Next Article in Journal
Permea-Design: An Innovative Tool for Generating Triply Periodic Minimal Surface Scaffolds with Tailored Permeability
Previous Article in Journal
Additive Manufacturing Applications in Mission-Critical Operations: A Review
 
 
Font Type:
Arial Georgia Verdana
Font Size:
Aa Aa Aa
Line Spacing:
Column Width:
Background:
Article

Transforming Burnishing Techniques: A Novel Method to Enhance Efficiency and Surface Quality Through Tool Feed Variation

by
Frezgi Tesfom Kebede
1,2,* and
Csaba Felho
2
1
Department of Mechanical Engineering, Mai Nefhi College of Engineering and Technology, Asmara 291, Eritrea
2
Institute of Manufacturing Science, University of Miskolc, H-3515 Miskolc, Hungary
*
Author to whom correspondence should be addressed.
J. Manuf. Mater. Process. 2025, 9(3), 71; https://doi.org/10.3390/jmmp9030071
Submission received: 16 January 2025 / Revised: 18 February 2025 / Accepted: 19 February 2025 / Published: 22 February 2025

Abstract

Slide burnishing is a non-material-removal process that improves surface finish by plastically deforming peaks into valleys using a spherical hard tool. Conventionally, multiple passes were applied with the same setup to address residual peaks, even though the first pass achieves most of the deformation. Each pass consumes equal time and energy unless parameters like feed or force are adjusted, and changing these parameters requires another cycle of passes. This repetitive approach leads to inefficiencies in time and energy, highlighting the need for different approaches to reduce redundancy while improving surface integrity. This experiment aims to change these processes by changing the feed after each pass to help the tool follow a different path than the first round. Four levels of tool feed with three levels of force and three passes were tested in nine runs that required 27 runs in the conventional method for comparison and were used to burnish the face-milled C45 steel. The new method enhanced the initial surface with up to a 66.6% decrease in Sq, greater than by the old method, and up to 69.3% in Ssk. The new method showed more steady and predictable changes of skewness than the old method during parameter changes. The old method performed better in reducing kurtosis levels when a higher number of passes (three and four) were used. These results demonstrate significant improvement over the traditional techniques, paving the way for innovative advancements and further research in the field.

1. Introduction

With the ever-increasing demand for smoother surfaces for critical engineering products in aeronautical, automotive, biomedical, marine, and other industries, a finishing process that can address it in an improved way is always sought. Environmentally friendly slide diamond burnishing with its chip-less, less or no cooling requirement, easy technique, and quick method is one of the available options. Roughness reduction and mechanical and metallurgical properties improvement by plastically deforming the surface asperities using a hard spherical sliding tool are its peculiar characteristics. Studies on the effect of control parameters dominated the research on the process without much attention being paid to the procedure or method to apply them for enhanced output. The width of the affected zone by the burnishing tool to create the required deformation is small when compared with the flatness or cylindricity of the workpiece. For this and other reasons, [1] report in their review paper, numerous researchers considered cylindrical workpieces as rectangular blocks in their finite element analysis research works. Research conducted by [2] also discussed the elastoplastic behavior of burnished materials caused by feed width. To explore various perspectives, literature on both surfaces are considered in this section.
The development of the burnishing process in terms of tool design, tool material variety, tool geometry, process application area, and technological accessories has been part of the journey since David A. Wallace announced his burnishing apparatus patent in 1940 [3]. The surface response to the process geometrically, mechanically, and metallurgically has been studied experimentally, theoretically, and with the help of finite element analysis. Surface roughness, wear resistance, corrosion resistance, fatigue life, strength, and hardness are some of the most characterized and investigated properties. Vibration and ultrasonic assistance, tool design modification and its material [4] change, and product pre-heating are extensively researched topics of the process. More specifically, control parameters, especially burnishing pressure, feed, and the number of pass effect studies and their optimization on different responses, are the hot spots [5].
Numerous articles report on the design of new tools and modifications of existing designs that target process ease and better roughness achievement. Tadic B. et al. [6] reported the achievement of low Ra with a specially designed high stiffness tool and low burnishing force in their paper. Sachin B. et al. [7] introduced a novel modified tool for diamond burnishing, which enhances surface integrity characteristics of 17-4 PH stainless steel under Minimum Quantity Lubrication (MQL) conditions, achieving minimal surface roughness of 0.05 μm and maximum surface hardness of 405 HV. [8,9] Modified burnishing tools were also used to enhance surface roughness, hardness, tensile strength, and fatigue strength. All of these attempts were to enhance surface integrity with a modified burnishing tool by applying the usual burnishing procedures.
Feed, in some studies called step-over [10,11] refers to the linear movement of the burnishing tool after finishing one complete path. In relation to ball diameter, material type, and force, it is compulsory to select an optimal feed for best roughness output [2] From the tested three levels of force, feed, and ball diameter by [12], 50 N, 0.22 mm rev−1, and 13.5 mm gave the best result. Studies by [13,14] also indicate that feed significantly affects surface roughness. In addition, Karolczak P. and his team [15] showed different materials have different optimal passes for the lowest roughness. It has a direct relation with the production rate of the process by using low feed for better finishing but a slow production rate or high feed with compromised finishing for fast production. Related to the workpiece material, ball diameter, force, number of passes, and others, feed must be optimized for the best finishing output. Amdouni H. et al. [16], for example, suggested a 500 mm/min burnishing speed, 40 μm depth of penetration, and 0.2 mm feed were the optimum parameters to burnish a flat aluminum alloy. These all indicate that careful feed selection for a balanced production rate and required surface finish is compulsory.
The number of passes in the burnishing process is a critical factor that directly impacts the surface finish and mechanical properties of the workpiece. Increasing the number of passes can enhance surface smoothness, as each additional pass allows for further material displacement and consolidation, effectively reducing surface roughness and improving the part’s overall integrity. However, there is a diminishing return effect to consider; beyond a certain point, additional passes may yield minimal improvements in surface quality while unnecessarily increasing cycle time and operational costs. Experiments conducted by [17,18] on corrosion-resistant steel and Aluminum AA7075-T6 showed two passes and five passes were the maximum passes, which produced smoother surfaces. Excessive passes can lead to material displacements and shear stress, resulting in material flaking that potentially compromises the mechanical properties of the component [19]. Therefore, determining the optimal number of passes is essential for achieving the desired balance between optimal surface finish, efficiency, and preserving the material’s functional characteristics, making it a vital parameter in the burnishing process. In our new burnishing method, the feed and number of passes are a single package as feed is changed after each pass, which makes it a novel method.

2. Materials and Methods

Traditionally, burnishing has been primarily associated with cylindrical components; however, the necessity for high-quality surface finishes is equally important for critical flat components, such as those requiring high fatigue life and tight tolerances. Applying the advantages of the burnishing process to flat surfaces yields significant benefits, including enhanced surface smoothness, mechanical properties, and improved aesthetic appeal. Furthermore, the compatibility of modern CNC milling machines with burnishing techniques allows for the efficient integration of this finishing process into existing manufacturing workflows, ensuring that flat components meet the rigorous standards required in today’s high-performance applications. This approach not only enhances the overall durability and performance of flat parts but also expands the scope of burnishing beyond its traditional limits, aligning with contemporary manufacturing demands.

2.1. Materials

Medium carbon C45 steel, popular in automotive, construction, and other industries, was used in this experiment with geometrical dimensions depicted in Figure 1. It is shaped to accommodate three burnishing surfaces and holes to fix it with the force sensor. Surface numbers are coded and used in tables and graphs as N_1 to N_9 in the new method and O_1 to O_27 in the old method. G and M codes were written and applied to guide the burnishing tool along the path shown in the picture. This semi-elliptical path helps the tool to move without stopping in a parallel way in the targeted area.

2.2. Face Milling

The face-milling process was conducted using a cutting speed of 250 m/min, a feed rate of 0.25 mm/rev, and a depth of cut of 1 mm. A SANDVIK cutter with an 80 mm diameter and ATORN HC4640 octagonal inserts were used, and it was performed on a Perfect Jet MCV-M8 CNC milling machine shown in Figure 2. All of the mentioned technological parameters are applicable to all surfaces without changing, as the aim is to have the same face-milled surface for the burnishing process.

2.3. Surface Roughness Measurement

Surface roughness was measured to assess the quality of the machined surface before and after the burnishing process to compare the improvement by the proposed method and the old method. The measurement was carried out using the AltiSurf 520 surface roughness measuring device after properly cleaning dust, lubricant, and other foreign materials. It is equipped with a CL2 confocal chromatic sensor and MG140 magnifier. The ISO 25178-2:2021 [20] standard was followed while analyzing using Altimap software, with a sampling length of 4 mm and a cut-off value of 0.8 mm. Topography amplitude parameters: root mean square roughness (Sq), skewness (Ssk), and kurtosis (Sku) are studied as they can measure valleys and peaks height change and their distribution. Sq represents the root mean square (RMS) deviation of the surface heights from the mean plane. Ssk describes the asymmetry of the surface height distribution. It indicates whether the surface has more peaks or valleys. Sku measures the sharpness or flatness of the surface height distribution. It indicates the presence of extreme peaks or valleys. Sq is preferred over arithmetic average roughness Sa due to its sensitivity for outliers, which can give a much better understanding of the process.

2.4. Slide Burnishing Process

Subsequently, the slide burnishing process was performed using the same CNC machine with an R252.44-080027-1SM milling head (Ping Jeng Machinery Co., Ltd., Taichung City, Taiwan) after face-milled surfaces roughness measurement. A diamond burnishing tool with a 2.2 mm radius was used to burnish the surface, and SAE 15W-40 grade traditional oil acted as the lubricant. The process parameters and their experimental runs are listed in Table 1 and Table 2, namely the burnishing forces (70 N, 90 N, and 110 N), number of passes (2, 3, and 4 passes), and tool feed rates (0.02 mm, 0.08 mm, 0.14 mm, and 0.2 mm) used to burnish the surfaces. Since the new method combines multiple feeds to burnish each surface, f1 represents 0.02 and 0.08 mm, f2 is for 0.02, 0.08, and 0.14 mm, and f3 is for 0.02, 0.08, 0.14, and 0.2 mm. Force control was achieved using a Kistler 9257A force sensor connected to a laptop via NI compact DAQ 9171, with LabVIEW software (LabVIEW 2018 SP1, National Instruments (NI) Corporation, Austin, TX, USA) for data acquisition and control. Following the burnishing, surface roughness measurements were performed to track the change. The new method is applicable in the multi-pass burnishing process. Each applied feed by the new method is tested by the old method by keeping the other parameters the same.

2.5. New Feed Method

To achieve a smooth surface with other improved properties, the burnishing tool must be smoother and harder than the workpiece in addition to the other burnishing process entities. To burnish the whole surface, the tool is guided through the surface in a predefined path and feed rate. This complete process is insufficient for most materials to achieve the desired roughness property level. Therefore, the process is repeated numerous times per the surface integrity target. The novel feed mechanism follows the feed variation method in each repetition of the process for multi-pass burnishing process performance.
During the repetitive burnishing process with the same technological parameters, the tool follows the same path and leaves unburnished areas when the feed is higher than the ball diameter coverage area. This can also produce material overflow to the two sides, as depicted in Figure 3, which can leave a tool mark on the surface. To overcome this problem, the new method changes the feed value in each repetition to deform the newly created peaks by the tool. Either increased or decreased feed value deviates the tool center from the previous tool path center as shown in Figure 3b and its magnified view. The 3D view of face-milled, burnished surfaces by the new and old methods are presented in Figure 4a–c for visual reference. The burnished surfaces in this picture share the same burnishing force and number of passes. The area hatched by red color in the exact figure is the new deformed area by the new method that contributes to achieving a smooth surface. This phenomenon is realized when the burnishing force magnitude is strong enough to deform the surface and subsurface plastically. In practical situations, the applied force deforms not only the surface’s peaks but also the surface’s plane parts. The affected zone is dictated by the material properties and force’s magnitude [21].
With the same burnishing parameters, for example, the force, number of passes (more than two), feed, material properties, and others, enhanced surface roughness can be generated by selecting optimal possible feed combinations and applying the proposed method. This method is favorable for application in traditional and modern machine tools because it is easy to follow the steps and requires no special equipment.

2.6. Percentage of Roughness Improvement

For comparison purposes, it is important to calculate the percentage improvement in surface roughness by both burnishing processes with respect to the milled surface roughness. Equations (1) and (2) were used to calculate the percentage increase (positive) and decrease (negative) in roughness presented in Table 3.
%   c h a n g e   b y   t h e   n e w   m e t h o d = S N S M S M 100
%   c h a n g e   b y   t h e   o l d   m e t h o d = S O S M S M 100
SN and SM refer to roughness values by the new and old burnishing methods, while SM refers to roughness value after the face-milling process.

3. Results and Discussion

In this study, we investigated the effects of a novel tool feed mechanism on the slide ball burnishing process. The experimental results demonstrated a marked increase in surface quality, as evidenced by lower roughness averages than traditional methods. Topography amplitude parameters, namely root mean square roughness, skewness, and kurtosis, changed after the burnishing process in both cases by the proposed new and conventional way of burnishing. Bar graphs of these parameters were created with two x-axes to indicate feed and surface numbers. M in the second x-axis stands for the face-milled surface, but its feed is left blank as its unit is different.

3.1. Root Mean Square Roughness (Sq)

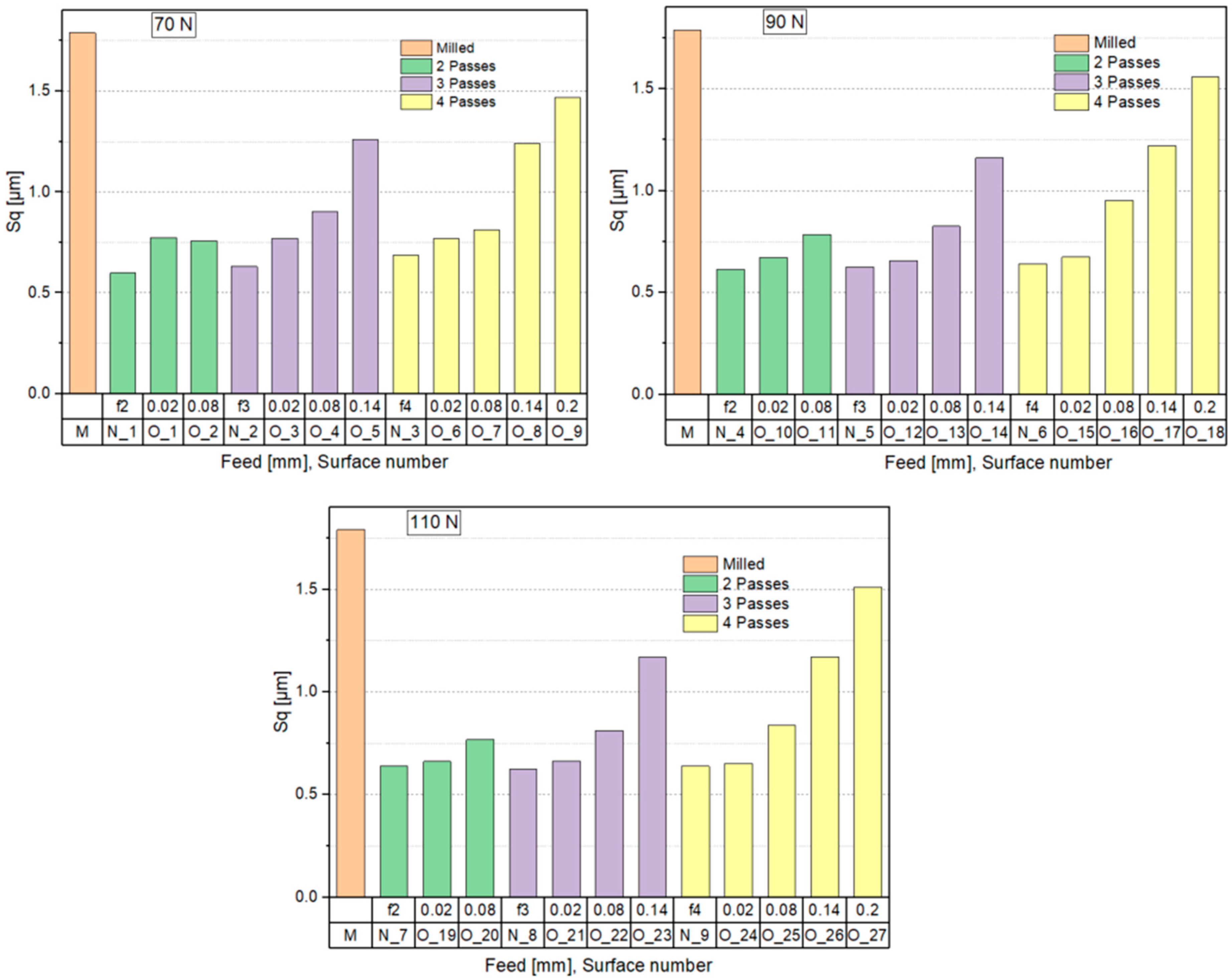
Old and new methods are grouped based on the number of passes and burnishing force as shown in Figure 5 for easy change tracking. Surfaces burnished with the new method, the first bar on the graph for each legend, are smoother than their counterpart burnished by the old method. For all burnishing forces and number of passes applied, the new method performed better. Changing the feed in every new pass/repetition deviates the tool center from the previous tool path center. This mechanism helps the tool to run over missed undeformed peaks in the first round and newly created peaks due to material overflow.
The tested feed positioned on the graph at the first row of the x-axis showed a significant roughness increase. Since they share the same trend, surfaces burnished by 90 N force are discussed here. Feed was increased in each repetition in the new method, and each used feed was applied to a new surface to be compared using the old method. In this case, the increased feed did not affect the new method’s performance, while in the old method, roughness increased with the increased feed. The amount of feed directly affects the contact area between the tool and the workpiece. A smaller feed value means the tool makes finer, more continuous contact, which generally leads to a smoother surface finish. Conversely, a larger feed value results in a coarser contact pattern, potentially leaving more surface irregularities.
Surfaces burnished with lower feed by the old method, for example, surface numbers O_12 and O_15, achieved almost the same smoother roughness as the new method. Minimum feed gives a smoother surface in most machining processes like turning and milling. Its small progress provides the tool with more contact and time to perform well; the same is true in the burnishing process. A great extent of the smoothing task is performed by the 2–4 passes [22,23]. The additional passes are responsible for the leftovers and, in some cases, for deep effects like hardness and residual stress. However, a low feed is not economical as it takes too much time to finish the process, and the smoothness achieved by the first pass is insufficient.
For 70 N force, the new method showed increasing roughness compared to each other when the number of passes increased from two to three and then to four as illustrated in Figure 6. A total of 90 N force increased roughness during two and three passes but decreased it when used with four passes. Further force increase to 110 N showed negligible roughness change for all used passes. The material responded differently when 70 N and 90 N forces were applied for different numbers of passes. Four passes generated rougher surfaces in all force levels compared to the others because the material property response to cold working by stress greater than the magnitude needed for plastic deformation is unpredictable. The purpose of increasing the pass number is to address remnants of undeformed peaks, and for that, optimal force is required. But when pass numbers are combined with different forces, they improve the roughness only up to a certain level. The roughness property settles around 0.47 μm for any change in the number of passes, and the force shows its saturation stage for further physical change.
The roughness values achieved by burnishing the surfaces with all three passes are close to each other. N_1, N_2, and N_3 are burnished by two, three, and four passes with increasing feed combination from 0.02 mm to 0.2 mm. However, their roughness values are similar, indicating a performance advantage of a lower number of passes. It also implies surface irregularities displacement to the valley at the first two rounds.

3.2. Skewness

The primary task of the burnishing process in surface roughness improvement is to smooth the surface by displacing the irregular bumps or peaks caused by machining or other surface treatments to the valley. As a result, the surface’s topography characteristics were transformed. Skewness is a response measure that reveals the distribution of peaks and valleys. A zero skewness value represents a symmetrical profile, while positive and negative skewness values represent dominant peaks and valleys, respectively.
With a milled initial surface of 0.339 skewness, the new and old burnishing, as exhibited in Figure 7, did not change the surface’s profile symmetry. The new burnishing method reduced the skewness compared to the milling process except when 70 N force was used, which increased it by a negligible value. But compared to the old burnishing method, we can generalize that it performed better in reducing it when a higher number of passes were used. During 70 N burnishing force usage by the old method, skewness was reduced for more passes. While 90 N and 110 N forces were used, increasing and decreasing trends were observed. This shows an unstable skewness level when a higher force and number of passes are used compared to the new method.
Surfaces burnished by the old method with two passes and 0.02 mm feed gave higher skewness than surfaces burnished by the new method. Additionally, the 0.02 mm feed gave the same result when three and four passes were used, except for the 90 N burnishing force. Of the nine surfaces burnished with this feed, only two experienced lower roughness than their counterpart feeds. This indicates that more passes are required to produce a symmetrical surface profile by repetitively attempting to deform the peaks plastically. From these skewness results, our new method outperformed the old method in changing topographic peaks and valleys distribution.
Surfaces number N_4 and N_2 burnished by the new method presented in Figure 8 are those that experienced the lowest and highest skewness. For all tried passes and feed combinations, all forces played a reducing role when compared to the initial values. Further increase in burnishing force reduced towards symmetrical peaks and valley distribution except for the combination of 110 N force with three and four passes. Increasing the burnishing force tends to transform the topography texture until it achieves a similar level when the maximum force is used. This graph shows a promising feature of reducing the skewness by optimizing the technological parameters. The right force magnitude with optimal feed and pass can help the tool to displace the peaks to the valleys to produce the required smoothness. Reducing the initial skewness value from 0.339 to the symmetry level indicates deforming the peaks and valleys towards the mean plane.

3.3. Kurtosis

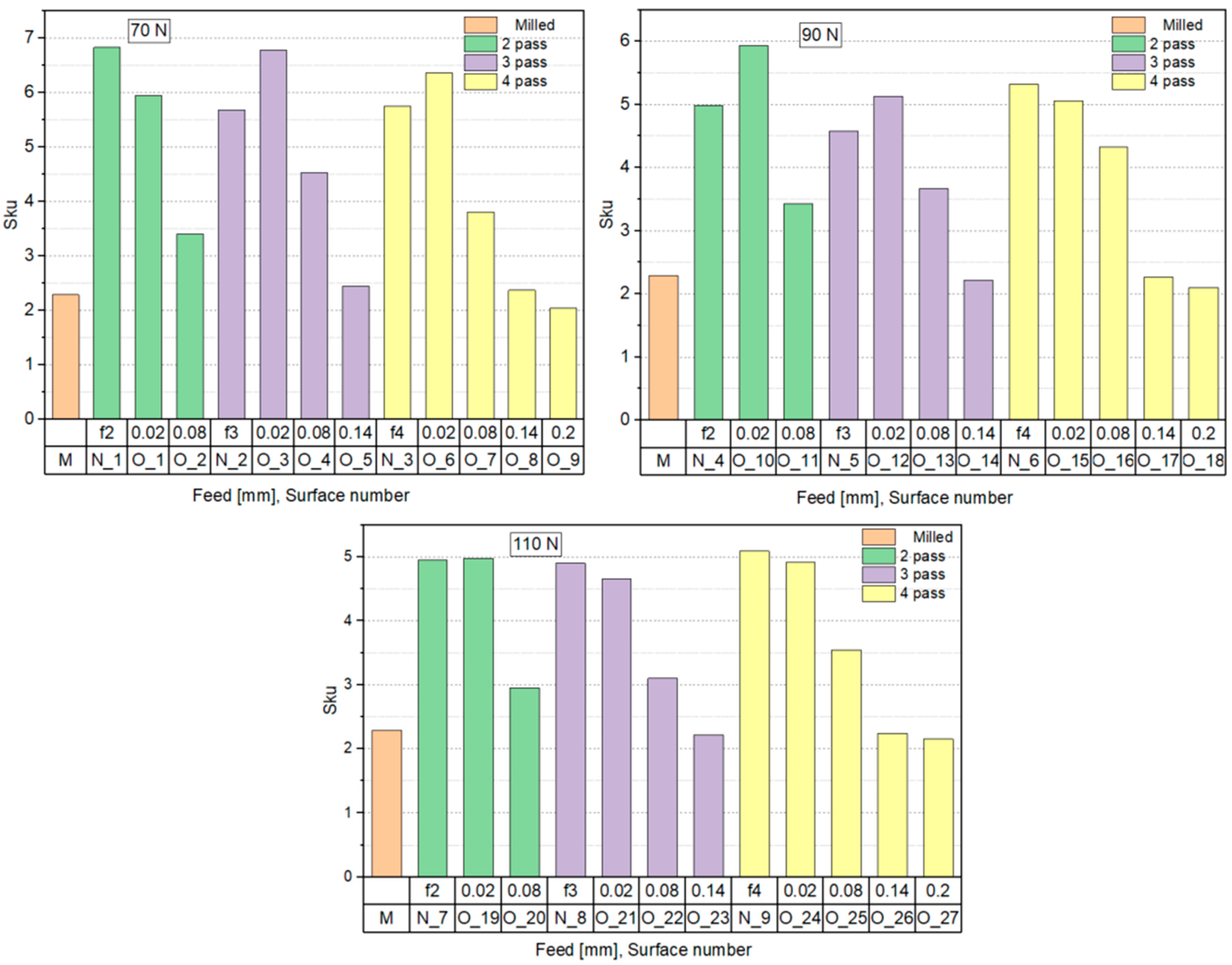
Another important parameter to measure the effect of the machining process is kurtosis (Sku), which quantifies the distribution of surface roughness height, taking three as a reference value (mesokurtic). The milled surface, a starting surface for the old and new methods, had a flat and uniform texture with a value of 2.29, less than the reference.
The surfaces were burnished by varying the feed in each burnishing round, which increased the kurtosis value and changed the characteristics of the peaks and valleys distribution to more frequent extremes, as visualized in Figure 9. It minimally doubled it, 6.83 and 4.58, as maximum and minimum values belonging to surface numbers N_1 and N_5, respectively. Three passes scored lower values than two and four passes in each burnishing force category. From the burnishing force perspective, 110 N gave close values to each other (4.95, 4.90, and 5.09), lower than burnishing by 70 N and 90 N except in three passes, while the 70 N force produced higher kurtosis (6.83, 5.68, and 5.75).
The burnishing process destroys the initial milling insert imprints on the surface, and the new tool path is blurred or undistinguishable unless the feed is high. If the feed is less than the tool diameter, an overlap section of the path makes the material displacement unpredictable.
As our main aim is to compare the old and new feed mechanisms, it is important to compare the kurtosis of the face milled with the old feed mechanism too, as presented in Figure 10. Unlike Sq, the kurtosis of surfaces burnished by the old method decreased during an increase in feed and the number of passes for all force categories. Another important observation is a higher gradient decrease when two passes were used. The modification of the kurtosis level after each pass aligns with the aim of the burnishing process to address undeformed material after the first pass by repeating the process. The second case is when the pass and feed combination affect the performance. This happens in two extremes of feed, either high or low. If a higher feed is used, an unburnished area can be left, which can be a source of higher kurtosis and other roughness parameters like Sq. On the contrary, low feed leads to material overflow to the sides of the tool. A 0.02 mm feed is used with all of the passes but gives worse results with two passes.
The first surface in each force and pass category, burnished by the lowest feed (0.02 mm), led to increased kurtosis compared to the milled surface and surfaces burnished by the same force and passes. As presented by the bar charts, there was a clear trend of decreasing kurtosis with increases in feed and the number of passes. For example, surfaces O_8, O_9, O_17, O_18, O_26, and O_27 have kurtosis similar to the milled surface and upon checking its technological parameters, we found three and four passes, and higher feed levels of 0.14 mm and 0.2 mm feed, as common burnishing parameters. These show that applying four and three passes modified the topography to a great extent. Both methods changed the surface to leptokurtic, prone to higher friction, wear, and stress concentration.

4. Conclusions

A new slide ball burnishing method, which is performed by changing the feed in each repetition of the number of passes, has been introduced. Topography amplitude parameters Sq, Ssk, and Sku, of the new method and the conventional method were compared, and the conclusions mentioned below are drawn.
  • The new method allows changing the feed so that the center of the tool is shifted to follow a different path that can help smooth the surface.
  • The initial face-milled surfaces were improved by both methods, but the new method showed higher Sq than the old method. In terms of percentage, the new method’s lowest and highest improvement were 61.6% and at 66.6%, while the old method’s lowest and highest were 15.6% when the highest force and pass were used, and 63.1%.
  • With an increase in burnishing force from 70 N to 90 N and 110 N, the new method improved the skewness of the milled surface. With this parameter, the old method showed a changing trend with the change in burnishing parameters from an increase by 182.9% to a 78.9% reduction. In comparison, the new method showed more steady and predictable change than the old method with burnishing parameters change.
  • Kurtosis values of all of the surfaces burnished by the new method increased by up to 198.3%, indicating that the topographies were changed from platykurtic to leptokurtic. The old method showed a trend of decreasing with increasing passes from a 196.1% rise to a 10.9% decline, compared to the initial milled surface values. Additional study and adjustment of the introduced method are required to address the kurtosis behavior of the generated surface.

Author Contributions

Conceptualization, F.T.K. and C.F.; methodology, F.T.K.; validation, F.T.K.; formal analysis, C.F.; investigation, F.T.K.; resources, C.F.; data curation, F.T.K.; writing—original draft preparation, F.T.K.; writing—review and editing, C.F.; visualization, F.T.K.; supervision, C.F.; project administration, C.F.; funding acquisition, C.F. All authors have read and agreed to the published version of the manuscript.

Funding

This research was funded by project No. 2020-1.2.3-EUREKA-2022-00025 “Deep Learning Based Process Monitoring for Complex Machining Tasks—DeepProMach” which was realized with financial help of the National Research Development and Innovation Fund of the Ministry of Culture and Innovation of Hungary.

Data Availability Statement

Data are contained within the article.

Acknowledgments

Sincere thanks to the University of Miskolc, Hungary, Faculty of Mechanical Engineering and Informatics, Institute of Manufacturing Science, for providing academic support.

Conflicts of Interest

The authors declare no conflicts of interest.

Abbreviations

The following abbreviations are used in this manuscript:
MFace-milled surface
N_1-N_9Surfaces burnished by the new method
O_1-O_29Surfaces burnished by the old method
f1Combined feed (0.02 mm and 0.08 mm)
f2Combined feed (0.02 mm, 0.08 mm, and 0.14 mm)
f3Combined feed (0.02 mm, 0.08 mm, 0.14 mm, and 0.2 mm)

References

  1. Becerra-Becerra, E.; Aguilera Ojeda, C.O.; Saldaña-Robles, A.; Reveles-Arredondo, J.F.; Barco-Burgos, J.; Vidal-Lesso, A. A Review of Numerical Simulation of Ball Burnishing Process. Finite Elem. Anal. Des. 2023, 218, 103926. [Google Scholar] [CrossRef]
  2. Gomez–Gras, G.; Travieso–Rodriguez, J.A.; Jerez–Mesa, R.; Lluma-Fuentes, J.; Gomis de la Calle, B. Experimental Study of Lateral Pass Width in Conventional and Vibrations-Assisted Ball Burnishing. Int. J. Adv. Manuf. Technol. 2016, 87, 363–371. [Google Scholar] [CrossRef]
  3. Wallace, D.A. Burnishing Apparatus, United States Patent Office, Detroit, United States. U.S. Patent US2222270A, 19 November 1940. Available online: https://patents.google.com/patent/US2222270A/en (accessed on 18 February 2025).
  4. Morimoto, T.; Tamamura, K. Burnishing Process Using a Rotating Ball-Tool—Effect of Tool Material on the Burnishing Process. Wear 1991, 147, 185–193. [Google Scholar] [CrossRef]
  5. Maximov, J.T.; Duncheva, G.V.; Anchev, A.P.; Ichkova, M.D. Slide Burnishing—Review and Prospects. Int. J. Adv. Manuf. Technol. 2019, 104, 785–801. [Google Scholar] [CrossRef]
  6. Tadic, B.; Todorovic, P.M.; Luzanin, O.; Miljanic, D.; Jeremic, B.M.; Bogdanovic, B.; Vukelic, D. Using Specially Designed High-Stiffness Burnishing Tool to Achieve High-Quality Surface Finish. Int. J. Adv. Manuf. Technol. 2013, 67, 601–611. [Google Scholar] [CrossRef]
  7. Sachin, B.; Narendranath, S.; Chakradhar, D. Sustainable Diamond Burnishing of 17-4 PH Stainless Steel for Enhanced Surface Integrity and Product Performance by Using a Novel Modified Tool. Mater. Res. Express 2019, 6, 046501. [Google Scholar] [CrossRef]
  8. Cao, C.; Zhu, J.; Tanaka, T.; Shiou, F.J.; Sawada, S.; Yoshioka, H. Ball Burnishing of Mg Alloy Using a Newly Developed Burnishing Tool with On-Machine Force Control. Int. J. Autom. Technol. 2019, 13, 619–630. [Google Scholar] [CrossRef]
  9. Yamazaki, H.; Zhu, J.; Tanaka, T. Study on the Surface Enhancement of Thin-Walled Metallic Materials Using a Novel Double-Side Burnishing Tool. Int. J. Autom. Technol. 2023, 17, 458–468. [Google Scholar] [CrossRef]
  10. Roohi, H.; Baseri, H.; Mirnia, M.J. Experimental Study of Slide Burnishing Process of the Pre-Milled AA7075 Plate: Surface Topography and Hardening Aspects. Arab. J. Sci. Eng. 2024, 11, 1–21. [Google Scholar] [CrossRef]
  11. Teimouri, R.; Amini, S. A Comprehensive Optimization of Ultrasonic Burnishing Process Regarding Energy Efficiency and Workpiece Quality. Surf. Coat. Technol. 2019, 375, 229–242. [Google Scholar] [CrossRef]
  12. Bourebia, M.; Laouar, L.; Hamadache, H.; Dominiak, S. Improvement of Surface Finish by Ball Burnishing: Approach by Fractal Dimension. Surf. Eng. 2017, 33, 255–262. [Google Scholar] [CrossRef]
  13. Polanowski, S.; Labuda, W. Experimental Study on the Influence of Burnish Parameters on the Surface Roughness Reduction Index. J. KONES 2016, 23, 395–402. [Google Scholar] [CrossRef]
  14. Kumara, P.; Purohit, G.K. Investigations on Effect of Different Ball Burnishing Conditions on Surface Roughness Using Response Surface Methodology. J. Mod. Manuf. Syst. Technol. 2019, 2, 51–60. [Google Scholar] [CrossRef]
  15. Karolczak, P.; Tomov, M. Analysis of the Influence of the Number of Burnishing Passes on the Geometric Structure of Aluminium Composites Surface. Teh. Vjesn. 2023, 30, 441–449. [Google Scholar] [CrossRef]
  16. Amdouni, H.; Bouzaiene, H.; Montagne, A.; Nasri, M.; Iost, A. Modeling and Optimization of a Ball-Burnished Aluminum Alloy Flat Surface with a Crossed Strategy Based on Response Surface Methodology. Int. J. Adv. Manuf. Technol. 2017, 88, 801–814. [Google Scholar] [CrossRef]
  17. Nagy, A.; Varga, G. Analyzing The Effect of the Tool Pass Number and the Direction of Sliding Burnishing on Surface Roughness. Cut. Tools Technol. Syst. 2022, 97, 70–82. [Google Scholar] [CrossRef]
  18. Jalindar Varpe, N.; Gurnani, U.; Hamilton, A.; Ramesh, S.; Aditya Kudva, S.; Bhavani, K.; VenkataRamana, V.; Sri Ram Vikas, K.; Kishore Reddy, C. Effect of Number of Passes on Surface Properties of Burnished Aluminium Alloy. IOP Conf. Ser. Mater. Sci. Eng. 2021, 1112, 012011. [Google Scholar] [CrossRef]
  19. Dzionk, S.; Ścibiorski, B.; Przybylski, W. Problems of Flaking in Strengthening Shaft Burnishing. In Lecture Notes in Mechanical Engineering; Springer: Berlin/Heidelberg, Germany, 2019; pp. 108–121. [Google Scholar] [CrossRef]
  20. ISO 25178-2:2021; Geometrical Product Specifications (GPS)—Surface Texture: Areal, Part 2: Terms, Definitions and Surface Texture Parameters. International Organization for Standardization: Geneva, Switzerland, 2021.
  21. Vaishya, R.O.; Sharma, V.; Mishra, V.; Gupta, A.; Dhanda, M.; Walia, R.S.; Kumar, M.; Oza, A.D.; Burduhos-Nergis, D.D.; Burduhos-Nergis, D.P. Mathematical Modeling and Experimental Validation of Surface Roughness in Ball Burnishing Process. Coatings 2022, 12, 1506. [Google Scholar] [CrossRef]
  22. Jagadeesh, G.V.; Gangi Setti, S. A Review on Latest Trends in Ball and Roller Burnishing Processes for Enhancing Surface Finish. Adv. Mater. Process. Technol. 2022, 8, 4499–4523. [Google Scholar] [CrossRef]
  23. Pathade, H.P.; Kumar Gupta, M.; Kumar, N.; Pathade, M.P.; Wakchaure, P.B.; Gadhave, S.N.; Varpe, N.J.; Markad, A.V.A. Review on Surface Integrity of Ball Burnishing Process. Int. J. Res. Publ. Rev. 2022, 3, 137–151. [Google Scholar] [CrossRef]
Figure 1. Workpiece CAD model and tool path.
Figure 1. Workpiece CAD model and tool path.
Jmmp 09 00071 g001
Figure 2. Experimental equipment: (a) face milling, (b) roughness measurement, and (c) burnishing process.
Figure 2. Experimental equipment: (a) face milling, (b) roughness measurement, and (c) burnishing process.
Jmmp 09 00071 g002
Figure 3. New methodology mechanism model: (a) old method and (b) new method.
Figure 3. New methodology mechanism model: (a) old method and (b) new method.
Jmmp 09 00071 g003
Figure 4. Three-dimensional surface (a) after face milling, (b) after new method burnishing (surface 6), and (c) after old method burnishing (surface 17).
Figure 4. Three-dimensional surface (a) after face milling, (b) after new method burnishing (surface 6), and (c) after old method burnishing (surface 17).
Jmmp 09 00071 g004
Figure 5. Root mean square roughness: 70 N, 90 N, and 110 N.
Figure 5. Root mean square roughness: 70 N, 90 N, and 110 N.
Jmmp 09 00071 g005
Figure 6. Measured Sq values of surfaces burnished by the new method.
Figure 6. Measured Sq values of surfaces burnished by the new method.
Jmmp 09 00071 g006
Figure 7. Skewness (Ssk) values of surfaces: 70 N, 90 N, and 110 N.
Figure 7. Skewness (Ssk) values of surfaces: 70 N, 90 N, and 110 N.
Jmmp 09 00071 g007
Figure 8. The skewness value of surfaces burnished by the new method.
Figure 8. The skewness value of surfaces burnished by the new method.
Jmmp 09 00071 g008
Figure 9. Effect of force and passes effect on kurtosis of the surfaces burnished by the new method.
Figure 9. Effect of force and passes effect on kurtosis of the surfaces burnished by the new method.
Jmmp 09 00071 g009
Figure 10. Kurtosis of face-milled surface, burnished with the new and old method: 70 N, 90 N, and 110 N.
Figure 10. Kurtosis of face-milled surface, burnished with the new and old method: 70 N, 90 N, and 110 N.
Jmmp 09 00071 g010
Table 1. Burnishing parameters and their levels.
Table 1. Burnishing parameters and their levels.
New MethodOld Method
Level 1Level 2Level 3Level 1Level 2Level 3Level 4
Force [N]70901107090110
Feed [mm]f1f2f30.020.080.140.2
Pass234234
Table 2. Experimental runs.
Table 2. Experimental runs.
New MethodOld Method
SurfaceForce [N]Feed [mm] PassSurfaceForce [N]Feed [mm]Pass
N_170f12O_1700.022
O_2700.082
N_270f23O_3700.023
O_4700.083
O_5700.143
N_370f34O_6700.024
O_7700.084
O_8700.144
O_9700.24
N_490f12O_10900.022
O_11900.082
N_590f23O_12900.023
O_13900.083
O_14900.143
N_690f34O_15900.024
O_16900.084
O_17900.144
O_18900.24
N_7110f12O_191100.022
O_201100.082
N_8110f23O_211100.023
O_221100.083
O_231100.143
N_9110f34O_241100.024
O_251100.084
O_261100.144
O_271100.24
Table 3. Measured topography amplitude parameters and their percentage change.
Table 3. Measured topography amplitude parameters and their percentage change.
New MethodOld Method
S. NoSq% ∆ SqSsk% ∆ SskSku% ∆ SkuS. NoSq% ∆ SqSsk% ∆ SskSku% ∆ Sku
N_10.60−66.60.353.26.83198.3O_10.77−56.80.96182.95.95159.8
O_20.76−57.70.33−2.43.4148.9
N_20.63−64.80.367.15.68148.0O_30.77−57.01.10224.56.78196.1
O_40.90−49.60.5872.04.5397.8
O_51.26−29.60.4635.42.446.6
N_30.69−61.60.352.45.75151.1O_60.77−57.11.05209.76.37178.2
O_70.81−54.60.33−3.53.8166.4
O_81.24−30.70.3811.52.373.5
O_91.47−17.90.22−36.62.04−10.9
N_40.61−65.80.10−69.34.99117.9O_100.67−62.50.5768.45.93159.0
O_110.79−56.10.07−78.93.4349.8
N_50.62−65.10.15−55.54.58100.0O_120.66−63.40.33−4.15.13124.0
O_130.83−53.90.365.03.6760.3
O_141.16−35.20.378.62.2−3.1
N_60.64−64.20.29−15.35.32132.3O_150.67−62.40.4943.75.1120.5
O_160.95−46.80.5972.94.388.6
O_171.22−31.80.29−15.32.3−1.3
O_181.56−12.80.29−13.62.1−8.3
N_70.64−64.40.15−56.34.95116.2O_190.66−63.10.6590.65.0117.5
O_200.77−57.20.12−64.33.028.8
N_80.62−65.20.233−31.34.9114.0O_210.66−62.90.3811.24.7103.1
O_220.81−54.70.17−50.73.135.4
O_231.17−34.60.31−8.82.21−3.5
N_90.64−64.40.193−43.15.09122.3O_240.65−63.60.33−3.24.91114.4
O_250.84−53.20.22−33.93.5454.6
O_261.17−34.60.24−28.32.24−2.2
O_271.51−15.60.32−6.22.15−6.1
Disclaimer/Publisher’s Note: The statements, opinions and data contained in all publications are solely those of the individual author(s) and contributor(s) and not of MDPI and/or the editor(s). MDPI and/or the editor(s) disclaim responsibility for any injury to people or property resulting from any ideas, methods, instructions or products referred to in the content.

Share and Cite

MDPI and ACS Style

Kebede, F.T.; Felho, C. Transforming Burnishing Techniques: A Novel Method to Enhance Efficiency and Surface Quality Through Tool Feed Variation. J. Manuf. Mater. Process. 2025, 9, 71. https://doi.org/10.3390/jmmp9030071

AMA Style

Kebede FT, Felho C. Transforming Burnishing Techniques: A Novel Method to Enhance Efficiency and Surface Quality Through Tool Feed Variation. Journal of Manufacturing and Materials Processing. 2025; 9(3):71. https://doi.org/10.3390/jmmp9030071

Chicago/Turabian Style

Kebede, Frezgi Tesfom, and Csaba Felho. 2025. "Transforming Burnishing Techniques: A Novel Method to Enhance Efficiency and Surface Quality Through Tool Feed Variation" Journal of Manufacturing and Materials Processing 9, no. 3: 71. https://doi.org/10.3390/jmmp9030071

APA Style

Kebede, F. T., & Felho, C. (2025). Transforming Burnishing Techniques: A Novel Method to Enhance Efficiency and Surface Quality Through Tool Feed Variation. Journal of Manufacturing and Materials Processing, 9(3), 71. https://doi.org/10.3390/jmmp9030071

Article Metrics

Back to TopTop