Decarboxylation of p-Coumaric Acid during Pyrolysis on the Nanoceria Surface
Abstract
:1. Introduction
2. Materials and Methods
3. Results and Discussion
3.1. Fourier Transform–Infrared (FT–IR) Spectroscopy
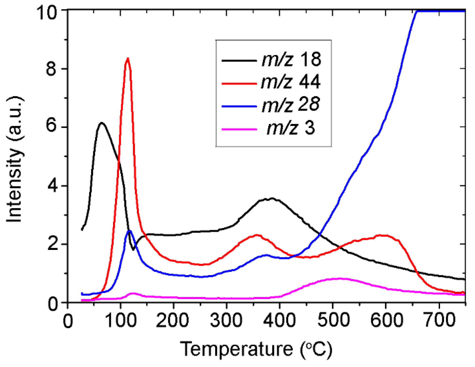
3.2. Pyrolysis of p-Coumaric Acid over Nanoceria
3.3. Thermogravimetric Analysis
4. Conclusions
Author Contributions
Funding
Institutional Review Board Statement
Informed Consent Statement
Data Availability Statement
Conflicts of Interest
References
- Kiliç, I.; Yeşiloğlu, Y. Spectroscopic studies on the antioxidant activity of p-coumaric acid. Spectrochim. Acta Part A Mol. Biomol. Spectrosc. 2013, 115, 719–724. [Google Scholar] [CrossRef] [PubMed]
- Pei, K.; Ou, J.; Huang, J.; Ou, S. p-Coumaric acid and its conjugates: Dietary sources, pharmacokinetic properties and biological activities. J. Sci. Food Agric. 2016, 96, 2952–2962. [Google Scholar] [CrossRef]
- Saha, K.; Dasgupta, J.; Chakraborty, S.; Antunes, F.A.F.; Sikder, J.; Curcio, S.; dos Santos, J.C.; Arafat, H.A.; da Silva, S.S. Optimization of lignin recovery from sugarcane bagasse using ionic liquid aided pretreatment. Cellulose 2017, 24, 3191–3207. [Google Scholar] [CrossRef]
- Karlen, S.D.; Fasahati, P.; Mazaheri, M.; Serate, J.; Smith, R.A.; Sirobhushanam, S.; Chen, M.; Tymokhin, V.I.; Cass, C.L.; Liu, S.; et al. Assessing the viability of recovery of hydroxycinnamic acids from lignocellulosic biorefinery alkaline pretreatment waste streams. ChemSusChem 2020, 13, 2012–2024. [Google Scholar] [CrossRef]
- Dhyani, V.; Bhaskar, T. Pyrolysis of biomass. In Biofuels: Alternative Feedstocks and Conversion Processes for the Production of Liquid and Gaseous Biofuels; Academic Press: Cambridge, MA, USA, 2019; pp. 217–244. [Google Scholar] [CrossRef]
- Ralph, J.; Hatfield, R.D.; Quideau, S.; Helm, R.F.; Grabber, J.H.; Jung, H.J.G. Pathway of p-coumaric acid incorporation into maize lignin as revealed by NMR. J. Am. Chem. Soc. 1994, 116, 9448–9456. [Google Scholar] [CrossRef]
- Jose, C.; Gutiérrez, A.; Rodríguez, I.M.; Ibarra, D.; Martinez, A.T. Composition of non-woody plant lignins and cinnamic acids by Py-GC/MS, Py/TMAH and FT-IR. J. Anal. Appl. Pyrolysis 2007, 79, 39–46. [Google Scholar] [CrossRef]
- Van der Hage, E.R.; Mulder, M.M.; Boon, J.J. Structural characterization of lignin polymers by temperature-resolved in-source pyrolysis—mass spectrometry and Curie-point pyrolysis—Gas chromatography/mass spectrometry. J. Anal. Appl. Pyrolysis 1993, 25, 149–183. [Google Scholar] [CrossRef]
- Chakar, F.S.; Ragauskas, A.J. Review of current and future softwood kraft lignin process chemistry. Ind. Crops Prod. 2004, 20, 131–141. [Google Scholar] [CrossRef]
- Zakzeski, J.; Bruijnincx, P.C.; Jongerius, A.L.; Weckhuysen, B.M. The catalytic valorization of lignin for the production of renewable chemicals. Chem. Rev. 2010, 110, 3552–3599. [Google Scholar] [CrossRef]
- Kulik, T.; Barvinchenko, V.N.; Palyanytsya, B.B.; Lipkovska, N.A.; Dudik, O.O. Thermal transformations of biologically active derivatives of cinnamic acid by TPD MS investigation. J. Anal. Appl. Pyrolysis 2011, 90, 219–223. [Google Scholar] [CrossRef]
- Hartley, R.D.; Haverkamp, J. Pyrolysis-mass spectrometry of the phenolic constituents of plant cell walls. J. Sci. Food Agric. 1984, 35, 14–20. [Google Scholar] [CrossRef]
- Mulder, M.M.; Van Der Hage, E.R.; Boon, J.J. Analytical in source pyrolytic methylation electron impact mass spectrometry of phenolic acids in biological matrices. Phytochem. Anal. 1992, 3, 165–172. [Google Scholar] [CrossRef]
- Dijkstra, E.F.; Boon, J.J.; Van Mourik, J.M. Analytical pyrolysis of a soil profile under Scots pine. Europ. J. Soil Sci. 1998, 49, 295–304. [Google Scholar] [CrossRef]
- Trovarelli, A. Catalytic properties of ceria and CeO2-containing materials. Catal. Rev. 1996, 38, 439–520. [Google Scholar] [CrossRef]
- Nastasiienko, N.; Kulik, T.; Palianytsia, B.; Laskin, J.; Cherniavska, T.; Kartel, M.; Larsson, M. Catalytic Pyrolysis of Lignin Model Compounds (Pyrocatechol, Guaiacol, Vanillic and Ferulic Acids) over Nanoceria Catalyst for Biomass Conversion. Appl. Sci. 2021, 11, 7205. [Google Scholar] [CrossRef]
- Deng, W.; Zhang, H.; Wu, X.; Li, R.; Zhang, Q.; Wang, Y. Oxidative conversion of lignin and lignin model compounds catalyzed by CeO 2-supported Pd nanoparticles. Green Chem. 2015, 17, 5009–5018. [Google Scholar] [CrossRef]
- Schimming, S.M.; LaMont, O.D.; König, M.; Rogers, A.K.; D’Amico, A.D.; Yung, M.M.; Sievers, C. Hydrodeoxygenation of guaiacol over ceria–zirconia catalysts. ChemSusChem 2015, 8, 2073–2083. [Google Scholar] [CrossRef]
- Song, W.L.; Dong, Q.; Hong, L.; Tian, Z.Q.; Tang, L.N.; Hao, W.; Zhang, H. Activating molecular oxygen with Au/CeO2 for the conversion of lignin model compounds and organosolv lignin. RSC Adv. 2019, 9, 31070–31077. [Google Scholar] [CrossRef] [Green Version]
- Totong, S.; Daorattanachai, P.; Laosiripojana, N.; Idem, R. Catalytic depolymerization of alkaline lignin to value-added phenolic-based compounds over Ni/CeO2-ZrO2 catalyst synthesized with a one-step chemical reduction of Ni species using NaBH4 as the reducing agent. Fuel Process. Technol. 2020, 198, 106248. [Google Scholar] [CrossRef]
- Gliński, M.; Kijeński, J.; Jakubowski, A. Ketones from monocarboxylic acids: Catalytic ketonization over oxide systems. Appl. Catal. A Gen. 1995, 128, 209–217. [Google Scholar] [CrossRef]
- Deng, L.; Fu, Y.; Guo, Q.X. Upgraded acidic components of bio-oil through catalytic ketonic condensation. Energy Fuels 2008, 23, 564–568. [Google Scholar] [CrossRef]
- Vlasenko, N.V.; Kyriienko, P.I.; Yanushevska, O.I.; Valihura, K.V.; Soloviev, S.O.; Strizhak, P.E. The Effect of Ceria Content on the Acid–Base and Catalytic Characteristics of ZrO2–CeO2 Oxide Compositions in the Process of Ethanol to n-Butanol Condensation. Catal. Lett. 2020, 150, 234–242. [Google Scholar] [CrossRef]
- Sharanda, L.F.; Shimansky, A.P.; Kulik, T.V.; Chuiko, A.A. Study of acid-base surface properties of pyrogenic γ-aluminium oxide. Colloids Surf. A 1995, 105, 167–172. [Google Scholar] [CrossRef]
- Kulik, T.; Palianytsia, B.; Larsson, M. Catalytic Pyrolysis of Aliphatic Carboxylic Acids into Symmetric Ketones over Ceria-Based Catalysts: Kinetics, Isotope Effect and Mechanism. Catalysts 2020, 10, 179. [Google Scholar] [CrossRef] [Green Version]
- Kulyk, K.; Palianytsia, B.; Alexander, J.D.; Azizova, L.; Borysenko, M.; Kartel, M.; Larsson, M.; Kulik, T. Kinetics of valeric acid ketonization and ketenization in catalytic pyrolysis on nanosized SiO2, γ-Al2O3, CeO2/SiO2, Al2O3/SiO2 and TiO2/SiO2. ChemPhysChem 2017, 18, 1943–1955. [Google Scholar] [CrossRef]
- Kanimozhi, C.; Kim, M.; Larson, S.R.; Choi, J.W.; Choo, Y.; Sweat, D.P.; Osuji, C.O.; Gopalan, P. Isomeric Effect Enabled Thermally Driven Self-Assembly of Hydroxystyrene-Based Block Copolymers. ACS Macro Lett. 2016, 5, 833–838. [Google Scholar] [CrossRef]
- Matuszewska, A.; Uchman, M.; Adamczyk-Woźniak, A.; Sporzyński, A.; Pispas, S.; Kováčik, L.; Štěpánek, M. Glucose-Responsive Hybrid Nanoassemblies in Aqueous Solutions: Ordered Phenylboronic Acid within Intermixed Poly(4-hydroxystyrene)-block-poly(ethylene oxide) Block Copolymer. Biomacromolecules 2015, 16, 3731–3739. [Google Scholar] [CrossRef]
- Barvinchenko, V.N.; Lipkovskaya, N.A.; Kulik, T.V. Adsorption of Natural 3-Phenylpropenic Acids on Cerium Dioxide Surface. Colloid J. 2019, 81, 1–7. [Google Scholar] [CrossRef]
- Kulyk, K.; Ishchenko, V.; Palyanytsya, B.; Khylya, V.; Borysenko, M.; Kulyk, T. A TPD-MS study of the interaction of coumarins and their heterocyclic derivatives with a surface of fumed silica and nanosized oxides CeO2/SiO2, TiO2/SiO2, Al2O3/SiO2. J. Mass Spectrom. 2010, 45, 750–761. [Google Scholar] [CrossRef]
- Kulyk, K.; Zettergren, H.; Gatchell, M.; Alexander, J.D.; Larsson, M.; Borysenko, M.; Palianytsia, B.; Kulik, T. Dimethylsilanone Generation from Pyrolysis of Polysiloxanes Filled with Nanosized Silica and Ceria/Silica. ChemPlusChem 2016, 81, 1003–1013. [Google Scholar] [CrossRef] [Green Version]
- Kulyk, K.; Borysenko, M.; Kulik, T.; Mikhalovska, L.; Alexander, J.D.; Palianytsia, B. Chemisorption and thermally induced transformations of polydimethylsiloxane on the surface of nanoscale silica and ceria/silica. Polym. Degrad. Stab. 2015, 120, 203–211. [Google Scholar] [CrossRef]
- Kulik, T.V.; Lipkovska, N.O.; Barvinchenko, V.M.; Palyanytsya, B.B.; Kazakova, O.A.; Dudik, O.O.; Menyhárd, A.; László, K. Thermal transformation of bioactive caffeic acid on fumed silica seen by UV–Vis spectroscopy, thermogravimetric analysis, temperature programmed desorption mass spectrometry and quantum chemical methods. J. Colloid Interface Sci. 2016, 470, 132–141. [Google Scholar] [CrossRef]
- Bellamy, L. Infra-Red Spectra of Complex Molecule; Methuen & Co. Ltd.: London, UK, 1963. [Google Scholar]
- Świsłocka, R.; Kowczyk-Sadowy, M.; Kalinowska, M.; Lewandowski, W. Spectroscopic (FT-IR, FT-Raman, 1H and 13C NMR) and theoretical studies of p-coumaric acid and alkali metal p-coumarates. Spectroscopy 2012, 27, 35–48. [Google Scholar] [CrossRef]
- Sebastian, S.; Sundaraganesan, N.; Manoharan, S. Molecular structure, spectroscopic studies and first-order molecular hyperpolarizabilities of ferulic acid by density functional study. Spectrochim. Acta Part A Mol. Biomol. Spectrosc. 2009, 74, 312–323. [Google Scholar] [CrossRef]
- González-Baró, A.C.; Parajón-Costa, B.S.; Franca, C.A.; Pis-Diez, R. Theoretical and spectroscopic study of vanillic acid. J. Molec. Struct. 2008, 889, 204–210. [Google Scholar] [CrossRef]
- Świsłocka, R. Spectroscopic (FT-IR, FT-Raman, UV absorption, 1H and 13C NMR) and theoretical (in B3LYP/6-311++ G** level) studies on alkali metal salts of caffeic acid. Spectrochim. Acta Part A Mol. Biomol. Spectrosc. 2013, 100, 21–30. [Google Scholar] [CrossRef] [PubMed]
- Palacios, E.G.; Juárez-López, G.; Monhemius, A.J. Infrared spectroscopy of metal carboxylates: II. Analysis of Fe (III), Ni and Zn carboxylate solutions. Hydrometallurgy 2004, 72, 139–148. [Google Scholar] [CrossRef]
- Nastasiienko, N.; Palianytsia, B.; Kartel, M.; Larsson, M.; Kulik, T. Thermal Transformation of Caffeic Acid on the Nanoceria Surface Studied by Temperature Programmed Desorption Mass-Spectrometry, Thermogravimetric Analysis and FT–IR Spectroscopy. Colloids Interfaces 2019, 3, 34. [Google Scholar] [CrossRef] [Green Version]
- Ding, S.; Zhao, J.; Yu, Q. Effect of Zirconia Polymorph on Vapor-Phase Ketonization of Propionic Acid. Catalysts 2019, 9, 768–773. [Google Scholar] [CrossRef] [Green Version]
- Van Den Brand, J.; Blajiev, O.; Beentjes, P.C.J.; Terryn, H.; De Wit, J.H.W. Interaction of anhydride and carboxylic acid compounds with aluminum oxide surfaces studied using infrared reflection absorption spectroscopy. Langmuir 2004, 20, 6308–6317. [Google Scholar] [CrossRef]
- Stein, S.E. NIST Chemistry WebBook; Mallard, W.G., Linstrom, P.J., Eds.; National Institute of Standards and Technology: Gaithersburg, MD, USA, 2000. Available online: http://webbook.nist.gov (accessed on 14 October 2021).
- Redhead, P.A. Thermal Desorption of Gases. Vacuum 1962, 12, 203–211. [Google Scholar] [CrossRef]
- Kislyuk, M.U.; Rozanov, V.V. Temperature-programmed desorption and temperature-programmed reaction—methods of studying of kinetics and mechanisms of catalytic processes. Kinet. Catal. 1995, 36, 89–98. [Google Scholar]
- Kulik, T.V. Use of TPD-MS and linear free energy relationships for assessing the reactivity of aliphatic carboxylic acids on a silica surface. J. Phys. Chem. C 2012, 116, 570–580. [Google Scholar] [CrossRef]









| Sample | The Content of p-Coumaric Acid (mmol/g) |
|---|---|
| pCmA/CeO2 | 0.1 |
| 0.3 | |
| 0.6 | |
| 0.9 | |
| 1.2 |
| Assignments | Frequency (cm−1) | |
|---|---|---|
| pCmA | pCmA/CeO2 | |
| δ(COH) | 945 | – |
| ν(C-O)ar | 1284 | 1279, 1290 |
| ν(CC)ar | 1450 | – |
| ν(COO−)s | – | 1396–1410 |
| ν(COO−)s | – | 1440 |
| ν(CC)ar | 1514 | 1516 |
| ν(COO−)as | – | 1502 |
| ν(COO−)as | – | 1556 |
| ν(CC)ar | 1603 | 1608 |
| ν(C=C) | 1628 | 1633 |
| ν(C=O) | 1674 | – |
| ν(C=O) | – | 1684 |
| № | Surface Complexes (SC) | m/z | Tmax (°C) | aE≠, kJ·mol−1 | Scheme | Peak Area (a.u.) | % |
|---|---|---|---|---|---|---|---|
| I | H-bonded associates | 120 | 118 | 80 | 1 | 69 | 27 |
| II | Monodentate bonded complexes | 120 | 138 | 84 | 1 | 51 | 19 |
| III | Bidentate bridging carboxylates | 120 | 184 | 93 | 2 | 50 | 19 |
| IV | Bidentate chelate carboxylates | 120 | 262 | 109 | 2 | 90 | 35 |
| Sample | Stage | Tmax (°C) | Weight Loss (%) |
|---|---|---|---|
| pCmA/CeO2 | I | 90 | 4 |
| II | 153 | 16 | |
| III | 255 | 33 | |
| IV | 288 | 47 |
Publisher’s Note: MDPI stays neutral with regard to jurisdictional claims in published maps and institutional affiliations. |
© 2021 by the authors. Licensee MDPI, Basel, Switzerland. This article is an open access article distributed under the terms and conditions of the Creative Commons Attribution (CC BY) license (https://creativecommons.org/licenses/by/4.0/).
Share and Cite
Nastasiienko, N.; Kulik, T.; Palianytsia, B.; Larsson, M.; Cherniavska, T.; Kartel, M. Decarboxylation of p-Coumaric Acid during Pyrolysis on the Nanoceria Surface. Colloids Interfaces 2021, 5, 48. https://doi.org/10.3390/colloids5040048
Nastasiienko N, Kulik T, Palianytsia B, Larsson M, Cherniavska T, Kartel M. Decarboxylation of p-Coumaric Acid during Pyrolysis on the Nanoceria Surface. Colloids and Interfaces. 2021; 5(4):48. https://doi.org/10.3390/colloids5040048
Chicago/Turabian StyleNastasiienko, Nataliia, Tetiana Kulik, Borys Palianytsia, Mats Larsson, Tetiana Cherniavska, and Mykola Kartel. 2021. "Decarboxylation of p-Coumaric Acid during Pyrolysis on the Nanoceria Surface" Colloids and Interfaces 5, no. 4: 48. https://doi.org/10.3390/colloids5040048
APA StyleNastasiienko, N., Kulik, T., Palianytsia, B., Larsson, M., Cherniavska, T., & Kartel, M. (2021). Decarboxylation of p-Coumaric Acid during Pyrolysis on the Nanoceria Surface. Colloids and Interfaces, 5(4), 48. https://doi.org/10.3390/colloids5040048

