Abstract
Refineries are industrial complexes of great economic importance which are located close to major cities. A pool fire accident that can occur from an oil leak combined with wind can result in disastrous consequences for such an industry. This study investigates the characteristics of an isolated n-heptane square pool fire of 36 m2 under the influence of a cross wind. The pool fire characteristics are numerically studied using open-source Computational Fluid Dynamics (CFD) software, such as FireFoam (v4.1) and Fire Dynamic Simulator (FDS) (version 6.9.0). The turbulent flow field and the fire characteristics were simulated with the LES Method. The crucial parameters of the pool fire, such as (a) the temperature and velocity fields, (b) the flame length and height, (c) the surface emissive power, and (d) the flame tilt angles, were computed. Comparisons against experimental data for both small and large-area pool fires from the literature were made successfully. The flame tilt angle is shown to correlate very well with the reciprocal of the Richardson number, which was approximated within a multiplication constant to the Froude number. Thus, both the reciprocal Richardson number and Froude number can be used for correlating the flame tilt angle. It is shown that both of these numbers are used to correlate the tilt angle of experimental pool fires with effective diameters from a fraction of a meter to approximately 16 m, and wind speeds up to 7 m/s. The goodness of a linear fit based on the sum of the residual squares is 0.91.
1. Introduction
The most frequent and disastrous accident that can occur in the oil industry involves a pool fire caused by the release of hazardous materials from a storage tank [1,2], which can cause harm to both the economic and social sectors [3,4,5]. A pool fire can occur in various locations, such as tank farms, complex areas of buildings [6,7], vehicles on tunnels [8], and motorways.
Hydrocarbon pool fire accidents were classified by Zheng according to their probability and location [9]. Based on previous incidents, pool fire accidents occur at oil refineries with a probability of 30%, at oil storage facilities with 22%, and at petrol stations with 6%. The main cause of a pool fire is the spilling and release of flammable materials from equipment. When these materials are in a liquid state, the pool fire can be initiated at low temperatures. The presence of various ignition sources such as spontaneous ignition, electric sparks, static electricity, and lightning can trigger a fire. As the pool fire forms, the evaporation and turbulent diffusion of flames become apparent. Key characteristics of this type of fire include buoyancy forces, convection resulting from air entrainment, heat radiation from the combustion process, and the presence of unburned products such as soot concentration.
The fire can be divided into three distinct regions [10,11]. The first region is the flame region (luminous zone), which pertains to the immediate area of the pool fire and is characterized by high brightness. The next region, called the intermittent region, represents the turbulent flame puffing with blast flames. Finally, the plume region involves the convection of combustion products combined with ambient air, where unburned reaction products are observed. According to Hu [12], the characteristics of a pool fire can become complex when influenced by wind passing over it. These morphological characteristics include flame tilt, flame length, and base drag of the flame, all of which are affected by the velocity of the free stream. The flame tilt moves downwash, increasing the intensity of the radiation and spreading the flame. The flame length is a combination of low momentum and buoyancy, and changes based on the rate of air entrainment, the inclination of the flame, and the rate of fuel evaporation due to temperature. The base flame drag is produced by the inertial forces of wind velocity. This occurs as an extension of the flame length, where the density of the evaporated fuel is higher than that of the atmospheric air. At the area of the pool fire, the density of evaporated fuel is at its maximum. As the distance from the pool fire increases, the density of evaporated fuel decreases. This ratio is observed using the dimensionless Froude number, which compares the buoyant forces to the inertial forces.
Before the development of computational fluid dynamics and numerical methods, the study of pool fires was carried out by conducting large-scale experiments in open areas. Chatris [13] conducted experiments with hydrocarbon pool fires, examining gasoline and diesel pool fires with individual diameters of 3, 4, and 1.5 m, respectively. Their study specifically focused on the effect of wind speed on the burning rate and evolution of the pool fire. They concluded that wind speed plays a decisive role in large-scale pool fires. Additionally, a few studies of outdoor, real-scale pool fires have been conducted under controlled wind conditions. Such experiments include those of Lei, Deng [14,15] on large-scale open fuel pools with areas of 50 m2, 100 m2, 380 m2, and 400 m2, using diesel oil and RP-5 aviation fuel at wind speeds ranging from 0 to 17 m/s, created by a large-scale open jet wind tunnel. They also performed extensive scaling analysis of their results to correlate the characteristic parameters of large-scale pool fires with respect to both pool size and wind velocity.
Several studies have examined real-scale experiments of isolated liquid hydrocarbon pool fires using a variety of Computational Fluid Dynamics (CFD) codes, including SOFIE, FLUENT, FLACS, FDS, and FireFoam [16,17,18]. These studies have shown that the numerical results are in good agreement with the experimental data. Wang and Wen [19] compared five real-scale small heptane pool fires with the numerical results obtained using the FireFoam. The flame exhibited different heights during a transitional period in which soot was produced. Vasanth [20] used numerical methods to study the properties of a diesel pool fire of 3 m diameter using four different turbulence models as follows: (a) the standard k-ε, (b) the k-ε RNG, (c) the realizable k-ε, and (d) the k-ω, to estimate the temperature and velocity fields, as well as the characteristics of the fire plume. The standard k-ε model closely matched the experimental temperature and velocity fields. Several experiments have been made on methane pool fires. Maragkos and Merci [21] examined the characteristics of 1 m methane pool fire using the FDS and FireFoam codes and concluded that the FireFoam code overestimates the temperature field of the flame plume region compared to FDS. Additionally, due to the warmer combustion products in the plume region, they observed variations between FDS and FireFoam for the mixing time scale.
Although several studies, both experimental and numerical, exist in the literature focusing on pool fires, particularly in recent years in part due to climate change, these studies typically focus on either laboratory-scale pool fires or very large-scale pool fires. There is a need to validate numerical codes within the same study for their performance against both small- and large-scale experiments under well-defined and stable conditions. In the case of lab-scale experiments, the conditions are well-defined, something which is approximately the case for open-air experiments too. Only very recently have experiments on very large-scale pool fires in open spaces been conducted under well-defined conditions, such as those by Lei, Deng [14,15]. The present study is an effort in this direction, using two well-accepted and reliable numerical codes, FDS and FireFoam, to validate them against each other and the well-defined experimental data for small- and large-scale pool fires.
The objective of the present study is to identify the characteristics of an n-heptane square pool fire with an area of 36 m2 under the influence of 1.1 m/s wind speed. This pool size is at the lower end of large-scale and the upper end of small-scale pool fires. This size choice is made to numerically study the pool characteristics and to validate the results with experimental data for both small- and large-area pool fires, thereby bridging the gap B gratipingin the literature between these two separate regions. The characteristics of the wind-induced pool fire include buoyancy forces, toxic pollutant dispersion, and temperature distribution. The characteristics of a heptane pool fire are computed using the open-source Computational Fluid Dynamics (CFD) codes of FDS and FireFoam. The numerical results are compared against the full-scale experimental data of Rengel, Mata [22], and Munoz, Arnaldos [23] for the low range, and the experimental data of Lei, Deng [14,15] for large- and very large-scale open space fuel pool fires, as well as empirical correlation models. The Large Eddy Simulation (LES) methods are used, and the main characteristics of the fire, such as its physical quantities, temperature field, and the velocity of the thermal plume, are determined.
2. Description of the Case
The setting in which the pool fire takes place is described by a square computational domain of an equal length and width of 21.2 m and a height of 50 m, similar to the study of Rengel, Mata [22]. As shown in Figure 1, a rectangular pool fire of a 60 MW intensity is positioned at the center of the computational domain. The pool fire area is 36 m2 with a HRRPUA (Heat Release Rate Per Unit Area) of 1.6 MW/m2, and it is located on the ground floor. The smoke yield defines the ratio of the produced smoke mass divided by the burned fuel mass (kg smoke/kg fuel), and for crude oil this is 12.5% [24]. The fuel used is referred to as heptane with a typical composition of C7H16 and combustion products of 0.037 kg/s soot. According to Gong, Ding [25], for numerical simulations heptane could be surrogate for diesel. The conditions of the simulation are atmospheric, with a pressure of 101 kPa and temperature of 293 K. The wind orientation is applied streamwise at 0° with a speed of 1.1 m/s.
Figure 1.
Computational domain of the isolated pool fire.
The numerical data for the mean temperature TMean (in K) are collected along the central line of the pool fire at five different height levels using thermocouples positioned at TP1 = 2.84 m, TP2 = 3.96 m, TP3 = 5.53 m, TP4 = 6.96 m, and TP5 = 11.01 m. The average flame height is determined from the temperature field, corresponding to approximately 575 K, as indicated by Drysdale [26].
2.1. Model Details
The pool fires are studied using the open source numerical codes of FDS (version 6.9.0) and FireFoam (version 4.1), and their results are compared against experimental data from Munoz, Arnaldos [23] and Rengel, Mata [22]. Experimental temperature measurements were obtained using 3 mm diameter Type K thermocouples at specified points, with temperature fields recorded using a VHS camera and an infrared (IR) thermographic camera. The FDS code, which is based on incompressible approximation (with Mach number less than 0.3) and solves the Navier–Stokes equations using Fourier Transform methods, has been developed at NIST (National Institute of Standards and Technology). The FireFoam numerical code, which solves the Navier–Stokes equations using unstructured finite volume grids, has been developed by FM-Global. The Large Eddy Simulation (LES) equations are used for simulating the flow using the Smagorinsky turbulence model, where the large eddies are simulated and the sub-grid eddies are modeled.
The chemical reaction of C7H16 is shown below:
C7H16 + 11 O2 + 41.36 N2 → 7 CO2 + 8 H2O + 41.36 N2
Combustion is modeled using a one-step infinitely fast irreversible reaction, combined with the Eddy Dissipation Model (EDM) [27] to define the fuel mass reaction rate, as shown in Equation (2). The one-step infinitely fast reaction is an assumption used in the fire computational code that refers to a simplified reaction. The main purpose of this simplified approach is to predict the temperature field and combustion product species without accounting for the detailed chemical kinetic mechanisms of the reaction.
where s is the stoichiometric oxygen to fuel mass ratio, and are the fuel and oxygen mass fractions, and τmix is the mixing time scale. The Courant–Friedrichs–Lewis number is set at CFL < 1. The average transport quantities are estimated during the computational period of 50 s and 150 s because all the physical quantities have reached stationarity. This period agrees with the experimental data of Munoz, Arnaldos [23], as the pool fire reaches steady state conditions between 50 s and 150 s.
2.1.1. Burning and Heat Release Rates
The fuel mass loss rate or burning rate per unit area under calm conditions is calculated according to Babrauskas [28] as follows:
where is the burning rate of a pool with diameter , is the burning rate of an infinite diameter pool, and the extinction coefficient. According to Hottel H.C. [29], for large diameter fires, the conduction term becomes negligible, the convection term is constant, and the radiation term is constant and dominant. Thus, the burning rate should become constant for large diameter liquid fires. Under the influence of cross wind, the burning rate will increase with cross air flow speed, and eventually it will approach an asymptotic limit, according to Blinov V. [30], as follows:
where is the mass burning rate under quiescent conditions, is the asymptotic burning rate limit, and γ is the parameter of wind speed enhancement. When γu is very small, Equation (5) above is simplified to:
The experimental data of Hu, Wu [31], show that the wind speed linearly enhances the burning rate for pool fires with diameters D = 10, 15, 20, and 25 cm for Heptane and Ethanol fuels, and in the range of wind speeds of 0–2.5 m/s, according to the model below:
where is the effective heat of evaporation, as shown in equation below:
hfg is the latent heat of evaporation, is the specific heat of fuel, is the inverse value of pool diameter, and u is the wind speed.
Similar correlations with respect to the enhancement of burning rate and wind speed for very large pool fires were tested experimentally by Lei, Deng [14] and Lei, Deng [15]. Since the large-scale pool fires are dominated by radiation, the burning rate could be related to the thermochemical property of fuel by
where and are, respectively, the ideal heat of combustion and the effective heat of gasification, and C is a constant.
The burning rate with wind speed for a specific pool diameter
where and , respectively, denote the burning rates under calm conditions and the asymptotic constant value under windy conditions, and are both determined by fuel type; α is a parameter depending on fuel type and pool size.
The fuel mass loss rate and Heat Release Rate (HRR) are calculated according to Babrauskas [28]:
where is the fuel mass loss rate per unit area, is the surface area of the pool, and ΔHc,eff is the heat of combustion.
2.1.2. Flame Height
Several empirical equations exist to summarize fire characteristics. One of them is the Heskestad [32] empirical correlation, which can be used to predict the flame height of a dynamic fire:
where H(m) refers to the flame height, D(m) to pool fire diameter, and to the Heat Release Rate of fuel. The constant of 0.235 is used based on the assumption of environmental conditions of 300 K and pressure of 101 kPa.
2.1.3. Flame Tilt Angle
A pool fire in a windy environment is typically tilted due to the combined effects of inertial forces from the wind and buoyant forces resulting from the density differences between the combustion products and the surrounding atmospheric air. The tilt angle of the flame is a very important parameter of pool fires both from qualitative and quantitative points of view, qualitatively in interpreting the combustion behavior and quantitatively in calculating the feedback radiant energy to the burning fuel and the radiant hazard.
The first best critical review pointing in the right direction for the proper scaling in calculating this parameter is made by Pitts [33]. Drysdale [34] also points in the same direction, guiding the readers of his fire dynamics book to consult the above source. Then, according to Pitts [33], “The most significant work on modeling the angle of spreading fires in the presence of wind is that of Fang [35]. This expression is very similar to ones developed earlier by Welker, Pipkin [36] following the work of Pipkin and Sliepcevich [37] and derived independently by Hamada [38] much earlier”. An extensive recent review on pool fires and existing correlations across almost all characteristic parameters of pool flames, including the flame tilt angle, is given by Chen, Fang [39].
Fang [35] developed the following model for the flame tilt angle of a turbulent pool fire in terms of the Froude number:
where is the flame drag coefficient and is the ratio of the densities of the fuel at the source and the ambient surrounding air. Fang [35] showed that his experimental results for three different fuel types were well correlated with his model against the Froude number, with 1.54 as the value of the proportionality constant.
Welker, Pipkin [36], Welker and Sliepcevich [40] developed an expression for the flame tilt angle, , applying a momentum balance on a flame of cylindrical form, under the following assumptions: (a) the air entrainment is uniform around the flame, (b) there is no net momentum influx due to the influx of air, (c) the effect of the streamlines trailing the flame is small compared to the bulk of the flame, and (d) the fuel momentum term is small in comparison with the buoyancy term. This expression is:
where is the dimensionless flame drag coefficient and is the density of flame. The term , which appears naturally in the vertical momentum differential equation in problems of natural convection, is removed because it tends to be a constant value at high flame temperatures. At the same time, they introduce the term , with as the density of fuel gas, through the correlation of . This correlation, from wind tunnel data, is used to find for the following liquid fuels: methanol, acetone, n-hexane, cyclohexane, and benzene. Substituting the correlation in Equation (13) and considering the above assumptions, results in the following equation:
where the constants a, b, and c were derived from the wind tunnel experimental data to obtain the final form:
The application of Equation (15) to larger scale pool fires by Beyler [41] does not perform very well. Jiang and Lu [42], based on a basic analysis of the ratio of the horizontal and vertical forces acting on a gas element of volume dv traveling through the flame, estimated this ratio to be:
where the reciprocal of the right-hand side of Equation (16) is the Richardson number, which describes the ratio of buoyant to inertial forces in flows in which appears as dimensional parameter. Using ideal gas law, Equation (16), under constant pressure conditions, becomes:
Combining Equation (17) with Equation (13), then:
It should be noted from Equation (18) that the Froude number is part of .
In general, one may expect that . However, Jiang and Lu [42] demonstrated very good correlation by linearly fitting their experimental data to Equation (18) and considering a constant value for .
Another type of correlation on pool fires, and one of the earliest proposed, is by Thomas [43]. Based on experiments with wood crib fires, this correlation takes into account the effect of wind speed on the mass burning rate. The Thomas correlation is:
where is the dimensionless wind speed, is a characteristic velocity of a thermal plume rising, and .
AGA (American Gas Association), based on experimental measurements modified the Thomas correlation [43], to be as shown below:
This correlation predicts zero tilt angle at low wind speeds (approximately lower than 1 m/s), when experiments show that a significant flame tilt angle may still occur. Several other models of this type have been proposed.
One of the most recent models for the flame tilt angle proposed is that by Hu, Liu [44]. This dimensionless parameter equates wind speed to a characteristic velocity of the rising flame. This model incorporates the flame burning rate, which changes with the inertia force of wind speed.
where (kg/m3) is the density of ambient air, (kJ/kgK) is the specific heat of ambient air, (K) is the temperature difference between the fire and the ambient environment, (kJ/kg) is the fuel heat of combustion, (K) is the ambient temperature, D (m) is the pool diameter, u (m/s) is the air velocity, and (kg/m2s) is the fuel mass loss rate per unit area. This correlation has been shown to perform well on pool sizes up to 70 cm in pool fire diameter and for velocities in the range of 0–5 m/s, Chen, Fang [39].
2.1.4. Correlations for Surface Emissive Power
Several correlations exist for the Surface Emissive Power (SEP) of flames, based on experimental measurements. Shokri and Beyler [45] proposed a correlation to estimate the SEP, as given in Equation (22), while Mudan [46] developed an algorithmic model to estimate the heat flux for hydrocarbons. This model combines the heat flux of a flame without soot with that of a flame fully covered by soot, as shown in Equation (23). The correlation proposed by Shokri and Beyler [45] tends to underpredict the SEP of the flame, whereas the numerical results align more closely with those obtained using Mudan’s correlation.
where refers to the SEP of the equivalent radiator. as the maximum smoke emissive power and is the coefficient of flame extinction.
The emissive surface power of pool fire (SEP) is computed numerically using the equation below:
where σ is the Stephan–Boltzmann constant, which is equal to 5.67 (, TF is the flame temperature (K), Ta is the ambient temperature (K), and is the flame emissivity. The surface emissive power of hydrocarbon pool fires decreases due to unburned products such as soot. The average surface emissive power compared with the experimental data of Munoz, Planas [47] is shown in Figure 12.
3. Numerical Model
In this section, we discuss the reliability of the FDS and FireFoam codes by highlighting some of their differences. The FDS is less computationally intensive than the FireFoam due to the different algorithms used to solve the discretized equations. This solution is optimized by employing parallel processing capabilities to reduce computation time. Specifically, the solution for the entire computational domain was assigned to nine processors. Both numerical codes are sensitive to the mesh topology in relation to the physics of the fire plume. For the effective solution of the plume optimum, PRI values should be used.
Fire characteristics are simulated using LES methods, and the FDS and FireFoam models are applied. FDS solves the computational domain by an explicit predictor-corrector finite difference scheme and a direct FFT solver is used for the Poisson equation of pressure. FireFoam uses an iterative method to solve the Navier–Stokes equations.
The Favre filter is implemented in the Navier–Stokes equations for a compressible flow, including the conservation equations for mass, momentum, chemical species, and sensible enthalpy. The Favre filter implementation on a physical variable is noted by the hat symbols of “~” and “-”.
The fundamental equations simulated are the following:
where is the velocity, is the density, μ is the laminar viscosity, is the sub-grid scale viscosity, is the pressure, I is the identity tensor, is the species mass fraction, is the gravitational acceleration on the vertical direction, is the dimensionless turbulent Schmid number, is the species mass diffusivity, is the sensible enthalpy, is the thermal diffusivity, is the turbulent Prandtl number, is the thermal rate of species reaction rate, is the radiative heat flux, refers to the heat release rate per unit volume during combustion, and ΔHC is the heat formation of fuel released by the combustion. These numerical simulations were carried out using supercomputer facilities with nine cores and 56 GB of memory allocation, which typically resulted in a 24 h computational time.
In the FDS, the Finite Volume Method [48] (FVM) is used to calculate the diffuse transport, while in FireFoam, a method referred to as a Finite Volume Discrete Ordinance Method (fvDOM) is employed. On closer inspection, the two techniques are nearly identical. As a result, common concepts and procedures are first presented briefly, followed by a discussion of a few but significant differing features. The main purpose of the fvDOM is to solve the Radiation Transport Equation (RTE) at a finite number of discrete angles with an iterative algorithm. The equation of the Radiation Transport Equation (RTE) is as follows:
where I(r,s) is the radiation intensity at a standard point in the direction s by the position vector r, β is the extinction coefficient defined as the sum of scattering σs and absorption κ coefficients, and Ι_(si) is the intensity of reaction at the position vector for all possible directions si [49].
In FireFoam, the convective and scalar transport terms are solved using a second-order accurate scheme. A PIMPLE algorithm is used for pressure–velocity coupling. The governing equations are advanced in time by a second-order accurate explicit Crank–Nickolson scheme, and the pressure equation is solved with a GAMG solver. The convective mass transport term is discretized with a second-order central difference scheme and the scalar transport terms with a second-order TVD scheme.
In contrast, the governing equations in FDS are updated in time with a second-order explicit Runge–Kutta numerical scheme. The pressure equation is solved with a Fast Fourier Transform (FFT) solver. The convective terms are the upwind biased differences in the predictor steps and the downwind biased differences in the corrector steps. The boundary conditions for FDS are considered as open boundaries at the upper surface and all vertical sides of the computational domain, which allow atmospheric air to enter or exit the field and the HRRPUA on the pool surface. The ground is considered a wall boundary condition. In FireFoam, the outlet and lateral boundary conditions are set as zero Neumann conditions, and the inlet boundary condition is set at a fixed velocity value. For the pressure, a Dirichlet boundary condition is used at the sides of the computational domain.
The dimensionless size of the grid required for the satisfactory resolution of the plume simulation is chosen based on the Plume Resolution Index (PRI), which is defined below:
where δχ refers to the cell size in the region of pool fire and D* is the characteristic fire diameter, calculated as follows:
where Cp is the specific heat (J/kgK), is the ambient air temperature (K), is the air density (kg/m3), g is the gravitational acceleration (m/s2), and is the heat release rate (W).
The three following different grids are examined: (a) a coarse grid with δχ = 1.18 m, (b) a moderate mesh with δχ = 0.47 m, and (c) a fine mesh with δχ = 0.3 m. The number of cells for each mesh size are 14,582, 248,832, and 1,012,500, respectively. Then, the D*/δχ ratio is 4 for the coarse mesh, 10 for the medium, and 16 for the fine mesh sizes, respectively. For the selected grid sizes, the plume resolution index is in the range of 5.8–10.0. McGrattan [50] undertook a series of sensitivity analyses for FDS, where the suitable PRI values typically ranged from 4 (coarse) to 16 (refined), and McDermott R, Forney G [51] indicated that for a PRI ≈ 10, the grid resolution is satisfactory.
The grid sensitivity, in estimating the errors in the results, is based on the Grid Convergence Index (GCI) methodology applied to three different meshes.
The GCI is calculated with the following equation:
where is the numerical solution obtained with a coarse mesh, is the numerical solution obtained with a fine mesh, r is the refinement factor between the coarse and fine meshes, and p is the order of the numerical discretization scheme. In this case, the accuracy of the discretization scheme is second-order (p = 2) and the refinement factor is 1.59.
The GCI is examined for the mean values of soot concentration. These values are extracted from a symmetry line of the pool fire with coordinates, x = 0, z = 0 m, and y = 0 to 50 m, with 50 sampling points. In both CFD codes, the index shows a small deviation between the two meshes. Specifically, for FireFoam, the mean numerical discretization error between moderate and finer meshes is approximately 0.8%, and for FDS, it is 1%.
4. Results and Discussion
The numerical computer simulations of the isolated pool fire match both the geometry and the initial and boundary conditions of the experiments conducted by Munoz, Arnaldos [23] and Rengel, Mata [22]. The experimental temperature data along the vertical axis of the plume correspond to the mean values at five dimensionless vertical positions above the pool center. These data, obtained using thermocouples, are shown in Table 1. A comparison of these measurements against the numerical simulations of FDS and FireFoam shows the following: (a) There is a very good agreement between the experiments and the FireFoam results, up to a dimensionless height of H/D = 1, which covers the region of the diffusion flame. At greater heights, there is a deviation of almost 50 K. The FDS results show a vertical displacement with respect to the experiments. (b) This behavior will be explained based on the contour plots shown below. The evaluation of the numerical results takes into account the quantification method by Ma and Quintiere [52]. The temperature differences between the numerical results and the experimental data for FDS and FireFoam, respectively, are as follows: a positive deviation of 8% and 4.0% at a dimensionless flame height of 0.473, and a higher deviation of 13% and 15% at a dimensionless flame height of 1.83. These last differences are explained in the discussion of the contour plots of the flame temperature.
Table 1.
Comparison of mean temperatures against the experimental data from [22,23].
Figure 2 and Figure 3 compare the computed flame fields of average temperature and vertical velocity obtained with the two different codes, respectively. The contour plots appear similar. Regarding the temperature fields, FDS shows a higher temperature and a greater flame tilt angle in the diffusion part of the flame near the pool fire compared to FireFoam. These differences can explain the variation in the mean temperature along the vertical axis of the pool for the two codes, as shown in Figure 4.
Figure 2.
Contours of mean temperature fields at the symmetry plane (Z = 0) with (a) FDS and (b) FireFoam computational codes.
Figure 3.
Contours of vertical mean velocity at the symmetry plane (Z = 0) with (a) FDS and (b) FireFoam codes.
Figure 4.
Comparisons of mean temperatures against the experimental data from Rengel, Mata [22], Munoz, Arnaldos [23].
In the case of FireFoam, the temperature results agree well with the experimental results of Munoz, Arnaldos [23]. Additionally, the fact that the flame tilt angle is almost identical between the experimental and numerical results indicates that the combustion model used is accurate. In the plume region, the FDS results show a flame tilt angle that remains approximately constant, but in the case of FireFoam, the angle decreases with vertical distance. This discrepancy seems to account for the differences in mean temperature compared to the experimental results in this region, Figure 4 above. One of the main reasons for this small deviation is the mixing time scale of combustion models, as mentioned by Maragkos and Merci [21].
The fields of vertical mean velocity are primarily driven by buoyancy forces, which are directly dependent on the temperature field. Just above the pool fire, a large influx of atmospheric air is observed to replace the oxygen consumed in the combustion process, as indicated by the significant downward vertical velocities. As the plume rises, the outer part of the combustion products loses heat rapidly to the atmosphere, reducing its temperature and, consequently, the buoyant force needed to penetrate the atmospheric fluid. As a result, the width of the fire plume increases with height. The fields of vertical mean velocity are shown to be affected by the freestream wind speed due to their inclination, but the buoyant forces dominate.
Figure 5 shows the predicted dimensionless flame height (H/D) for different dimensionless Heat Release Rates (HRR) in comparison with the experimental data of McGrattan, Floyd [53] and the correlation equation of Heskestad [32]. Both the FDS and FireFoam codes predict the flame height at the flame symmetry plane (Z = 0), with a deviation of 6.5% and 15% below the Heskestad correlation curve, respectively. It should be noted that the experimental data from McGrattan, Floyd [53] correspond to a square burner (with a side 0.3 m) over a large range of HRR values from 7 to 1800 kW. The flame heights corresponding to the lower HRR values do not align well with the Heskestad correlation. However, the lower HRR values show good agreement with the Cox and Chitty [54] curve. Based on the latter correlation, the numerical results are within 1% for FDS and within 5% for FireFoam.
Figure 5.
Predicted flame height and comparison with Heskestad model and experimental data of McGrattan, Floyd [53] and Cox and Chitty [54].
In Figure 6, the flame tilt angles of pool fires under cross air flow from the present study are compared against the experimental datasets of Hu, Liu [44] for small pool fires, the experimental data of Lei, Deng [14], Lei, Deng [15] for very large pool fires (50 m2 in the range of wind speeds 3.8–12.7 m/s and 200 m2 in the range of wind speeds of 7.2–15.2 m/s), and the correlation equations of A.G.A. and Thomas. The numerical results are in good agreement with the A.G.A. model. The tilt angle of the present study is 12 deg, which is close to that of 15 deg for this range of velocities, according to Munoz, Arnaldos [23].
Figure 6.
Flame tilt angle in comparison with the experimental data of Hu, Liu [44], Lei, Deng [15], and the models of Thomas and A.G.A. versus .
Figure 7 shows the numerical results of the present study against the experimental data of Koseki and Hayasaka [55] for heptane pool fires of different pool diameters. The mean flame temperature of the present study agrees very well with these experiments. From a physical perspective, the figure also presents the maximum temperatures encountered experimentally. The numerical results for the mean temperature have a negative deviation from the experimental results of 3% and 6% for the FDS and FireFoam, respectively.
Figure 7.
Correlation of characteristic flame temperatures with fire pool diameter.
Figure 8 shows the variation in pool fire tilt angle versus the wind speed, comparing the experimental data of Lei, Deng [14,15] with the numerical results for a wind speed of 1.1 m/s. This comparison reveals the correct trends; as the wind speed approaches zero, the tilt angle also approaches zero, as expected. As the wind speed increases, the numerical results gradually align with the experimental data. According to Lei, Deng [14,15], the influence of wind speed on the flame tilt angle for a given pool diameter becomes relatively insensitive for wind speeds greater than 7–8 m/s.
Figure 8.
Flame tilt angle versus the wind speed of Lei, Deng [15].
Figure 9 shows the variation in pool fire height versus wind velocity, comparing the experimental data of Lei, Deng [14,15] with the numerical results for a wind speed of 1.1 m/s. Although it may initially appear unclear as to why the pool fire height remains almost insensitive to wind speed and pool fire diameter, this is not the case. According to Lei, Deng [14,15], the different data correspond to different pool fire regimes as follows: (a) the present simulations correspond to the “tilted pool fire without flame drag” regime, (b) the data within the wind speed range of 2–7 m/s correspond to the “tilted pool fire with stable flame drag” regime, and (c) the data with wind speeds greater than 7 m/s correspond to the “tilted pool fire close to the ground” regime. For more information on this, it is suggested to consult the original papers.
Figure 9.
Flame height versus wind speed and pool size of Lei, Deng [15].
Figure 10 shows the variation of pool fire length versus wind speed, comparing the experimental data of Lei, Deng [14,15] with simulated results. The flame length is defined as the horizontal downstream distance from the normal to the pool at its center to the flame tip at the flame height level. The simulated results for a pool area of 36 m2 align well with the experimental data for a pool fire size of 50 m2, except at the point corresponding to 9.8 m/s. The experimental data for a pool fire area of 200 m2 show a vertical displacement. It appears that the effect of wind speed on flame length is primarily due to changes in the flame tilt angle, which is influenced by the ratio of inertia to buoyancy forces acting on the flame.
Figure 10.
Flame length versus wind speed and pool size of Lei, Deng [15].
The variation in HRR during the burning process over time is shown in Figure 11. Both numerical codes show the HRR fluctuating between 60 MW and 80 MW. For the period from 25 to 50 s, the observed fluctuations are even greater because the computed physical quantities have not yet reached stationary conditions. From 50 to 150 s, the physical quantities become stationary. During this period, both numerical codes exhibit the same combustion characteristics.
Figure 11.
Variation in HRR over time computed by FDS and FireFoam.
Figure 12 compares the computed average emissive power by both numerical codes with the experiments of Munoz [47] and empirical correlations from the literature as a function of pool fire diameter. The average surface emissive power computed is very close to the aforementioned correlations because the wind speed in the simulated case is small and, consequently, the soot amount in the flame is limited. The average emissive power of the results agrees very well with the Munoz experimental results, as well as with the Mudan [46] model, and it is approximately 4% above the Shokri and Beyler [45] correlation. To assess the validity of these correlations, more work is needed on the role of wind speed in soot formation.
Figure 12.
Comparison of computed average emissive power with the experiments of Munoz [23] and empirical correlations from the literature as a function of pool fire diameter of Shokri and Beyler [45] and Mudan [46].
In Section 2.1.3 above, extensive discussions are devoted to the flame tilt angle, the different types of modeling, and the correlations which belong to each type. The question which remains open is, what is the most appropriate correlation, type of modeling, and scaling for a specific problem? This is very important both for an experimentalist and a numerical analyst, but particularly for an experimentalist. The design of a specific experiment requires knowledge of the appropriate scaling parameters before starting the design, to estimate the investments required for building the facilities and running those facilities and the experiments.
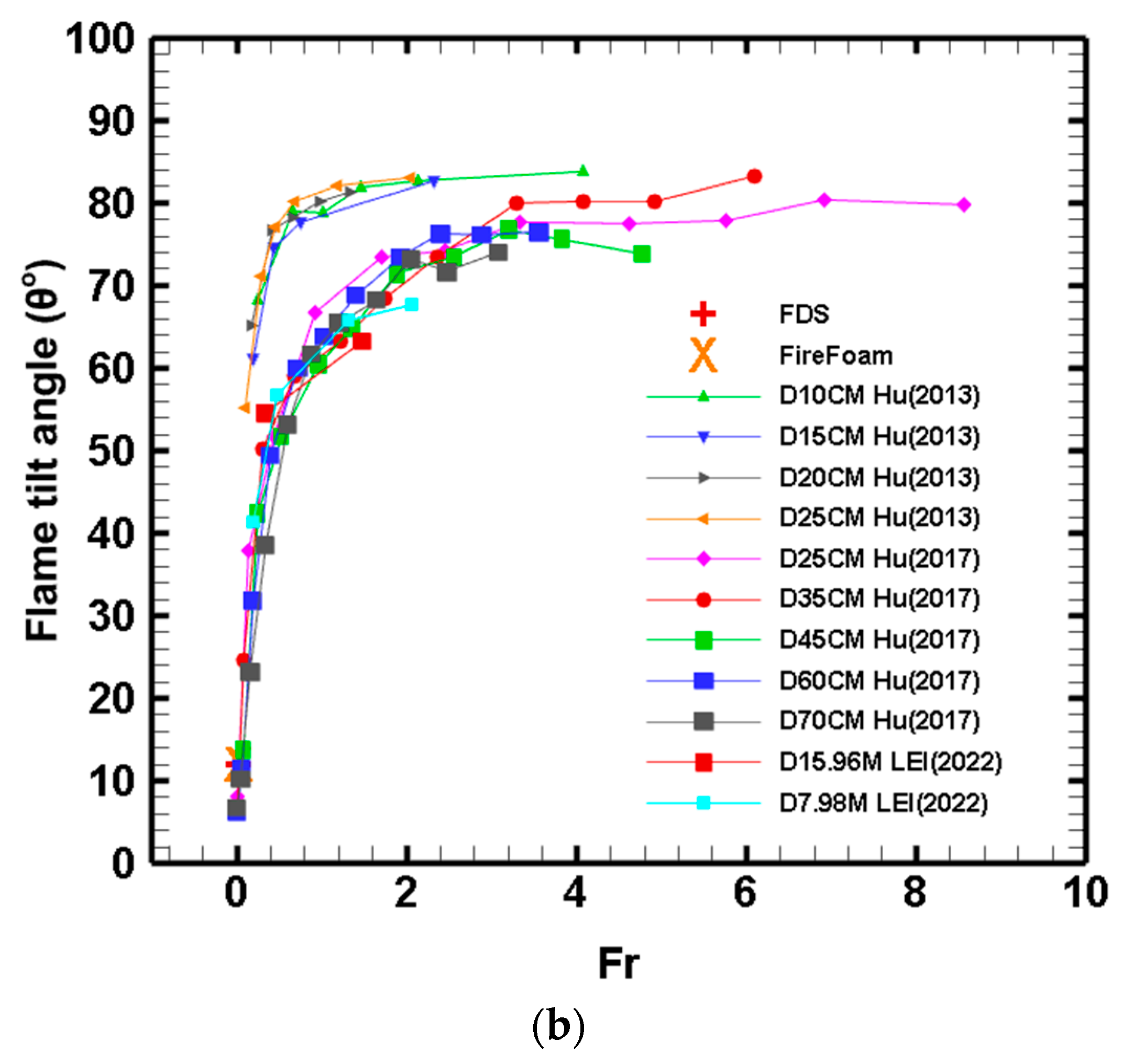
In this section, data from small- and large-pool fires, Hu, Zhang [12], Lei, Deng [14], Lei, Deng [15], Hu, Kuang [56], are used to test the proper scaling that correlates with the experimental data for the flame tilt angle and to compare the simulated numerical results. It has become almost customary in the fire literature to plot the flame tilt angle measurements in the form of Figure 6; however, because the number of data in the low range of wind speeds is very limited, and both the models of A.G.A. and Thomas do not correlate with the flame tilt angles in this range, they were additionally plotted considering the experimental measurements of Hu, Kuang [56], which resulted in the picture below (Figure 13) (with the upper x-axis major tick mark values corresponding to those of the lower x-axis). The large spread of the data can be attributed to and more specifically, to the sensitivity of the mass burning rate to the speed variations in the low range of wind speeds. This revealed the need to search for a new scaling parameter that appears naturally in the fundamental differential equations that describe the phenomena studied, using order of magnitude analysis or simple balances as in Section 2.1.3. This parameter is the reciprocal Richardson number, , defined in Section 2.1.3.
Figure 13.
Flame tilt angle in comparison with the experimental data of Hu, Liu [44], Hu, Kuang [56], Lei, Deng [15] and models of Thomas and A.G.A. versus .
All of the data sets from Figure 13, except those from Lei and Deng [14,15] due to the unavailability of mean flame temperatures, are plotted against the reciprocal Richardson number in Figure 14a. Additionally, all data sets, without exception, are plotted against the Froude number in Figure 14b.

Figure 14.
Flame tilt angle of the simulated data in comparison with the experimental data of (a) Hu, Liu [44], Hu, Kuang [56] versus and (b) Hu, Liu [44], Hu, Kuang [56], Lei, Deng [15] versus .
The present data and all the data sets from Hu and Kuang [56] nearly collapse onto the same curve. The data sets from Hu, Liu [44] also collapse onto a different curve, with some vertical displacement relative to the previous one.
In Equation (17), , the term in parentheses approaches a constant value due to the high temperatures of the flame gas and is not sensitive to gas temperature, as per Jiang and Lu [42]. Then, it is also expected that the data in Figure 14a will scale with the Froude number. Figure 14b shows that this is the case. In this specific figure, the plotted data are from Lei and Deng [14,15] for very large pool fires, as well as all the data from Figure 14a. All of these data collapse, similarly to what is shown in Figure 14a. Based on these results, it becomes clear that the flame tilt angle scales well with both the and the numbers.
It should be noted that the largest flame tilt angle corresponds with the moment the flame touches the ground. Because the flame thickness increases with pool diameter, the maximum flame tilt angle should depend on pool diameter. This may explain partly the vertical displacement of one of the data sets. It is also observed that once the pool flame reached the ground under an increasing wind speed, the flame diameter became slightly smaller, resulting in slightly higher flame tilt angles.
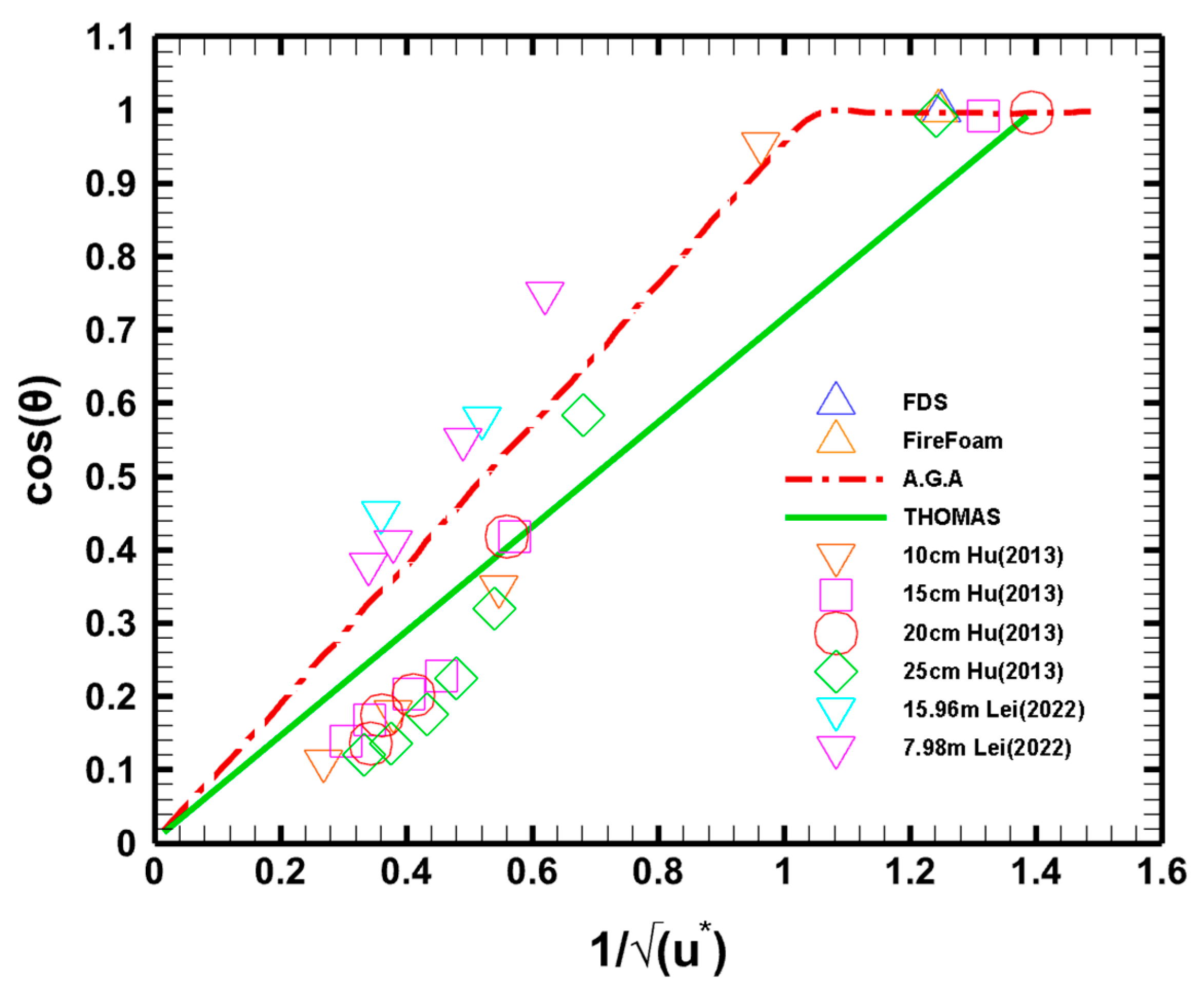
Based on the above results, a linear fit of versus was made for all the experimental data sets from Hu, Kuang [56] and the computed data, resulting in the following linear equation: , which passes through the origin of the axes. To examine how well the numerical results compare with respect to the linear fit and the other data, a zoomed-in view of Figure 15a near the origin of the axes is shown in Figure 15b.
Figure 15.
(a) Linear fit of versus of the experimental data of Hu, Kuang [56] and numerical data; (b) zoomed-in view of Figure 16a near the origin of the axes.
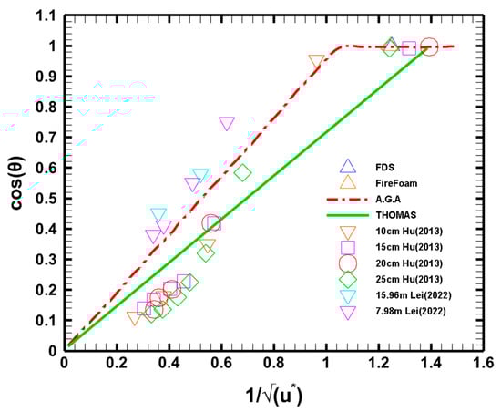
A linear fit of versus was also made for all the experimental data sets from Hu, Kuang [56], Lei, Deng [14] and Lei, Deng [15] and the computed data results in the following linear equation: in Figure 16. It should be pointed out that including the linear fit of the data of Lei, Deng, which correspond to very large pool fires, increased the goodness of fit based on the sum of the residual squares from 0.8362 to 0.9106. This result implies that both scaling parameters can be applied in the whole range of pool fires. The primary objective of this part of the study was to examine whether the data would collapse and secondly assessing the goodness of fit. For this, there was no selective use of the data employed. Some of the data resulted from the digitization of the figures. These experimental measurements are very difficult to perform with various uncertainties. Jiang and Lu [42] made similar measurements on pool fires of aviation fuel, with diameters of 0.3, 0.4, 0.5, and 0.6 in a cross wind of up to 4.71 m/s. They applied the same scaling, achieving better goodness of fit, 0.9682 for both scaling parameters on the sum of the residual squares.
Figure 16.
(a) Linear fit of versus of the experimental data of Hu, Kuang [56], Lei, Deng [15] and the numerical (b) zoom of Figure 16a near the origin of the axes.
Based on the good correlation of the flame tilt angle with , this parameter should be adopted as a proper scaling parameter, which can be applied to correlate also other parameters of a pool fire plume. In fact, this parameter appears in all mixed convection heat transfer problems, either explicitly as a parameter in the non-dimensional form of the transport differential equations or in their source term (e.g., in nonreacting thermal plumes).
An excellent starting point in the relevant literature is Tieszen [57] for fires, and Ghiaasiaan [58] for a book on the fundamentals of convection heat transfer, as well as List [59,60] and Lee [61]. When Ri << 1, pure forced convection exists (negligible natural convection effects), when Ri >> 1, pure natural convection exists (negligible forced convection effects), and when , mixed convection exists. The Richardson number is also expressed as , where Gr is the Grashof number. A form of the Richardson number is related to the entrainment coefficient.
Figure 17 shows the flame tilt angles from the present study with a mild wind speed of 1.1 m/s, in comparison with the experimental data from Hu, Liu [44] for small pool fires with wind speeds of 0–2.5 m/s, using a new dimensionless parameter which was proposed by the above authors and incorporates the wind speed and the heat release rate, Equation (21). Although the computed flame tilt angles agree well with the Munoz [23] experiments on which these simulations are based on, they do not agree with this model. Since this model has been tested for small pool diameter (up to 0.7 m) fires and the effective diameter of this study is much larger 6.77 m, further work is needed.
Figure 17.
Flame tilt angle in comparison with the experimental data and model of Hu, Liu [44].
5. Conclusions
The characteristics of an isolated n-heptane square pool fire are numerically studied using the FireFoam and FDS numerical codes, along with the LES method and the EDM combustion model. The numerical results are compared against each other and validated with empirical correlations and experimental data for both small- and large-area pool fires, thereby bridging the available data in the literature for these two separate regions. This was made possible because the present test case lies at the common boundary of these two regions. These results hold up and agree well with the extensive comparisons made against the experimental data.
Based on the computed temperature fields and the maximum temperature, which is around 1000 Kelvin, the rescue team and industrial workers cannot come closer than 10 m to the pool fire without special protection. At these high temperatures, the thermal radiation effect is significant. Since the wind speed in the simulated test case is relatively low, the fire plume rises almost vertically, carrying thermal energy to higher levels of the atmosphere. Based on the u* scaling, increasing the burning rate of the pool fire for fixed wind speed results in the flame tilt angle becoming smaller.
Emphasis was placed on the flame tilt angle, which led to the adoption of a different scaling parameter, such as the reciprocal of the Richardson number, which naturally appears in the differential equations relevant to fire problems. It was also shown that due to the high temperatures of the flame gas, the reciprocal Richardson number can be approximated, within a multiplicative constant, by the Froude number. Thus, both the reciprocal Richardson number and the Froude number can be used to correlate the flame tilt angle. Knowledge of the flame tilt angle as a function of the Froude number enables the rescue team to determine the flame tilt angle and, consequently, the safety distance, based on the known wind speed and pool fire diameter.
For Future Work:
- (a)
- The role of proper scaling concerning the parameters that naturally appear in the differential equations describing the phenomena studied should be emphasized, as opposed to the parameters derived from dimensional analysis alone.
- (b)
- The current simulations should be extended to include a wider range of wind speeds and pool sizes, with smaller increments for low wind speeds.
- (c)
- The influence of wind speed on soot formation should be studied, as well as, the validity of existing correlations in this respect.
Author Contributions
Conceptualization, M.B. and K.V.; methodology, M.B., K.V., I.L. and I.S.; software, M.B. and K.V.; validation, M.B. and K.V.; formal analysis; M.B.; resources, K.V. and I.S.; data curation, M.B.; writing—original draft preparation, M.B. and K.V.; writing—review and editing, K.V., I.L. and I.S.; visualization, M.B.; supervision, K.V. All authors have read and agreed to the published version of the manuscript.
Funding
This work was supported by the computational time granted by the National Infrastructures for Research and Technology S.A. (GRNET S.A.) in the National HPC facility—ARIS—under projectID pr011045-UrbanFirePlan2.
Institutional Review Board Statement
Not applicable.
Informed Consent Statement
Not applicable.
Data Availability Statement
The data used in this study are available on request from the corresponding authors. The data can be easily reproduced from the theoretical analysis described in the study.
Conflicts of Interest
The authors declare no conflicts of interest.
References
- Miao, Z.; Wenhua, S.; Ji, W.; Zhen, C. Accident Consequence Simulation Analysis of Pool Fire in Fire Dike. Procedia Eng. 2014, 84, 565–577. [Google Scholar] [CrossRef]
- Ahmadi, O.; Mortazavi, S.B.; Mahabadi, H.A. Review of Atmospheric Storage Tank Fire Scenarios: Costs and Causes. J. Fail. Anal. Prev. 2020, 20, 384–405. [Google Scholar] [CrossRef]
- Chang, J.I.; Lin, C.-C. A study of storage tank accidents. J. Loss Prev. Process Ind. 2006, 19, 51–59. [Google Scholar] [CrossRef]
- Tauseef, S.M.; Abbasi, T.; Pompapathi, V.; Abbasi, S.A. Case studies of 28 major accidents of fires/explosions in storage tank farms in the backdrop of available codes/standards/models for safely configuring such tank farms. Process Saf. Environ. Prot. 2018, 120, 331–338. [Google Scholar] [CrossRef]
- Rodante, T.V. Investigation of a naphtha storage tank fire. Process Saf. Prog. 2005, 24, 98–107. [Google Scholar] [CrossRef]
- Palampigik, A.; Vasilopoulos, K.; Lekakis, I.; Sarris, I. Risk Assessment of Toxic Pollutant Dispersion after a Methane Pool Fire Accident in a Street Canyon. In Proceedings of the 3rd International Electronic Conference on Atmospheric Sciences, Online, 15–30 October 2023. [Google Scholar]
- Vasilopoulos, K.; Lekakis, I.; Sarris, I.E.; Tsoutsanis, P. Large eddy simulation of dispersion of hazardous materials released from a fire accident around a cubical building. Environ. Sci. Pollut. Res. 2021, 28, 50363–50377. [Google Scholar] [CrossRef] [PubMed]
- Zisis, T.; Vasilopoulos, K.; Sarris, I. Numerical Simulation of a Fire Accident in a Longitudinally Ventilated Railway Tunnel and Tenability Analysis. Appl. Sci. 2022, 12, 5667. [Google Scholar] [CrossRef]
- Zheng, B.; Chen, G. Storage tank fire accidents. Process Saf. Prog. 2011, 30, 291–293. [Google Scholar] [CrossRef]
- Hamins, A.; Fischer, S.J.; Kashiwagi, T.; Klassen, M.E.; Gore, P.J. Heat feedback to the fuel surface in pool fires. Combust. Sci. Technol. 1994, 97, 37–62. [Google Scholar] [CrossRef]
- Steinhaus, T.; Welch, S.; Carvel, R.; Torero, J. Large-scale pool fires. Therm. Sci. 2007, 11, 101–118. [Google Scholar] [CrossRef]
- Hu, L.; Zhang, X.; Zhang, X.; Kuang, C. Flame base drag of pool fires with different side wall height in cross flows: A laboratory-scale experimental study and a new correlation. Fuel 2016, 182, 857–863. [Google Scholar] [CrossRef]
- Chatris, J.M.; Quintela, J.; Folch, J.; Planas, E.; Arnaldos, J.; Casal, J. Experimental study of burning rate in hydrocarbon pool fires. Combust. Flame 2001, 126, 1373–1383. [Google Scholar] [CrossRef]
- Lei, J.; Deng, W.; Mao, S.; Tao, Y.; Wu, H.; Xie, C. Flame geometric characteristics of large-scale pool fires under controlled wind conditions. Proc. Combust. Inst. 2023, 39, 4021–4029. [Google Scholar] [CrossRef]
- Lei, J.; Deng, W.; Liu, Z.; Mao, S.; Saito, K.; Tao, Y.; Wu, H.; Xie, C. Experimental study on burning rates of large-scale hydrocarbon pool fires under controlled wind conditions. Fire Saf. J. 2022, 127, 103517. [Google Scholar] [CrossRef]
- McGrattan, K.; Hostikka, S.; Floyd, J.; Baum, H.; Rehm, R.; Mell, W.; McDermott, R. Fire Dynamics Simulator Technical Reference Guide; National Institute of Standards and Technology: Gaithersburg, MD, USA, 2013; 207p. [Google Scholar] [CrossRef]
- FireFoam. Available online: https://github.com/fireFoam-dev (accessed on 28 October 2024).
- GexCon, A.S. FLACS V9.1 User Manual; GexCon AS: Bergen, Norway, 2011; Available online: https://www.gexcon.com/support/flacs-cfd/technical-manuals/ (accessed on 27 October 2024).
- Wang, C.-J.; Wen, J. Numerical Study of Heptane Pool Fires on a Hollow Square Pan. Procedia Eng. 2018, 211, 689–698. [Google Scholar] [CrossRef]
- Vasanth, S.; Tauseef, S.M.; Abbasi, T.; Abbasi, S.A. Assessment of four turbulence models in simulation of large-scale pool fires in the presence of wind using computational fluid dynamics (CFD). J. Loss Prev. Process Ind. 2013, 26, 1071–1084. [Google Scholar] [CrossRef]
- Maragkos, G.; Merci, B. Large Eddy Simulations of CH4 Fire Plumes. Flow Turbul. Combust. 2017, 99, 239–278. [Google Scholar] [CrossRef]
- Rengel, B.; Mata, C.; Pastor, E.; Casal, J.; Planas, E. A priori validation of CFD modelling of hydrocarbon pool fires. J. Loss Prev. Process Ind. 2018, 56, 18–31. [Google Scholar] [CrossRef]
- Munoz, M.; Arnaldos, J.; Casal, J.; Planas, E. Analysis of the geometric and radiative characteristics of hydrocarbon pool fires. Combust. Flame 2004, 139, 263–277. [Google Scholar] [CrossRef]
- Argyropoulos, C.D.; Sideris, G.M.; Christolis, M.N.; Nivolianitou, Z.; Markatos, N.C. Modelling pollutants dispersion and plume rise from large hydrocarbon tank fires in neutrally stratified atmosphere. Atmos. Environ. 2010, 44, 803–813. [Google Scholar] [CrossRef]
- Gong, C.; Ding, L.; Wan, H.; Ji, J.; Gao, Z.; Yu, L. Spatial temperature distribution of rectangular n-heptane pool fires with different aspect ratios and heat fluxes received by adjacent horizontal targets. Fire Saf. J. 2020, 112, 102959. [Google Scholar] [CrossRef]
- Drysdale, D. Diffusion Flames and Fire Plumes. In An Introduction to Fire Dynamics; John Wiley & Sons, Ltd.: Hoboken, NJ, USA, 2011; pp. 121–179. [Google Scholar]
- Magnussen, B.F.; Hjertager, B.H. On mathematical modeling of turbulent combustion with special emphasis on soot formation and combustion. Symp. (Int.) Combust. 1977, 16, 719–729. [Google Scholar] [CrossRef]
- Babrauskas, V. Estimating large pool fire burning rates. Fire Technol. 1983, 19, 251–261. [Google Scholar] [CrossRef]
- Hottel, H.C. Certain laws governing the diffusive burning of liquids—A review. Fire Res. Abs. Rev. 1959, 1, 41–44. [Google Scholar]
- Blinov, V.I.; Khudiakov, G.N. Diffusion Burning of Liquids; US Army Translation NTIS No. AD296762; Army Engineer Research and Development Labs: Fort Belvoir, VA, USA, 1961; Available online: https://apps.dtic.mil/sti/tr/pdf/AD0296762.pdf (accessed on 28 October 2024).
- Hu, L.; Wu, L.; Liu, S. Flame length elongation behavior of medium hydrocarbon pool fires in cross air flow. Fuel 2013, 111, 613–620. [Google Scholar] [CrossRef]
- Heskestad, G. Luminous heights of turbulent diffusion flames. Fire Saf. J. 1983, 5, 103–108. [Google Scholar] [CrossRef]
- Pitts, W.M. Wind effects on fires. Prog. Energy Combust. Sci. 1991, 17, 83–134. [Google Scholar] [CrossRef]
- Drysdale, D. An Introduction to Fire Dynamics; John Wiley & Sons: Hoboken, NJ, USA, 2011. [Google Scholar]
- Fang, J.B. An Investigation of the Effect of Controlled Wind on the Rate of Fire Spread. Ph.D. Thesis, University of New Brunswick, Fredericton, NB, Canada, 1969. [Google Scholar]
- Welker, J.; Pipkin, O.; Sliepcevich, C. The effect of wind on flames. Fire Technol. 1965, 1, 122–129. [Google Scholar] [CrossRef]
- Pipkin, O.A.; Sliepcevich, C.M. Effect of wind on buoyant diffusion flames. Ind. Eng. Chem. Fundam. 1964, 3, 147–154. [Google Scholar] [CrossRef]
- Hamada, M. Study of Inclination of Flame Due to Wind. Bull. Fire Prot. Soc. Jpn. 1952, 1, 41–43. [Google Scholar]
- Chen, Y.; Fang, J.; Zhang, X.; Miao, Y.; Lin, Y.; Tu, R.; Hu, L. Pool fire dynamics: Principles, models and recent advances. Prog. Energy Combust. Sci. 2023, 95, 101070. [Google Scholar] [CrossRef]
- Welker, J.R.; Sliepcevich, C.M. Bending of wind-blown flames from liquid pools. Fire Technol. 1966, 2, 127–135. [Google Scholar] [CrossRef]
- Beyler, C.L. Fire hazard calculations for large, open hydrocarbon fires. In SFPE Handbook of Fire Protection Engineering; Springer: New York, NY, USA, 2016; pp. 2591–2663. [Google Scholar]
- Jiang, P.; Lu, S.-x. Pool Fire Mass Burning Rate and Flame Tilt Angle under Crosswind in Open Space. Procedia Eng. 2016, 135, 261–274. [Google Scholar] [CrossRef]
- Thomas, P.H. The size of flames form natural fires. Symp. (Int.) Combust. 1963, 9, 844–859. [Google Scholar] [CrossRef]
- Hu, L.; Liu, S.; de Ris, J.L.; Wu, L. A new mathematical quantification of wind-blown flame tilt angle of hydrocarbon pool fires with a new global correlation model. Fuel 2013, 106, 730–736. [Google Scholar] [CrossRef]
- Shokri, M.; Beyler, C.L. Radiation from Large Pool Fires. J. Fire Prot. Eng. 1989, 1, 141–149. [Google Scholar] [CrossRef]
- Mudan, K.; Croce, P. Fire Hazard Calculations for Large Open Hydrocarbon Fires. In SFPE HandBook of Fire Protection Engineering; Springer: New York, NY, USA, 1988; pp. 45–87. [Google Scholar]
- Munoz, M.; Planas, E.; Ferrero, F.; Casal, J. Predicting the emissive power of hydrocarbon pool fires. J. Hazard. Mater. 2007, 144, 725–729. [Google Scholar] [CrossRef]
- Runefors, M.; Anderson, J.; Wahlqvist, J.; Huang, C.; Husted, B. A comparison of radiative transfer models in FireFoam and FDS. In Proceedings of the Interflam 2016: 14th International Conference and Exhibition on Fire Science and Engineering, Nr Windsor, UK, 4–6 July 2016. [Google Scholar]
- Modest, F.M. Radiative Heat Transfer, 3rd ed.; Elsevier: Amsterdam, The Netherlands, 2013. [Google Scholar]
- McGrattan; Nureg, K. Verification and Validation of Selected Fire Models for Nuclear Power Plant Applications; U.S. Nuclear Regulatory Commission, Office of Nuclear Regulatory Research: Washington, DC, USA, 2007. [Google Scholar]
- McDermott, R.J.; Forney, G.P.; McGrattan, K.B.; Mell, W.E. Fire Dynamics Simulator Version 6 Complex Geometry. In Proceedings of the European Conference on Computational Fluid Dynamics, Lisbon, Portugal, 14–17 June 2010. [Google Scholar]
- Ma, T.G.; Quintiere, J.G. Numerical simulation of axi-symmetric fire plumes: Accuracy and limitations. Fire Saf. J. 2003, 38, 467–492. [Google Scholar] [CrossRef]
- McGrattan, K.; Floyd, J.; Forney, G.; Baum, H.; Hostikka, S. Improved Radiation And Combustion Routines For A Large Eddy Simulation Fire Model. Fire Saf. Sci. 2003, 7, 827–838. [Google Scholar] [CrossRef]
- Cox, G.; Chitty, R. Some Source-Dependent effects of unbounded fires. Combust. Flame 1985, 60, 219–232. [Google Scholar] [CrossRef]
- Koseki, H.; Hayasaka, H. Estimation of Thermal Balance in Heptane Pool Fire. J. Fire Sci. 1989, 7, 237–250. [Google Scholar] [CrossRef]
- Hu, L.; Kuang, C.; Zhong, X.; Ren, F.; Zhang, X.; Ding, H. An experimental study on burning rate and flame tilt of optical-thin heptane pool fires in cross flows. Proc. Combust. Inst. 2017, 36, 3089–3096. [Google Scholar] [CrossRef]
- Tieszen, S.R.; Gritzo, L.A. Transport phenomena that affect heat transfer in fully turbulent fire. In Transport Phenomena in Fire; Faghri, M., Sundén, B., Eds.; WIT Press: Southampton, UK, 2008. [Google Scholar]
- Ghiaasiaan, S.M. Convective Heat and Mass Transfer, 2nd ed.; CRC Press: Boca Raton, FL, USA, 2018. [Google Scholar]
- List, E.J. Mechanics of Turbulent Buoyant Jets and Plumes. In Turbulent Buoyant Jets and Plumes; Rodi, W., Ed.; Pergamon: Oxford, UK, 1982; pp. 1–68. [Google Scholar]
- List, E.J. Turbulent Jets and Plumes. Annu. Rev. Fluid Mech. 1982, 14, 189–212. [Google Scholar] [CrossRef]
- Lee, J.H.W.; Chu, V.H. Turbulent Jets and Plumes—A Lagrangian Approach; Springer: New York, NY, USA, 2003. [Google Scholar]
Disclaimer/Publisher’s Note: The statements, opinions and data contained in all publications are solely those of the individual author(s) and contributor(s) and not of MDPI and/or the editor(s). MDPI and/or the editor(s) disclaim responsibility for any injury to people or property resulting from any ideas, methods, instructions or products referred to in the content. |
© 2024 by the authors. Licensee MDPI, Basel, Switzerland. This article is an open access article distributed under the terms and conditions of the Creative Commons Attribution (CC BY) license (https://creativecommons.org/licenses/by/4.0/).