Missing Data Estimation in Temporal Multilayer Position-Aware Graph Neural Network (TMP-GNN)
Abstract
:1. Introduction
2. Notations and Preliminaries
2.1. Notation
2.2. Supracentrality Matrix for Temporal Multilayer Position-Aware Graph
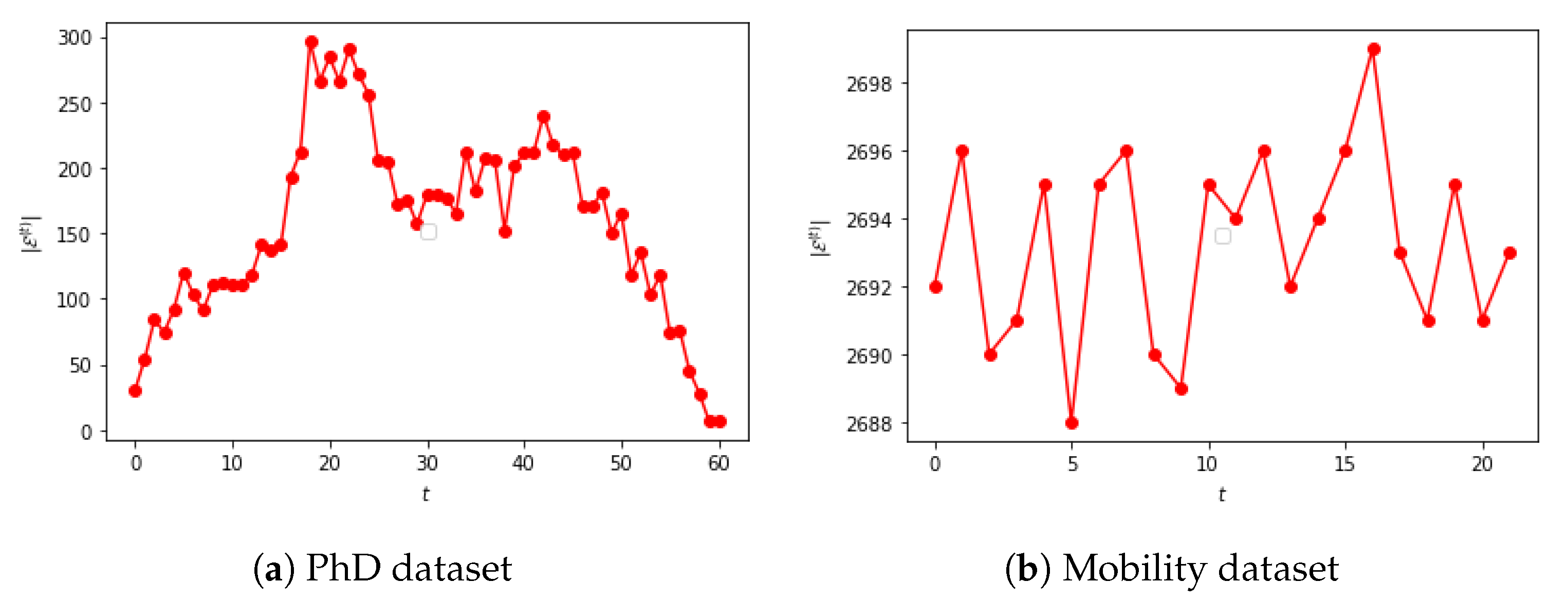
Choice of for Steady-State Node Ranking
| Algorithm 1 Find the appropriate value of |
| Require: Initialize the value of for (we start from ), construct , |
| choose a random number for , as the initial value for the largest eigenvector of |
| and . We set , = with its length equal to the number of columns of , , |
| which is in our case. |
| , |
| , |
| k = 0 |
| while do |
| while do |
| end while |
| return , |
| while do |
| end while |
| return , |
| end while |
| return |
2.3. TMP-GNN: Multilayer Position-Aware-Based Graph Neural Network
- Generalization of P-GNN to Time-Varying Graphs:We adopt the input of P-GNN as supracentrality matrix , which represents a temporal multilayer graph with number of nodes. We compute an embedding for all nodes in all time layers, since defined in (1) can change from t to . The embedding will then be aggregated from an RNN-based representation to estimate missing data.
- Modification of Message Computation Function (F):In an Intelligent Transportation System (ITS), the average speed of neighboring nodes might correlate more or less at different time layers due to a variety of factors, i.e., different types of residential zone, special events, accidents, etc. Using an attention mechanism while computing an anchor set’s message with respect to a given node v can alleviate misinformative messages from the anchor set to influence node v’s embedding. Therefore, we use the attention mechanism to learn the relative weights between the feature vector of v and its nearest neighbor from the anchor set. The fact at different degrees could apply to other application domains as well. As such, we modify our message computation function to incorporate the attention mechanism.In P-GNN, we have multi-level aggregations, as demonstrated in Figure 2. First, the message of each node v is computed with regard to each anchor set through function F. From each anchor set, only the nodes with an up to two-hop distance to node v are considered for message computation, as shown in the following equation:where indicates the aggregated message of v corresponding to , which is the average of individual outputs of , where F is defined as:where is defined as below:where is the shortest path between a pair of nodes , and we write , where is denoted as and is computed as follows:where the score is calculated as:where V, , and are trainable weights. and are the context vector and attention coefficient, respectively. This is inspired by [22].
- Modification of :In P-GNN, , associated with anchor set j, is averaged across the anchor sets to generate . We choose to differentiate nodes based on their conditional centrality in stationary status , as higher conditional eigenvector centrality indicates a higher influence of a given node v and its surrounding nodes compared to the ones with lower eigenvector centrality. Additionally, corresponding informative anchor sets contain at least 2-hop neighbor(s) of node v, wherein the ones with higher deserve to have higher weights for aggregation. As such, we substitute by the weighted mean of , where the weights are proportionate to stationary , as follows:where is calculated as:where is the number of anchor sets. Calculation of the conditional node centrality in stationary condition is implemented separately from the main algorithm, and the result has been used in to aggregate the computed messages across the anchor sets.Anchor sets are selected randomly based on Bourgain’s theorem; they come in different sizes that distribute exponentially. is computed for node v from anchor set , if hits v, which means . Large anchor sets have a higher probability of hitting v, but are less informative of the positional information of the node, as v hits at least one of many nodes in the anchor sets. On the other hand, small anchor sets have a lower chance of hitting v; however, they provide positional information with high certainty [15]. In terms of message communication, each node in a P-GNN layer shares a message with number of anchor sets for a graph with n nodes. Suppose that we have a temporal graph with and average anchor set size of m; the total communicated messages will be . This is because each node in TMP-GNN only communicates with nodes that are up to two-hop distant within each anchor set , so that m is limited ().
2.4. Bi-Directional Recurrent Neural Network (Bi-GRU)
2.5. E-TMP-GNN: Extended TMP-GNN for Missing Data Estimation
3. Performance Evaluation
3.1. Datasets
3.2. Potential Inputs to TMP-GNN: Single Graph vs. Multiple Graphs
- Supracentrality Graph : In this case, we represent the centrality of a temporal multilayer graph via a supracentrality matrix that is analogous to a single graph with number of nodes. The main advantage of this approach is to illustrate the graph with all weighted intra-layer and inter-layer edges. However, the matrix size might be relatively large in the presence of a large number of T. In the next section, we demonstrate that this approach outperforms the one with a multiple-graph input.
- Multiple Graphs: In this approach, a sequence of centrality/adjacency matrices associated with each time layer, , is fed into P-GNN. That is, the multilayer graph is treated as individual instances of a single graph without consideration of inter-layer coupling.
- The input to P-GNN can be a single graph with the entry of its corresponding adjacency matrix as follows:In this approach, we treat the multilayer graph as a single graph where each element of the adjacency matrix is a time series of features associated with an . In order to capture the temporal characteristics of a v/, a recurrent neural network is required before applying function F in Figure 2, which leads to high computational complexity. We have not implemented this method.
4. Conclusions
Author Contributions
Funding
Institutional Review Board Statement
Informed Consent Statement
Data Availability Statement
Acknowledgments
Conflicts of Interest
Abbreviations
| GNN | Graph Neural Networks |
| TMP | Temporal Multilayer Position-Aware |
| ROC | Receiver Operating Characteristic |
| ROC AUC | Area Under Receiver Operating Characteristic Curve |
| ITS | Intelligent Transportation System |
| GRU | Gated Recurrent Unit |
| MAE | Mean Absolute Error |
| MLC | Marginal Layer Centrality |
| RNN | Recurrent Neural Network |
| GTA | Greater Toronto Area |
| LCC | Largest Connected Component |
| CGN | Convolutional Graph Neural Network |
| GAT | Graph Attention Network |
| GIN | Graph Isomorphism Network |
| SAGE | Sample And Aggregate |
References
- Lv, Y.; Duan, Y.; Kang, W.; Li, Z.; Wang, F.Y. Traffic flow prediction with big data: A deep learning approach. IEEE Trans. Intell. Transp. Syst. 2014, 16, 865–873. [Google Scholar] [CrossRef]
- Lin, Y.; Dai, X.; Li, L.; Wang, F. Pattern sensitive prediction of traffic flow based on generative adversarial framework. IEEE Trans. Intell. Transp. Syst. 2018, 20, 2395–2400. [Google Scholar] [CrossRef]
- Cui, Z.; Henrickson, K.; Ke, R.; Wang, Y. Traffic graph convolutional recurrent neural network: A deep learning framework for network-scale traffic learning and forecasting. IEEE Trans. Intell. Transp. Syst. 2019, 21, 4883–4894. [Google Scholar] [CrossRef] [Green Version]
- Yu, H.; Wu, Z.; Wang, S.; Wang, Y.; Ma, X. Spatiotemporal recurrent convolutional networks for traffic prediction in transportation networks. Sens. Multidiscip. Digit. Publ. Inst. 2017, 17, 1501. [Google Scholar] [CrossRef] [Green Version]
- Ghoroghchian, N.; Groppe, D.M.; Genov, R.; Valiante, T.A.; Draper, S.C. Node-Centric Graph Learning From Data for Brain State Identification. IEEE Trans. Signal Inf. Process. Netw. 2020, 6, 120–132. [Google Scholar] [CrossRef]
- Zhang, M.; Chen, Y. Link prediction based on graph neural networks. arXiv 2018, arXiv:1802.09691. [Google Scholar]
- Liu, S.; Li, T.; Ding, H.; Tang, B.; Wang, X.; Chen, Q.; Yan, J.; Zhou, Y. A hybrid method of recurrent neural network and graph neural network for next-period prescription prediction. Int. J. Mach. Learn. Cybern. 2020, 11, 2849–2856. [Google Scholar] [CrossRef] [PubMed]
- Yao, H.; Wu, F.; Ke, J.; Tang, X.; Jia, Y.; Lu, S.; Gong, P.; Ye, J.; Li, Z. Deep multi-view spatial-temporal network for taxi demand prediction. In Proceedings of the AAAI Conference on Artificial Intelligence, New Orleans, LA, USA, 2–7 February 2018. [Google Scholar]
- Taheri, A.; Gimpel, K.; Berger-Wolf, T. Learning graph representations with recurrent neural network autoencoders. In Proceedings of the KDD’18 Deep Learning Day, London, UK, 19–23 August 2018. [Google Scholar]
- Kumar, S.; Zhang, X.; Leskovec, J. Predicting dynamic embedding trajectory in temporal interaction networks. In Proceedings of the 25th ACM SIGKDD International Conference on Knowledge Discovery & Data Mining, Anchorage, AK, USA, 4–8 August 2019; pp. 1269–1278. [Google Scholar]
- Xue, H.; Yang, L.; Jiang, W.; Wei, Y.; Hu, Y.; Lin, Y. Modeling dynamic heterogeneous network for link prediction using hierarchical attention with temporal rnn. In Proceedings of the Joint European Conference on Machine Learning and Knowledge Discovery in Databases, Wuerzburg, Germany, 16–20 September 2019; pp. 282–298. [Google Scholar]
- Xu, D.; Cheng, W.; Luo, D.; Gu, Y.; Liu, X.; Ni, J.; Zong, B.; Chen, H.; Zhang, X. Adaptive neural network for node classification in dynamic networks. In Proceedings of the 2019 IEEE International Conference on Data Mining (ICDM), Beijing, China, 8–11 November 2019; pp. 1402–1407. [Google Scholar]
- Xu, D.; Cheng, W.; Luo, D.; Liu, X.; Zhang, X. Spatio-Temporal Attentive RNN for Node Classification in Temporal Attributed Graphs. In Proceedings of the Twenty-Eighth International Joint Conference on Artificial Intelligence (IJCAI-19), Macao, China, 10–16 August 2019; pp. 3947–3953. [Google Scholar]
- Xie, Y.; Li, C.; Yu, B.; Zhang, C.; Tang, Z. A survey on dynamic network embedding. arXiv 2020, arXiv:2006.08093. [Google Scholar] [CrossRef]
- You, J.; Ying, R.; Leskovec, J. Position-aware graph neural networks. In Proceedings of the International Conference on Machine Learning, Long Beach, CA, USA, 9–15 June 2019; pp. 7134–7143. [Google Scholar]
- Taylor, D.; Myers, S.A.; Clauset, A.; Porter, M.A.; Mucha, P.J. Eigenvector-based centrality measures for temporal networks. Multiscale Model. Simul. 2017, 15, 537–574. [Google Scholar] [CrossRef] [PubMed] [Green Version]
- Gleich, D.F. PageRank beyond the (WEB). SIAM Rev. 2015, 57, 321–363. [Google Scholar] [CrossRef]
- Shai, S.; Stanley, N.; Granell, C.; Taylor, D.; Mucha, P.J. Case studies in network community detection. In The Oxford Handbook of Social Networks; Oxford University Press: Oxford, UK, 2017. [Google Scholar]
- Ipsen, I.; Wills, R.M. Analysis and computation of google’s pagerank. In Proceedings of the 7th IMACS International Symposium on Iterative Methods in Scientific Computing, Fields Institute, Toronto, ON, Canada, 5–8 May 2005; Volume 5. [Google Scholar]
- Xu, K.; Hu, W.; Leskovec, J.; Jegelka, S. How powerful are graph neural networks? arXiv 2018, arXiv:1810.00826. [Google Scholar]
- Bourgain, J. On Lipschitz embedding of finite metric spaces in Hilbert space. Isr. J. Math. 1985, 52, 46–52. [Google Scholar] [CrossRef]
- Bahdanau, D.; Cho, K.; Bengio, Y. Neural machine translation by jointly learning to align and translate. arXiv 2014, arXiv:1409.0473. [Google Scholar]
- Schuster, M.; Paliwal, K.K. Bidirectional recurrent neural networks. IEEE Trans. Signal Process. 1997, 45, 2673–2681. [Google Scholar] [CrossRef] [Green Version]
- Yoon, J.; Zame, W.R.; van der Schaar, M. Estimating missing data in temporal data streams using multi-directional recurrent neural networks. IEEE Trans. Biomed. Eng. 2018, 66, 1477–1490. [Google Scholar] [CrossRef] [PubMed] [Green Version]
- Najafi, B.; Parsaeefard, S.; Leon-Garcia, A. Estimation of Missing Data in Intelligent Transportation System. In Proceedings of the 2020 IEEE 92nd Vehicular Technology Conference (VTC2020-Fall), Virtual, 18 November–16 December 2020; pp. 1–6. [Google Scholar]
- Kang, Y.; Gao, S.; Liang, Y.; Li, M.; Rao, J.; Kruse, J. Multiscale dynamic human mobility flow dataset in the US during the COVID-19 epidemic. Sci. Data 2020, 7, 1–13. [Google Scholar] [CrossRef]
- TomTom Road Analytics. Available online: Https://www.tomtom.com/products/road-traffic-data-analytics/ (accessed on 1 January 2022).
- Burris, V. The academic caste system: Prestige hierarchies in PhD exchange networks. Am. Sociol. Rev. 2004, 69, 239–264. [Google Scholar] [CrossRef] [Green Version]
- Cui, Z.; Ke, R.; Wang, Y. Deep Bidirectional and Unidirectional LSTM Recurrent Neural Network for Network-wide Traffic Speed Prediction. arXiv 2018, arXiv:1801.02143. [Google Scholar]
- Tarjan, R. Depth-first search and linear graph algorithms. SIAM J. Comput. 1972, 1, 146–160. [Google Scholar] [CrossRef]
- Adhikari, B. DEEPCON: Protein contact prediction using dilated convolutional neural networks with dropout. Bioinformatics 2020, 36, 470–477. [Google Scholar] [CrossRef]
- Kipf, T.N.; Welling, M. Semi-supervised classification with graph convolutional networks. arXiv 2016, arXiv:1609.02907. [Google Scholar]











| Characteristics | TomTom | Loop Detector | PhD | Mobility |
|---|---|---|---|---|
| 1867 | 323 | 231 | 72 | |
| *: | 985 | 1001 | 10,365 * | 2692 |
| 18,670 | 3553 | 14,091 | 1584 | |
| Largest Connected Component (LCC) | 50 | 323 | 13,847 | 1144 |
| No. of Isolated Nodes | 18,620 | 3230 | 244 | 440 |
| Estimate | TomTom | Loop Detector | PhD | Mobility |
|---|---|---|---|---|
| 7–42 | 0–22 | 18–35 | 6–20 | |
| 28–41 | 20–25 | 30–37 | 6–58 | |
| 59–69 | 0–12 | 17–27 | 0 | |
| 94–96 | 29–96 | 0 | 0–15 |
Publisher’s Note: MDPI stays neutral with regard to jurisdictional claims in published maps and institutional affiliations. |
© 2022 by the authors. Licensee MDPI, Basel, Switzerland. This article is an open access article distributed under the terms and conditions of the Creative Commons Attribution (CC BY) license (https://creativecommons.org/licenses/by/4.0/).
Share and Cite
Najafi, B.; Parsaeefard, S.; Leon-Garcia, A. Missing Data Estimation in Temporal Multilayer Position-Aware Graph Neural Network (TMP-GNN). Mach. Learn. Knowl. Extr. 2022, 4, 397-417. https://doi.org/10.3390/make4020017
Najafi B, Parsaeefard S, Leon-Garcia A. Missing Data Estimation in Temporal Multilayer Position-Aware Graph Neural Network (TMP-GNN). Machine Learning and Knowledge Extraction. 2022; 4(2):397-417. https://doi.org/10.3390/make4020017
Chicago/Turabian StyleNajafi, Bahareh, Saeedeh Parsaeefard, and Alberto Leon-Garcia. 2022. "Missing Data Estimation in Temporal Multilayer Position-Aware Graph Neural Network (TMP-GNN)" Machine Learning and Knowledge Extraction 4, no. 2: 397-417. https://doi.org/10.3390/make4020017
APA StyleNajafi, B., Parsaeefard, S., & Leon-Garcia, A. (2022). Missing Data Estimation in Temporal Multilayer Position-Aware Graph Neural Network (TMP-GNN). Machine Learning and Knowledge Extraction, 4(2), 397-417. https://doi.org/10.3390/make4020017

