Abstract
In this study, we conducted experimental and numerical investigations of a Darrieus rotor with asymmetrical blades, which has two structural configurations—with and without horizontal parallel plates. Experimental tests were conducted in a wind tunnel at various air flow velocities (ranging from 3 m/s to 15 m/s), measuring rotor rotation frequency, torque, and thrust force. The computational simulation used the ANSYS 2022 R2 Fluent software package, where CFD simulations of air flow around both rotor configurations were performed. The calculations employed the Realizable k-ε turbulence model, while an unstructured mesh with local refinement in the blade–flow interaction zones was used for grid generation. The study results showed that the rotor with horizontal parallel plates exhibits higher aerodynamic efficiency at low wind velocities compared to the no-plates rotor. The experimental findings indicated that at wind speeds of 3–6 m/s, the rotor with plates demonstrates 18–22% higher torque, which facilitates the self-start process and stabilizes turbine operation. The numerical simulations confirmed that horizontal plates contribute to stabilizing the air flow by reducing the intensity of vortex structures behind the blades, thereby decreasing aerodynamic drag and minimizing energy losses. It was also found that the presence of plates creates a directed flow effect, increasing the lift force on the blades and improving the power coefficient (Cp). In the case of the rotor without plates, the CFD simulations identified significant low-pressure zones and high turbulence regions behind the blades, leading to increased aerodynamic losses and reduced efficiency. Thus, the experimental and numerical modeling results confirm that the Darrieus rotor with horizontal parallel plates is a more efficient solution for operation under low and variable wind conditions. The optimized design with plates ensures more stable flow, reduces energy losses, and increases the turbine’s power coefficient. These findings may be useful for designing small-scale wind energy systems intended for areas with low wind speeds.
1. Introduction
Using wind turbines in small-scale and urban environments is becoming increasingly relevant. Various turbine configurations, both vertical and horizontal axes, have been well investigated and summarized by many authors [1,2,3]. Vertical-axis wind turbines (VAWTs) were initially considered very promising before being superseded by modern horizontal-axis turbines. For various reasons, there is currently a rising tide of interest in VAWTs, in particular, in Darrieus turbines. Using modern design tools and computational approaches, the performance of traditional VAWTs can be significantly improved, reaching a level almost comparable to horizontal-axis turbines. Since VAWTs have many specific advantages (compact design, easier connection to gearboxes/generator, easier blade control, if necessary, maintainability), it is important to quantify the efficiency of such turbines.
Of particular interest are small vertical-axis wind turbines, which are considered effective for micro-power generation [4]. In moderate wind conditions, such turbines are widely used as a reliable source of electricity [5]. To improve the efficiency of wind turbines, the design of blades with an airfoil profile that provides a good thickness ratio and aerodynamic characteristics plays a key role [6]. A properly selected blade profile helps to increase the lift coefficient of the turbine. To achieve the maximum torque and power factor, the blades must provide high lift with minimum drag. Thus, the correct selection of blade design is critical to improving the efficiency of vertical-axis wind turbines [4].
In recent years, various asymmetric blades have been found to have greater potential than the symmetric NACA (National Advisory Committee for Aeronautics) airfoils for three-bladed Darrieus rotors. To select the optimal blade profile, an analysis of existing studies was conducted to identify the characteristics of the proposed designs. Beri and Yao studied the effect of a modified NACA 0018 airfoil in the trailing edge region on the self-starting ability at a low tip speed ratio (TSR) using 2D computational fluid dynamics (CFD) analysis and compared the simulation results with NACA 2415, which has self-starting ability. They found that the modified airfoil showed better self-starting results under both transient and steady flow conditions for their turbine model [7]. Subsequently, Beri and Yao performed a 2D CFD analysis under unsteady conditions for a three-bladed Darrieus rotor with NACA 2415 asymmetric blades. The rotor exhibited average torque, sufficient for the self-starting of the blades [8].
Gupta and Biswas investigated the aerodynamic and energy characteristics of a three-bladed Darrieus rotor based on a NACA 0012 swirling airfoil. The simulations were carried out under steady-state conditions using 2D CFD analysis and the standard k-ε turbulence model [9]. Deshpande and Li analyzed a three-bladed H-Darrieus rotor using two symmetric airfoils, i.e., NACA0018 and NACA0015, and an asymmetric airfoil, i.e., S1210, and noted several advantages of the asymmetric S1210 blades for a fixed-pitch rotor [10]. Bhuyan and Biswas conducted an experimental study on a Darrieus rotor with three asymmetric S818 blades featuring increased thickness and a high blade solidity ratio to assess its self-starting capability [11]. Singh et al. experimentally investigated a three-bladed Darrieus rotor with asymmetric S1210 blades to evaluate its power coefficient and self-starting capability at various blade-to-diameter ratios and low wind speeds. However, these studies did not pay enough attention to the blade–flow interaction at different azimuthal positions of Darrieus rotors at low wind velocities [12].
Danao et al. used CFD analysis to investigate the effect of blade curvature and thickness on the performance of a Darrieus rotor using two asymmetric airfoils, NACA 5522 and LS0421. They came to the conclusion that a slightly curved and thick airfoil could improve the overall performance of the Darrieus rotor. Their study examined the interaction between the flow and the blades of Darrieus rotors with a high blade solidity ratio, featuring both asymmetric and symmetric blades, to evaluate their performance under low wind speed conditions using detailed CFD simulations [13]. The S815 airfoil was chosen for the study because it has a higher thickness and lower curvature percentage compared to other popular NREL S-series airfoils such as S1210, S809, and S818. The NACA 0018 airfoil, which is widely used for Darrieus rotors and has a higher power factor compared to other NACA series airfoils, was chosen as a comparison. In [14], the aerodynamic characteristics of the rotor were investigated in the form of blade interaction with the flow at different azimuthal angles, pressure coefficients, and changes in the lift-to-drag ratio. The effect of changes in low wind speeds on the blade interaction with the flow at different azimuthal positions of the rotor was also assessed.
Mazarbhuiya et al. [15] investigated the effect of positive and negative tilt angles on asymmetric blades.
Shouman et al. [16] used the curtain arrangement and rib addition on blades to improve the performance of Savonius rotors. They conducted CFD simulations to study the impact of the curtain arrangement and rib addition on the rotor performance. They were able to improve the performance by about 42% versus a conventional rotor.
The authors of study [17] analyzed key factors of aerodynamic design, as well as their advantages and disadvantages, and proposed a baseline VAWT design for further analysis. Particular attention was given to the potential applications of VAWTs for both large-scale offshore wind energy and small urban installations. However, the issue of aerodynamic optimization was not fully addressed.
Further development of the proposed designs involves modifying the blade geometry. One such solution is the use of J-shaped blades, which enhance self-starting capability and exhibit unique aerodynamic characteristics. Other approaches include variable blade pitch angles [18,19] and hybrid configurations that combine Darrieus and Savonius VAWTs [20,21]. The high static torque generated by the Savonius turbine at a low TSR can be utilized to facilitate the self-starting of the Darrieus turbine.
In addition to hybrid solutions aimed at improving the self-starting ability of VAWTs, other methods of blade geometry modification have also been explored. In [22], a 3D numerical analysis of J-type blades in VAWTs was performed. It was found that they form stronger vortices, reducing the torque at high TSRs, but they improve self-starting. Replacing straight blades with J-shaped ones increases the torque by 26.9% at 10 m/s and by 37.6% at 5 m/s, which makes them promising for low-speed wind in cities. Continuing the research on improving the aerodynamic characteristics of vertical-axis wind turbines, a new three-piece blade VAWT (3-PB VAWT) was proposed, combining the advantages of straight-bladed and screw turbines. Numerical modeling showed that this design provides more stable torque. In particular, the 3-PB VAWT increases the torque coefficient by 6.06% at a low TSR (0.44) and by 158.19% at a high TSR (1.77), combining high aerodynamic efficiency with low production cost [23]. In addition to blade shape optimization, an important area of research has been improving the starting performance of VAWTs. In this context, various methods have been proposed to address the low starting torque issue and improve the overall turbine efficiency. In addition, further research has shown that not only the starting performance but also the overall performance of VAWTs can be improved by changing the blade shape. In particular, using helical blades instead of straight blades has improved the turbine efficiency at high tip speed ratios (TSRs). The optimal twist angle for a tested turbine was found to be 60 degrees, as it provides the best aerodynamic performance [24]. In addition to the shape and twist angle of the blades, the number of rotor blades also has a significant impact on the aerodynamic efficiency of a turbine. Another geometric parameter that has a significant impact on turbine performance is the number of rotor blades. In a computational investigation of an H-shaped Darrieus wind turbine, it was shown that a turbine with a higher number of blades performs better at low TSR values. However, as the TSR increased, a turbine with fewer blades achieved a higher power factor [25].
Another study found that a three-bladed turbine produced the highest torque, while a four-bladed turbine produced the least destructive vibrations in the gearbox [26]. The aspect ratio, which is the ratio between the radius and height of the rotor, has a significant effect on the turbine efficiency. The results of another study showed that as the aspect ratio decreases, the Reynolds number increases, which in turn leads to an increase in VAWT efficiency [27].
The blade pitch angle, which determines the position of the blade’s leading edge and directly affects the attack angle, is considered to be an important design parameter. Based on the results of a previous study, the best performance was achieved with a negative blade pitch angle, and as it increased, the Cp power factor values decreased [28].
Based on the analysis of the above studies, to address the issue of the self-starting and efficiency of the Darrieus turbine, we have proposed an original asymmetric blade profile design [29]. The NACA0021 profile was chosen as a basis, and a part of the same blade of a smaller scale was cut out from it. Figure 1 shows our blade with the distribution of aerodynamic forces acting on the blade.
Figure 1.
Aerodynamic forces acting on the wing profile.
The presented profile is optimized for operation at different rotation-speed-to-wind-velocity (TSR) ratios, which makes it universal for a wide range of wind conditions. The wind turbine blade has an aerodynamic profile with a rounded nose and an extended trailing edge, which increases lift and reduces drag. The upper surface is convex, enhancing the flow, and the lower one reduces induced drag. Smooth transitions of the profile coordinates minimize swirls and turbulence.
Thus, the developed blade profile combines optimized aerodynamic characteristics that can contribute to increasing the efficiency of the Darrieus rotor. However, despite the confirmed theoretical advantages, experimental and numerical studies are needed to evaluate the impact of asymmetric blades on the operation of wind turbines.
This paper examines the aerodynamic characteristics of a Darrieus rotor with the proposed asymmetric blades in two design configurations—with and without horizontal parallel plates. To obtain reliable data, experimental studies were conducted in a wind tunnel, as well as numerical CFD modeling in ANSYS Fluent.
2. Experimental Study of Rotor Design
The experimental study was performed using two different rotor designs, as shown in Figure 2.
Figure 2.
Experimental model of a wind turbine with three asymmetric blades.
The first design (Figure 2a) is a Darrieus rotor with three asymmetrical blades secured between two horizontal parallel metal plates. The second design (Figure 2b) is a similar rotor, but with no horizontal plates, making it possible to compare the impact of the plates on the aerodynamic characteristics of the rotor.
In the plated design (Figure 2a), the blades are secured between two horizontal metal plates, which provides additional rigidity to the system and can affect the air flow around the rotor. In the plateless design (Figure 2b), the blades are secured to the central shaft using extended 234.5 mm long studs, with the shaft itself mounted in the mast via a bearing assembly.
The geometric parameters of both rotor designs are given in Table 1, which indicates the main dimensions of the wind wheel, mast, and blades.
Table 1.
Main dimensions of the wind wheel.
Experimental studies of aerodynamic characteristics were performed in the T-1-M wind tunnel shown in Figure 3; the experimental setup diagram is presented in Figure 4 [29].
Figure 3.
General view of the wind tunnel T-1-M [29].
Figure 4.
Closed-flow wind tunnel diagram [29]: 1—working section, 2—ring, 3—diffuser, 4—fan, 5—transition passage, 6, 7, 9, and 10—turning blades, 8—return passage, 11, 13—equalizing grids, 12—prechamber, 14—collector (nozzle).
The wind tunnel operates by creating a controlled air flow that passes through the wind turbine model being tested, installed in the wind tunnel test section, which had a test section size of 0.5 m and a length of 0.8 m. The air flow velocity created by the fan was measured by a digital anemometer and varied from 3 m/s to 15 m/s. The rotation frequency of the wind turbine model was measured using an infrared optical tachometer, which recorded the passage of marks on the wind wheel.
To determine the torque of the wind wheel, a dynamometer method was used. One end of a nylon thread was attached to the model shaft, and the other to the dynamometer, fixed on the platform.
3. Experimental Results
Figure 5 shows a curve of the thrust force values depending on the air flow speed.
Figure 5.
Dependence of the thrust force of the wind turbine model on the wind velocity.
The curve shows that the traction force increases with increasing wind speed. This increase is almost linear. At initial wind speeds (3–6 m/s), there is a relatively smooth increase in traction force. Then, at higher speeds (from 6 to 12 m/s), the traction force increases more intensively. These results demonstrate the importance of increasing the wind speed to improve the performance of a wind turbine since the traction force is directly proportional to the air flow speed, which ultimately affects energy production.
Also, the values of the number of revolutions of the wind wheel depending on the wind speed were obtained experimentally, as shown in Figure 6.
Figure 6.
The influence of wind speed on the values of the number of revolutions of the wind wheel.
As the wind speed increases, a linear increase in the rotor speed is observed. This indicates a direct dependence of the rotor speed on the wind velocity. With a wind velocity of 3 m/s, the rotor rotates at a speed of approximately 25 rpm. With a wind velocity of 12 m/s, the rotor speed reaches approximately 158 rpm. The data show that at low wind speeds (up to 6 m/s), the increase in the number of revolutions is less pronounced, whereas, at wind speeds above 9 m/s, the number of revolutions begins to increase faster, which may indicate an improvement in aerodynamic efficiency at high wind speeds. This curve is helpful in understanding the dynamics of the wind wheel operation with changing wind speeds and can be used to optimize the design of a wind turbine.
For the selected five wind speed values (3 m/s, 6 m/s, 9 m/s, 12 m/s, and 15 m/s), the starting torque of the wind turbine was measured experimentally. The results are presented in Figure 7.
Figure 7.
Breakaway torque curve.
In the initial section from 0 to about 9 m/s, the breakaway torque increases almost linearly. This suggests that at lower wind speeds, the torque required to initiate rotation increases uniformly with increasing wind speed. After 9 m/s, the increase in the breakaway torque becomes more pronounced, with a steeper slope. This indicates that the forces acting on the blades begin to increase rapidly, which may be due to a non-linear increase in the aerodynamic forces as the wind speed increases. The maximum breakaway torque at the maximum wind speed (15 m/s) reaches about 4500 N. This shows the maximum value of the torque required to overcome inertia and initiate rotor rotation. The curve is important for understanding the performance of wind turbines at different wind speeds, especially at low speeds, when the moment of inertia is significant. This indicates that as the wind speed increases, the torque required to start the turbine increases significantly, which is important for designing turbines that can start efficiently, even in weak winds.
4. Computational Study
4.1. A Three-Dimensional Model of a Wind Turbine with Three Asymmetrical Blades
The choice of an appropriate turbulence model in numerical simulations affects the obtained results. In study [30], it was shown that the k-omega SST turbulence model provides more accurate Cp values compared to the Realizable k-epsilon model.
The asymmetrically shaped blade is shown in Figure 8 as a three-dimensional (3D) sketch. The asymmetrical shape of the profile enhances the lift component on the upper surface, ensuring efficient conversion of wind energy into mechanical work, especially at low wind speeds. The blade is optimized for operation at different angles of attack, which expands the range of operating conditions of the wind turbine.
Figure 8.
Three-dimensional (3D) sketch of an asymmetric blade.
The computational study was performed using the Ansys Fluent software package based on the solution of the Navier–Stokes averaged equations.
A numerical model of a wind turbine with three asymmetric blades was developed to study its aerodynamic characteristics. Numerical modeling of the flow around a wind wheel with asymmetric blades is a complex task that requires an accurate description of the geometry and consideration of the features of the interaction of the flow with the surface of the blades. To perform the numerical analysis, a high-precision geometric model of the wind turbine was created using 3D Compass 3D v20 software, which made it possible to take into account all the design features and conduct a detailed study of the aerodynamic parameters. Figure 9 and Figure 10 show two design options for the wind turbine. Figure 9 illustrates a model of a wind turbine with asymmetric blades supplemented with plates. Figure 10 shows a model of a wind turbine with an asymmetric blade shape without plates.
Figure 9.
Model of a wind turbine with asymmetric blades (with plates).
Figure 10.
Model of a wind turbine with an asymmetric blade shape (without a plate).
Table 2 shows the initial parameters used in the numerical simulation of the flow around wind turbine blades.
Table 2.
Initial parameters for the numerical simulation of the flow around wind turbine blades.
The wind turbine model with calculated regions for specifying the rotation boundary conditions is shown in Figure 11.
Figure 11.
Mathematical model of a wind turbine with three blades.
4.2. Generation of the Computational Grid for the Darrieus Turbine
A 3D CFD simulation of a three-bladed Darrieus rotor turbine with three asymmetric blade shapes was performed using ANSYS software. The computational domain was generated such that the boundaries were far enough from the rotor diameter to minimize boundary effects.
An unstructured triangular grid was used to achieve a grid independent of the calculation parameters. Turbulence was modeled using the Realizable k-epsilon turbulence model using standard boundary functions, and the SIMPLE algorithm was used to couple pressure and velocity.
The computations were performed under the following conditions: free flow velocity of 3 m/s. A computational mesh was constructed to discretize the computational domain using the ANSYS Meshing routine. This mesh is a finite set of tetrahedral volumes, the number of which is 931.342, as shown in Figure 12. The meshes around the outer edges of the blades are much denser than those away from the rotors in order to accurately capture the boundary layer flow that can be seen in Figure 12.
Figure 12.
Computational grid for the mathematical model under study.
Figure 12 shows the computational mesh (without the plate), which is a finite set that covers the area around the wind turbine. The total number of cells used to create the mesh is 846.562. The mesh is shown in the figure and is optimized to accurately simulate the air flow around the windwheel structure.
Based on the presented computational grid, it can be concluded that the selected configuration provides sufficient detail for accurate modeling of the aerodynamic characteristics of the wind wheel.
4.3. System of Equations Describing the Air Flow Around the Windwheel Model
The static pressure contours and velocity vector distribution fields were calculated using CFD numerical analysis (k-epsilon methods).
In this study, the high-order spectral difference method with dynamic unstructured grids was used for numerical simulation. The equations describing the fluid motion are presented as non-stationary Navier–Stokes equations in conservative form, which can be expressed as follows:
where are conservative variables; ρ is the density of the liquid; are components of velocity in the Cartesian coordinate system; E is the total initial energy; and F, G, and H are total flows, including both inviscid and viscous vector flows, i.e., and
To describe the wind flow around the sample, the following system of equations was used:
where is the stress tensor.
The turbulence model used was the Realizable k-epsilon model. The turbulence energy transfer is described by the following Equation (4):
The transfer of turbulent energy for the dissipation rate is described by the following Equation (5):
Turbulent Kinetic Energy Production is 2 where is the modulus of the strain rate tensor (6):
The coefficient of turbulent viscosity is
4.4. Boundary Conditions
The boundary conditions on the wall are presented in the following form (7):
The rate of dissipation of turbulent kinetic energy is defined as follows (8):
where is the kinetic turbulence energy and is the kinetic energy of the near-wall region. The yp value is the distance from the center of the wall cell to the wall, if Here,
where
- Dh is the hydraulic size of the entrance zone area.
- I is the intensity of turbulent pulsation.
- The output boundary conditions from the region are p = pн.
Boundary conditions on the walls of a wind turbine:
where is the speed of movement of the wall in accordance with the speed of rotation of the working cylinder around its own longitudinal axis.
5. Results of the Mathematical Model
Figure 13 and Figure 14 show contour plots of static pressure, allowing us to understand the physics of flow in Darrieus rotors. For the wind wheel, the blades were considered as moving blades. At a flow velocity of 3 m/s, the obtained results are a three-dimensional contour plot of the static pressure distribution around the vertical axis of the wind turbine (VAWT).
Figure 13.
Static pressure contours around the wind wheel.
Figure 14.
Static pressure contours around a wind turbine (top view).
The figures show the static pressure distribution and aerodynamic interaction of a wind turbine with and without plates. In the first figure, (a) the use of plates leads to a more pronounced pressure gradient: high-pressure zones are concentrated at the leading edges of the blades located in the windward zone, which increases the lift. However, this also causes increased vortex formation behind the structure, which increases the turbulent wake and can affect the aerodynamic efficiency. In the second figure, (b) where there are no plates, the pressure distribution is more uniform, and the turbulence intensity is lower, which helps to reduce vortex losses and increase the stability of the structure. However, in this case, the lift can be reduced due to a less pronounced pressure gradient. Thus, the plates increase the aerodynamic effect on the blades but, at the same time, increase turbulence, while their absence provides a more stable pressure distribution and reduces vortex losses. The data highlight the aerodynamic design features that are important for optimizing turbine performance.
The provided Figure 15 and Figure 16 illustrate the distribution of velocity vectors around a three-bladed wind wheel based on mathematical modeling, as modeled in the Ansys program.
Figure 15.
Fields of distribution of velocity vectors in the plane around the wind wheel.
Figure 16.
Fields of distribution of velocity vectors in the plane around the wind wheel (top view).
The presented visualization demonstrates the distribution of velocity vectors around a wind turbine with asymmetric blades, as created in ANSYS. The first figure, (a) shows the velocity field around the wind turbine structure with plates, where clear zones of air flow acceleration are visible along the surfaces of the blades and plates. The smooth velocity lines indicate the minimization of turbulence zones on the leeward side of the structure. The second figure, (b) shows the velocity field around a wind turbine without plates. Here, vortex formations behind the blades are clearly visible, caused by the increase in resistance in the leeward zone. The absence of plates leads to a more pronounced flow disturbance, which affects the overall aerodynamic efficiency of the plant.
Comparison of the curves shows that adding plates to the wind wheel design improves the flow characteristics, reduces the turbulent wake zone, and increases the rotation efficiency. At the same time, the wind wheel without plates demonstrates an unstable flow, characterized by increased turbulence and a decrease in the power factor with an increase in the air flow speed. These features emphasize the efficiency of the wind wheel design in creating lift and ensuring aerodynamic stability in various azimuthal positions.
For a more accurate assessment of the aerodynamic efficiency of the design, the power factor was used, which is calculated using the following formula:
where is the blade rotation power; m is the number of blades; —is the force acting on the blades during their rotation; —is the angular velocity arising from the blade rotation, —is the wind power, and —is the rotor power.
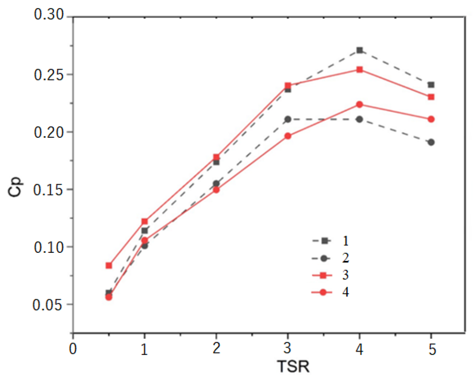
Figure 17 below shows the change in the power factor depending on the tip speed ratio (TSR).
Figure 17.
Change in the power factor depending on the wind turbine speed factor. Numerical modeling: 1—with plate, 2—without plate. Experimental data: 3—with plate, 4—without plate.
The figure shows the dependence of the power factor on the total speed ratio (TSR) for wind turbines with different blade designs: with and without plates. The curve demonstrates that for all designs, increases with the TSR to a value of about 4, after which it decreases. Models with plates show higher values at all stages of operation compared to designs without plates, which indicates their improved aerodynamic characteristics. The experimental data (circles) are in good agreement with the numerical calculations (squares), confirming the reliability of the simulation. Small deviations are observed in the range of low TSR values, which may be due to experimental errors. The maximum value is achieved at TSR = 4, which corresponds to the optimal operating mode of the wind turbine. The results confirm that the use of plates increases the efficiency of the turbine, especially in the range of optimal TSR values.
6. Conclusions
In this study, experimental and numerical investigations were conducted on the aerodynamic characteristics of a Darrieus rotor with our proposed asymmetric blades in two structural configurations: with and without horizontal parallel plates. The obtained results made it possible to identify the effect of the plates on the rotor efficiency at low wind speeds and determine their effect on the key aerodynamic parameters. The experimental data showed that the rotor with horizontal parallel plates demonstrates a higher power factor () and better self-starting compared to the rotor without plates, and at a wind speed of 3–6 m/s, the rotor with plates showed 18–22% higher torque, which facilitates the start and stable operation of the turbine. The CFD numerical modeling confirmed that the presence of horizontal plates helps to stabilize the air flow around the blades, and the vortex structures behind the blades of the rotor with plates are less pronounced, which reduces aerodynamic drag and minimizes energy losses. Parallel plates create a directional flow effect, increasing the lift of the blades and contributing to a more efficient conversion of wind energy into mechanical work. In the case of a rotor without plates, the CFD modeling revealed significant low-pressure zones and strong turbulence behind the blades, which leads to an unstable flow and increased aerodynamic losses. As the wind speed increases above 9 m/s, the difference in efficiency between the two designs decreases, but at weak winds, the rotor with plates continues to demonstrate better performance.
Thus, it was established that the Darrieus rotor with our blades and horizontal parallel plates demonstrates higher efficiency at low wind speeds compared to the rotor without plates. The performance improvement is associated with flow stabilization, reduced vortex losses, and increased lift force, as confirmed by both experimental and numerical studies. The obtained results indicate that the Darrieus rotor with plates and the proposed asymmetric blades is a promising solution for small-scale wind energy systems operating under low and variable wind conditions.
Author Contributions
Experiment execution, review and editing, and guidance, M.I.; conceptualization, methodology, validation, formal analysis, investigation, and visualization, R.M.; conceptualization, methodology, writing—review and editing, guidance, and acquisition of funding, Z.S.; conceptualization and methodology, A.Y.; investigation and software, N.K.; investigation and resources, Z.B. All authors have read and agreed to the published version of the manuscript.
Funding
This research was funded by the Science Committee of the Ministry of Science and Higher Education of the Republic of Kazakhstan (Grant No. AP22685893, «Investigation of the aerodynamic characteristics of asymmetric shaped blades used in a wind power plant to increase turbine efficiency»).
Data Availability Statement
We declare that all the data in this article are authentic, valid, and available for use upon reasonable request. The data and materials in the current study are available from the corresponding author, Zhanibek Seydulla (zhanibek.seidulla@kaznu.edu.kz).
Conflicts of Interest
The authors declare that they have no financial or personal interests that could influence the research conducted or the results presented in this article.
References
- Reddy, K.U.; Deb, B.; Roy, B. Experimental Study on Influence of Aspect Ratio and Auxiliary Blade Profile on the Performance of H-Type Darrieus Wind Rotor. Arab. J. Sci. Eng. 2024, 49, 1913–1929. [Google Scholar] [CrossRef]
- Reddy, K.U.; Deb, B.; Roy, B.; Majumder, P. Experimental and numerical analysis of NREL S823 airfoil with auxiliary airfoil integration. Energy Sources Part A Recover. Util. Environ. Eff. 2024, 46, 13633–13653. [Google Scholar] [CrossRef]
- Sanaye, S.; Hassanzadeh, A. Multi-objective optimization of airfoil shape for efficiency improvement and noise reduction in small wind turbines. J. Renew. Sustain. Energy 2014, 6, 053105. [Google Scholar] [CrossRef]
- Chougule, P.; Nielsen, S. Overview and Design of self-acting pitch control mechanism for vertical axis wind turbine using multi body simulation approach. J. Phys. Conf. Ser. 2014, 524, 012055. [Google Scholar]
- Hassanzadeh, A.; Hassanabad, A.H.; Dadvand, A. Aerodynamic shape optimization and analysis of small wind turbine blades employing the Viterna approach for post-stall region. Alex. Eng. J. 2016, 55, 2035–2043. [Google Scholar] [CrossRef]
- Li, X.; Yang, K.; Zhang, L.; Bai, J.; Xu, J. Large thickness airfoils with high lift in the operating range of angle of attack. J. Renew. Sustain. Energy 2014, 6, 033110. [Google Scholar] [CrossRef]
- Beri, H.; Yao, Y. Numerical Simulation of Unsteady Flow to Show Self-starting of Vertical Axis Wind Turbine Using Fluent. J. Appl. Sci. 2011, 11, 962–970. [Google Scholar] [CrossRef]
- Beri, H.; Yao, Y. Effect of Camber Airfoil on Self Starting of Vertical Axis Wind Turbine. J. Environ. Sci. Technol. 2011, 4, 302–312. [Google Scholar] [CrossRef]
- Gupta, R.; Biswas, A. Computational fluid dynamics analysis of a twisted three-bladed H-Darrieus rotor. J. Renew. Sustain. Energy 2010, 2, 043111. [Google Scholar] [CrossRef]
- Deshpande, P.; Li, X. Numerical study of giromill-type wind turbines with symmetrical and non-symmetrical airfoils. Eur. Int. J. Sci. Technol. 2013, 2, 195–208. [Google Scholar]
- Bhuyan, S.; Biswas, A. Investigations on Self-Starting and Performance Characteristics of Simple H and Hybrid H-Savonius Vertical Axis Wind Rotors. Energy Convers. Manag. 2014, 87, 859–867. [Google Scholar] [CrossRef]
- Singh, M.; Biswas, A.; Misra, R. Investigation of self-starting and high rotor solidity on the performance of a three S1210 blade H-type Darrieus rotor. Renew. Energy 2015, 76, 381–387. [Google Scholar] [CrossRef]
- Danao, L.A.; Qin, N.; Howell, R. A numerical study of blade thickness and camber effects on vertical axis wind turbines. Proc. Inst. Mech. Eng. Part A J. Power Energy 2012, 226, 867–881. [Google Scholar] [CrossRef]
- Sengupta, A.; Biswas, A.; Gupta, R. Studies of some high solidity symmetrical and unsymmetrical blade H-Darrieus rotors with respect to starting characteristics, dynamic performances and flow physics in low wind streams. Renew. Energy 2016, 93, 536–547. [Google Scholar] [CrossRef]
- Mazarbhuiya, H.M.S.M.; Biswas, A.; Sharma, K.K. Low wind speed aerodynamics of asymmetric blade H-Darrieus wind tur-bine- its desired blade pitch for performance improvement in the built environment. J. Braz. Soc. Mech. Sci. Eng. 2020, 42, 326. [Google Scholar]
- Shouman, M.R.; Helal, M.M.; El-Haroun, A.A. El-Haroun Numerical prediction of improvement of a Savonius rotor performance with curtaining and fin addition on blade Alex. Alex. Eng. J. 2022, 61, 10689–10699. [Google Scholar] [CrossRef]
- Hand, B.; Kelly, G.; Cashman, A. Aerodynamic design and performance parameters of a lift-type vertical axis wind turbine: A comprehensive review. Renew. Sustain. Energy Rev. 2021, 139, 110699. [Google Scholar] [CrossRef]
- Ardaneh, F.; Abdolahifar, A.; Karimian, S. Numerical analysis of the pitch angle effect on the per-formance improvement and flow characteristics of the 3-PB Darrieus vertical axis wind turbine. Energy 2021, 239, 122339. [Google Scholar] [CrossRef]
- Celik, Y.; Ingham, D.; Ma, L.; Pourkashanian, M. Design and aerodynamic performance analyses of the self-starting H-type VAWT having J-shaped aerofoils considering various design parameters using CFD. Energy 2022, 251, 123881. [Google Scholar] [CrossRef]
- Pallotta, A.; Pietrogiacomi, D.; Romano, G. HYBRI—A combined Savonius-Darrieus wind turbine: Performances and flow fields. Energy 2019, 191, 116433. [Google Scholar] [CrossRef]
- Asadi, M.; Hassanzadeh, R. Effects of internal rotor parameters on the performance of a two bladed Darrieus-two bladed Savonius hybrid wind turbine. Energy Convers. Manag. 2021, 238, 114109. [Google Scholar] [CrossRef]
- Farzadi, R.; Bazargan, M. 3D numerical simulation of the Darrieus vertical axis wind turbine with J-type and straight blades under various operating conditions including self-starting mode. Energy 2023, 278, 128040. [Google Scholar] [CrossRef]
- Karimian, S.; Abdolahifar, A. Performance investigation of a new Darrieus Vertical Axis Wind Turbine. Energy 2020, 191, 116551. [Google Scholar] [CrossRef]
- Akhlagi, M.; Ghafoorian, F.; Mehrpooya, M.; Sharifi Rizi, M. Effective Parameters Optimization of a Small Scale GorlovWind Turbine, Using CFD Method. Iran. J. Chem. Chem. Eng. 2022, 42, 2286–2304. [Google Scholar]
- Asadbeigi, M.; Mehrpooya, M.; Ghafoorian, F.; Farajyar, S. Investigation and Optimization on Effective Parameters of a H-rotor Darrieus Wind Turbine, Using CFD Method. Iran. J. Chem. Chem. Eng. Int. Engl. Ed. 2023, 42, 3030–3046. [Google Scholar] [CrossRef]
- Mabrouk, I.B.; El Hami, A. Effect of number of blades on the dynamic behavior of a Darrieus turbine geared transmission system. Mech. Syst. Signal Process. 2019, 121, 562–578. [Google Scholar] [CrossRef]
- Brusca, S.; Lanzafame, R.; Messina, M. Design of a vertical-axis wind turbine: How the aspect ratio affects the turbine’s per-formance. Int. J. Energy Environ. Eng. 2014, 5, 333–340. [Google Scholar] [CrossRef]
- Abdalrahman, G.; Melek, W.; Lien, F.-S. Pitch angle control for a small-scale Darrieus vertical axis wind turbine with straight blades (H-Type VAWT). Renew. Energy 2017, 114, 1353–1362. [Google Scholar] [CrossRef]
- Isataev, M.; Manatbayev, R.; Seydulla, Z.; Bektibai, B.; Kalassov, N. Study of Aerodynamic Characteristics of Asymmetrical Blades and a Wind-Driven Power Plant with a Vertical Axis of Rotation. Appl. Sci. 2024, 14, 11654. [Google Scholar] [CrossRef]
- Wang, Y.; Shen, S.; Li, G.; Huang, D.; Zheng, Z. Investigation on aerodynamic performance of vertical axis wind turbine with different series airfoil shapes. Renew. Energy 2018, 126, 801–818. [Google Scholar] [CrossRef]
Disclaimer/Publisher’s Note: The statements, opinions and data contained in all publications are solely those of the individual author(s) and contributor(s) and not of MDPI and/or the editor(s). MDPI and/or the editor(s) disclaim responsibility for any injury to people or property resulting from any ideas, methods, instructions or products referred to in the content. |
© 2025 by the authors. Published by MDPI on behalf of the International Institute of Knowledge Innovation and Invention. Licensee MDPI, Basel, Switzerland. This article is an open access article distributed under the terms and conditions of the Creative Commons Attribution (CC BY) license (https://creativecommons.org/licenses/by/4.0/).
















