9462 | 0.2673 | 3.0079 | 0.2223 |
| Total N | 39.703 | 4.987 × 10−8 *** | 10.586 | 0.01419 * | 6.921 | 0.03141 * |
| C/N ratio | 59.974 | 2.937 × 10−12 *** | 3.241 | 0.3559 | 2.500 | 0.2865 |
| Available P | 31.183 | 2.809 × 10−6 *** | 12.415 | 0.006089 ** | 6.0566 | 0.0584 |
| Ca | 3.7625 | 0.4391 | 6.364 | 0.09518 | 1.3868 | 0.4999 |
| Mg | 6.047 | 0.1957 | 3.5746 | 0.3112 | 2.946 | 0.2292 |
| K | 29.791 | 5.397 × 10−6 *** | 21.131 | 9.887 × 10−5 *** | 19.517 | 5.78 × 10−5 *** |
| NH4+ | 11.585 | 0.05072 | 11.054 | 0.01144 * | 10.181 | 0.006153 ** |
| NO3− | 7.0128 | 0.1352 | 4.2107 | 0.2396 | 3.7576 | 0.1528 |
| Phosphatase | 94.522 | <2.2 × 10−16 *** | 14.945 | 0.001864 ** | 4.4457 | 0.1083 |
| β-Glucosidase | 22.868 | 0.0001345 *** | 2.559 | 0.521 | 0.0932 | 0.9545 |
| Urease | 12.239 | 0.01566 * | 5.6764 | 0.1285 | 2.9812 | 0.2252 |
| Moisture | 81.608 | <2.2 × 10−16 *** | 8.9216 | 0.03035 * | 7.5816 | 0.02258 * |
| Soil Property | Time | Treatment | Treatment × Time | |||
|---|---|---|---|---|---|---|
| F-Value | p-Value | F-Value | p-Value | F-Value | p-Value | |
| pH | 4.2317 | 0.3756 | 2.1127 | 0.5493 | 1.9987 | 0.3681 |
| Organic matter | 10.943 | 0.05721 | 13.768 | 0.003239 * | 5.869 | 0.05316 |
| Total N | 14.938 | 0.004831 ** | 10.013 | 0.01846 * | 5.44333 | 0.0661 |
| C/N ratio | 24.605 | 6.038 × 10−5 *** | 3.4781 | 0.3236 | 1.3686 | 0.5044 |
| Available P | 30.221 | 4.412 × 10−6 *** | 6.8117 | 0.07815 | 4.3548 | 0.1133 |
| Ca2+ | 14.771 | 0.005201 ** | 2.6334 | 0.4517 | 2.2021 | 0.3325 |
| Mg2+ | 21.474 | 0.000255 *** | 2.3773 | 0.4979 | 2.2971 | 0.3171 |
| K+ | 21.605 | 0.0002402 *** | 3.3061 | 0.3468 | 2.5205 | 0.2836 |
| NH4+ | 20.374 | 0.0004213 *** | 8.1417 | 0.05317 | 7.9808 | 0.01849 * |
| NO3− | 1.9453 | 0.7458 | 1.6253 | 0.6537 | 1.5221 | 0.4672 |
| Phosphatase | 125.83 | 2.2 × 10−16 *** | 1.5105 | 0.6798 | 1.4945 | 0.4737 |
| β-Glucosidase | 8.9473 | 0.06243 | 14.945 | 0.001864 ** | 4.4457 | 0.1083 |
| Urease | 21.908 | 0.0002091 *** | 8.5087 | 0.03659 * | 2.267 | 0.2315 |
| Moisture | 71.207 | 1.262 × 10−14 *** | 14.307 | 0.002516 ** | 9.4396 | 0.008917 ** |
| Soil Variable | Time | Treatment | Treatment × Time | |||
|---|---|---|---|---|---|---|
| F-Value | p-Value | F-Value | p-Value | F-Value | p-Value | |
| pH | 1.111 | 0.5738 | 3.9604 | 0.138 | 0.0041 | 0.9491 |
| Organic matter | 5.8721 | 0.01538 * | 8.0437 | 0.01792 * | 5.8721 | 0.01538 * |
| Total N | 9.0524 | 0.01082 * | 8.6048 | 0.01354 * | 5.6319 | 0.01764 * |
| C/N ratio | 49.138 | 2.13 × 10−11 *** | 2.4952 | 0.2872 | 2.3875 | 0.1223 |
| Available P | 5.901 | 0.05231 | 9.4861 | 0.008712 ** | 5.8316 | 0.01574 * |
| Ca2+ | 2.601 | 0.2724 | 2.1913 | 0.3343 | 2.1543 | 0.1422 |
| Mg2+ | 0.5836 | 0.7469 | 1.1734 | 0.5562 | 0.5033 | 0.478 |
| K+ | 4.1099 | 0.1281 | 4.3304 | 0.1147 | 4.0483 | 0.05422 |
| NH4+ | 6.5419 | 0.03797 * | 9.9933 | 0.00676 ** | 5 × 10−4 | 0.9816 |
| NO3− | 6.1477 | 0.04624 * | 7.6636 | 0.02167 * | 5.9515 | 0.0147 * |
| Phosphatase | 56.613 | 5.089 × 10−13 *** | 10.899 | 0.004298 ** | 4.3868 | 0.03622 * |
| β-Glucosidase | 17.65 | 0.000147 *** | 1.4946 | 0.4736 | 0.1988 | 0.6557 |
| Urease | 0.8235 | 0.6625 | 0.7103 | 0.7011 | 0.1073 | 0.7432 |
| Moisture | 41.5 | 9.735 × 10−10 *** | 5.2371 | 0.07291 | 0.2763 | 0.5991 |
| Soil Variable | Time | Treatment | Treatment × Time | |||
|---|---|---|---|---|---|---|
| F-Value | p-Value | F-Value | p-Value | F-Value | p-Value | |
| pH | 3.1956 | 0.2023 | 0.396 | 0.8204 | 0.0549 | 0.8147 |
| Organic matter | 0.6301 | 0.7297 | 0.908 | 0.6348 | 0.0887 | 0.7658 |
| Total N | 9.3447 | 0.00935 ** | 2.6658 | 0.2637 | 2.6061 | 0.1065 |
| C/N ratio | 14.31 | 0.0007811 *** | 1.5622 | 0.4579 | 0.8843 | 0.347 |
| Available P | 22.461 | 1.327 × 10−5 *** | 1.7457 | 0.4178 | 1.3788 | 0.2403 |
| Ca | 13.265 | 0.001317 ** | 14.298 | 0.0007857 *** | 6.0884 | 0.01361 * |
| Mg | 14.32 | 0.007769 ** | 10.04 | 0.006606 ** | 4.5587 | 0.0327 * |
| K | 2.7467 | 0.2533 | 14.325 | 0.0007749 *** | 0.8271 | 0.3631 |
| NH4+ | 13.553 | 0.00114 ** | 4.9405 | 0.0845 * | 4.0914 | 0.0431 * |
| NO3− | 5.7085 | 0.0576 | 2.5223 | 0.2833 | 0.6753 | 0.4112 |
| Phosphatase | 37.65 | 6.67 × 10−9 *** | 0.2979 | 0.8616 | 0.006 | 0.9384 |
| β-Glucosidase | 4.7533 | 0.09286 | 7.4985 | 0.02354 * | 0.76 | 0.3833 |
| Urease | 4.4464 | 0.1083 | 1.216 | 0.5242 | 0.0486 | 0.8255 |
| Moisture | 51.52 | 6.496 × 10−12 *** | 15.022 | 0.0005471 *** | 0.4111 | 0.5214 |
Disclaimer/Publisher’s Note: The statements, opinions and data contained in all publications are solely those of the individual author(s) and contributor(s) and not of MDPI and/or the editor(s). MDPI and/or the editor(s) disclaim responsibility for any injury to people or property resulting from any ideas, methods, instructions or products referred to in the content. |
© 2024 by the authors. Licensee MDPI, Basel, Switzerland. This article is an open access article distributed under the terms and conditions of the Creative Commons Attribution (CC BY) license (https://creativecommons.org/licenses/by/4.0/).
Share and Cite
Cadenas, R.M.; Castedo-Dorado, F.; Valbuena, L. Medium-Term Comparative Effects of Prescribed Burning and Mechanical Shredding on Soil Characteristics in Heathland and Shrubland Habitats: Insights from a Protected Natural Area. Fire 2024, 7, 160. https://doi.org/10.3390/fire7050160
Cadenas RM, Castedo-Dorado F, Valbuena L. Medium-Term Comparative Effects of Prescribed Burning and Mechanical Shredding on Soil Characteristics in Heathland and Shrubland Habitats: Insights from a Protected Natural Area. Fire. 2024; 7(5):160. https://doi.org/10.3390/fire7050160
Chicago/Turabian StyleCadenas, Rosa M., Fernando Castedo-Dorado, and Luz Valbuena. 2024. "Medium-Term Comparative Effects of Prescribed Burning and Mechanical Shredding on Soil Characteristics in Heathland and Shrubland Habitats: Insights from a Protected Natural Area" Fire 7, no. 5: 160. https://doi.org/10.3390/fire7050160
APA StyleCadenas, R. M., Castedo-Dorado, F., & Valbuena, L. (2024). Medium-Term Comparative Effects of Prescribed Burning and Mechanical Shredding on Soil Characteristics in Heathland and Shrubland Habitats: Insights from a Protected Natural Area. Fire, 7(5), 160. https://doi.org/10.3390/fire7050160

