Abstract
In order to investigate the characteristics and typical influential factors of wildfires caused by accidental faults in high-voltage transmission lines, a bespoke platform was constructed for the purpose of conducting simulation experiments. Discharge and ignition experiments were conducted on a variety of substrates, including kidney fern fragments, cedar needle fragments, poplar sawdust, and eucalyptus leaf fragments, to investigate the effects of different gaps on the initiation and propagation of wildfires. The results demonstrate that the discharge-inducing ignition stages can be succinctly summarized as “two phases and two points” (the discharge induction period, the gap breakdown point, the arc induction period and the fault removal point) when a suitable gap is maintained between the simulated falling lines and the vegetation surface. In the event of direct contact, the removal of the fault is not possible. The potential for ignition of the aforementioned vegetation types by the discharge is as follows: cedar needles > eucalyptus leaf fragments ≈ poplar sawdust > kidney fern fragments. As the water content increases, eucalyptus leaf fragments can still be ignited, and the breakdown voltages required for discharge-inducing ignitions gradually decrease. In the case of different forest ground vegetation types, when ignited by the discharge between the falling lines and the vegetation under conditions of proper gap and moisture content, the resulting ignition and sustained flames will promote the formation of streamer channels and further aggravate the discharges and burning processes, potentially leading to the ignition of a wildfire.
1. Introduction
In response to the growing demand for electricity in recent years, China’s power grid has undergone significant expansion and become one of the most extensive and complex human-made systems in the world. Overhead transmission lines, a crucial component of this infrastructure, are frequently situated in diverse topographical settings, including forests, mountains, meadows, and agricultural lands. These locations render the lines susceptible to inadvertent failures due to factors such as aging, external interference, geographical constraints, and climatic conditions. Such failures can result in significant consequences, including conductor damage, line shutdowns, grid collapses, and even disastrous hill fires [1,2,3,4,5].
Such incidents are not exclusive to China; they occur worldwide. In the period between 1991 and 2015, approximately one-third of the 155 cases in New South Wales and Victoria, Australia, where mountain fires resulted in the destruction of houses, were found to be attributable to high-voltage transmission line failures [6]. Incidents such as that of 16 March 2016 in Sanyanlong Township, Jiulong County, Ganzi Prefecture, Sichuan Province, where wind broke a transmission line leading to a forest fire, serve to illustrate this problem. Typical accidents involve the breaking of transmission lines, which results in the creation of a high impedance and the maintenance of excessive electrical energy over a prolonged duration. Such incidents can result in the generation of high-temperature arcs or molten particles, which may subsequently ignite vegetation upon contact, thereby causing hill fires. Such incidents present a significant risk to the long-term reliability of power grids and the conservation of forestry resources [7,8].
Since the 1970s, a number of studies have been conducted abroad examining the potential for vegetation ignition and the occurrence of wildfires caused by power grids in the transmission and distribution stages. In a study conducted by J. F. Martinez-Canales et al., a 20 kV three-phase apparatus was employed to examine the potential for igniting shrubs, dwarf trees, and forests of varying vegetation in the Mediterranean region through medium-voltage (33 kV) overhead transmission lines, utilizing arcs and electric sparks. The researchers measured voltage, current, and ignition time in order to determine the type of fault [9]. In Victoria, Australia, experiments were conducted on 24 types of vegetation ignited by faults in 22 kV distribution lines, with preset fault currents of 0.5, 1.0, 2.0, and 4.0 A [10]. The results demonstrated a dichotomy in conductor intrusion into grass faults, whereby the occurrence of ground flashover was found to be contingent upon the moisture content of the grass. When the grass was sufficiently moist to conduct electricity, ground flashover occurred almost instantaneously. Conversely, when the grass was dry, no phenomena were observed for a considerable duration. There is a paucity of research in this area in China, with no substantial published results or works to date. Tan Shujun provided a brief qualitative description of the ignition of vegetation induced by faults in high-voltage transmission lines passing through forested areas [11]. These studies lacked sufficient quantitative experimentation and analysis of the characteristics of igniting forest surface vegetation by faulted power lines and typical influencing factors.
This paper primarily discusses the simulation of the process of ignition of surface vegetation caused by the dropping of high-voltage transmission lines (35 kV) through an experimental platform designed for this purpose. This study compared four types of vegetation and four moisture content samples of the same vegetation under conditions of line disconnection and various gaps (2.0, 1.0, 0.0, −1.0, −2.0 cm) between the vegetation and the disconnected line. The objective was to investigate the impact of these variables on the discharge ignition characteristics.
2. Experimental Section
2.1. Experimental Materials and Treatments
The mountainous terrain in provinces such as Guangxi, Yunnan, and Guizhou in China is a significant contributing factor to the occurrence of extensive forest fires. The southwestern region of Guangxi is notable for its extensive plantations of artificial forests, comprising primarily pine and eucalyptus. The proportion of stands of varying ages within these plantations ranges from 8.31% to 34.75% for pine and 3.37% to 37.34% for eucalyptus. The proportions of the different layers are as follows: canopy layer > fine root layer > litter layer > herb layer > shrub layer; and canopy layer > litter layer > fine root layer > herb layer > shrub layer [12,13]. Accordingly, this study concentrated on the litter layers of representative pine and eucalyptus forests, which were susceptible to combustion at the surface.
In order to ensure the scientific validity, reproducibility, and relevance to the actual distribution of vegetation types under high-voltage transmission lines, four vegetation samples were collected from areas such as Langnan Town, Teng County, Wuzhou City, Guangxi Province [14]. The samples included eucalyptus leaves, kidney ferns, cedar needles, and poplar wood. The aforementioned samples were employed as raw materials for the investigation of the effects of vegetation types. The three vegetation samples, with the exception of the cedar needles, were ground into fragments using a small-scale grinder (FW177 squeeze-type swing), as illustrated in Figure 1. The moisture content of the eucalyptus leaf samples was determined using a halogen moisture analyzer (XY100MW-T type) for the four original vegetation types and three treated samples (sprayed with water mist using a 300 mL handheld sprayer and thoroughly mixed) to explore the effect of moisture content, with eucalyptus leaves serving as an illustrative example.
Figure 1.
Experimental vegetation samples. (a) Eucalyptus leaves. (b) Fern fronds. (c) Cedar needles. (d) Poplar wood shavings.
2.2. Experimental Apparatus and Instruments
The schematic diagram and physical diagram of the experimental platform for high-voltage transmission line disconnection-induced ignition are presented in Figure 2 and Figure 3, respectively.
Figure 2.
Schematic diagram of the experimental platform for high-voltage transmission line disconnection-induced ignition (1—power supply; 2—water resistance; 3—30 kVA/50 kV lightweight high-voltage test transformer; 4—voltage divider; 5, 6—PTFE high-temperature resistant insulation brackets; 7—steel core aluminum stranded wire; 8—50.0 cm steel rod simulated electrode; 9—stainless steel vegetation sample tray; 10—200 Ω resistor; 11—physics oscilloscope; 12—high-speed camera; 13—computer).
Figure 3.
Physical diagram of the experimental platform for ignition caused by high-voltage transmission line disconnection and sag. (a) 30 kVA/50 kV lightweight high-voltage test transformer; (b) capacitive voltage divider; (c) physical oscilloscope.
The experiments investigating the occurrence of high-voltage transmission line breakage and drooping ignition were conducted in an open indoor space with high ceilings. A power frequency AC power supply was employed to simulate the discharge system of high-voltage transmission lines, incorporating water resistance, transformers, and dividers (30 kVA/50 kV lightweight high-voltage test type, capable of simulating actual 35 kV high-voltage transmission lines). In order to simulate the ignition experiment of the drooping wire, a steel rod electrode, measuring 50.0 cm in length and 1.0 cm in diameter, was employed. A physical oscilloscope (MDO3014) was employed for the purpose of collecting breakdown voltage waveforms and associated data. The formation of the arc and the process of vegetation ignition were recorded using a high-speed camera (Phantom UHS-12 V1212). The results of the on-site simulation of high-voltage transmission line breakage and drooping ignition of poplar wood shavings are presented in Figure 4.
Figure 4.
Experimental scene of simulated high-voltage transmission line disconnection causing ignition of poplar wood chips.
2.3. Experimental Methods and Procedures
The experimental setup depicted in Figure 2 and Figure 3 was employed for the aforementioned experiments. In order to guarantee the insulation of the experimental environment and site, the steel-cored aluminum conductor was affixed to the insulated support bracket groove, with its left end connected to the transformer equipment. A steel rod electrode was vertically connected and fixed below the steel-cored aluminum conductor at a distance of 50.0 cm. The vegetation sample fragments were positioned beneath the steel rod electrode (contained within a stainless steel sample tray with a side height of 5.0 cm and a bottom side length of 30.0 cm, open at the top), with the vegetation sample tray grounded and connected to the data acquisition system.
The thickness of the vegetation sample fragments was adjusted to 3.0 cm in order to facilitate analysis. A total of 35 distinct experimental conditions were identified and categorized, as illustrated in Table 1. The surface combustibles were typically composed of accumulated dead leaves, small branches, bark, cones, low shrubs, and debris, forming the most common carrier for wildfire spread. The moisture content was identified as a significant factor influencing the difficulty and completeness of combustion. In general, forest combustibles were classified into five levels based on their moisture content, as follows: non-flammable (≥35%), difficult to burn (25–35%), combustible (17–25%), flammable (10–17%), and highly flammable (≤10%) [15]. Consequently, eucalyptus leaves, representative of species native to Guangxi Province, were selected and subjected to three moisture content treatments in order to investigate their influence on the ignition characteristics of high-voltage transmission lines caused by disconnection. The tip of the steel rod electrode was set at distances of 2.0 cm and 1.0 cm from the surface of the vegetation fragments, in accordance with the technical parameters of the simulation platform, namely voltage and current levels. Additionally, the settings included tip contact (0.0 cm) and insertion into the vegetation fragments (−1.0 cm, −2.0 cm), as referenced from existing literature. Once the samples had been fixed, the apparatus was energized in a uniform manner using a manual operating table until flames were observed on the vegetation samples. A physical oscilloscope and a high-speed camera were employed to document the stages of discharge ignition, breakdown voltage waveforms, and associated data. To ensure the reliability of the results, each experiment was repeated three times, and the mean value was calculated as the discharge breakdown ignition voltage.
Table 1.
Simulation Experiment Conditions of Vegetation Burning Caused by High-Voltage Transmission Line Breakage.
3. Results and Discussion
3.1. Characteristics of the Voltage Waveform for Vegetation Ignition by Discharged Suspended Conductors
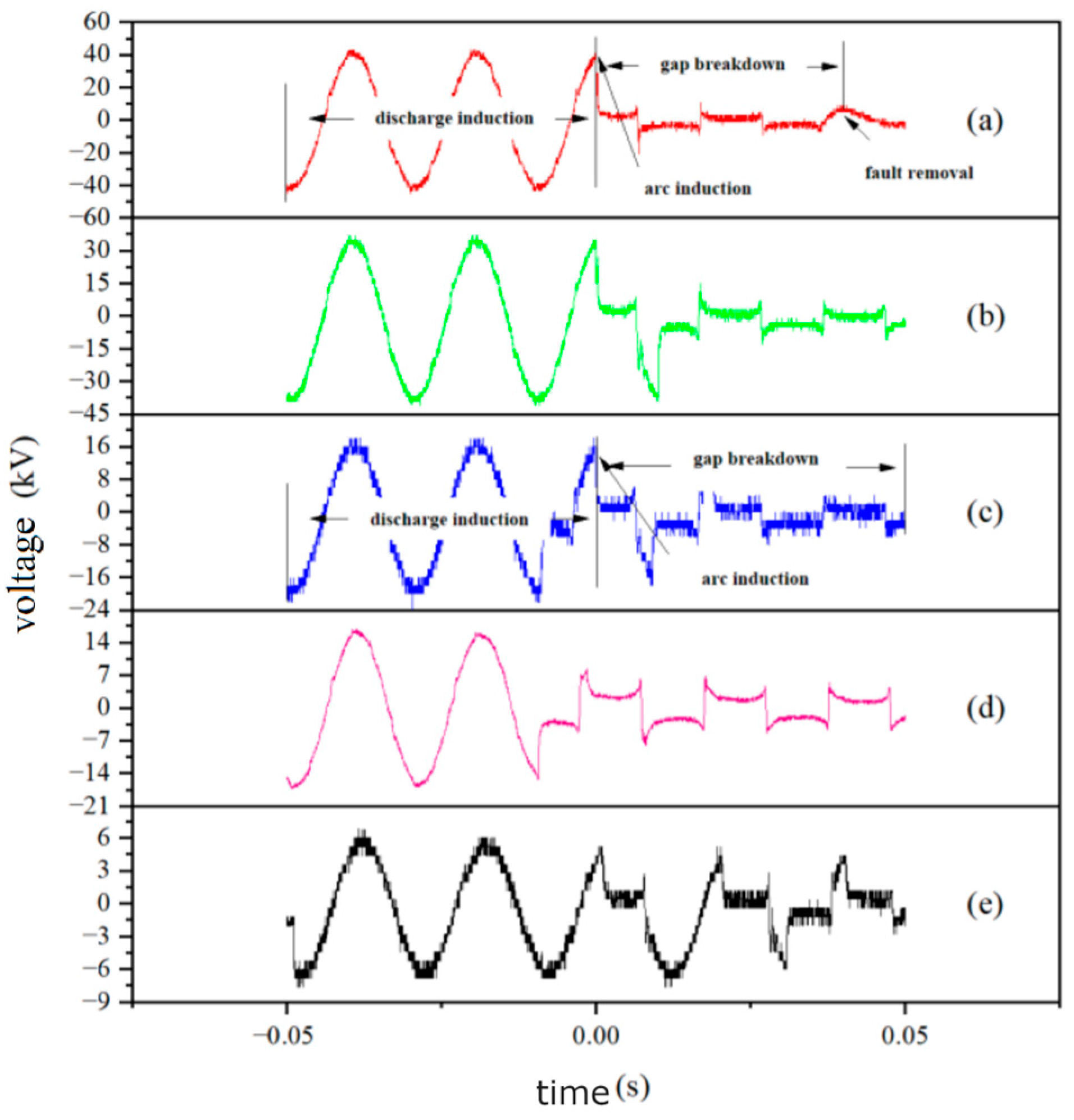
Figure 5 illustrates the instantaneous (50 ms) state data of the breakdown voltage waveform during the ignition of vegetation by discharged suspended conductors on simulated high-voltage transmission lines. Given the similarity in the discharge ignition voltage waveform characteristics observed for different types of vegetation samples [16,17,18], the original eucalyptus leaf fragments with a moisture content of 13.97% were selected as representatives, corresponding to gap distances of 2.0, 1.0, 0.0, −1.0, and −2.0 cm.
Figure 5.
Instantaneous voltage waveform of eucalyptus leaf fragments with a moisture content of 13.97% ignited by breakdown discharge under various gaps. (a) 2.0 cm; (b) 1.0 cm; (c) 0.0 cm; (d) −1.0 cm; (e) −2.0 cm.
In Figure 5a, the ignition stages of eucalyptus leaf fragments with a 2.0 cm gap could be described as consisting of two phases and two points: the discharge induction phase and the gap breakdown point [19], and the arc induction phase and the fault removal point. Figure 5b illustrates that the fault removal point was not evident in the voltage waveform with a 1.0 cm gap. This was due to the fact that the discharge breakdown process under both gaps triggered the equipment protection mechanism, resulting in the circuit being tripped. In the case of the 1.0 cm gap, the ignition process resulted in the production of momentary flames that persisted for a duration exceeding 50 ms. In contrast, the discharge process under the 2.0 cm gap was markedly rapid, effectively preventing the ignition and flame production associated with eucalyptus leaves. The process of wire breakage and drooping discharge ignition of eucalyptus leaves under 2.0 cm and 1.0 cm gaps is illustrated in Figure 6.
Figure 6.
Process of ignition of eucalyptus leaf debris by simulated wire breakage and drooping discharge.
From Figure 5c–e, it was evident that the fault clearance point was not discernible on the voltage waveform. The absence of a fault clearance point on the voltage waveform was due to the fact that a shorter distance gap resulted in the formation of an instantaneous arc or flame, in contrast to the 2.0 cm and 1.0 cm gaps, during which a steady conductive arc was established and ignited the eucalyptus leaf, leading to the persistence of the flame. As illustrated in Figure 7, the ignition process at a gap distance of 0.0 cm exemplified this phenomenon. Following ignition, the flame was markedly affected by the Lorentz force generated by the electromagnetic field, resulting in oscillatory movement in both the lateral and vertical directions. At this juncture, a stable flow channel had formed, connecting the two poles. Furthermore, the reduction in gap resistance due to the flame intensified the discharge process, leading to the sustained ignition of the flame. Therefore, it was not possible to artificially increase the voltage or trigger the equipment protection device to trip. Consequently, in the presence of a sustained flame, only the three stages of the voltage waveform could be captured: the discharge induction period, the gap breakdown point, and the arc conducting period.
Figure 7.
Process of wire breakage and dropping discharge ignition of eucalyptus leaf fragments with 0.0 cm clearance.
As illustrated in Figure 5, the voltage waveform displayed a sawtooth pattern during the discharge induction period, suggesting that discharges occurred during this phase but had not yet established a continuous flow or precursor channel across the gap. As the voltage continued to increase, a breakdown occurred in the gap, resulting in the formation of a bright electric arc or even a flame between the electrode and the vegetation sample. Subsequently, the voltage declined abruptly, resulting in a period of arc conduction. As the arc persisted, sustained flames were generated at intervals of 1.0, 0.0, −1.0, and −2.0 cm gaps. As the distance between the steel rod electrode and the surface of the eucalyptus leaf litter decreased, the breakdown voltage required for ignition also decreased, thereby increasing the likelihood of vegetation ignition induced by fallen wire conductors.
3.2. Analysis of Factors Influencing Vegetation Ignition Caused by Wire Breakage and Dropping
3.2.1. Influence of Vegetation Species and Clearance Distance on Vegetation Ignition Caused by Wire Breakage and Dropping
The peak breakdown voltage causing ignition due to wire breakage and dropping can be obtained from the voltage waveform data, and the effective breakdown voltage can be calculated accordingly. Experiments were conducted to investigate the effect of wire dropping on discharge ignition in a variety of natural materials, including eucalyptus leaves, ferns, cedar needles, and poplar wood chips. The experiments were performed at clearances of 2.0, 1.0, 0.0, −1.0, and −2.0 cm, with each condition repeated three times. The mean breakdown voltage was documented and is presented in Table 2. Figure 8 illustrates the trend in breakdown voltage variation with clearance distance for the four vegetation samples when ignited by wire dropping discharge at different clearances.
Table 2.
Breakdown Voltage (Mean) of Different Vegetation Types at Various Spacing Distances during Vegetation Ignition.
Figure 8.
Trend of breakdown voltage (average) for different vegetation samples with varying gap distances under suspended wire discharge.
Table 2 and Figure 8 indicate that the kidney fern exhibited the highest breakdown voltage required for ignition by corona discharge from drooping conductors. The effective values of breakdown voltage required for ignition by corona discharge at gaps of −2.0, −1.0, 0.0, 1.0, and 2.0 cm were, respectively, 1.23, 1.38, and 2.71 times, and 1.18, 1.18, and 2.50 times those of the other samples. These values were found to be (1.24, 1.24, 2.56) times, (1.13, 1.06, 1.75) times, and (1.17, 1.08, 1.57) times those of eucalyptus leaves, poplar sawdust, and cedar needles, respectively. The smaller the required breakdown voltage for ignition by corona discharge from drooping conductors, the more readily the vegetation samples were ignited. It can thus be concluded that the likelihood of ignition of the vegetation samples was ranked as follows when the drooping conductor (electrode tip) contacted or penetrated the surface vegetation: cedar needles > poplar sawdust > eucalyptus. The likelihood of vegetation samples being ignited was ranked as follows: US leaves > kidney fern. When the tip of the conductor hung above the vegetation sample, the likelihood of vegetation samples being ignited was ranked as follows: cedar needles > eucalyptus leaves > poplar sawdust > kidney fern. Therefore, it was necessary to avoid planting vegetation of the cedar genus under high-voltage transmission lines and replace it with other vegetation with a higher tolerance to discharge breakdown ignition.
Figure 8 illustrates that as the distance between the electrode tip and the vegetation sample increases, the breakdown voltage required for ignition by discharge for each type of vegetation sample also increases. The increase in the required breakdown voltage for ignition by discharge from −2.0 to 0.0 cm was of a similar magnitude to that observed from 1.0 to 2.0 cm. A decrease in the gap distance from 2.0 cm to 1.0 cm, from 0.0 cm to −1.0 cm, and from −1.0 cm to −2.0 cm resulted in a reduction in the required breakdown voltage for ignition by corona discharge from drooping conductors, with a decrease of 8.8%, 12.5%, and 21%, respectively. The breakdown voltage required for ignition by corona discharge from drooping conductors decreased by 6%, 10.8%, 8.1%, 11.0%, and 8.8% for eucalyptus leaves, kidney fern, cedar needles, and poplar sawdust, respectively. However, when the gap distance decreased from 1.0 cm to 0.0 cm, a significant decrease in the breakdown voltage required for ignition by discharge was observed for the vegetation samples. The observed decreases were 40.3% for eucalyptus leaves, 34.3% for kidney fern, 55.0% for cedar needles, and 43.9% for poplar sawdust. In consideration of the experimental phenomenon, all vegetation samples exhibited a transient arc extinguishment at a gap distance of 2.0 cm, which was subsequently followed by the tripping of the equipment without the ignition of the vegetation. All vegetation species produced sustained flames at gaps of −2.0 to 0.0 cm without tripping the equipment. Furthermore, even at a gap of 1.0 cm, a momentary significant flame occurred. Therefore, in practical operation, it is imperative to avoid contact between broken drooping high-voltage transmission lines and surface or aerial vegetation.
3.2.2. The Impact of Vegetation Moisture Content on Conductor Sagging and Line Breakage Leading to Vegetation Ignition
Table 3 presents the mean breakdown voltages for Eucalyptus leaf fragments with four distinct moisture contents when subjected to discharge ignition by suspended wires at gap distances of 2.0, 1.0, 0.0, −1.0, and −2.0 cm, respectively. Figure 9 illustrates the trend in breakdown voltages with varying gap distances (−2.0 to 2.0 cm) for Eucalyptus leaves of different moisture contents when subjected to discharge ignition by suspended wires.
Table 3.
Ignition Breakdown Voltage (Average) of Eucalyptus Leaf Fragments at Different Moisture Contents and Gap Distances.
Figure 9.
Trend of breakdown voltage (average) for eucalyptus leaf samples with different moisture content subjected to air discharge ignition along varied gap distances.
As illustrated in Table 3 and Figure 9, an increase in the moisture content of eucalyptus leaf fragments was observed to result in a gradual decrease in the required breakdown voltage for discharge ignition. The eucalyptus leaf fragment sample with a moisture content of 13.97% exhibited the highest breakdown voltage within the range of −2.0 to 2.0 cm. Specifically, the breakdown voltage required for discharge ignition was found to be 1.13–1.63 times, 1.54–2.31 times, and 1.62–2.42 times that required for eucalyptus leaf samples with moisture contents of 18.27%, 22.36%, and 27.00%, respectively. This indicated that a lower moisture content in the sample, indicative of a drier material, theoretically rendered it more flammable. However, the simultaneous increase in volume resistance results in an increase in the required breakdown voltage for ignition. Conversely, a mutual constraint relationship was observed between moisture content (corresponding to combustion grade) and breakdown voltage. In the case of eucalyptus leaf samples with moisture contents below 27.00%, an inverse relationship was observed between the moisture content and the likelihood of producing an arc with the hanging conductor until ignition occurred. It was hypothesized that ignition and sustained combustion times would be positively and negatively correlated with moisture content, respectively. However, this requires further experimental verification.
With regard to the experimental phenomena, at a moisture content of 13.97%, only momentary arcing was observed at a 2.0 cm gap, which was followed by the triggering of the equipment circuit breaker. At a 1.0 cm gap, sparks and flames were produced during discharge, also resulting in the triggering of the equipment circuit breaker. In contrast, at gaps ranging from 0.0 cm to −2.0 cm, sustained flames were generated without triggering the equipment circuit breaker. As the moisture content increased to 18.27%, 22.36%, and 27.00%, sustained arcing and flames occurred within the 2.0 to 1.0 cm gap range, as illustrated in Figure 10, without triggering the equipment circuit breaker. However, within the gap range of −2.0 to 0.0 cm, due to the absence of gaps between the electrode tip and the vegetation, it was not possible to observe arcs with the naked eye. However, flames and a large amount of smoke were produced, which is consistent with the above analysis.
Figure 10.
Electric arcs and flames generated by discharge breakdown of eucalyptus leaf fragment samples with different moisture content at a 2.0 cm gap: (a) 18.27%; (b) 22.36%; (c) 27.00%.
4. Conclusions
This paper presents the establishment of an experimental platform for the investigation of the ignition of surface vegetation caused by high-voltage transmission line wire breakage and sagging. The impact of vegetation type, the distance between conductor tips and vegetation, and vegetation moisture content were investigated. The principal findings were as follows:
(1) Under specified gap distances, the likelihood of ignition for the four types of vegetation was as follows: cedar needles > eucalyptus leaves ≈ poplar wood shavings > kidney ferns. The breakdown ignition voltage of eucalyptus leaves with a moisture content of 13.97% was observed to be 1.62 to 2.42 times higher than that of samples with a moisture content of 27.00%. In practical circumstances, vegetation with a relatively high moisture content could still be ignited by high-voltage sagging wire breaks. However, in theory, the ease of ignition, required time, and subsequent burning time were found to be positively correlated with overall moisture content.
(2) As the distance between the electrode tips and the vegetation samples increased, the breakdown ignition voltage for each vegetation sample also increased. The required breakdown ignition voltage when the sagging conductor made contact with the vegetation surface was markedly lower than when there was a gap.
(3) In the context of direct grounding systems for 110 kV and above main networks, the risk of ignition due to grid faults was found to be higher in the summer months, when rainfall levels are typically higher and vegetation moisture content is consequently elevated. However, in the event of a single-phase ground fault, the system protection operated rapidly (0.06 s or 0.5 s), making it challenging for vegetation to sustain combustion. Conversely, in winter, the environment was dry, rendering vegetation susceptible to wildfires after ignition but less vulnerable to ignition due to grid faults.
(4) In the event of a single-phase ground fault in a 10 kV or 35 kV distribution network with neutral point grounding through arc suppression coil systems, the system has the capacity to continue operating for a period of 1–2 h. Once an arc had been initiated by a single-phase ground fault, it was not readily self-extinguishing. During this period, a variety of leaf litter types were susceptible to ignition. It is therefore recommended that fire prevention measures for arc suppression coil grounding systems be given particular emphasis during routine maintenance and operation.
Author Contributions
Conceptualization, R.Z.; methodology, R.Z. and K.Z.; software, P.Z.; formal analysis, Y.C.; investigation, Y.C.; resources, C.L.; data curation, C.L.; writing—original draft preparation, H.L.; writing—review and editing, R.Z.; visualization, P.Z.; supervision, K.Z.; project administration, K.Z.; funding acquisition, H.L. All authors have read and agreed to the published version of the manuscript.
Funding
This research was funded by the State Grid Corporation Headquarters science and technology project, grant number 5200-202323473A-3-2-ZN.
Institutional Review Board Statement
Not applicable.
Informed Consent Statement
Not applicable.
Data Availability Statement
Research data can be provided upon request.
Acknowledgments
We thank the anonymous reviewers for their constructive feedback.
Conflicts of Interest
The authors declare no conflicts of interest.
References
- Jazebi, S.; De Leon, F.; Nelson, A. Review of Wildfire Management Techniques—Part I: Causes, Prevention, Detection, Suppression, and Data Analytics. IEEE Trans. Power Deliv. 2019, 35, 430–439. [Google Scholar]
- Wong, K.L.; Marxsen, T.; Liang, M.; Chahal, J.S. A Novel Autonomous Technique for Early Fault Detection on Overhead Power Lines. In Proceedings of the 2019 IEEE 4th International Conference on Condition Assessment Techniques in Electrical Systems (CATCON), Chennai, India, 21–23 November 2019. [Google Scholar]
- Wang, H.; Luo, J.; Xu, T. Qustionnaire Survey and Analysis of Natural Disaster Defense Techniques of Power Grids in China. Autom. Electr. Power Syst. 2010, 34, 5–10. [Google Scholar]
- Huang, D.; Li, P.; Ruan, J.; Zhang, Y.; Wu, T. Review on Discharge Mechanism and Breakdown Characteristics of Transmission Line Gap Under Forest Fire Condition. High Volt. Eng. 2015, 41, 622–632. [Google Scholar]
- Zhou, Z.; Ai, X.; Lu, J. A Real-time Analysis Approach and Its Application for Transmission-line Trip Risk due to Wildfire Disaster. Proc. CSEE 2017, 37, 5321–5330. [Google Scholar]
- Collins, K.M.; Penman, T.D.; Price, O.F. Some Wildfire Ignition Causes Pose More Risk of Destroying Houses than Others. PLoS ONE 2016, 11, e0162083. [Google Scholar] [CrossRef] [PubMed]
- Jalilian, A.; Muttaqi, K.M.; Sutanto, D. A Novel Voltage Clamping based Overvoltage Protection Strategy to Avoid Spurious Trip of Inverter based Resources and Eliminate the Risk of Bushfires following the REFCL Operation. In Proceedings of the 2020 IEEE Industry Applications Society Annual Meeting, Detroit, MI, USA, 10–16 October 2020. [Google Scholar]
- Russell, B.D.; Benner, C.L.; Wischkaemper, J.A. Distribution feeder caused wildfires: Mechanisms and prevention. In Proceedings of the 2012 65th Annual Conference for Protective Relay Engineers, College Station, TX, USA, 2–5 April 2012. [Google Scholar]
- Wischkaemper, J.A.; Benner, C.L.; Russell, B.D.; Manivannan, K.M. Application of advanced electrical waveform monitoring and analytics for reduction of wildfire risk. In Proceedings of the 2014 IEEE PES T&D Conference and Exposition, Washington, DC, USA, 19–22 February 2014. [Google Scholar]
- Hong, S.Y.; Noh, Y.; Dudhia, J. A new vertical diffusion package with an explicit treatment of entrainment processes. Mon. Weather Rev. 2006, 134, 2318–2341. [Google Scholar] [CrossRef]
- Wang, L.; Guan, Z.; Hu, Q.; Liang, X.; Sheng, X.; Allen, N.L. Air breakdown during fires. Tsinghua Sci. Technol. 2001, 6, 497–499. [Google Scholar]
- Mphale, K.M.; Luhanga, P.V.; Heron, M.L. Microwave attenuation in forest fuel flames. Combust. Flame 2008, 154, 728–739. [Google Scholar] [CrossRef]
- Mphale, K.M.; Heron, M.; Ketlhwaafetse, R.; Letsholathebe, D.; Casey, R. Interferometric measurement of ionization in a grassfire. Meteorol. Atmos. Phys. 2010, 106, 191–203. [Google Scholar] [CrossRef]
- Mphale, K.; Heron, M. Wildfire plume electrical conductivity. Tellus Ser. B-Chem. Phys. Meteorol. 2007, 59, 766–772. [Google Scholar] [CrossRef]
- Maabong, K.E.; Mphale, K.; Letsholathebe, D.; Chimidza, S. Measurement of Breakdown Electric Field Strength for Vegetation and Hydrocarbon Flames. J. Electromagn. Anal. Appl. 2018, 10, 53–66. [Google Scholar] [CrossRef][Green Version]
- Wu, T.; Ruan, J.; Hu, Y.; Liu, B.; Chen, C. Study on forest fire induced breakdown of 500kV transmission line in terms of characteristics and mechanism. Proc. CSEE 2011, 31, 163–170. (In Chinese) [Google Scholar]
- Ye, D.; Wu, X.; Luo, Y.; Wu, Q.; Yan, L.; Wen, Y. The Current Status and Protection Way of Guangxi Vegetation Resource, South China. Guangxi Sci. 2014, 21, 514–524, 533. [Google Scholar]
- Lan, X.; Du, H.; Song, T.; Zeng, F.; Peng, W.; Liu, Y.; Fan, Z.; Zhang, J. Vegetation carbon storage in the main forest types in Guangxi and the related influencing factors. Acta Ecol. Sin. 2019, 39, 2043–2053. [Google Scholar]
- Fonseca, J.R.; Tan, A.L.; Silva, R.P.; Monassi, V.; Assuncao, L.A.; Junqueira, W.S.; Melo, M.O. Effects of agricultural fires on the performance of overhead transmission lines. IEEE Trans. Power Deliv. 1990, 5, 687–694. [Google Scholar] [CrossRef]
Disclaimer/Publisher’s Note: The statements, opinions and data contained in all publications are solely those of the individual author(s) and contributor(s) and not of MDPI and/or the editor(s). MDPI and/or the editor(s) disclaim responsibility for any injury to people or property resulting from any ideas, methods, instructions or products referred to in the content. |
© 2024 by the authors. Licensee MDPI, Basel, Switzerland. This article is an open access article distributed under the terms and conditions of the Creative Commons Attribution (CC BY) license (https://creativecommons.org/licenses/by/4.0/).









