Review on Research Progress of C6F12O as a Fire Extinguishing Agent
Abstract
:1. Introduction
2. Properties and Characteristics of C6F12O
2.1. Thermophysical Parameters
2.2. Safety
2.2.1. Toxicity
2.2.2. Corrosion
2.3. Environment
2.4. Dispersion Performance
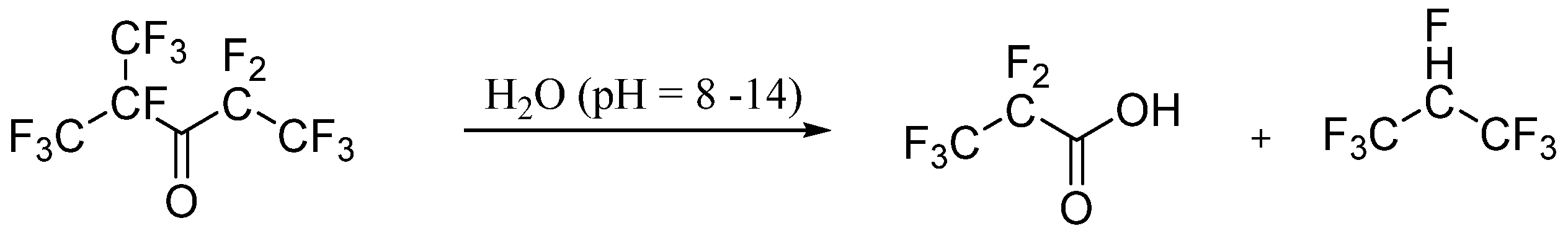
3. Synthesis Route
3.1. The Oxidation Reaction of Hexafluoropropene
3.2. The Oxidation Rearrangement Method of Hexafluoropropylene Dimer
3.3. The Reaction of Hexafluoropropylene and Perfluoropropionyl Fluoride
4. Fire Extinguishing Efficiency and Mechanism of C6F12O
4.1. Extinguishing Efficiency
4.1.1. Laboratory Scale Experiments
4.1.2. Full-Scale Experiment
4.2. Fire Extinguishing Mechanism
4.2.1. Physical Mechanism
4.2.2. Chemical Mechanism
Chemical Extinguishing Process of C6F12O
Influence of H Content in Reaction Environment on Fire Extinguishing Process
Flame Enhancement Mechanism during the Fire Extinguishment
5. Summary
Author Contributions
Funding
Conflicts of Interest
References
- Saloutina, L.V.; Filyakova, T.I.; Zapevalov, A.Y.; Kodess, M.I.; Kolenko, I.P. Synthesis and Some Reactions of “2-X-Perfluoro-2-Methyl-3-Pentanones. Bull. Acad. Sci. Ussr Div. Chem. Sci. 1982, 31, 1685–1687. [Google Scholar] [CrossRef]
- Su, J.Z.; Kim, A.K.; Mawhinney, J.R. Review of total flooding gaseous agents as Halon 1301 substitutes. J. Fire Prot. Eng. 1996, 8, 45–63. [Google Scholar] [CrossRef]
- Burkholder, J.B.; Cox, R.A.; Ravishankara, A.R. Atmospheric Degradation of Ozone Depleting Substances, Their Substitutes, and Related Species. Chem. Rev. 2015, 115, 3704–3759. [Google Scholar] [CrossRef]
- Babushok, V.I.; Linteris, G.T.; Meier, O.C. Combustion properties of halogenated fire suppressants. Combust. Flame 2012, 159, 3569–3575. [Google Scholar] [CrossRef]
- Velders, G.J.M.; Andersen, S.O.; Daniel, J.S.; Fahey, D.W.; McFarland, M. The importance of the Montreal Protocol in protecting climate. Proc. Natl. Acad. Sci. USA 2007, 104, 4814–4819. [Google Scholar] [CrossRef] [Green Version]
- Heath, E.A. Amendment to the Montreal Protocol on Substances that Deplete the Ozone Layer (Kigali Amendment). Int. Leg. Mater. 2017, 56, 193–205. [Google Scholar] [CrossRef] [Green Version]
- 3M Company. 3MTM Novec1230TM Fire Protection Fluid; 3M Company: Saint Paul, MN, USA, 2020. [Google Scholar]
- Mclinden, M.O.; RPerkins, A.; Lemmon, E.W.; Fortin, T.J. Thermodynamic Properties of 1,1,1,2,2,4,5,5,5-Nonafluoro-4-(trifluoromethyl)-3-pentanone: Vapor Pressure, (p, ρ, T) Behavior, and Speed of Sound Measurements, and an Equation of State. J. Chem. Eng. Data 2015, 60, 150930083719001. [Google Scholar] [CrossRef]
- Tanaka, K. Measurement of pρT Properties of 1,1,1,2,2,4,5,5,5-Nonafluoro-4-(trifluoromethyl)-3-pentanone in the Near-Critical and Supercritical Regions. J. Chem. Eng. Data 2016, 61, 3958–3961. [Google Scholar] [CrossRef]
- Wen, C.; Meng, X.; Huber, M.L.; Wu, J. Measurement and Correlation of the Viscosity of 1,1,1,2,2,4,5,5,5-Nonafluoro-4-(trifluoromethyl)-3-pentanone. J. Chem. Eng. Data 2017, 62, 3603–3609. [Google Scholar] [CrossRef]
- Cui, J.; Yan, S.; Bi, S.; Wu, J. Saturated Liquid Dynamic Viscosity and Surface Tension of trans-1-Chloro-3,3,3-trifluoropropene and Dodecafluoro-2-methylpentan-3-one. J. Chem. Eng. Data 2018, 63, 751–756. [Google Scholar] [CrossRef]
- Perkins, R.A.; Huber, M.L.; Assael, M.J. Measurement and Correlation of the Thermal Conductivity of 1,1,1,2,2,4,5,5,5-Nonafluoro-4-(trifluoromethyl)-3-pentanone. J. Chem. Eng. Data 2018, 63, 2783–2789. [Google Scholar] [CrossRef]
- Burch, I.A.; Kennett, S.R.; Fletcher, L.E. A Risk Assessment Approach for Selecting a Replacement for Halon 1301 Fire Suppressant; Defence Science and Technology Organisation: Melbourne, Australia, 2001.
- Rivers, P.E. Advancement in Sustainable Fire Suppression Development C, F-Ketone: A Novel New Halon Replacement Alternative to HFCs and PFCs. In Proceedings of the 2001 Halon Options Technical Working Conference, Albuquerque, NM, USA, 24–26 April 2001. [Google Scholar]
- Xu, X.; Jiang, L.; Xu, L.; Chen, X. Acute inhalation toxicity of fire extinguishing agents Novec1230. J. Environ. Health 2015, 32, 742–743. [Google Scholar]
- Zeng, F.P.; Lei, Z.C.; Miao, Y.L.; Yao, Q.; Tang, J. Reaction Thermodynamics of Overthermal Decomposition of C6F12O; Springer International Publishing: Cham, Switzerland, 2020; pp. 43–51. [Google Scholar]
- Zhang, X.X.; Tian, S.S.; Xiao, S.; Deng, Z.T.; Li, Y.; Tang, J. Insulation Strength and Decomposition Characteristics of a C6F12O and N-2 Gas Mixture. Energies 2017, 10, 1170. [Google Scholar] [CrossRef] [Green Version]
- Li, Y.; Zhang, X.; Tian, S.; Xiao, S.; Li, Y.; Chen, D. Insight into the decomposition mechanism of C6F12O-CO2 gas mixture. Chem. Eng. J. 2019, 360, 929–940. [Google Scholar] [CrossRef]
- Christophorou, L.G.; Olthoff, J.K. Gaseous Dielectrics VIII; Springer Science & Business Media: Berlin/Heidelberg, Germany, 1998; 639p. [Google Scholar]
- Zhang, X.; Li, Y.; Xiao, S.; Tang, J.; Tian, S.; Deng, Z. Decomposition Mechanism of C5F10O: An Environmentally Friendly Insulation Medium. Environ. Sci. Technol. 2017, 51, 10127–10136. [Google Scholar] [CrossRef]
- Xing, H.; Cheng, Y.; Lu, S.; Tao, N.; Zhang, H. A reactive molecular dynamics study of the pyrolysis mechanism of C6F12O. Mol. Phys. 2021, 119, e1976425. [Google Scholar] [CrossRef]
- Cui, F.; Qin, K.; Shi, L.; Zhang, P.; Pan, R. Study on Thermal Pyrolysis of C6 F-ketone Fire Extinguishant at High Temperatures. Explos. Mater. 2015, 44, 5–8. [Google Scholar]
- Ditch, B.D. Thermal Decomposition Products Testing With 1,1,1,2,2,4,5,5,5 nonafluoro-4-trifluoromethyl pentan-3-one (C6 F-ketone) during Fire Extinguishing. Master’s Thesis, Worcester Polytechnic University, Worcester, MA, USA, 2003. [Google Scholar]
- Andersson, B.; Blomqvist, P. Experimental study of thermal breakdown products from halogenated extinguishing agents. Fire Saf. J. 2011, 46, 104–115. [Google Scholar] [CrossRef]
- Tuma, P.E. Fluoroketone C2F5C(O)CF(CF3)(2) as a heat transfer fluid for passive and pumped 2-phase applications. In Proceedings of the 2008 Twenty-Fourth Annual IEEE Semiconductor Thermal Measurement and Management Symposium, San Jose, CA, USA, 16–20 March 2008; pp. 174–181. [Google Scholar]
- Li, Y.; Zhang, X.; Tian, S.; Xiao, S.; Chen, Q.; Chen, D.; Cui, Z.; Tang, J. Insight into the Compatibility Between C6F12O and Metal Materials: Experiment and Theory. IEEE Access 2018, 6, 58154–58160. [Google Scholar] [CrossRef]
- Zhang, X.; Wang, Y.; Li, Y.; Li, Y.; Ye, F.; Tian, S.; Chen, D.; Xiao, S.; Tang, J. Thermal compatibility properties of C6F12O-air gas mixture with metal materials. AIP Adv. 2019, 9, 125024. [Google Scholar] [CrossRef] [Green Version]
- Zhuo, R.; Chen, Q.; Wang, D.; Fu, M.; Tang, J.; Hu, J.; Jiang, Y. Compatibility between C6F12O–N2 Gas Mixture and Metal Used in Medium-Voltage Switchgears. Energies 2019, 12, 4639. [Google Scholar] [CrossRef] [Green Version]
- Zhang, X.; Lan, J.; Tian, S.; Rao, X.; Li, X.; Yuan, Z.; Jin, X.; Gao, S.; Zhang, X. Study of compatibility between eco-friendly insulating medium C6F12O and sealing material EPDM. J. Mol. Struct. 2021, 1244, 130949. [Google Scholar] [CrossRef]
- Jackson, D.A.; Young, C.J.; Hurley, M.D.; Wallington, T.J.; Mabury, S.A. Atmospheric Degradation of Perfluoro-2-methyl-3-pentanone: Photolysis, Hydrolysis and Hydration. Environ. Sci. Technol. 2011, 45, 8030–8036. [Google Scholar] [CrossRef]
- Ke, W.; Yang, W.; Zhou, B.; Wang, K.; Sun, J.; Sun, X.; Xu, M.; Chen, Q.; Qiu, B.; Wang, W.; et al. The color change analysis of historic wooden remains after fire-suppression by fluorinated chemical gases. Herit. Sci. 2021, 9, 93. [Google Scholar] [CrossRef]
- Robin, M.L. Fire protection in telecommunication facilities. Process Saf. Prog. 2010, 19, 107–111. [Google Scholar] [CrossRef]
- Hirschler, M.M. Discussion of smoke corrosivity test methods: Analysis of existing tests and of their results. Fire Mater. 1993, 17, 231–247. [Google Scholar] [CrossRef]
- Lunt, M.F.; Rigby, M.; Ganesan, A.L.; Manning, A.J.; Prinn, R.G.; O’Doherty, S.; Muehle, J.; Harth, C.M.; Salameh, P.K.; Arnold, T.; et al. Reconciling reported and unreported HFC emissions with atmospheric observations. Proc. Natl. Acad. Sci. USA 2015, 112, 5927–5931. [Google Scholar] [CrossRef] [Green Version]
- Velders, G.J.M.; Fahey, D.W.; Daniel, J.S.; Andersen, S.O.; McFarland, M. Future atmospheric abundances and climate forcings from scenarios of global and regional hydrofluorocarbon (HFC) emissions. Atmos. Environ. 2015, 123, 200–209. [Google Scholar] [CrossRef]
- Ravishankara, A.R.; Solomon, S.; Turnipseed, A.A.; Warren, R.F. Atmospheric Lifetimes of Long-Lived Halogenated Species. Science 1993, 259, 194–199. [Google Scholar] [CrossRef] [Green Version]
- Mellouki, A.; Wallington, T.J.; Chen, J. Atmospheric Chemistry of Oxygenated Volatile Organic Compounds: Impacts on Air Quality and Climate. Chem. Rev. 2015, 115, 3984–4014. [Google Scholar] [CrossRef]
- Taniguchi, N.; Wallington, T.J.; Hurley, M.D.; Guschin, A.G.; Molina, L.T.; Molina, M.J. Atmospheric chemistry of C2F5C(O)CF(CF3)(2): Photolysis and reaction with Cl atoms, OH radicals, and ozone. J. Phys. Chem. A 2003, 107, 2674–2679. [Google Scholar] [CrossRef]
- D’Anna, B.; Sellevag, S.R.; Wirtz, K.; Nielsen, G.J. Photolysis Study of Perfluoro-2-methyl-3-pentanone under Natural Sunlight Conditions. Environ. Sci. Technol. 2005, 39, 8708–8711. [Google Scholar] [CrossRef]
- Ren, Y.; Bernard, F.; Daele, V.; Mellouki, A. Atmospheric Fate and Impact of Perfluorinated Butanone and Pentanone. Environ. Sci. Technol. 2019, 53, 8862–8871. [Google Scholar] [CrossRef]
- Fuller, E.N.; Schettler, P.D.J.; Giddings, J.C. New Method for Prediction of Binary Gas-Phase Diffusion Coefficients. Ind. Eng. Chem. 1966, 58, 18–27. [Google Scholar] [CrossRef]
- Chen, W.W.; Zhou, X.M.; Liao, G.X. Experimental study of the storage behaviors of the Novec 1230-N_2 fire-extinguishing system. J. Saf. Environ. 2014, 14, 80–85. [Google Scholar]
- Yang, W.; Cong, X.; Zhao, L. Experimental study on application of temperature sensing self-starting fire extinguishing pipe system in confined space. J. Saf. Sci. Technol. 2019, 15, 18–23. [Google Scholar]
- Fan, W.; Gao, Z.; Wang, D.; Yang, Y.; Gao, Y. Study on the flow characteristics of fire extinguishing agent FK-5-1-12 in the pipeline release process. Fire Mater. 2022, 46, 376–387. [Google Scholar] [CrossRef]
- Xing, H.; Lu, S.; Tao, N.; Liu, R. Study on Dispersion Characteristics of FK5112 Mixed with Inert Gas. In Proceedings of the 2019 9th International Conference on Fire Science and Fire Protection Engineering (ICFSFPE), Chengdu, China, 18–20 October 2019. [Google Scholar]
- Vilenchik, Y.M.; Soshin, V.A.; Novoselitskaya, L.M.; Lekontseva, G.I.; Neifel’d, P.G. ChemInform Abstract: Synthesis of Perfluorinated Ethyl Ketones. Chem. Inf. 1978, 9, 33. [Google Scholar] [CrossRef]
- Zapevalov, A.Y.; Filyakova, T.I.; Kolenko, I.P. ChemInform Abstract: Oxides OF Hexafluoropropylene Dimers. Chem. Inf. 1980, 11, 21. [Google Scholar] [CrossRef]
- Qu, W. A Research of Synthetic Optimization of C6-Fluoroketone; Nanjing University of Science and Technology: Nanjing, China, 2014. [Google Scholar]
- Smith, R.D.; Fawcett, F.S.; Coffman, D.D. The chemistry of carbonyl fluoride. II. Synthesis of perfluoroisopropyl ketones. J. Am. Chem. Soc. 1962, 84, 4285–4288. [Google Scholar] [CrossRef]
- Fenichev, I.M.; Babenko, Y.I.; Bispen, T.A.; Moldavskii, D.D. Development of technology of perfluoroethyl isopropyl ketone production. Russ. J. Appl. Chem. 2013, 86, 376–386. [Google Scholar] [CrossRef]
- Sha, M.; Cai, X.; Qu, W.; Pan, R.; Jiang, B. Research Progress on the Synthetic Intermediates of C6-Fluoroketone:Pentafluoropropionyl Fluoride and Hexafluoropropylene Epoxide. Chemistry 2012, 75, 387–392. [Google Scholar]
- Hirst, R.; Booth, K. Measurement of flame-extinguishing concentrations. Fire Technol. 1977, 13, 296–315. [Google Scholar] [CrossRef]
- Takahashi, F.; Linteris, G.T.; Katta, V.R. Suppression of cup-burner flames. In Proceedings of the Fourth International Symposium on Scale Modeling (ISSM-IV), Cleveland, OH, USA, 17–19 September 2003. [Google Scholar]
- Li, S. Study on the Measurement of Perfluorohexanone Extinguishing Concentration; Nanjing University of Science and Technology: Nanjing, China, 2018. [Google Scholar]
- Carnazza, B.; Owens, J.; Rivers, P.; Schmeer, J. FK-5-1-12 Performance Characteristics: Recent Developments, NIST SP 984-2. In Proceedings of the 14th Halon Options Technical Working Conference (HOTWC), Next Generation Fire Suppression Technology Program, Albuquerque, NM, USA, 4–6 May 2004; Available online: https://www.nist.gov/system/files/documents/el/fire_research/R0401178.pdf (accessed on 5 April 2022).
- Andersson, B.; Blomqvist, P.; Dederichs, A. Thermal Breakdown of Extinguishing Agents; LUTVDG/TVBB-3137-SE; Department of Fire Safety Engineering and Systems Safety, Lund University: Lund, Sweden, 2008. [Google Scholar]
- Takahashi, F.; VKatta, R.; Babushok, V.I.; Linteris, G.T. Numerical and experimental studies of extinguishment of cup-burner flames by C6F12O. Proc. Combust. Inst. 2021, 38, 4645–4653. [Google Scholar] [CrossRef]
- Saso, Y.; Saito, N.; Iwata, Y. Scale effect of cup burner on flame-extinguishing concentrations. Fire Technol. 1993, 29, 22–33. [Google Scholar] [CrossRef]
- Holmstedt, G.; Andersson, P.; Andersson, J. Investigation of Scale Effects on Halon and Halon Alternatives Regarding Flame Extinguishing, Lnerting Concerntration and Thermal Decomposition Products. Fire Saf. Sci. 1994, 4, 853–864. [Google Scholar] [CrossRef] [Green Version]
- McCaffrey, B.J. Jet Diffusion Flame Suppression Using Water Sprays—An Interim Report. Combust. Sci. Technol. 1984, 40, 107–136. [Google Scholar] [CrossRef]
- Andersson, J. Halotron: A Total Concept Halon Replacement; 1988. Available online: https://www.nist.gov/system/files/documents/el/fire_research/R0301004.pdf (accessed on 5 April 2022).
- Pitts, W.M.; Yang, J.C.; Huber, M.L.; Blevins, L.G. Characterization and Identification of Super-Effective Thermal Fire Extinguishing Agents; US Department of Commerce, National Institute of Standards and Technology: Gaithersburg, MD, USA, 1999.
- Yang, J.C.; Donnelly, M.K.; Prive, M.; Grosshandler, W.L. Fire Suppression Efficiency Screening Using a Counterflow Cylindrical Burner; National Inst of Standards and Technology Gaithersburg Md Building and Fire: Gaithersburg, MD, USA, 1999.
- Yang, J.C.; Donnelly, M.K.; Prive, N.C.; Grosshandler, W.L. An apparatus for screening fire suppression efficiency of dispersed liquid agents. Fire Saf. J. 2001, 36, 55–72. [Google Scholar] [CrossRef]
- Yang, J.C.; Pitts, W.M.; Huber, M.L. Enhanced Effectiveness of Liquid Thermal Fire Extinguishing Agents. Fire Saf. Sci. 2008, 9, 579–589. [Google Scholar] [CrossRef]
- Reinhardt, J.W. Behavior of Bromotrifluoropropene and Pentafluoroethane When Subjected to a Simulated Aerosol Can Explosion; US Department of Transportation, Federal Aviation Administration: Washington, DC, USA, 2004.
- Reinhardt, J.W. Minimum Performance Standard for Aircraft Cargo Compartment Halon Replacement Fire Suppression Systems (2012 Update); U.S. Department of Transportation, Federal Aviation Administration: Washington, DC, USA, 2012.
- Reinhardt, J. Aircraft Cargo MPS Test of FK-5-1-12; International Aircraft Systems Fire Protection Working Group: Atlantic City, NJ, USA, 2006; pp. 25–26.
- Hodges, S.E.; McCormick, S.J. Fire Extinguishing Agents for Protection of Occupied Spaces in Military Ground Vehicles. Fire Technol. 2013, 49, 379–394. [Google Scholar] [CrossRef]
- Bengtson, G.; Niemann, R.; Lenexa, K. Update in the evaluation of selected NFPA 2001 agents for suppressing class “C” energized fires. Pap. From 2001, 984. Available online: https://www.nist.gov/system/files/documents/el/fire_research/R0501593.pdf (accessed on 5 April 2022).
- Kim, A.; Crampton, G.; Kanabus-Kaminska, M. Performance of Novec1230 in Electronic Facility Fire Protection; NRCC-53526; National Research Council Canada: Montreal, QC, Canada, 2010.
- Liu, Y.; Duan, Q.; Xu, J.; Chen, H.; Lu, W.; Wang, Q. Experimental study on the efficiency of dodecafluoro-2-methylpentan-3-one on suppressing lithium-ion battery fires. RSC Adv. 2018, 8, 42223–42232. [Google Scholar] [CrossRef] [Green Version]
- Administration, F.A. Full-Scale Evaluation of NovecTM1230; National Technical Information Services (NIST): Springfield, IL, USA, 2019.
- Linteris, G.T.; Babushok, V.I.; Sunderland, P.B.; Takahashi, F.; Katta, V.R.; Meier, O. Unwanted combustion enhancement by C6F12O fire suppressant. Proc. Combust. Inst. 2013, 34, 2683–2690. [Google Scholar] [CrossRef]
- Xu, W.; Jiang, Y.; Ren, X. Combustion promotion and extinction of premixed counterflow methane/air flames by C6F12O fire suppressant. J. Fire Sci. 2016, 34, 289–304. [Google Scholar] [CrossRef]
- Pagliaro, J.L.; Linteris, G.T.; Sunderland, P.B.; Baker, P.T. Combustion inhibition and enhancement of premixed methane-air flames by halon replacements. Combust. Flame 2015, 162, 41–49. [Google Scholar] [CrossRef]
- Pagliaro, J.L.; Linteris, G.T. Hydrocarbon flame inhibition by C6F12O (Novec 1230): Unstretched burning velocity measurements and predictions. Fire Saf. J. 2017, 87, 10–17. [Google Scholar] [CrossRef] [Green Version]
- Liu, L.; Du, Z.; Zhang, T.; Guo, Z.; He, M.; Liu, Z. The inhibition/promotion effect of C6F12O added to a lithium-ion cell syngas premixed flame. Int. J. Hydrogen Energy 2019, 44, 22282–22300. [Google Scholar] [CrossRef]
- Linteris, G.T.; Takahashi, F.; Katta, V.R.; Chelliah, H.; Meier, O. Thermodynamic analysis of suppressant-enhanced overpressure in the FAA aerosol can simulator. Fire Saf. Sci. 2011, 10, 307–320. [Google Scholar] [CrossRef]
- Linteris, G.T.; Burgess, D.R.; Takahashi, F.; Katta, V.R.; Chelliah, H.K.; Meier, O. Stirred reactor calculations to understand unwanted combustion enhancement by potential halon replacements. Combust. Flame 2012, 159, 1016–1025. [Google Scholar] [CrossRef]
- Wang, X.; Wu, R.; Cheng, L.; Zhang, X.; Zhou, X. Suppression of propane cup-burner flame with HFO-1336mzz(Z) and its thermal stability study. Thermochim. Acta 2020, 683, 178463. [Google Scholar] [CrossRef]
- Ren, X.; Jiang, Y.; Xu, W. Numerical investigation of the chemical and physical effects of halogenated fire suppressants addition on methane-air mixtures. J. Fire Sci. 2016, 34, 416–430. [Google Scholar] [CrossRef]







| Fire Suppressants | ODP | GWP | ALT |
|---|---|---|---|
| Halon 1301 | 12 | 6290 | 110y |
| HFC 125 | 0 | 3170 | 41y |
| HFC 227ea | 0 | 3350 | 36.5y |
| C6F12O | 0 | 1 | 5d |
| Properties | Data |
|---|---|
| Boiling point (1 atm) | 49.2 °C |
| Freezing point | −108.0 °C |
| Critical temperature | 168.7 °C |
| Critical pressure | 18.65 bar |
| Critical density | 639.1 kg/m3 |
| Density, sat. Liquid | 1.6 g/ml |
| Density, gas (1 atm) | 0.0136 g/mL |
| Specific volume, gas (1 atm) | 0.0733 m3/kg |
| Specific heat, liquid | 1.103 kJ/(kg °C) |
| Specific heat, vapor (1atm) | 0.891 kJ/(kg °C) |
| Heat of vaporization (boiling point) | 88 kJ/kg |
| Liquid viscosity (0 °C/25 °C) | 0.56/0.39 centistokes |
| Relative dielectric strength, (1atm, n2 = 1.0) | 2.3 |
| Fire Suppressant | LC50/ALC (%) | NOAEL (%) | LOAEL (%) | MEC (%) |
|---|---|---|---|---|
| C6F12O | >10 | 10 | >10 | 3.5–6.4 |
| HFC 227ea | >80 | 9 | 10.5 | 5.8–6.6 |
| HFC 125 | >70 | 7.5 | 10 | 8.1–9.4 |
| Halon1301 | >80 | 5 | 7.5 | 2.9–4.0 |
| By-Products | LC50 | GWP |
|---|---|---|
| HF | 1276 ppm/1 h | - |
| CO | 1807 ppm/4 h | - |
| COF2 | 360 ppm/1 h | - |
| CF4 | 895,000 ppm/15 min | 6630 |
| C2F6 | 20 pph/2 h | 11,100 |
| C3F6 | 750 ppm/4 h | 9200 |
| C3F8 | 6100 ppm/4 h | 8900 |
| C4F8 | 81 ppm/4 h | 9540 |
| C4F10 | - | 9200 |
| C5F12 | - | 8550 |
| Fire Suppressants | Molecular Weight | Boiling Point (°C, 1 atm) | Vapor Pressure (MPa, 25 °C) | Diffusion Coefficient (10−6 m2/s, 1 atm, 0 °C) |
|---|---|---|---|---|
| Halon 1301 | 149 | −57.9 | 1.62 | 7.49 |
| HFC 125 | 120 | −48.5 | 1.37 | 6.81 |
| HFC 227ea | 170 | −16.4 | 0.458 | 5.68 |
| C6F12O | 316 | 49.2 | 0.04 | 4.17 |
| Researcher | Fuel | Test Result of MEC | Note |
|---|---|---|---|
| Carnazza et al. [55] | n-heptane, alcohol and other liquid fuels | n-heptane 4.5%, alcohol 5.6% | |
| Andersson et al. [24,56] | propane | 6.4% | lower than HFC 125 and HFC 227ea under the same experimental conditions, higher than Halon 1301 |
| Rivers et al. [14] | propane | 3.5% | lower than Halon 1301 and Halon 1211 under the same experimental conditions but the required mass for the same fire extinguishing efficiency is relatively high |
| Takahashi et al. [57] | propane | 4.17% | the calculated MEC is 4.12% |
| Li [54] | n-heptane | 4.5–5% | under different gasification heating temperature, air temperature, heating coil and environment temperature |
| Researcher | Aim | Fire Scene | Result |
|---|---|---|---|
| Hodges et al. [69] | Evaluate the fire extinguishing efficiency of C6F12O and the generation amount of acid gas in specific scenarios | Military vehicle, 7.36 m2 chamber | The fire extinguishing efficiency of C6F12O is similar to that of halon and its substitutes, which can extinguish 7.36 m2 fire within 200 ms. However, the mass of fire extinguishing agent and the amount of acid gas in products cannot meet the application standard. |
| Bengtson et al. [70] | Fire extinguishing efficiency and re-burning of C6F12O in polymer fire ignited by different electric power | Polymer fire ignited by 192W electric power | The fire extinguishing concentration is less than Halon 1301 and higher than the n-heptane test result given by NFPA 2001. When the fire suppressant concentration is higher than the test value of cup burner, the fire can be prevented from re-ignition. |
| Kim et al. [71] | The fire extinguishing efficiency and acid gas generation of C6F12O | 3 kW cable fire, small oil pool and wood stack fire under the design concentration (6.5%) in 58 m3 space | It takes a long time for the extinguishing agent to reach the extinguishing concentration in the confined space. The cable fire is put out 72 s after combustion, while it is put out in 30 s in the open and ventilated environment. The wood stack and oil pool fire can be put out in 10 s. A large amount of acid gas is produced in a large flame. |
| Liu et al. [72] | Fire extinguishing efficiency of C6F12O for lithium batteries | 38 Ah prismatic ternary (Li(Ni1/3Co1/3Mn1/3)O2/graphite))battery with the voltage of 4.2 V in 47.5 * 21.5 * 16 cm3 module box | With the increase in agent concentration, the fire extinguishing effect first decreases and then increases. No obvious cooling effect of C6F12O was found in the experiment |
| FAA et al. [73] | Feasibility of fire extinguishing application of C6F12O in aviation application | Jet A fuel in the inclined-plane fire tests,16- and 30-ft pan tests and the simulated engine nacelle fire tests | It is similar to halotron I (CF3CHCl2/Ar/CF4 mixture), but the volume and mass of C6F12O are larger than halotron I |
Publisher’s Note: MDPI stays neutral with regard to jurisdictional claims in published maps and institutional affiliations. |
© 2022 by the authors. Licensee MDPI, Basel, Switzerland. This article is an open access article distributed under the terms and conditions of the Creative Commons Attribution (CC BY) license (https://creativecommons.org/licenses/by/4.0/).
Share and Cite
Xing, H.; Lu, S.; Yang, H.; Zhang, H. Review on Research Progress of C6F12O as a Fire Extinguishing Agent. Fire 2022, 5, 50. https://doi.org/10.3390/fire5020050
Xing H, Lu S, Yang H, Zhang H. Review on Research Progress of C6F12O as a Fire Extinguishing Agent. Fire. 2022; 5(2):50. https://doi.org/10.3390/fire5020050
Chicago/Turabian StyleXing, Haoran, Song Lu, Hui Yang, and Heping Zhang. 2022. "Review on Research Progress of C6F12O as a Fire Extinguishing Agent" Fire 5, no. 2: 50. https://doi.org/10.3390/fire5020050
APA StyleXing, H., Lu, S., Yang, H., & Zhang, H. (2022). Review on Research Progress of C6F12O as a Fire Extinguishing Agent. Fire, 5(2), 50. https://doi.org/10.3390/fire5020050

