Fatigue Enhancement Mechanism and Process Optimization of the Direct Mandrel Cold Expansion Technique on Lightweight and High-Strength Alloys
Abstract
1. Introduction
2. Experimental Setup and Numerical Modeling
3. Fatigue Enhancement Mechanism of the DMCE Process
3.1. Screening of Significant Parameters
3.2. Influence of Significant Parameters on the Surface Integrity of the Hole Wall
3.2.1. Influence on the Tangential Residual Stress of the Hole Wall
3.2.2. Influence on the Radial Plastic Deformation of the Hole Wall
3.2.3. Influence on the Surface Morphology of the Hole Wall
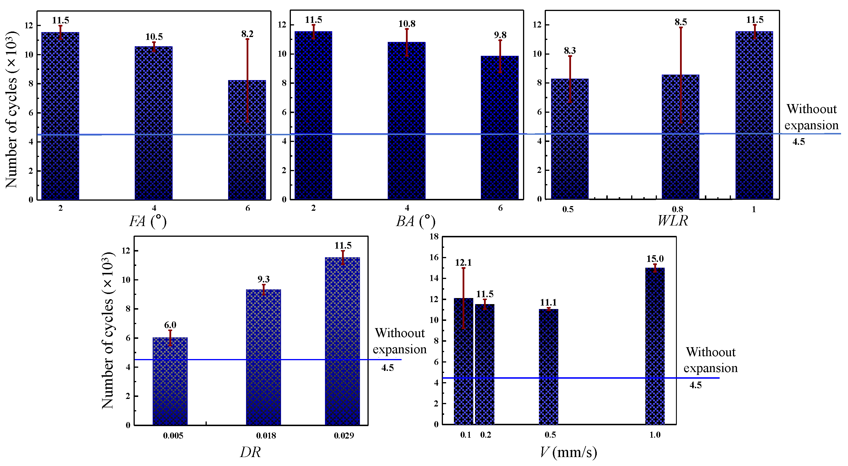
3.3. Influence of Significant Parameters on the Fatigue Life of Hole-Involved Components
4. Fatigue Lifetime Prediction and Optimization of the DMCE Process
5. Conclusions
- (1)
- Numerical models for the DMCE process were established with 12.9% and 36.9% relative errors for the mean tangential residual stress prediction of Al and Ti hole walls, and 9.98% and 14.8% relative errors for the mean radial plastic deformation prediction of Al and Ti hole walls. The numerical simulations were then performed to screen out five significant parameters (i.e., the mandrel front cone angle, the mandrel back cone angle, the mandrel segment length, the interference magnitude and the extrusion velocity) from eleven independent parameters and determine the limitation law of the other six parameters.
- (2)
- For both Al and Ti alloys, the influences of the DMCE parameters on the mean tangential residual stress of the hole wall are similar. The increase in the front cone angle increases the expansion rate of materials, resulting in less dislocation accumulation and, therefore, smaller compressive residual stress. The increase in the back cone angle increases the recovery rate of the material, resulting in more stress relief and, therefore, smaller compressive residual stress. The increase in the expansion segment length increases the holding time of material deformation, resulting in more dislocation accumulation and, therefore, larger compressive residual stress. The increase in the interference magnitude increases the plastic deformation degree, resulting in more dislocation accumulation and, therefore, larger compressive residual stress.
- (3)
- For the Al alloy, the increase in the front cone angle increases the expansion rate of the hole wall material, resulting in a more significant flow inertial effect and, therefore, larger radial plastic deformation. The increase in the back cone angle increases the recovery rate of hole wall material, resulting in more elastic recovery and, therefore, smaller plastic deformation. The increase in the expansion segment length increases the dislocation accumulation and, therefore, results in larger plastic deformation. The increase in the interference magnitude directly increases the overall plastic deformations. Comparatively, the cone angles and segment length show a slight influence on the hole wall of the Ti alloy due to its weaker inertial effect.
- (4)
- After expansion, all the Ti hole wall surfaces still meet the roughness requirement (Ra0.8) while some of the Al hole wall surfaces do not. For the Al alloy, a decrease in the cone angles and an increase in the cone segment length increase the contact time between the hole wall and mandrel, resulting in more scratches and worse surface quality. An increase in the interference magnitude and extrusion velocity decreases the deformation uniformity and, therefore, results in worse surface quality. Comparatively, the DMCE parameters show a slight influence on the surface morphology of the Ti hole wall due to its greater hardness.
- (5)
- The fatigue lifetimes of two-hole-involved Al and Ti specimens are significantly improved after DMCE processes. The fatigue enhancement regularity is basically the same with the regularity of compressive residual stress improvement. However, the fatigue enhancement effect shows a step-like decline when the surface chipping appears. Based on the experimental results, the fatigue life prediction models for the two-hole-involved Al and Ti specimens were generated with, respectively, 13.5% and 33.9% mean prediction errors. Furthermore, the optimal DMCE parameters for Al7075 and TB6 hole strengthening were achieved, which induced 374 MPa and 690 MPa compressive residual stresses on the walls of the Al and Ti holes. The two-hole-involved Al specimens after the DMCE process with optimal parameters performed an average of 15 × 103 cycles before failure under the fatigue condition with a 0.1 stress ratio and a 178 MPa maximum load, which means 3.33 times of lifetime as compared to the raw specimens without expansion. The two-hole-involved Ti specimen after the DMCE process with the optimal parameters performed 313.6 × 103 cycles under the fatigue condition with a 0.1 stress ratio and a 300 MPa maximum load, which means 5.12 times of lifetime as compared to the raw specimens without expansion.
Author Contributions
Funding
Data Availability Statement
Conflicts of Interest
References
- Shao, L.; Li, W.; Li, D.; Xie, G.; Zhang, C.; Zhang, C.; Huang, J. A Review on Combustion Behavior and Mechanism of Ti Alloys for Advanced Aero-Engine. J. Alloys Compd. 2023, 960, 170584. [Google Scholar] [CrossRef]
- Nagalingam, A.P.; Gopasetty, S.K.; Wang, J.; Yuvaraj, H.K.; Gopinath, A.; Yeo, S.H. Comparative Fatigue Analysis of Wrought and Laser Powder Bed Fused Ti-6Al-4V for Aerospace Repairs: Academic and Industrial Insights. Int. J. Fatigue 2023, 176, 107879. [Google Scholar] [CrossRef]
- Zhao, Q. High-Strength Titanium Alloys for Aerospace Engineering Applications: A Review on Melting-Forging Process. Mater. Sci. 2022, 845, 143260. [Google Scholar] [CrossRef]
- Madhavi, Y.; Rama Krishna, L.; Narasaiah, N. Corrosion-Fatigue Performance of Hard Anodized and MAO-Coated 2024-T3 and 7075-T6 Aerospace Al Alloys. Trans. Indian Inst. Met. 2021, 74, 2231–2243. [Google Scholar] [CrossRef]
- Li, S.; Yue, X.; Li, Q.; Peng, H.; Dong, B.; Liu, T.; Yang, H.; Fan, J.; Shu, S.; Qiu, F.; et al. Development and Applications of Aluminum Alloys for Aerospace Industry. J. Mater. Res. Technol. 2023, 27, 944–983. [Google Scholar] [CrossRef]
- Arhumah, Z.; Pham, X.-T. Microstructure and Thermal Mechanical Behavior of Arc-Welded Aluminum Alloy 6061-T6. J. Manuf. Mater. Process. 2024, 8, 110. [Google Scholar] [CrossRef]
- Li, X.; Zhao, P.; Niu, Y.; Guan, C. Influence of Finish Milling Parameters on Machined Surface Integrity and Fatigue Behavior of Ti1023 Workpiece. Int. J. Adv. Manuf. Technol. 2017, 91, 1297–1307. [Google Scholar] [CrossRef]
- Liu, J.; Sun, J.; Zaman, U.K.U.; Chen, W. Influence of Wear and Tool Geometry on the Chatter, Cutting Force, and Surface Integrity of TB6 Titanium Alloy with Solid Carbide Cutters of Different Geometry. J. Mech. Eng.-Stroj. Vestn. 2020, 66, 709–723. [Google Scholar] [CrossRef]
- Peng, L.; Wang, Z.; Sun, H.; Luo, T.; Li, X.; Geng, J.; Xia, P.; Li, Y.; Li, K.; Chen, D.; et al. Suppress Defect-Induced Plastic Instability to Achieve Superior Strength-Ductility Combination of Spray Formed 7050 Al Alloy. Mater. Des. 2024, 247, 113421. [Google Scholar] [CrossRef]
- De Salvo, J.G.J.; Afonso, C.R.M. Fatigue Strength and Microstructure Evaluation of Al 7050 Alloy Wires Recycled by Spray Forming, Extrusion and Rotary Swaging. Trans. Nonferrous Met. Soc. China 2020, 30, 3195–3209. [Google Scholar] [CrossRef]
- Deng, Z.; Sun, L.; Hao, F.; Zhang, B.; He, Y. An Improved Posture Evaluation Method for Cylindrical Intersecting Holes on Large Aerospace Components Based on Monocular Vision. Meas. Sci. Technol. 2022, 33, 055016. [Google Scholar] [CrossRef]
- Aamir, M. A Review: Drilling Performance and Hole Quality of Aluminium Alloys for Aerospace Applications. J. Mater. Res. Technol. 2020, 9, 12484–12500. [Google Scholar] [CrossRef]
- Fan, Y.; Huang, J.; Zhang, Y.; Huang, N.; Bi, Q.; Wang, Y. Improvement in Hole-Pose Error for Aerospace Drilling Applications Based on Hermite Surface Reconstruction and Manifold Error Similarity. Precis. Eng. 2023, 81, 22–35. [Google Scholar] [CrossRef]
- Liu, J.; Lin, X.; Feng, F.; Wang, Z.; Zhao, Z.; Bai, Z.; Zhang, J.; Feng, P.; Zhang, X. Study on the Surface Defect of Aluminum Alloy Hole Burnishing. Tribol. Int. 2023, 184, 108490. [Google Scholar] [CrossRef]
- Chen, Y.; Pan, X.; Wang, K.; Wang, F. Effects of Rivet Hole Arrangement on Fatigue Performance of Thin Sheets for Fuselage: DIC and Numerical Calculation. Thin-Walled Struct. 2022, 170, 108550. [Google Scholar] [CrossRef]
- Zhao, T. Creep-Fatigue Rupture Mechanism and Microstructure Evolution around Film-Cooling Holes in Nickel-Based DS Superalloy Specimen. Intermetallics 2021, 139, 107359. [Google Scholar] [CrossRef]
- Su, R.; Li, J.; Liu, W.; Xu, C.; Gao, L.; Liang, X.; Wu, D.; Huang, X.; Dong, H.; Ma, H. Investigation on Fatigue Failure of Split-Sleeve Cold Expansion Holes of 7075-T651 Aluminum Alloy. Mater. Today Commun. 2023, 35, 106290. [Google Scholar] [CrossRef]
- Wang, X.; Xu, C.; Chen, X.; Hu, D.; Hu, B.; Hu, R.; Gu, Y.; Tang, Z. Effect of Cold Expansion on High-Temperature Low-Cycle Fatigue Performance of the Nickel-Based Superalloy Hole Structure. Int. J. Fatigue 2021, 151, 106377. [Google Scholar] [CrossRef]
- Liu, J.; Shao, X.J.; Liu, Y.S.; Yue, Z.F. Effect of Cold Expansion on Fatigue Performance of Open Holes. Mater. Sci. Eng. A 2008, 477, 271–276. [Google Scholar] [CrossRef]
- Feng, F.; Zhao, Z.; Wang, Z.; Li, B.; Lin, X.; Zhang, J.; Feng, P.; Zhang, X. A Calculation Method for Residual Stress of Cold Expanded Hole Based on Measured Springback. Measurement 2023, 218, 113262. [Google Scholar] [CrossRef]
- Wang, C.; Zou, F.; Zhou, E.; Fan, Z.; Ge, E.; An, Q.; Ming, W.; Chen, M. Effect of Split Sleeve Cold Expansion on Microstructure and Fatigue Performance of 7075-T6 Aluminum Alloy Holes. Int. J. Fatigue 2023, 167, 107339. [Google Scholar] [CrossRef]
- Dang, Z.; Peng, Y.; Yang, R.; Yan, L.; Gan, X.; Ge, D. Experimental Study on the Effect of Reaming on the Fatigue Life of Split-Sleeve Cold-Expanded Ti–6Al–4V Alloy Components. Int. J. Fatigue 2024, 188, 108521. [Google Scholar] [CrossRef]
- Akkurt, A. Comparison of Roller Burnishing Method with Other Hole Surface Finishing Processes Applied on AISI 304 Austenitic Stainless Steel. J. Mater. Eng. Perform. 2011, 20, 960–968. [Google Scholar] [CrossRef]
- Nguyen, T.-T. Multi-Response Performance Optimization of Burnishing Operation for Improving Hole Quality. J. Braz. Soc. Mech. Sci. Eng. 2021, 43, 560. [Google Scholar] [CrossRef]
- Zheng, G.; Cao, Z.; Zuo, Y. A Dynamic Cold Expansion Method to Improve Fatigue Performance of Holed Structures Based on Electromagnetic Load. Int. J. Fatigue 2021, 148, 106253. [Google Scholar] [CrossRef]
- Geng, H.; Xu, X.; Cao, Q.; Lai, Z.; Li, L. Improving the Fatigue Performance of AZ31 Sheet with Hole via Electromagnetic Cold Expansion Process. Int. J. Adv. Manuf. Technol. 2022, 120, 5057–5071. [Google Scholar] [CrossRef]
- Zheng, G.; Cao, Z.; Zuo, Y. Fatigue Life Enhancement Mechanism and Lifetime Prediction of AA6061-T6 Open-Holed Sheet Treated by Electromagnetic Driving Dynamic Cold Expansion. Mater. Today Commun. 2022, 33, 104841. [Google Scholar] [CrossRef]
- Andrew, D.L.; Han, H.; Ocampo, J.; Alaeddini, A.; Thomsen, M. Characterization of Residual Stresses from Cold Expansion Using Spatial Statistics. Fatigue Fract. Eng. Mat. Struct. 2021, 44, 101–114. [Google Scholar] [CrossRef]
- Zheng, G.; Cao, Z.; Talemi, R. Investigation on Fatigue Performance of Open-hole Plates Treated by Dynamic Cold Expansion under Large Expansion Size Based on Electromagnetic Loading. Fatigue Fract. Eng. Mat. Struct. 2023, 46, 4178–4198. [Google Scholar] [CrossRef]
- Cao, X.; Zhang, P.; Liu, S.; Lei, X.-L.; Wang, R.-Z.; Zhang, X.-C.; Tu, S.-T. A Novel Hole Cold-Expansion Method and Its Effect on Surface Integrity of Nickel-Based Superalloy. J. Mater. Sci. Technol. 2020, 59, 129–137. [Google Scholar] [CrossRef]
- Liu, F.; Su, H.; Liang, Y.; Xu, J. Fatigue Performance on 7050 Aluminum Alloy by Using Ultrasonic Vibration-Assisted Hole Expansion Strengthening. Int. J. Adv. Manuf. Technol. 2023, 128, 5153–5165. [Google Scholar] [CrossRef]
- Guan, M.; Xue, Q.; Zhuang, Z.; Hu, Q.; Qi, H. Experimental Study of Reaming Sizes on Fatigue Life of Cold-Expanded 7050-T7451 Aluminum Alloy. Crystals 2024, 14, 803. [Google Scholar] [CrossRef]
- Li, Q.; Xue, Q.; Hu, Q.; Song, T.; Wang, Y.; Li, S. Cold Expansion Strengthening of 7050 Aluminum Alloy Hole: Structure, Residual Stress, and Fatigue Life. Int. J. Aerosp. Eng. 2022, 2022, 4057898. [Google Scholar] [CrossRef]
- Fu, J.; Zhang, T.; Wang, C.; Chen, C.; Zhang, T.; He, Y. Effect of Cold Expansion on the Fatigue Life of Multi-Hole 7075-T6 Aluminum Alloy Structures under the Pre-Corrosion Condition. Eng. Fail. Anal. 2024, 165, 108812. [Google Scholar] [CrossRef]
- Giglio, M.; Lodi, M. Optimization of a Cold-Working Process for Increasing Fatigue Life. Int. J. Fatigue 2009, 31, 1978–1995. [Google Scholar] [CrossRef]
- Liu, Y.; Liu, J.; Shao, X.-J. Study on the Residual Stress Fields, Surface Quality, and Fatigue Performance of Cold Expansion Hole. Mater. Manuf. Process. 2011, 26, 294–303. [Google Scholar] [CrossRef]
- Yaghoubi, S.; Shirazi, A. Effects of Mandrel Velocity on Residual Stresses Created in Cold Expansion Process of Adjacent Holes for AA6016-T6 and AA1100 Aluminum Alloys. Sci. Rep. 2024, 14, 27087. [Google Scholar] [CrossRef]
- Seifi, R.; Zolfaghari, M.H.; Shirazi, A. Experimental and Numerical Study of Residual Stresses Caused by Cold Expansion of Adjacent Holes. Meccanica 2014, 49, 687–706. [Google Scholar] [CrossRef]
- Chakherlou, T.N.; Vogwell, J. The Effect of Cold Expansion on Improving the Fatigue Life of Fastener Holes. Eng. Fail. Anal. 2003, 10, 13–24. [Google Scholar] [CrossRef]
- Shuai, H.; Youli, Z.; Zhihai, C.; Yanli, W.; Yongheng, N.; Xiaokun, D. Effect of Hole Cold Expansion on Fatigue Performance of Corroded 7B04-T6 Aluminium Alloy. Int. J. Fatigue 2019, 126, 210–220. [Google Scholar] [CrossRef]
- Seifi, R. Total Fatigue Lives, Crack Growth Paths and Cycles in Cold Expanded Adjacent Holes. Int. J. Fatigue 2018, 113, 69–77. [Google Scholar] [CrossRef]















| Element | Al | Zn | Mg | Cu | Zr | Fe | Si | Mn | Cr | Ti |
|---|---|---|---|---|---|---|---|---|---|---|
| wt.% | Balance | 5.7–6.7 | 1.9–2.6 | 2.0–2.6 | 0.08–0.15 | ≤0.15 | ≤0.12 | ≤0.10 | ≤0.04 | ≤0.06 |
| Element | Ti | V | Fe | Al | O | C | N | H |
|---|---|---|---|---|---|---|---|---|
| wt.% | Balance | 9.0–11.0 | 1.6–2.2 | 2.6–3.4 | ≤0.13 | ≤0.05 | ≤0.05 | ≤0.015 |
| Parameter | Stress Ratio | Maximum Load (MPa) | Minimum Load (MPa) |
|---|---|---|---|
| Al7050 | 0.1 | 178 | 17.8 |
| TB6 | 0.1 | 300 | 30 |
| Type | Independent Parameter | Symbol |
|---|---|---|
| Mandrel structural parameter | Front cone angle | FA |
| Back cone angle | BA | |
| Fillet radius of front cone segment | RA | |
| Fillet radius between expansion-front cone segments | RB | |
| Fillet radius between expansion-back cone segments | RC | |
| Fillet radius of back cone segment | RD | |
| Relative structural parameter | Absolute/relative magnitude of interference | D/DR |
| Absolute/relative length of expansion segment | WL/WLR | |
| Absolute/relative length of front cone segment | FL/FLR | |
| Absolute/relative length of back cone segment | BL/BLR | |
| Extrusion parameter | Extrusion velocity | V |
| Parameter | Elastic Modulus (GPa) | Poisson Ratio | Damage Strain | Friction Coefficient |
|---|---|---|---|---|
| Al7050 | 127.160 | 0.33 | 0.313 | 0.180 |
| TB6 | 147.318 | 0.3 | 0.184 | 0.369 |
| Parameter | FA (°) | BA (°) | WLR | FLR | BLR | RA (mm) |
|---|---|---|---|---|---|---|
| Al7050 | 2 | 2 | 1 | 1 | 1 | 0.1 |
| TB6 | 2 | 2 | 1 | 1 | 1 | 0.1 |
| Al7050 | 0.1 | 0.1 | 0.1 | 0.2 | 0.3 | |
| TB6 | 0.1 | 0.1 | 0.1 | 0.2 | 0.23 | |
| Parameter | FA (°) | BA (°) | WLR | FLR | BLR |
|---|---|---|---|---|---|
| Value | 2~8 | 2~8 | 0.2~1 | 0.2~1 | 0.2~1 |
| Value | 0.1~0.5 | 0.1~0.5 | 0.1~0.5 | 0.1~0.5 |
| Parameter | FL (mm) | BL (mm) | RA (mm) | RB (mm) | RC (mm) | RD (mm) |
|---|---|---|---|---|---|---|
| Al7050 | 9 | 2 | 0.1 | 0.1 | 0.1 | 0.1 |
| TB6 | 8 | 3 | 0.1 | 0.1 | 0.1 | 0.1 |
| No. | FA (°) | BA (°) | WLR | DR (Nominal) | V |
|---|---|---|---|---|---|
| 1-1 | 2 | 2 | 1 | 0.03 | 0.2 |
| 1-2 | 4 | 2 | 1 | 0.03 | 0.2 |
| 1-3 | 6 | 2 | 1 | 0.03 | 0.2 |
| 1-4 | 8 | 2 | 1 | 0.03 | 0.2 |
| 2-2 | 2 | 4 | 1 | 0.03 | 0.2 |
| 2-3 | 2 | 6 | 1 | 0.03 | 0.2 |
| 2-4 | 2 | 8 | 1 | 0.03 | 0.2 |
| 3-2 | 2 | 2 | 0.2 | 0.03 | 0.2 |
| 3-3 | 2 | 2 | 0.5 | 0.03 | 0.2 |
| 3-4 | 2 | 2 | 0.8 | 0.03 | 0.2 |
| 4-2 | 2 | 2 | 1 | 0.01 | 0.2 |
| 4-3 | 2 | 2 | 1 | 0.02 | 0.2 |
| 4-4 | 2 | 2 | 1 | 0.04 | 0.2 |
| 5-2 | 2 | 2 | 1 | 0.03 | 0.1 |
| 5-3 | 2 | 2 | 1 | 0.03 | 0.5 |
| 5-4 | 2 | 2 | 1 | 0.03 | 1 |
| Parameter | FA (°) | BA (°) | WLR | DR | V | N/N0 |
|---|---|---|---|---|---|---|
| Al7050 | 2 | 2 | 1 | 0.029 | 1 | 3.33 |
| Tb6 | 2 | 2 | 1 | 0.023 | 0.2 | 5.12 |
Disclaimer/Publisher’s Note: The statements, opinions and data contained in all publications are solely those of the individual author(s) and contributor(s) and not of MDPI and/or the editor(s). MDPI and/or the editor(s) disclaim responsibility for any injury to people or property resulting from any ideas, methods, instructions or products referred to in the content. |
© 2025 by the authors. Licensee MDPI, Basel, Switzerland. This article is an open access article distributed under the terms and conditions of the Creative Commons Attribution (CC BY) license (https://creativecommons.org/licenses/by/4.0/).
Share and Cite
Ji, H.; Huang, K.; He, L.; Chen, Z.; Tang, M.; Feng, P.; Zhang, J. Fatigue Enhancement Mechanism and Process Optimization of the Direct Mandrel Cold Expansion Technique on Lightweight and High-Strength Alloys. J. Manuf. Mater. Process. 2025, 9, 81. https://doi.org/10.3390/jmmp9030081
Ji H, Huang K, He L, Chen Z, Tang M, Feng P, Zhang J. Fatigue Enhancement Mechanism and Process Optimization of the Direct Mandrel Cold Expansion Technique on Lightweight and High-Strength Alloys. Journal of Manufacturing and Materials Processing. 2025; 9(3):81. https://doi.org/10.3390/jmmp9030081
Chicago/Turabian StyleJi, Hansong, Kanghua Huang, Li He, Zefeng Chen, Mingjun Tang, Pingfa Feng, and Jianfu Zhang. 2025. "Fatigue Enhancement Mechanism and Process Optimization of the Direct Mandrel Cold Expansion Technique on Lightweight and High-Strength Alloys" Journal of Manufacturing and Materials Processing 9, no. 3: 81. https://doi.org/10.3390/jmmp9030081
APA StyleJi, H., Huang, K., He, L., Chen, Z., Tang, M., Feng, P., & Zhang, J. (2025). Fatigue Enhancement Mechanism and Process Optimization of the Direct Mandrel Cold Expansion Technique on Lightweight and High-Strength Alloys. Journal of Manufacturing and Materials Processing, 9(3), 81. https://doi.org/10.3390/jmmp9030081

