Extraction and Identification of Effective Compounds from Natural Plants
Abstract
1. Introduction
2. Experimental
2.1. General
2.2. Experimental
2.2.1. Soxhlet Extraction of Dried Prepared Gorse Flower with dichloromethane
2.2.2. Preparation of Methyl Ester from Crude of Gorse Flower from DCM Extraction
2.2.3. Soxhlet Extraction of Dried Prepared Gorse Flowers with Methanol
2.2.4. Small Scale Acid Hydrolysis of Flower Milled and Extracted with Methanol
2.2.5. Small Scale Acid Hydrolysis of Flower Milled and Extracted with Methanol
2.2.6. Small Scale Acid Hydrolysis of Milled Flowers Extracted with Methanol
2.2.7. Small Scale Base Hydrolysis of Milled Flower Extracted with Methanol
2.3. Preparation of Gorse Leaves (Needle) for Extraction
2.3.1. Soxhlet Extraction of Dried, Prepared and Milled Gorse Leaves with Dichloromethane
2.3.2. Preparation of Methyl Ester Fatty Acid
2.3.3. Soxhlet Extraction of Dried and Milled Gorse Leaves with Methanol
2.4. Preparation of Gorse Bark for Extraction
2.4.1. Soxhlet Extraction of Dried, Milled Gorse Bark with Dichloromethane
2.4.2. Soxhlet Extraction of Dried, Milled Gorse Bark with Methanol
2.5. Fibre Test for Wood
2.5.1. Preparation for the Wood of Gorse for De-Lignification
2.5.2. De-Lignification of Wood
3. Results and Discussion
3.1. Preparation of Gorse Flower
3.1.1. Flower of Gorse Extracted with Dichloromethane
3.1.2. Milled Flower of Gorse Extracted with Methanol
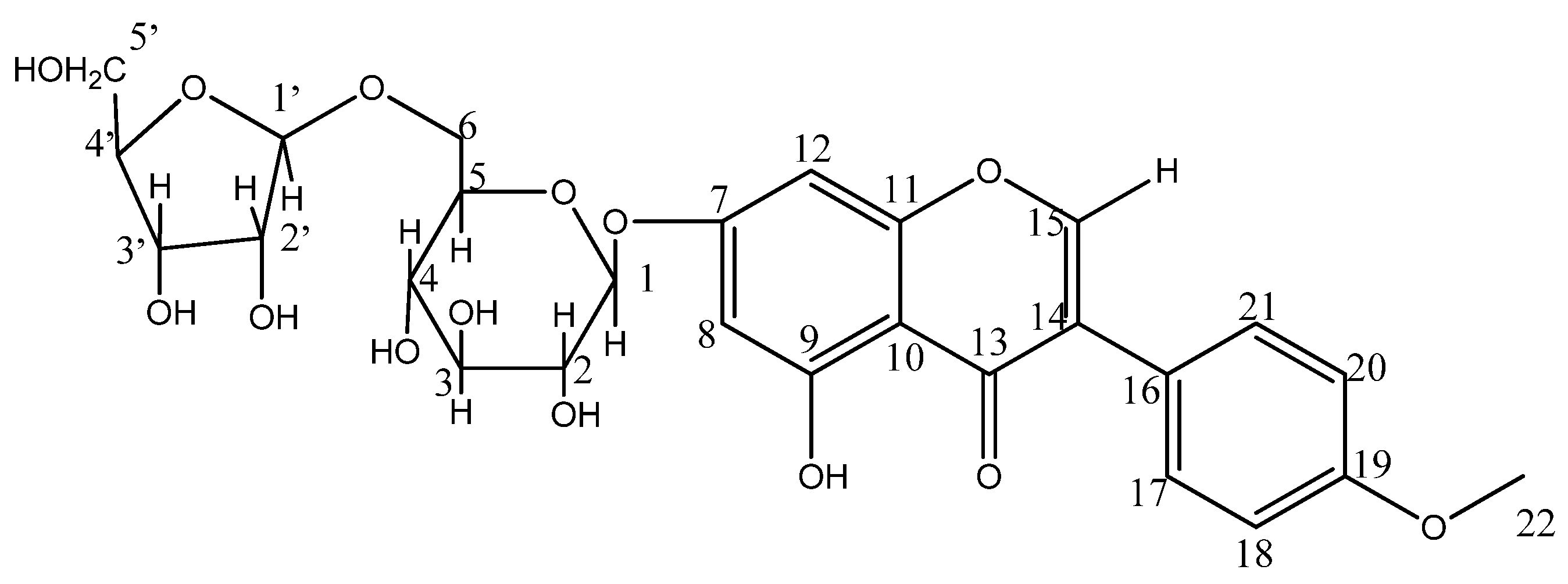
3.1.3. Acid and Base Hydrolysis of the Methanolic Extract
3.1.4. Base and Base Hydrolysis of the Methanolic Extract
3.2. Preparation of Gorse Leaves
3.2.1. Soxhlet Extraction of Gorse Leaves by Dichloromethane
3.2.2. Soxhlet Extraction of Gorse Leaves with Methanol
3.3. Preparation of Gorse Bark
3.3.1. Soxhlet Extraction of Bark from Gorse by Dichloromethane
3.3.2. Soxhlet Extraction of Bark from Gorse by Methanol
3.4. Fibre Analysis of Wood
4. Conclusions
Author Contributions
Funding
Informed Consent Statement
Conflicts of Interest
References
- Mueller, R.L.; Scheidt, S. History of drugs for thrombotic disease. Discovery, development, and directions for the future. Circulation 1994, 89, 432–449. [Google Scholar] [CrossRef] [PubMed]
- Wink, M. Evolution of Secondary Metabolites from an Ecological and Molecular Phylogenetic Perspective. Phytochemistry 2003, 64, 3–19. [Google Scholar] [CrossRef]
- Atlan, A.; Udo, N.; Hornoy, B.; Darrot, C. Evolution of the uses of gorse in native and invaded regions: What are the impacts on its dynamics and management? Rev. D’ecol. 2015, 70, 191–206. [Google Scholar]
- United States Department of Agriculture. Available online: www.plants.usda.gov (accessed on 14 May 2012).
- Lewis, G.; Schrire, B.; Mackinder, B.; Lock, M. Legumes of the World; Royal Botanic Gardens: Kew, UK, 2005. [Google Scholar]
- Deshpande, S.S. Food legumes in human nutrition. Rev. Food Sci. Nutr. 1992, 32, 333–363. [Google Scholar] [CrossRef] [PubMed]
- Haveman, R.; De Ronde, I.; Schaminée, J.H. Retamoid scrubs of the Cytisetea scopario-striati in the Netherlands. Tuexenia 2017, 37, 143–161. [Google Scholar]
- Misset, M.T.; Gourret, J.P. Flow cytometric analysis of the different ploidy levels observed in the genus Ulex L. (Faboideae-Genisteae) in Brittany, France. Bot. Acta 1996, 109, 72–79. [Google Scholar] [CrossRef]
- Tutin, T.G.; Burges, N.A.; Chater, A.O.; Edmondson, J.R.; Heywood, V.H.; Moore, D.M.; Valentine, D.H.; Walters, S.M.; Webb, D.A. Flora Europaea, 2nd ed.; Cambridge University Press: Cambridge, UK, 1993. [Google Scholar]
- D’Arcy, W.G. Flora of Panama, Part V, Fascicle 5. Family 83. Leguminosae subfamily Papilionoideae (conclusion). Ann. Mo. Bot. Gard. 1980, 67, 789–791. [Google Scholar]
- Lee, W.G.; Allen, R.B.; Johnson, P.N. Succession and dynamics of gorse (Ulex europaeus L.) communities in the dunedin ecological district South Island, New Zealand. N. Z. J. Bot. 1986, 24, 279–292. [Google Scholar] [CrossRef]
- Markin, G.P.; Yoshioka, E.R. Introduction and establishment of the biological agent Apion ulicis (Forster) (Coleoptera: Apionidae) for control of the weed gorse (Ulex europaeus L.) in Hawai’i. Proc. Hawaii. Entomol. Soc. 1998, 33, 35–42. [Google Scholar]
- Taylor, T.M.C. The pea family (leguminosae) of British columbia. BC Prov. Mus. 1974, 32, 25. [Google Scholar]
- Ducousso-Détrez, A.; Fontaine, J.; Lounès-Hadj Sahraoui, A.; Hijri, M. Diversity of Phosphate Chemical Forms in Soils and Their Contributions on Soil Microbial Community Structure Changes. Microorganisms 2022, 10, 609. [Google Scholar] [CrossRef] [PubMed]
- Richardson, R.G.; Hill, R.L. The biology of Australian weeds. 34. Ulex europaeus L. Plant Prot. Q. 1998, 13, 46–58. [Google Scholar]
- López-Hortas, L.; Conde, E.; Falqué, E.; Domínguez, H. Flowers of Ulex europaeus L.—Comparing two extraction techniques (MHG and distillation). Comptes Rendus Chim. 2016, 19, 718–725. [Google Scholar] [CrossRef]
- Meeklah, A.N.Z. Controlling gorse in Otago and Southland. J. Exp. Agric. 1979, 139, 51, 53. [Google Scholar]
- Spínola, V.; Llorent-Martínez, E.J.; Gouveia-Figueira, S.; Castilho, P.C. Ulex europaeus: From noxious weed to source of valuable isoflavones and flavanones. Ind. Crops Prod. 2016, 90, 9–27. [Google Scholar] [CrossRef]
- Richardson, B.; Vanner, A.; Ray, J.; Davenhill, N.; Coker, G.N.Z.J. Mechanisms of Pinus Radiata Growth Suppression by Some Common Forest Weed Species. N. Z. J. For. Sci. 1996, 26, 421–437. [Google Scholar]
- Roberts, J.; Florentine, S. Biology, distribution and control of the invasive species Ulex europaeus (Gorse): A global synthesis of current and future management challenges and research gaps. Weed Res. 2021, 61, 272–281. [Google Scholar] [CrossRef]
- Zielke, K.; Boateng, J.; Caldicott, N.; Williams, H. Broom and gorse: A forestry perspective problem analysis. British Columbia Ministry of Forests. Queen’s Print. 1992, 20, 5. [Google Scholar]
- Dancer, W.S.; Handley, J.F.; Bradshaw, A.D. Nitrogen accumulation in kaolin mining wastes in Cornwall. I. Natural communities. Plant Soil 1977, 48, 163–167. [Google Scholar] [CrossRef]
- Hackwell, K. Gorse: A helpful nurse plant for regenerating native forest. For. Bird 1980, 13, 25–28. [Google Scholar]
- Huryn, V.M.B.; Moller, H. An assessment of the contribution of honey bees (Apis mellifera) to weed reproduction in New Zealand protected natural areas. N. Z. J. Ecol. 1995, 19, 111–122. [Google Scholar]
- Moar, N.T. Pollen analysis of New Zealand honey. N. Z. J. Agric. Res. 1985, 28, 39–70. [Google Scholar] [CrossRef]
- Clements, D.R.; Peterson, D.J.; Prasad, R. The biology of Canadian weeds 112. Ulex europaeus L. Can. J. Plant Sci. 2001, 81, 325–337. [Google Scholar] [CrossRef]
- Pande, R.S.; Kemp, P.D.; Hodgson, J. Preference of goats and sheep for browse species under field conditions. N. Z. J. Agric. Res. 2002, 45, 97–102. [Google Scholar] [CrossRef]
- Lambert, M.G.; Jung, G.A.; Harpster, H.W.; Lee, J. Forage shrubs in North Island hill country 4. Chemical composition and conclusions. N. Z. J. Agric. Res. 1989, 32, 499–506. [Google Scholar]
- Broadfield, N.; McHenry, M.T. A World of Gorse: Persistence of Ulex europaeus in Managed Landscapes. Plants 2019, 8, 523. [Google Scholar] [CrossRef]
- Krause, M.A.; Beck, A.C.; Dent, J.B. Control of Gorse in Hill Country: An Economic Assessment of Chemical and biological methods. Agric. Syst. 1988, 26, 35–49. [Google Scholar] [CrossRef]
- Egunjobi, J.K.J. Ecological differenciation patterns in species groups in area of Swiss flora. Ecology 1971, 59, 31–38. [Google Scholar] [CrossRef]
- Nunez-Regueira, L.; Rodrigues Anon, J.A.; Castinersa, J.P. Calorific values and flammability of forest species in Galicia. Coastal and hillside zones. Bioresour. Technol. 1996, 57, 283–289. [Google Scholar] [CrossRef]
- Veitch, N.C. Isoflavonoids of the leguminosae. Nat. Prod. Rep. 2007, 24, 417–464. [Google Scholar] [CrossRef]
- Fisher, R.F.; Long, S.R. Rhizobium-plant signal exchange. Nature 1992, 387, 655–660. [Google Scholar] [CrossRef] [PubMed]
- Morris, P.F.; Bone, E.; Tyler, B.M. Chemotropic and Contact Responses of Phytophthora Sojae Hyphae to Soybean Isoflavonoids and Artificial Substrates. Plant Physiol. 1998, 117, 1171–1178. [Google Scholar] [CrossRef] [PubMed]
- Adlercreutz, H.; Mazur, W. Phyto-oestrogens and Western Diseases. Ann. Med. 1997, 29, 95–120. [Google Scholar]
- Dixon, R.A. Comprehensive Natural Products Chemistry; Elsevier: Amsterdam, The Netherlands, 1999; Volume 1, pp. 773–823. [Google Scholar]
- Fritz, W.A.; Coward, L.; Wang, J.; Lamartiniere, C.A. Dietary genistein: Perinatal mammary cancer prevention, bioavailability and toxicity testing in the rat. Carcinogenesis 1998, 19, 2151–2158. [Google Scholar] [CrossRef] [PubMed]
- Ma´ximo, P.; Lourenc, O.A.; Feio, S.S.; Roseiro, J.C.Z. Flavonoids from Ulex Species. Z. Fur Nat. C 2000, 55, 506–509. [Google Scholar] [CrossRef][Green Version]
- Maximo, P.; Lourencüo, A.; Feio, S.S.; Roseiro, J.C. Flavonoids from Ulex airensis and Ulex europaeus ssp. Europaeus. J. Nat. Prod. 2002, 65, 175–178. [Google Scholar] [CrossRef]
- Galati, G.; Moridani, M.Y.; Chan, T.S.; Brien, P.J.O. Peroxidative metabolism of apigenin and naringenin versus luteolin and quercetin: Glutathione oxidation and conjugation. Free Radic. Biol. Med. 2001, 30, 370–382. [Google Scholar] [CrossRef]
- El-Hawiet, A.M.; Toaima, S.M.; Asaad, A.M.; Radwan, M.M.; El-Sebakhy, N.A. Chemical constituents from Astragalus annularis Forssk. and A. trimestris L., Fabaceae. Rev. Bras. Farm. 2010, 20, 860–865. [Google Scholar] [CrossRef]
- Russell, G.B.; Sirat, H.M.; Sutherland, O.R.W. Isoflavonesfrom root bark of gorse. Phytochemistry 1990, 29, 1287–1291. [Google Scholar] [CrossRef]
- Ai, J.; Tschirner, U. Fibre length and pulping characteristics of switch grass, Alfalfa stems, hybipolpar and willow biomasses. Bioresour. Technol. 2010, 101, 215–221. [Google Scholar] [CrossRef]
- Tamura, S.; Chang, C.F.; Suzuki, A.; Kumai, S. Chemical Studies on “Clover Sickness”: Part I. Isolation and Structural Elucidation of Two New Isoflavonoids in Red Clover. Agric. Biol. Chem. 1969, 33, 391–397. [Google Scholar] [CrossRef]
















| Name | Formula | Retention Time | Relative Proportion | m/z |
|---|---|---|---|---|
| Lauric acid | C12:0 | 9.14 | 6.1 | 200 |
| Myristic acid | C14:0 | 10.38 | 11.3 | 228 |
| Palmitic acid | C16:0 | 11.52 | 20.9 | 256 |
| Palmitoleic acid | C16:1 | 12.08 | 0.77 | 254 |
| Stearic acid | C18:0 | 12.56 | 5.4 | 284 |
| Linoleic acid | C18:2 | 12.41 | 45.5 | 280 |
| α-linolenic acid | C18:3 | 12.45 | 6.93 | 278 |
| Eicosanoic acid | C20:0 | 13.52 | 2.23 | 312 |
| docsanoic acid | C22:0 | 14.53 | 1.6 | 340 |
| Tetracosanoil acid | C24:0 | 15.86 | 0.4 | 368 |
| Name | Formula | Retention Time | Relative Proportion | m/z |
|---|---|---|---|---|
| Palmitic acid | C16:0 | 11.52 | 9.44 | 256 |
| Palmitoleic acid | C14:0 | 9.22 | 1.47 | 254 |
| Lauric acid | C12:0 | 6.13 | 31.65 | 270 |
| α-linolenic acid | C18:3 | 12.45 | 41.75 | 278 |
| Stearic acid | C18:0 | 12.07 | 0.741 | 284 |
| Oleic | C18:1 | 12.22 | 1.477 | 282 |
| Linoleic acid | C18:2 | 12.40 | 2.954 | 280 |
| Arachidic acid | C20:0 | 13.89 | 0.922 | 312 |
| H/C NO | 1H-NMR * (δ) | 13C-NMR * (δ) | Multiplicity |
|---|---|---|---|
| C1 | 5.07 (1 H, d, J 7.2 Hz, H-1′) | 100.4 | CH |
| C2 | 3.58–3.47 (3 H, m, H-′2-′5-′4) | 74.73 | CH |
| C3 | 3.35 (1 H, m, H-′3) | 76.48 | CH |
| C4 | * | 71.36 | CH |
| C5 | * | 78.48 | CH |
| C6 | 3.70 (1 H, dd, J 12.1, 6.2, H-6′a) 3.70 (1 H, dd, J 12.1, 6.2, H-6′b) | 62.51 | CH2 |
| C7 | - | 163.52 | C |
| C8 | 6.79 (1 H, d, J 1.9, H-8) | 98.35 | CH |
| C9 | - | 162.52 | C |
| C10 | - | 111.12 | C |
| C11 | - | 158.54 | C |
| C12 | 6.71 (1 H, d, J 1.8, H-′12) | 97.35 | CH |
| C13 | - | 177.62 | C |
| C14 | - | 124.25 | C |
| C15 | 8.01 (1 H, s, H-′15) | 152.83 | CH |
| C16 | - | 127.09 | C |
| C17–21 | 7.34 (2 H, d, J 8.5 Hz) | 131.55 | CH,CH |
| C18–20 | 6.82 (2 H, d, J 8.5 Hz) | 116.07 | CH,CH |
| C19 | - | 160.82 | C |
| −OCH3 | 3.98–3.87 (3 H, m) | 56.7 | CH3 |
Publisher’s Note: MDPI stays neutral with regard to jurisdictional claims in published maps and institutional affiliations. |
© 2022 by the authors. Licensee MDPI, Basel, Switzerland. This article is an open access article distributed under the terms and conditions of the Creative Commons Attribution (CC BY) license (https://creativecommons.org/licenses/by/4.0/).
Share and Cite
Mustafa, H.H.; Elahmar, M.A.I.; Hameed, R.T.; Alsultan, M.; Nesseef, L.; Swiegers, G.F. Extraction and Identification of Effective Compounds from Natural Plants. J. Compos. Sci. 2022, 6, 149. https://doi.org/10.3390/jcs6050149
Mustafa HH, Elahmar MAI, Hameed RT, Alsultan M, Nesseef L, Swiegers GF. Extraction and Identification of Effective Compounds from Natural Plants. Journal of Composites Science. 2022; 6(5):149. https://doi.org/10.3390/jcs6050149
Chicago/Turabian StyleMustafa, Hussein Habeeb, Mohamed A. Ibrahim Elahmar, Rwoaa Tareq Hameed, Mohammed Alsultan, Layth Nesseef, and Gerhard F. Swiegers. 2022. "Extraction and Identification of Effective Compounds from Natural Plants" Journal of Composites Science 6, no. 5: 149. https://doi.org/10.3390/jcs6050149
APA StyleMustafa, H. H., Elahmar, M. A. I., Hameed, R. T., Alsultan, M., Nesseef, L., & Swiegers, G. F. (2022). Extraction and Identification of Effective Compounds from Natural Plants. Journal of Composites Science, 6(5), 149. https://doi.org/10.3390/jcs6050149

