Leader–Follower Formation Reconfiguration Control for Fixed-Wing UAVs Using Multiplayer Stackelberg–Nash Game
Abstract
1. Introduction
2. Preliminaries and Problem Formulation
2.1. Network Communication Topology
2.2. Dynamical Model of Fixed-Wing UAVs
2.3. Control Objectives
3. Preparations for Formation Reconfiguration Control
3.1. Control Framework Design
3.2. Task Assignment
4. SNG-Based Leader–Follower Formation Reconfiguration Control
4.1. SNG-Based Optimal Control
4.2. Leader–Follower Formation Control Algorithm
| Algorithm 1 Policy iteration algorithm for multiplayer Stackelberg–Nash game |
|
4.3. Auxiliary Controller Design
| Algorithm 2 SNG-based control algorithm for the UAV formation reconfiguration |
|
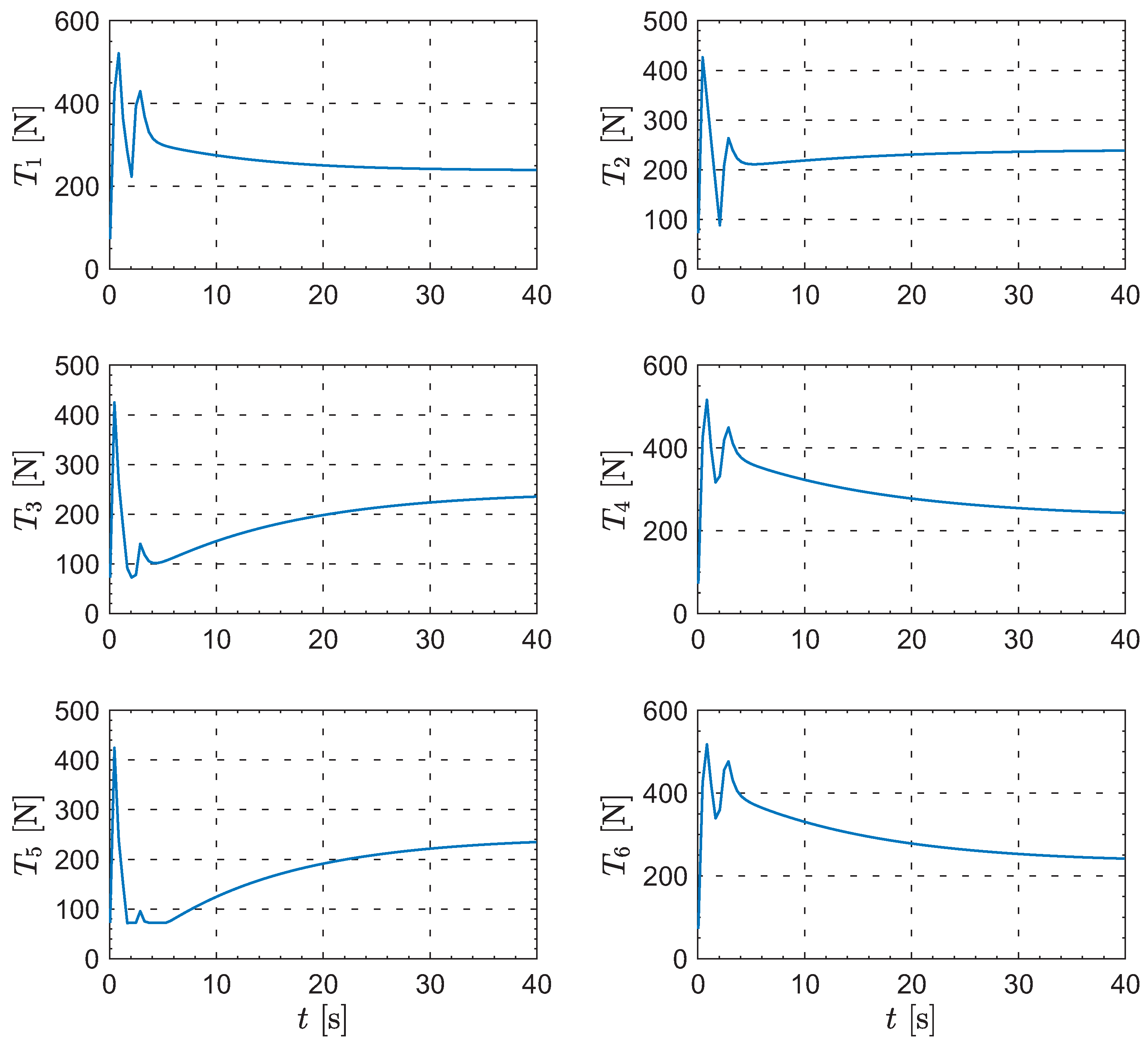
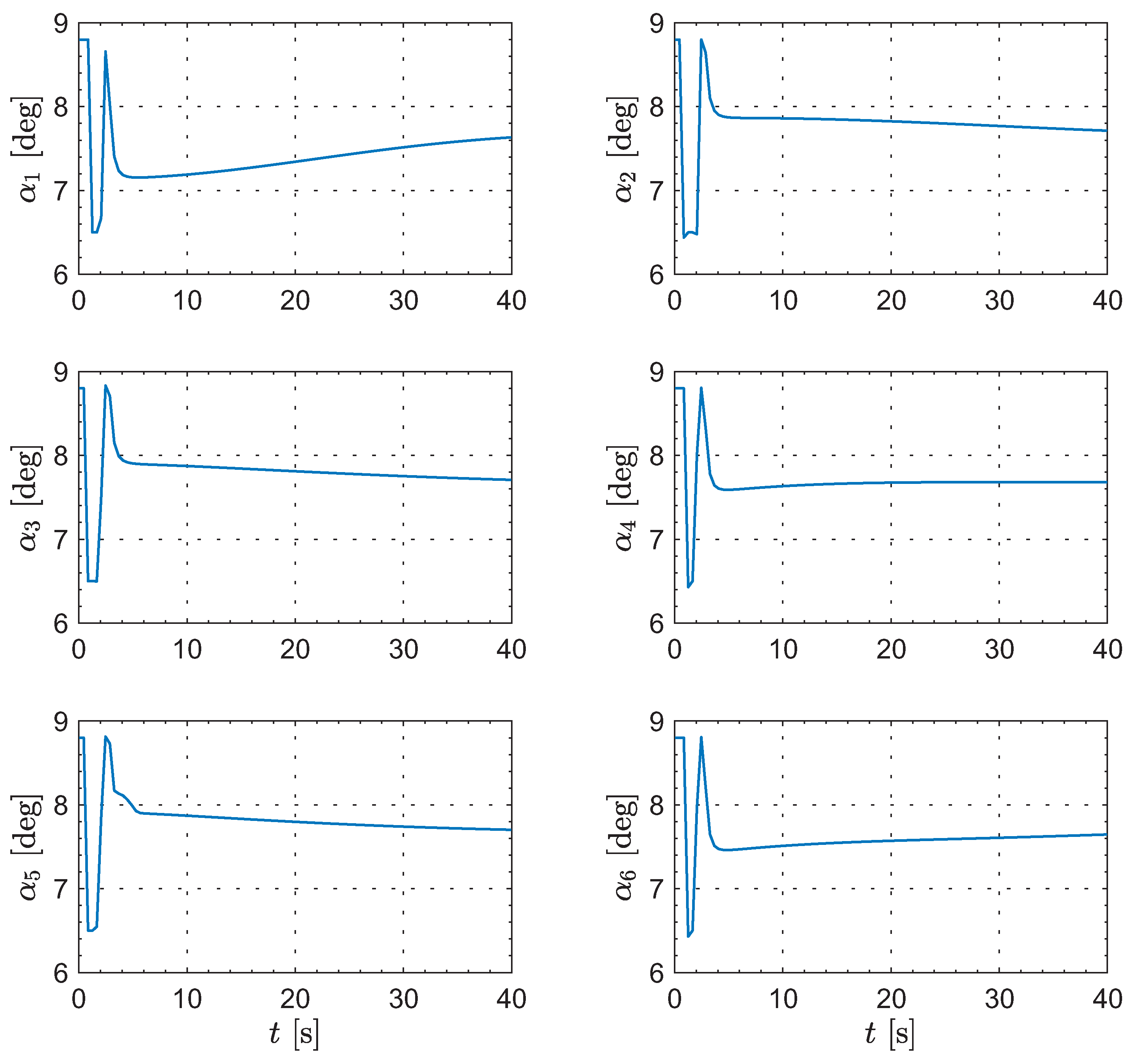
5. Simulation Results
6. Conclusions
Author Contributions
Funding
Data Availability Statement
DURC Statement
Conflicts of Interest
Abbreviations
| UAV | Unmanned aerial vehicle |
| SNG | Stackelberg–Nash game |
| PI | Policy iteration |
| PD | Proportional plus derivative controller |
References
- Ghamari, M.; Rangel, P.; Mehrubeoglu, M.; Tewolde, G.S.; Sherratt, R.S. Unmanned aerial vehicle communications for civil applications: A review. IEEE Access 2022, 10, 102492–102531. [Google Scholar] [CrossRef]
- Zhao, N.; Lu, W.; Sheng, M.; Chen, Y.; Tang, J.; Yu, F.R.; Wong, K.K. UAV-assisted emergency networks in disasters. IEEE Wirel. Commun. 2019, 26, 45–51. [Google Scholar] [CrossRef]
- Tang, P.; Li, J.; Sun, H. A review of electric UAV visual detection and navigation technologies for emergency rescue missions. Sustainability 2024, 16, 2105. [Google Scholar] [CrossRef]
- Turner, I.L.; Harley, M.D.; Drummond, C.D. UAVs for coastal surveying. Coast. Eng. 2016, 114, 19–24. [Google Scholar] [CrossRef]
- Casbeer, D.W.; Beard, R.W.; McLain, T.W.; Li, S.M.; Mehra, R.K. Forest fire monitoring with multiple small UAVs. In Proceedings of the 2005, American Control Conference, Portland, OR, USA, 8–10 June 2005; IEEE: Piscataway, NJ, USA, 2005; pp. 3530–3535. [Google Scholar]
- Hu, J.; Niu, H.; Carrasco, J.; Lennox, B.; Arvin, F. Fault-tolerant cooperative navigation of networked UAV swarms for forest fire monitoring. Aerosp. Sci. Technol. 2022, 123, 107494. [Google Scholar] [CrossRef]
- Jafari, B.; Saeedi, H.; Pishro-Nik, H. UAV Path Planning for Surveillance Applications: Rotary-Wing vs. Fixed-Wing UAVs. In Proceedings of the 2024 IEEE 99th Vehicular Technology Conference (VTC2024-Spring), Singapore, 24–27 June 2024; IEEE: Piscataway, NJ, USA, 2024; pp. 1–6. [Google Scholar]
- Lyu, M.; Zhao, Y.; Huang, C.; Huang, H. Unmanned aerial vehicles for search and rescue: A survey. Remote Sens. 2023, 15, 3266. [Google Scholar] [CrossRef]
- Yang, Z.; Yang, F.; Mao, T.; Xiao, Z.; Han, Z.; Xia, X. Reconfiguration for UAV formation: A novel method based on modified artificial bee colony algorithm. Drones 2023, 7, 595. [Google Scholar] [CrossRef]
- Kim, M.H.; Baik, H.; Lee, S. Resource welfare based task allocation for UAV team with resource constraints. J. Intell. Robot. Syst. 2015, 77, 611–627. [Google Scholar] [CrossRef]
- Yang, Y.; Xiong, X.; Yan, Y. UAV formation trajectory planning algorithms: A review. Drones 2023, 7, 62. [Google Scholar] [CrossRef]
- Du, Z.; Zhang, H.; Wang, Z.; Yan, H. Model predictive formation tracking-containment control for multi-UAVs with obstacle avoidance. IEEE Trans. Syst. Man, Cybern. Syst. 2024, 54, 3404–3414. [Google Scholar] [CrossRef]
- Evangeliou, N.; Chaikalis, D.; Tsoukalas, A.; Tzes, A. Visual collaboration leader-follower UAV-formation for indoor exploration. Front. Robot. AI 2022, 8, 777535. [Google Scholar] [CrossRef] [PubMed]
- Li, J.; Liu, J.; Huangfu, S.; Cao, G.; Yu, D. Leader-follower formation of light-weight UAVs with novel active disturbance rejection control. Appl. Math. Model. 2023, 117, 577–591. [Google Scholar] [CrossRef]
- Askari, A.; Mortazavi, M.; Talebi, H. UAV formation control via the virtual structure approach. J. Aerosp. Eng. 2015, 28, 04014047. [Google Scholar] [CrossRef]
- Cai, Z.; Liu, Y.; Zhao, J.; Wang, Y. Virtual structure and artificial potential field-based cooperative control for uav formation. In Advances in Guidance, Navigation and Control; Springer: Berlin/Heidelberg, Germany, 2022; pp. 366–375. [Google Scholar]
- Liu, Y.; Liu, Z.; Wang, G.; Yan, C.; Wang, X.; Huang, Z. Flexible multi-UAV formation control via integrating deep reinforcement learning and affine transformations. In Aerospace Science and Technology; Elsevier: Amsterdam, The Netherlands, 2024; p. 109812. [Google Scholar]
- Ma, B.; Liu, Z.; Jiang, F.; Zhao, W.; Dang, Q.; Wang, X.; Zhang, J.; Wang, L. Reinforcement learning based UAV formation control in GPS-denied environment. Chin. J. Aeronaut. 2023, 36, 281–296. [Google Scholar] [CrossRef]
- Bu, Y.; Yan, Y.; Yang, Y. Advancement challenges in UAV swarm formation control: A comprehensive review. Drones 2024, 8, 320. [Google Scholar] [CrossRef]
- Zhu, L.; Ma, C.; Li, J.; Lu, Y.; Yang, Q. Connectivity-maintenance UAV formation control in complex environment. Drones 2023, 7, 229. [Google Scholar] [CrossRef]
- Du, Z.; Qu, X.; Shi, J.; Lu, J. Formation control of fixed-wing UAVs with communication delay. ISA Trans. 2024, 146, 154–164. [Google Scholar] [CrossRef]
- Tong, W.; Jie, W.; Bailing, T. Periodic event-triggered formation control for multi-UAV systems with collision avoidance. Chin. J. Aeronaut. 2022, 35, 193–203. [Google Scholar]
- Raza, S.A.; Etele, J. Autonomous position control analysis of quadrotor flight in urban wind gust conditions. In Proceedings of the AIAA Guidance, Navigation, and Control Conference, San Diego, CA, USA, 4–8 January 2016; p. 1385. [Google Scholar]
- Saska, M.; Hert, D.; Baca, T.; Kratky, V.; Nascimento, T. Formation control of unmanned micro aerial vehicles for straitened environments. Auton. Robot. 2020, 44, 991–1008. [Google Scholar] [CrossRef]
- Hu, J.; Wang, M.; Zhao, C.; Pan, Q.; Du, C. Formation control and collision avoidance for multi-UAV systems based on Voronoi partition. Sci. China Technol. Sci. 2020, 63, 65–72. [Google Scholar] [CrossRef]
- Li, M.; Qin, J.; Freris, N.M.; Ho, D.W. Multiplayer Stackelberg–Nash game for nonlinear system via value iteration-based integral reinforcement learning. IEEE Trans. Neural Netw. Learn. Syst. 2020, 33, 1429–1440. [Google Scholar] [CrossRef] [PubMed]
- Simaan, M.; Cruz, J.B., Jr. On the Stackelberg strategy in nonzero-sum games. J. Optim. Theory Appl. 1973, 11, 533–555. [Google Scholar] [CrossRef]
- Bagchi, A.; Başar, T. Stackelberg strategies in linear-quadratic stochastic differential games. J. Optim. Theory Appl. 1981, 35, 443–464. [Google Scholar] [CrossRef]
- Bensoussan, A.; Chen, S.; Sethi, S.P. The maximum principle for global solutions of stochastic Stackelberg differential games. SIAM J. Control Optim. 2015, 53, 1956–1981. [Google Scholar] [CrossRef]
- Zheng, Y.; Shi, J. A Stackelberg game of backward stochastic differential equations with applications. Dyn. Games Appl. 2020, 10, 968–992. [Google Scholar] [CrossRef]
- Xu, J.; Zhang, H. Sufficient and necessary open-loop Stackelberg strategy for two-player game with time delay. IEEE Trans. Cybern. 2015, 46, 438–449. [Google Scholar] [CrossRef]
- Meng, Y.; Liu, C.; Liu, Y.; Tan, L. Adaptive fault-tolerant control for spacecraft: A dynamic Stackelberg game approach with advantage actor-critic reinforcement learning. Aerosp. Sci. Technol. 2024, 154, 109522. [Google Scholar] [CrossRef]
- Lin, Y.; Jiang, X.; Zhang, W. An open-loop Stackelberg strategy for the linear quadratic mean-field stochastic differential game. IEEE Trans. Autom. Control 2018, 64, 97–110. [Google Scholar] [CrossRef]
- Ming, Z.; Zhang, H.; Yan, Y.; Yang, L. Adaptive Optimal Control via Q-Learning for Itô Fuzzy Stochastic Nonlinear Continuous-Time Systems With Stackelberg Game. IEEE Trans. Fuzzy Syst. 2024, 32, 2029–2038. [Google Scholar]
- Lin, M.; Zhao, B.; Liu, D.; Zhang, Y. Policy iteration adaptive dynamic programming for optimal control of multi-player Stackelberg-Nash games. In Proceedings of the 2022 41st Chinese Control Conference (CCC), Hefei, China, 25–27 July 2022; IEEE: Piscataway, NJ, USA, 2022; pp. 2393–2397. [Google Scholar]
- Yu, M.; Hong, S.H. A real-time demand-response algorithm for smart grids: A stackelberg game approach. IEEE Trans. Smart Grid 2015, 7, 879–888. [Google Scholar] [CrossRef]
- Yu, K.; Li, Y.; Lv, M.; Tong, S. Distributed Optimal Formation Control of Multiple Unmanned Surface Vehicles with Stackelberg Differential Graphical Game. In IEEE Transactions on Artificial Intelligence; IEEE: Piscataway, NJ, USA, 2024; pp. 4058–4073. [Google Scholar]
- Zhang, Y.; Zhang, P.; Wang, X.; Song, F.; Li, C.; Hao, J. An open loop Stackelberg solution to optimal strategy for UAV pursuit-evasion game. Aerosp. Sci. Technol. 2022, 129, 107840. [Google Scholar] [CrossRef]
- Borwein, J.M.; Li, G.; Tam, M.K. Convergence rate analysis for averaged fixed point iterations in common fixed point problems. SIAM J. Optim. 2017, 27, 1–33. [Google Scholar] [CrossRef]
- Zarchan, P. Tactical and Strategic Missile Guidance; American Institute of Aeronautics and Astronautics, Inc.: Reston, VA, USA, 2012. [Google Scholar]
- Stengel, R.F. Flight Dynamics; Princeton University Press: Princeton, NJ, USA, 2005. [Google Scholar]
- Smith, R. Cessna 172: A Pocket History; Amberley Publishing Limited: Gloucestershire, UK, 2010. [Google Scholar]











| Items | Values |
|---|---|
| Mass (kg) | |
| Reference Area () | |
| Length (m) | |
| Semi-Span (m) | |
| Center of Gravity |
| Items | Values |
|---|---|
| Velocity of the Baseline Motion (m/s) | |
| Origin of the Relative Motion Frame (in the Inertial Frame) (m) | |
| Trim Angle of Attack (deg) | |
| Trim Bank Angle (deg) | 0 |
| Thrust for Cruising (N) |
| Items | Values |
|---|---|
Disclaimer/Publisher’s Note: The statements, opinions and data contained in all publications are solely those of the individual author(s) and contributor(s) and not of MDPI and/or the editor(s). MDPI and/or the editor(s) disclaim responsibility for any injury to people or property resulting from any ideas, methods, instructions or products referred to in the content. |
© 2025 by the authors. Licensee MDPI, Basel, Switzerland. This article is an open access article distributed under the terms and conditions of the Creative Commons Attribution (CC BY) license (https://creativecommons.org/licenses/by/4.0/).
Share and Cite
Zhu, H.; Wu, S. Leader–Follower Formation Reconfiguration Control for Fixed-Wing UAVs Using Multiplayer Stackelberg–Nash Game. Drones 2025, 9, 439. https://doi.org/10.3390/drones9060439
Zhu H, Wu S. Leader–Follower Formation Reconfiguration Control for Fixed-Wing UAVs Using Multiplayer Stackelberg–Nash Game. Drones. 2025; 9(6):439. https://doi.org/10.3390/drones9060439
Chicago/Turabian StyleZhu, Hongxu, and Shufan Wu. 2025. "Leader–Follower Formation Reconfiguration Control for Fixed-Wing UAVs Using Multiplayer Stackelberg–Nash Game" Drones 9, no. 6: 439. https://doi.org/10.3390/drones9060439
APA StyleZhu, H., & Wu, S. (2025). Leader–Follower Formation Reconfiguration Control for Fixed-Wing UAVs Using Multiplayer Stackelberg–Nash Game. Drones, 9(6), 439. https://doi.org/10.3390/drones9060439

