Structure and Relaxor Behavior of (0.5 − x)BiFeO3-0.5PbFe0.5Nb0.5O3-xPbTiO3 Ternary Ceramics
Abstract
1. Introduction
2. Materials and Methods
3. Results
3.1. XRD Analysis
3.2. Microstructural Characterization
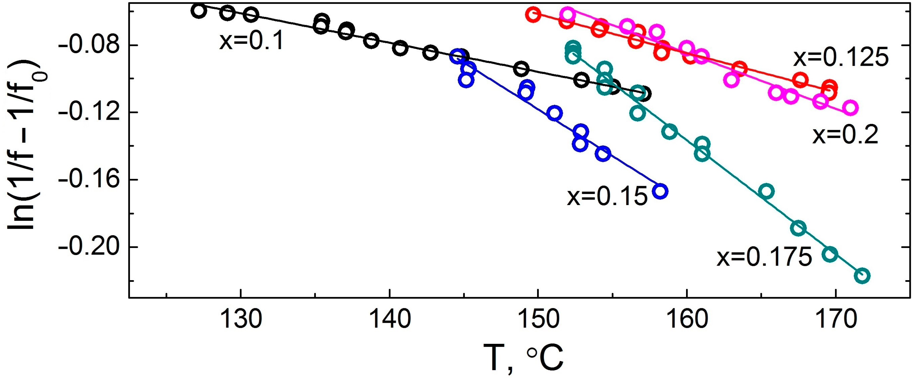
3.3. Dielectric and Piezoelectric Characteristics
4. Discussion
5. Conclusions
Author Contributions
Funding
Data Availability Statement
Acknowledgments
Conflicts of Interest
References
- Saije, K.H. Phase Transformations in Ferroelastic and Co-Elastic Solids; Cambridge University Press: Cambridge, UK, 1990. [Google Scholar]
- Pyatakov, A.P.; Zvezdin, A.K. Magnetoelectric and multiferroic media. Phys. Uspekhi 2012, 55, 557–581. [Google Scholar] [CrossRef]
- Zhai, J.; Xing, Z.; Dong, S.; Li, J.; Viehland, D. Detection of pico-Tesla magnetic fields using magneto-electric sensors at room temperature. Appl. Phys. Lett. 2006, 88, 062510. [Google Scholar] [CrossRef]
- Gao, J.; Jiang, Z.; Zhang, S.; Mao, Z.; Shen, Y.; Chu, Z. Review of Magnetoelectric Sensors. Actuators 2021, 10, 109. [Google Scholar] [CrossRef]
- Tehrani, S.; Slaughter, J.M.; Deherrera, M.; Engel, B.N.; Rizzo, N.D.; John Salter, J.; Durlam, M.; Dave, R.W.; Janesky, J.; Butcher, B.; et al. Magnetoresistive random access memory using magnetic tunnel junctions. Proc. IEEE 2003, 91, 703. [Google Scholar] [CrossRef]
- Bibes, M.; Barthélémy, A. Towards a magnetoelectric memory. Nat. Mater. 2008, 7, 425–426. [Google Scholar] [CrossRef] [PubMed]
- Chang, S.-J.; Chung, M.-H.; Kao, M.-Y.; Lee, S.-F.; Yu, Y.-H.; Kaun, C.-C.; Nakamura, T.; Sasabe, N.; Chu, S.-J.; Tseng, Y.-C. GdFe0.8Ni0.2O3: A multiferroic material for low-power spintronic devices with high storage capacity. ACS Appl. Mater. Interfaces 2019, 11, 31562–31572. [Google Scholar] [CrossRef]
- Gajek, M.; Béa, H.; Bibes, M.; Bouzehouane, K. Spintronics with multiferroics. In Proceedings of the IEEE International Magnetics Conference (INTERMAG), San Diego, CA, USA, 8–12 May 2006. [Google Scholar]
- Borders, W.A.; Akima, H.; Fukami, S.; Moriya, S.; Kurihara, S.; Horio, Y.; Sato, S.; Ohno, H. Analogue spin-orbit torque device for artificial-neural-network-based associative memory operation. Appl. Phys. Express 2008, 10, 013007. [Google Scholar] [CrossRef]
- Lu, P.-P.; Shen, J.-X.; Shang, D.-S.; Sun, Y. Artificial synaptic device based on a multiferroic heterostructure. J. Phys. D Appl. Phys. 2019, 52, 465303. [Google Scholar] [CrossRef]
- Venevtsev, Y.N.; Zhdanov, G.; Solov’ev, S. The internal fields in ferroelectric crystal of PbTiO3. Sov. Phys. Crystallogr. 1960, 6, 218–224. [Google Scholar]
- Smolenskii, G.A.; Isupov, V.; Agranovskaya, A.; Krainik, N.N. New ferroelectrics of complex composition. Sov. Phys. Solid State 1961, 2, 2651–2654. [Google Scholar]
- Chen, J.C.; Wu, J.M. Dielectric properties and ac conductivies of dense single-phased BiFeO3 ceramics, Appl. Phys. Lett. 2007, 91, 182903. [Google Scholar]
- Ramachandran, B.; Rao, M.S. Low temperature magnetocaloric effect in polycrystalline BiFeO3 ceramics. Appl. Phys. Lett. 2009, 95, 142505. [Google Scholar] [CrossRef]
- Fischer, P.; Polomska, M.; Sosnowska, I.; Szymanski, M. Temperature dependence of the crystal and magnetic structures of BiFeO3. J. Phys. C Solid State Phys. 1980, 13, 1931. [Google Scholar] [CrossRef]
- Kiselev, S.V.; Ozerov, R.P.; Zhdanov, G.S. Detection of magnetic order in ferroelectric BiFeO3 by neutron diffraction. Sov. Phys. Dokl. 1963, 7, 742. [Google Scholar]
- Venevtsev, Y.N.; Gagulin, V.V.; Lyubimov, V.N. Ferroelectromagnets; Nauka: Moscow, Russia, 1982. [Google Scholar]
- Khasbulatov, S.V.; Pavelko, A.A.; Shilkina, L.A.; Reznichenko, L.A.; Gadjiev, G.G.; Bakmaev, A.G.; Magomedov, M.-R.M.; Omarov, Z.M.; Aleshin, V.A. Phase composition, microstructure, and thermophysical and dielectric properties of multiferroic Bi1−xDyxFeO3. Thermophys. Aeromech. 2016, 23, 445–450. [Google Scholar] [CrossRef]
- Pavlenko, A.V.; Boldyrev, N.A.; Reznichenko, L.A.; Verbenko, I.A.; Konstantinov, G.M.; Shilkina, L.A. Microstructure and dielectric and piezoelectric properties of PbFe0.5Nb0.5O3 ceramics modified with Li2CO3 and MnO2. Inorg. Mater. 2014, 50, 750–756. [Google Scholar] [CrossRef]
- Boldyrev, N.A.; Pavlenko, A.V.; Shilkina, L.A.; Reznichenko, L.A.; Miller, A.I. Structure and dielectric characteristics of (1–x)BiFeO3–xPbTiO3 solid solutions. Bull. Russ. Acad. Sci. Phys. 2016, 80, 733–735. [Google Scholar] [CrossRef]
- Laguta, V.V.; Stephanovich, V.A.; Raevski, I.P.; Raevskaya, S.I.; Titov, V.V.; Smotrakov, V.G.; Eremkin, V.V. Magnetoelectric effect in antiferromagnetic multiferroic Pb(Fe1/2Nb1/2)O3 and its solid solutions with PbTiO3. Phys. Rev. B 2017, 95, 014207. [Google Scholar] [CrossRef]
- Kumar, M.M.; Srinivas, A.; Suryanarayana, S.V. Structure property relations in BiFeO3/BaTiO3 solid solutions. J. Appl. Phys. 2000, 87, 855–862. [Google Scholar] [CrossRef]
- Ivanova, T.L.; Gagulin, V.V. Dielectric properties in the microwave range of solid solutions in the BiFeO3-SrTiO3 system. Ferroelectrics 2002, 265, 241–246. [Google Scholar] [CrossRef]
- Sai Sunder, V.V.S.S.; Halliyal, A.; Umarji, A.M. Investigation of tetragonal distortion in the PbTiO3–BiFeO3 system by high-temperature x-ray diffraction. J. Mater. Res. 1995, 10, 1301–1306. [Google Scholar] [CrossRef]
- Mahesh Kumar, M.; Srinivas, A.; Suryanarayana, S.V.; Kumar, G.S.; Bhimasankaram, T. An experimental setup for dynamic measurement of magnetoelectric effect. Bull. Mater. Sci. 1998, 21, 251–255. [Google Scholar] [CrossRef]
- Balamurugan, K.; Harish Kumar, N.; Santhosh, P.N. Multiferroic properties of Bi1/2Sr1/2FeO3. J Appl Phys. 2009, 105, 07D909. [Google Scholar] [CrossRef]
- Lee, S.W.; Shim, K.B.; Auh, K.H.; Knott, P. Ferroelectric anomaly in the differential thermal analysis of PbTiO3 glass. Mater. Lett. 1999, 38, 356–359. [Google Scholar] [CrossRef]
- Burnett, T.L.; Comyn, T.P.; Merson, E.; Bell, A.J.; Mingard, K.; Hegarty, T.; Cain, M. Electron backscatter diffraction as a domain analysis technique in BiFeO3-PbTiO3 single crystals. IEEE Trans. Ultrason. Ferroelectr. Freq. Control 2008, 55, 957–962. [Google Scholar] [CrossRef]
- Comyn, T.P.; McBride, S.P.; Bell, A.J. Processing and electrical properties of BiFeO3–PbTiO3 ceramics. Mater. Lett. 2004, 58, 3844–3846. [Google Scholar] [CrossRef]
- Cheng, J.; Meng, Z. Piezoelectric performances of lead-reduced (1−𝑥)(Bi0.9La0.1)(Ga0.05Fe0.95)O3-𝑥(Pb0.9Ba0.1)TiO3 crystalline solutions in the morphotropic phase boundary. J. Appl. Phys. 2004, 96, 6611–6615. [Google Scholar] [CrossRef]
- Zhang, S.; Xia, R.; Randall, C.A.; Shrout, T.R.; Duan, R. Dielectric and piezoelectric properties of niobium-modified BiInO3–PbTiO3 perovskite ceramics with high Curie temperatures. J. Mater. Res. 2005, 20, 2067–2071. [Google Scholar] [CrossRef]
- Sehirlioglu, A.; Sayir, A.; Dynys, F. High temperature properties of BiScO3–PbTiO3 piezoelectric ceramics. J. Appl. Phys. 2009, 106, 014102. [Google Scholar] [CrossRef]
- Zhuang, J.; Zhao, J.; Su, L.-W.; Wu, H.; Bokov, A.A.; Ren, W.; Ye, Z.-G. Structure and local polar domains of Dy-modified BiFeO3-PbTiO3 multiferroic solid solutions. J. Mater. Chem. C 2015, 3, 12450–12456. [Google Scholar] [CrossRef]
- Lin, Q.; He, C.; Long, X. Structural, electric and magnetic properties of BiFeO3-Pb(Mg1/3Nb2/3)O3-PbTiO3 ternary ceramics. J. Electroceram. 2016, 36, 8–15. [Google Scholar] [CrossRef]
- Ahlawat, A.; Satapathy, S.; Choudhary, R.J.; Singh, M.K.; Gupta, P.K. Observation of magnetoelectric coupling in BiFeO3-(Pb(Mg1/3Nb2/3)O3-PbTiO3) composites. Mater. Lett. 2016, 181, 123–126. [Google Scholar] [CrossRef]
- Abhilash, J.J.; Goel, S.; Hussain, A.; Kumar, B. Ferro-/pyroelectric response of 0.57BF-0.31PMN-0.12PT ternary ceramic faraway from morphotropic phase boundaries. Ceram. Int. 2017, 43, 16676–16683. [Google Scholar]
- Hu, W.; Tan, X.; Rajan, K. Piezoelectric Ceramics with Compositions at the Morphotropic Phase Boundary in the BiFeO3–PbZrO3–PbTiO3 Ternary System. J. Am. Ceram. Soc. 2011, 94, 4358–4363. [Google Scholar] [CrossRef]
- Pang, D.; He, C.; Han, S.; Pan, S.; Long, X.; Tailor, H. A new multiferroic ternary solid solution system of BiFeO3–Pb(Fe1/2Nb1/2)O3–PbTiO3. J. Eur. Ceram. Soc. 2015, 35, 2033–2040. [Google Scholar] [CrossRef]
- Pang, D.; He, C.; Long, X. Ferroelectric and antiferromagnetic properties of a ternary multiferroic BiFeO3-Pb(Fe1/2Nb1/2)O3-PbTiO3 single crystal. Ceram. Int. 2016, 42, 19433–19436. [Google Scholar] [CrossRef]
- Boldyrev, N.A.; Pavlenko, A.V.; Shilkina, L.A.; Nazarenko, A.V.; Bokov, A.A.; Reznichenko, L.A.; Rudskaya, A.G.; Panchenko, E.I. Structure, microstructure, dielectric and piezoelectric properties of (1-x-y)BiFeO3-xPbFe0.5Nb0.5O3-yPbTiO3 ceramics. Ceram. Int. 2019, 45, 14768–14774. [Google Scholar] [CrossRef]
- Guinier, A. X-ray Diffraction of Crystals; Publishing House of Physics and Mathematics Literature: Moscow, Russia, 1961. [Google Scholar]
- Raevskaya, S.I.; Zakharov, Y.u.N.; Lutokhin, A.G.; Emelyanov, A.S.; Raevski, I.P.; Panchelyuga, M.S.; Titov, V.V.; Prosandeev, S.A. Critical nature of the giant field-induced pyroelectric response in Pb(Mg1/3Nb2/3)O3–xPbTiO3 single crystals. Appl. Phys. Lett. 2008, 93, 042903. [Google Scholar] [CrossRef]
- Ushakov, A.D.; Mishuk, E.; Makagon, E.; Alikin, D.O.; Esin, A.A.; Baturin, I.S.; Tselev, A.; Shur, V.Y.; Lubomirsky, I.; Kholkin, A.L. Electromechanical properties of electrostrictive CeO2:Gd membranes: Effects of frequency and temperature. Appl. Phys. Lett. 2017, 110, 142902. [Google Scholar] [CrossRef]
- Ushakov, A.D.; Yavo, N.; Mishuk, E.; Lubomirsky, I.; Shur VYa Kholkin, A.L. Electromechanical Measurements of Gd-Doped Ceria Thin Films by Laser Interferometry. In Proceedings of the ASRTU Conference Proceedings, IV Sino-Russian ASRTU Symposium on Advanced Materials and Processing Technology, Ekaterinburg, Russia, 23–26 June 2016. [Google Scholar]
- Sitalo, E.I.; Boldyrev, N.A.; Shilkina, L.A.; Nazarenko, A.V.; Nagaenko, A.V.; Reznichenko, L.A. Structure, microstructure, dielectric and piezoelectric properties of (1-x-y)BiFeO3-xPbFe0.5Nb0.5O3-yPbTiO3 ceramics. J. Adv. Dielectr. 2022, 12, 2160023. [Google Scholar] [CrossRef]
- Boldyrev, N.A.; Sitalo, E.I.; Shilkina, L.A.; Nazarenko, A.V.; Lutokhin, A.G.; Reznichenko, L.A. Structure and high piezoelectric response of the ternary 0.3BiFeO3-0.5PbFe0.5Nb0.5O3-0.2PbTiO3 ceramics. Ferroelectrics 2022, 590, 99–109. [Google Scholar] [CrossRef]
- Ustinov, A.I.; Olikhovskaya, L.A.; Shmyt’ko, I.M. X-ray diffraction in polydomain crystals modulated by transverse waves of atomic displacements. 2. Two-wave modulation of crystals. Crystallogr. Rep. 2000, 45, 374–379. [Google Scholar] [CrossRef]
- Rao, C.N.R.; Gopalakrishnan, J. New Directions in Solid State Chemistry; Cambridge University Press: Cambridge, UK, 1986. [Google Scholar]
- Tret’yakov, Y.D. Chemistry of Nonstoichiometric Oxides; Moscow State University Press: Moscow, Russia, 1974. [Google Scholar]
- Reznichenko, L.A.; Shilkina, L.A.; Titov, S.V.; Razumovskaya, O.N.; Titov, V.V.; Shevtsov, S.I. Defect structure of alkaline-earth, cadmium, and lead titanates. Inorg. Mater. 2005, 41, 492–502. [Google Scholar] [CrossRef]
- Reznichenko, L.A.; Shilkina, L.A.; Gagarina, E.S.; Yuzyuk, Y.u.I.; Razumovskaya, O.N.; Kozinkin, A.V. Crystallographic Shear in Niobium Oxides of Different Compositions. Crystallogr. Rep. 2004, 49, 820–827. [Google Scholar] [CrossRef]
- Al Meitzler, H. Structural transformations occasioned by crystallographic shear in PLZT and TiO2 ceramics. Ferroelectrics 1975, 11, 503–510. [Google Scholar] [CrossRef]
- Reznichenko, L.A.; Shilkina, L.A.; Razumovskaya, O.N.; Kravchenko, O.Y.; Akhnazarova, V.V. The Invar Effect and the Devil’s Staircase in Alkali and Alkaline Earth Niobates. Crystallogr. Rep. 2006, 51, 87–95. [Google Scholar] [CrossRef]
- Xu, G.; Luo, H.; Xu, H.; Yin, Z. Third ferroelectric phase in PMNT single crystals near the morphotropic phase boundary composition. Phys. Rev. B 2001, 64, 020102(R). [Google Scholar] [CrossRef]
- Noheda, B. Structure and high-piezoelectricity in lead oxide solid solutions. Curr. Opin. Solid State Mater. Sci. 2002, 6, 27–34. [Google Scholar] [CrossRef]
- Schönau, K.A.; Schmitt, L.A.; Knapp, M.; Fuess, H.; Eichel, R.-A.; Kungl, H.; Hoffmann, M.J. Nanodomain structure of PbZr1−xTixO3 at its morphotropic phase boundary: Investigations from local to average structure. Phys. Rev. B 2007, 75, 184117. [Google Scholar] [CrossRef]
- Jaffe, B.; Cook, W.R., Jr.; Jaffe, H. Piezoelectric Ceramics; Academic Press: New York, NY, USA, 1971. [Google Scholar]
- Comyn, T.P.; Stevenson, T.; Bell, A.J. Piezoelectric properties of BiFeO3—PbTiO3 ceramics. J. Phys. IV 2005, 128, 13–17. [Google Scholar]







| x | T, °C | λ, Å <100> | λ, Å <110> | ||
|---|---|---|---|---|---|
| c− | c+ | c− | c+ | ||
| 0.1 | 40 | = 331 | |||
| = 147 | |||||
| 80 | = 109 | = 117 | = 94 | ||
| = 77 | |||||
| 0.125 | 100 | ≈ 163 | = 413 | ||
| = 82 | = 206 | ||||
| 110 | = 120 | = 265 | |||
| = 82 | = 160 | ||||
| 180 | = 78 | = 380 | |||
| = 178 | |||||
| 0.15 | 70 | = 240 | = 331 | ||
| 150 | = 83 | = 212 | |||
| = 105.5 | |||||
| 190 | = 82 | = 77 | |||
| 0.175 | 120 | = 190 | = 212 | ||
| 190 | = 334 | = 201 | |||
| 240 | = 372 | ||||
| = 129 | |||||
| = 83 | |||||
| δ-peak on satellite three λδ = 77 | |||||
| x | ΔT FWHM | ΔT a = const | ||
|---|---|---|---|---|
| 200 | 111 | 200 | 220 | |
| 0.1 | 80–120 (wide low) | 100–130 (wide low) | 20–40 | 60–80 |
| 80–140 | ||||
| 120–130 | ||||
| 230–250 | ||||
| 0.125 | 80–110 (max) | 80–110 (halo) | 80–90 | 100–180 |
| 160–170 (halo) | 160–170 (max) | 150–160 | ||
| 0.15 | 20–120 (decrease) | 100–140 (halo) | 110–150 | 60–110 |
| 210–220 | 140–150 | |||
| 260–300 | 260–300 | |||
| 0.175 | 20–170 (decrease) | 140–170 (halo) | 130–140 | 80–130 |
| 150–160 | 160–180 | |||
Disclaimer/Publisher’s Note: The statements, opinions and data contained in all publications are solely those of the individual author(s) and contributor(s) and not of MDPI and/or the editor(s). MDPI and/or the editor(s) disclaim responsibility for any injury to people or property resulting from any ideas, methods, instructions or products referred to in the content. |
© 2023 by the authors. Licensee MDPI, Basel, Switzerland. This article is an open access article distributed under the terms and conditions of the Creative Commons Attribution (CC BY) license (https://creativecommons.org/licenses/by/4.0/).
Share and Cite
Boldyrev, N.A.; Sitalo, E.I.; Shilkina, L.A.; Nazarenko, A.V.; Ushakov, A.D.; Shur, V.Y.; Reznichenko, L.A.; Glazunova, E.V. Structure and Relaxor Behavior of (0.5 − x)BiFeO3-0.5PbFe0.5Nb0.5O3-xPbTiO3 Ternary Ceramics. Ceramics 2023, 6, 1735-1748. https://doi.org/10.3390/ceramics6030106
Boldyrev NA, Sitalo EI, Shilkina LA, Nazarenko AV, Ushakov AD, Shur VY, Reznichenko LA, Glazunova EV. Structure and Relaxor Behavior of (0.5 − x)BiFeO3-0.5PbFe0.5Nb0.5O3-xPbTiO3 Ternary Ceramics. Ceramics. 2023; 6(3):1735-1748. https://doi.org/10.3390/ceramics6030106
Chicago/Turabian StyleBoldyrev, Nikita A., Eugene I. Sitalo, Lidia A. Shilkina, Alexander V. Nazarenko, Andrei D. Ushakov, Vladimir Y. Shur, Larisa A. Reznichenko, and Ekaterina V. Glazunova. 2023. "Structure and Relaxor Behavior of (0.5 − x)BiFeO3-0.5PbFe0.5Nb0.5O3-xPbTiO3 Ternary Ceramics" Ceramics 6, no. 3: 1735-1748. https://doi.org/10.3390/ceramics6030106
APA StyleBoldyrev, N. A., Sitalo, E. I., Shilkina, L. A., Nazarenko, A. V., Ushakov, A. D., Shur, V. Y., Reznichenko, L. A., & Glazunova, E. V. (2023). Structure and Relaxor Behavior of (0.5 − x)BiFeO3-0.5PbFe0.5Nb0.5O3-xPbTiO3 Ternary Ceramics. Ceramics, 6(3), 1735-1748. https://doi.org/10.3390/ceramics6030106

