Next Article in Journal
Joint Transmit and Receive Beamforming Design for a Full Duplex UAV Sensing Network
Next Article in Special Issue
A Lightweight Robust Training Method for Defending Model Poisoning Attacks in Federated Learning Assisted UAV Networks
Previous Article in Journal
Pigeon-Inspired UAV Swarm Control and Planning Within a Virtual Tube
 
 
Font Type:
Arial Georgia Verdana
Font Size:
Aa Aa Aa
Line Spacing:
Column Width:
Background:
Article

Performance Analysis of Blockchain Consensus Algorithm in Unmanned Aerial Vehicle Ad Hoc Networks

School of Information and Communication, Guilin University of Electronic Technology, Guilin 541004, China
*
Author to whom correspondence should be addressed.
Drones 2025, 9(5), 334; https://doi.org/10.3390/drones9050334
Submission received: 13 March 2025 / Revised: 22 April 2025 / Accepted: 23 April 2025 / Published: 25 April 2025
(This article belongs to the Special Issue IoT-Enabled UAV Networks for Secure Communication)

Abstract

Blockchain technology is a competitive solution to address the prevailing data security concerns in unmanned aerial vehicle (UAV) networks. However, wireless communication links between UAV nodes are vulnerable to electromagnetic interference and competition due to limited spectrum resources. Consequently, a comprehensive analysis of blockchain performance within UAV network environments is imperative for the effective deployment and optimization of blockchain technology. This paper presents two theoretical models. The first model assesses the impact of the Carrier Sense Multiple Access with Collision Avoid (CSMA/CA) channel access protocol on the latency and throughput of the chained HotStuff consensus algorithm. The second model considers the movement characteristics of UAV nodes in three-dimensional space and the complexity of the communication environment. The aim of the second model is to calculate the consensus failure probability of UAV networks under electromagnetic interference. The results demonstrate that the theoretical values closely match the actual simulation outcomes.

1. Introduction

Unmanned aerial vehicle (UAV) technology has been demonstrated to play significant roles in various domains, including search and rescue operations at disaster sites, reconnaissance, and monitoring. Compared to the limited resources and perception range of a single UAV, a swarm of UAVs working collaboratively has the potential to significantly enhance the efficiency of task execution. Performing efficient collaboration is dependent on accurate information exchange. However, the current state of UAV swarm technology is characterized by significant data security risks. These risks can be attributed to the potential for attackers to target UAV ad hoc networks through methods such as information theft, denial of service attacks, privilege escalation, data link attacks, identity spoofing, and electromagnetic interference. The consequences of such attacks can be serious, including the leakage of sensitive data, service disruption, unauthorized control, and system integrity damage [1,2,3,4]. Consequently, there is an urgent need to develop effective data security strategies to ensure the data security of UAVs.
Blockchain technology, which consists of distributed storage, a chained data structure, asymmetric cryptography, and consensus algorithms, is characterized by decentralization, tamper resistance, and traceability. Its Byzantine fault tolerance and data integrity protection significantly mitigate the potential impact of single points of failure and cyberattacks on UAV ad hoc networks. The existing literature has introduced diverse blockchain-based solutions for UAV networks. They address issues like identity authentication [5], malicious attack identification [6], key management [7,8], task result integrity, and data security [9,10,11,12,13,14,15], demonstrating the advantages of blockchain in ensuring UAV data security. While blockchain-based decentralization can enhance UAV ad hoc network security, practical deployment faces challenges. UAV network dynamics, node mobility, and spectrum limitations destabilize communication links and reduce consensus efficiency. Particularly in harsh weather, electromagnetic interference, and communication jamming scenarios, communication quality deteriorates, challenging blockchain deployment.
In UAV ad hoc networks, node mobility makes the communication environment change, resulting in unpredictable communication link quality and stability. Changes in UAV node altitude during flight significantly impact signal attenuation. At high altitudes, with fewer obstacles such as buildings, terrain, and vegetation blocking communication paths, UAV nodes more easily establish line-of-sight (LOS) paths. This results in less signal attenuation during transmission and more stable communication quality. In contrast, at low altitudes, especially in complex environments such as urban areas or mountains, dense obstacles such as buildings and trees reduce the likelihood of LOS transmission between UAV nodes. This leads to more severe signal attenuation and significantly compromises the stability and reliability of communication links. Changes in UAV altitude affect signal transmission paths and strength and interact with environmental factors. This leads to significant differences in the stability and reliability of communication links between scenarios, which impacts blockchain efficiency. When UAV clusters face enemy electromagnetic interference or harsh weather, the communication quality worsens. Analyzing blockchain’s reliability under such conditions is crucial.
In addition, UAV clusters often face spectrum resource limitations when performing tasks, which requires them to compete for channel resources to transmit messages. Simultaneous data transmission from multiple nodes can cause decoding failures at the receiving node. Therefore, an efficient channel access protocol is essential for coordination. Currently, the CSMA/CA channel access protocol is the most widely used in wireless networks. Through the Distributed Coordination Function (DCF), this protocol enables nodes to listen to the channel before transmitting data, thereby avoiding collisions. In UAV networks, where node connectivity is dynamic and the channel conditions are uncertain, the RTS/CTS mechanism can reserve the channel before transmission, effectively reducing data collisions and avoiding the hidden node problem, ultimately improving blockchain efficiency. However, channel access protocols introduce additional latency, which can degrade blockchain performance in UAV networks. Therefore, studying the impact of the CSMA/CA channel access protocol on blockchain performance is crucial to improve the efficiency of blockchain applications in UAV clusters.
Based on the factors affecting blockchain performance in UAV ad hoc networks, we analyzed the impact of channel access protocols and electromagnetic interference on blockchain consensus performance. First, we determined the transmission delay caused by nodes accessing the channel through the CSMA/CA protocol using wireless communication modeling. Using queuing theory, we analyzed the delay in message processing by the UAV master node and further evaluated the impact of the contention window size on blockchain consensus performance. Next, to address the consensus reliability issue under electromagnetic interference, we simulated the distribution of UAV nodes using a three-dimensional binomial point process (3DBPP) and modeled signal fading with the Nakagami-m distribution. Through stochastic geometry modeling, we calculated the probability of consensus failure under different interference intensities and varying distances between interference nodes and the UAV cluster. Finally, the theoretical model was verified using NS-3 simulations. This research provides theoretical support for improving the efficiency and reliability of blockchain applications in UAV clusters.
The remainder of this paper is organized as follows. Section 2 introduces some basic principles of the CSMA/CA protocol, electromagnetic interference, and the chained HotStuff consensus algorithm. Section 3 introduces the system model of the impact of the CSMA/CA protocol on the chained HotStuff consensus protocol. The theoretical analysis of the impact of electromagnetic interference on the chained HotStuff consensus failure probability in UAV ad hoc networks is presented in Section 4. In Section 5, the simulation results based on NS3 validate the effectiveness of the theoretical analysis. Section 6 concludes.

2. Related Works

The consensus mechanism is the core of a blockchain system and is crucial for its performance. The mainstream blockchain consensus algorithms include Proof of Work (PoW), Proof of Stake (PoS), the RAFT algorithm, and Practical Byzantine Fault Tolerance (PBFT). Among these, PoW and PoS rely on incentive mechanisms to motivate nodes to package and publish blocks by consuming significant computational resources. However, these algorithms are not suitable for drone networks because of the limited computational and storage resources. In UAV networks, common blockchain consensus mechanisms include improved protocols based on RAFT and PBFT. The first type [16,17] is suitable for UAV networks in trusted environments due to its low computational and communication complexity. However, it cannot resist Byzantine faults, making it less reliable against cyberattacks. The second type has Byzantine fault tolerance but suffers from high communication complexity and poor scalability, making it difficult to apply directly to UAV networks. Some studies have attempted to reduce communication complexity by optimizing algorithm structures [18,19,20,21] and decreasing the number of consensus nodes. However, in UAV networks, frequent topology changes make it difficult for nodes to consistently receive enough votes, affecting consensus achievement. In the above context, the HotStuff consensus algorithm [22] and its improved version [23] offer significant advantages. HotStuff uses threshold signatures to reduce the complexity of the message per consensus round to O ( n ) , much lower than PBFT O ( n 2 ) . This allows communication overhead to grow slowly as the number of nodes increases, making it suitable for large-scale networks. HotStuff reduces communication redundancy by centralizing vote processing at the leader node. Chained HotStuff further improves efficiency through pipelining. Compared to other consensus algorithms, it is better suited for UAV cluster networks. This study will focus on analyzing the chained HotStuff consensus algorithm.
The performance analysis of blockchain helps to identify key factors that affect its efficiency in different scenarios. This provides insights to improve existing consensus mechanisms or to develop new ones. Early studies mainly focused on wired networks with stable communication environments. For example, Shahsavari et al. [24] analyzed how the number of replicas, the latency of the link, and the packet loss rate affect transaction throughput and the commitment time in the HotStuff consensus algorithm. Niu [25] examined the impact of fork attacks on the chain growth rate, chain quality, and latency in Chained HotStuff. Gai [26] evaluated the performance of three chained BFT algorithms (chained HotStuff, dual-chained HotStuff, and Streamlet) under different Byzantine attack types.
Unlike wired networks, unstable channel quality and competition for limited spectrum resources in wireless networks affect blockchain consensus performance. In UAV networks, this impact is even more significant [27]. The research on blockchain applications in UAV networks is still in its early stages [28]. Analyzing the performance of blockchain consensus mechanisms is crucial for effective deployment. Among the existing studies, only [29] examines how mobile ad hoc networks influence the performance of blockchain consensus. Most other studies focus on wireless IoT networks, with limited research on performance analysis models for blockchain in UAV networks. However, ref. [29] did not analyze the robustness of blockchain consensus mechanisms in communication denial scenarios. In [30], the impact of communication delay and the number of nodes on the delay boundaries of PBFT and HotStuff was analyzed using the deterministic network calculus. Seo et al. [31] derived closed-form expressions for the end-to-end delay and reliability of the Randomized Representative Consensus (R2C) algorithm based on the signal-to-noise ratio (SNR) outage probability model. Liu [32] investigated how transmission delays and communication interruptions affect resource utilization and block generation time and transaction throughput. Nevertheless, the repercussions of malicious jamming and the competition for scarce spectrum resources on consensus have not yet been investigated in these studies.
In the performance analysis of channel access protocols for the wireless blockchain, Cao et al. [33] examined how the queuing and transmission delays caused by CSMA/CA affect the transaction confirmation delay, TPS, and the probability of transaction loss. However, their study focused only on IOTA, making it unsuitable for mainstream voting-based consensus mechanisms like PBFT. Cao [34] investigated the impact of the IEEE 802.11 protocol on wireless blockchain networks (WBNs) and proposed modifications to improve compatibility. Zhou [35] analyzed how IEEE 802.11 broadcasting affects the PBFT consensus performance in an unsaturated network. However, the optimal contention window size across diverse scales in the [34,35] models is obtained given the absence of retransmission and acknowledgment mechanisms in the IEEE802.11 broadcast scheme. In UAV networks with limited resources and mobile nodes, the lack of retransmission hampers the success rate of consensus achievement. Furthermore, the limited scalability of PBFT precludes its direct application in UAV networks. Additionally, broadcast-based transmission entails significant resource consumption. In contrast, the chained HotStuff consensus algorithm employs unicast communication and incorporates retransmission support during the consensus process, rendering the aforementioned analysis model inapplicable. Therefore, a new model is needed for the performance analysis of the chained HotStuff consensus algorithm. Sun [36] analyzed the impact of beacon frame cycle, UAV speed, node density, and packets per node on the slotted CSMA/CA protocol in UAV-based data collection networks. Their model offers a reference value for this study on the channel protocol’s impact on consensus mechanism performance. However, it does not account for the ACK mechanism or the influence of the DCF mechanism in the channel access protocol on consensus performance.
Regarding the impact of malicious jamming on blockchain consensus, Zhu et al. [37] proposed closed-form expressions for the signal-to-interference-plus-noise ratio (SINR), throughput, and transmission success probability in wireless blockchain networks. Kamel [38] analyzed the impact of the number of interference nodes on the blockchain transaction rate in wireless IoT blockchain networks. Xu [39] studied how the distance between a jamming node and the leader node, along with the interference strength of the jamming node, affect the performance of the RAFT consensus algorithm. However, the effect of small-scale signal fading variations on consensus was not considered. Buttar [40] analyzed the success probability of the RAFT consensus algorithm under interference and spoofing attacks by multiple malicious nodes within a network. However, the model in Buttar [40] assumes that the network nodes follow a two-dimensional Poisson point process (PPP) distribution, which is not suitable for UAV networks. In real UAV mission scenarios, deploying a predefined number of UAVs to cover a limited area [41,42] is a more reasonable approach, such as in post-disaster rescue operations. The PPP distribution assumes that nodes are randomly distributed in a two-dimensional space with a variable number of nodes, which does not align with the task characteristics of UAV cluster networks. Additionally, the above studies use the Rayleigh distribution to model small-scale fading experienced by the nodes, which is not appropriate. As UAVs move, variations in node altitude and the surrounding environment cause transmitted signals to experience small-scale fading that can follow any general fading distribution between the Rayleigh and Rician channel models. In this case, the Nakagami-m fading model has been proven to be a more generalized channel model. By adjusting the m parameter, it can cover all possible fading conditions. Therefore, a new analytical model is needed to evaluate the reliability of blockchain in UAV networks under communication denial scenarios.
The above studies have determined consensus success rates, but their methods of calculating them, either by multiplying uplink and downlink transmission success rates or by using the ratio of successful transmission areas to node activity areas, are not appropriate. In UAV networks, node mobility causes inconsistencies in the set of nodes that successfully complete uplink and downlink transmissions, especially when these transmissions are independent. Therefore, a more comprehensive quantitative evaluation framework is needed to establish the relationship between joint transmission success probability and blockchain consensus success probability. Yu et al. [43] first introduced the concept of reliability gain, revealing a linear relationship between consensus success rate and link reliability. However, their study did not consider node reliability. Xu [44] proposed a RAFT-based vehicular network model that accounts for both node and link reliability. However, these studies lack clear mathematical expressions and theoretical proofs for quantitatively analyzing consensus reliability under different failure conditions. In particular, they do not provide mathematical modeling or formula derivations for an in-depth analysis of consensus reliability. Li [45] extended the findings of [43] by incorporating node reliability into the analysis. The study examined reliability gain and tolerance gain for the crash-fault-tolerant distributed consensus protocol RAFT, clarifying the relationship between link reliability, node reliability, and consensus success rate. However, the model did not further refine link and node reliability, and it assumed that the joint transmission success probability is sufficiently low. This assumption makes it unsuitable for analyzing consensus reliability under electromagnetic interference.
The existing research is primarily based on wireless sensor networks, which are not entirely applicable to analyze blockchain consensus performance in UAV ad hoc networks. The reasons are as follows. First, the existing research commonly studies nodes that are distributed in a two-dimensional space, conflicting with UAVs’ three-dimensional distribution. Second, small-scale fading is typically assumed to follow a Rayleigh distribution, which may not hold in UAV networks. The communication environment here is dynamic due to node mobility, especially altitude changes of UAV nodes. Moreover, malicious nodes’ interference signals and harsh weather further complicate this environment. Third, many studies assume link and node reliability follow specific distributions to calculate consensus success, but malicious node interference may cause link reliability to deviate from these assumptions. Fourth, the independence of uplink and downlink transmission success rates is commonly assumed, but, in the actual consensus process, uplink success often depends on downlink success. Finally, it is evident that the assumption of a high joint success probability is not realistic in a strong-interference environment. In response to the above issues, the main contributions of this paper are as follows:
  • This study provides an in-depth analysis of the impact of the CSMA/CA channel access protocol on the consensus delay and throughput of the multi-round voting-based chained HotStuff consensus algorithm in ad hoc UAV networks.
  • This study proposes a model that integrates the movement characteristics of the UAV nodes with the complexity of the communication environment. The model allows for convenient calculation of the blockchain consensus failure probability under electromagnetic interference. In this model, node positions follow a three-dimensional binomial point process (3D BPP), while small-scale fading in the channel is modeled using a Nakagami-m distribution.
  • Through simulations on the NS3 platform, the study validates the effectiveness of the proposed blockchain performance model for UAV networks under malicious interference, as well as the theoretical analysis model of the CSMA/CA protocol’s impact on consensus performance.

3. Background

This section briefly reviews the HotStuff consensus algorithm, CSMA/CA, and electromagnetic interference. The premise is a UAV cluster with N nodes, tolerating up to f faulty nodes, where N = 3 f + 1 . The consensus protocol assigns roles of leader and follower to the nodes.

3.1. HotStuff Consensus Algorithm

The chained HotStuff consensus algorithm enhances the original HotStuff algorithm through pipelining. It achieves consensus for an event using key concepts such as views, threshold signatures, certificates, and a consensus state tree.

3.1.1. The Concepts of HotStuff Consensus Algorithm

  • View: A view is the basic unit of consensus, and at most one consensus can be reached in a single view. As consensus progresses, the view number continuously increases. A view represents a process of reaching consensus and appending instruction messages to the blockchain. In a view, there can be at most one leader. The leader node is replaced after completing one round of consensus.
  • Threshold Signatures: All nodes share a common public key, while each node possesses its own private key. Once the leader node collects a sufficient number of signed voting messages from the follower nodes, it can generate a complete signature, also referred to as a certificate, indicating the completion of one round of voting.
  • Quorum Certificate: A certificate serves as proof that a node in the UAV network has successfully passed a round of voting.
  • Consensus State Tree: Each node in the UAV network maintains a consensus state tree. Each node in the consensus state tree represents a block that contains the content of the proposal, the corresponding certificate, and the hash value of the parent block. The leader node constructs new blocks based on the longest branch in the consensus state tree.

3.1.2. The HotStuff Consensus Process

A complete HotStuff consensus process involves four stages: prepare, precommit, commit, and decide.
  • Prepare phase: As the view number increases, follower nodes send NEW-VIEW messages to the leader to initiate a view change. These messages contain the highest PrepareQC value from the follower’s local consensus state tree (or null if none exists). If the leader receives NEW-VIEW messages from at least 2f + 1 nodes, it can assume that a sufficient number of followers are ready to transition to the new view. The leader then selects the PrepareQC with the highest view as the highQC and constructs a new block, using the corresponding block as the parent. The leader subsequently sends a proposal message containing the highQC and the new block to the follower nodes. Upon receiving this message, the follower node verifies the hash to ensure that the proposed block is generated from a locally locked block with a view number one greater than that of the locked block. Alternatively, it checks if the highQC view number exceeds the lockedQC view number in the local consensus state tree. If these conditions are met, the follower node sends a voting message to the leader; otherwise, no message is sent.
  • Precommit phase: After receiving 2 f + 1 confirmations for the proposal message, the leader node creates a PrepareQC certificate and includes it in the precommit message, which is then broadcasted. Upon receiving the precommit message, the follower node updates its local state by setting its PrepareQC to the received PrepareQC and subsequently sends a voting message to the leader.
  • Commit phase: The leader node gathers 2 f + 1 confirmations for the precommit message to create a precommitQC. This precommitQC is then broadcasted in a commit-type message. Upon receiving the commit message, the follower node sets its lockedQC to the precommitQC value, considers the block as the one to be added to the blockchain, and will not accept any other blocks until the current view ends. Finally, the follower sends a voting message to the leader.
  • Decide phase: After receiving 2 f + 1 confirmations for the commit message, the leader node forms a commitQC and broadcasts it as a decide message. Upon receiving the decide message, the follower nodes execute the transactions in the proposed block, increment the view number, and initiate the next view.

3.2. The Chained HotStuff Algorithm

The chained HotStuff consensus algorithm extends the basic HotStuff algorithm by using pipeline processing to streamline the proposal-voting cycle as shown in Figure 1. In this version, blocks are linked using QCs (certificates), with each block containing the QC of the previous block and the current proposal message. This simplifies the consensus process to three main steps: the leader node sends a proposal message, follower nodes vote, and the results are forwarded to the next leader node. The message handling by both leader and follower nodes is similar to that in the prepare phase of the basic HotStuff algorithm.
In the chained HotStuff consensus mechanism, view changing is often used to restore consensus protocol liveness when the leader node fails or consensus times out. If the leader node fails or cannot collect enough votes within a certain time, the system selects a new leader node via a specific algorithm. The new leader node collects NewView messages from follower nodes, which contain the latest PrepareQC. Then, it generates a new proposal based on the collected PrepareQC and broadcasts it to follower nodes to start a new consensus round. To ensure the chain’s integrity, even if consensus cannot be reached in a view, the system generates a dummy block to ensure the block height matches the view number, thus maintaining chain continuity and integrity. Through this mechanism, chained HotStuff can quickly restore consensus and continue block generation after view switching, preventing system stagnation due to leader node failure or timeout.

3.3. CSMA/CA Channel Access Protocol

The CSMA/CA protocol prevents simultaneous data transmission collisions using channel access algorithms like Distributed Coordination Function (DCF) and Point Coordination Function (PCF). DCF is a distributed algorithm that listens to the channel to avoid collisions from multiple devices transmitting at once. In UAV networks, DCF is preferable for scenarios with numerous nodes requiring flexible communication as it enables nodes to share channel resources without central control, increasing network flexibility and scalability.
In the CSMA/CA protocol implemented using the DCF algorithm, a node first listens to the channel status before transmitting data. If the channel is idle, the node starts sending data; if the channel is busy, the node enters a backoff state and randomly selects a backoff time. The backoff time is randomly generated based on the current contention window (CW) and decrements with each time slot. When the channel becomes idle, the node starts counting down the backoff timer, and, when it reaches zero, the node transmits the data. If a collision occurs, the node increases the contention window size until it reaches the maximum value. After a successful transmission, the contention window resets to its initial value. This process effectively prevents collisions and ensures efficient channel utilization.
Moreover, the Carrier Sense Multiple Access with Collision Detection (CSMA/CD), widely used in wired networks, offers a solution to boost CSMA/CA efficiency. It allows nodes to immediately stop transmission upon collision detection and retry after a random backoff period, thus helping to avoid bandwidth waste. Yet, implementing CSMA/CD in wireless networks faces significant challenges. Wireless networks typically operate in half-duplex mode, preventing nodes from transmitting and listening simultaneously. This causes self-interference, where a node’s own strong signal hinders accurate channel monitoring. In UAV ad hoc networks, limited node energy restricts transmission power. Even with full-duplex communication, the operational lifespan of UAVs would be substantially shortened.

3.4. Electromagnetic Interference

Electromagnetic interference is a simple and effective method for attacking UAVs and their collaborative operations. Since UAVs can only successfully transmit data when the SNR of the received signal exceeds a certain threshold, adversaries can interfere with UAV ad hoc networks using either UAV-mounted jamming devices or ground-based equipment. UAV-mounted devices have limited impact due to power constraints, whereas ground-based interference can affect a larger area of the swarm. This leads to communication failures between UAVs and disrupts blockchain consensus.

4. Analysis of the Impact of CSMA/CA Channel Access on Consensus Performance

This section focuses on analyzing the process of consensus among UAV nodes on block messages. We assume that each node in the UAV network competes for channel resources using the CSMA/CA protocol, and each UAV node also serves as a node in the blockchain network, which employs the chained HotStuff consensus algorithm.

4.1. System Model

From the analysis of the chained HotStuff consensus algorithm, the consensus delay can be divided into message processing and message transmission delays. The message processing delay involves the leader node processing messages to select the highest view in the prepareQC and add a new block, as well as the follower nodes performing security checks on the leader’s messages. The message transmission delay includes the backoff delay for channel access via CSMA/CA and the channel propagation delay. Thus, the total delay for one round of consensus T includes the leader’s message processing time T m , the follower node’s security check time T n , and the signal propagation time T t , as shown in Equation (1):
T = T m + T n + T t .

4.1.1. Transmission Delay

Since all communication occurs between the leader node and the follower nodes, competition for the channel is more likely to occur between the follower nodes. According to the analysis in [46], in an n-node network using the CSMA/CA protocol, the probability of a collision occurring during data transmission for any node is
ρ = 1 ( 1 τ ) n 1 .
The probability that a node selects a slot to transmit information is denoted as τ :
τ = 2 ( 1 2 ρ ) ( 1 2 ρ ) ( C W min + 1 ) + ρ C W min 1 ( 2 ρ ) s .
where C W min is the initial value of the contention window. The corresponding value of τ can be obtained by iterating Equations (2) and (3). Thus, the probability that at least one node transmits data in a time slot can be expressed as
P t r = 1 ( 1 τ ) n .
Furthermore, we can obtain the probability of a node successfully transmitting data in a time slot P s , the probability of a broadcast failure P c , and the probability that the channel is idle P f as follows:
P s = n τ ( 1 τ ) ( n 1 ) , P c = 1 ( 1 + ( n 1 ) τ ) ( 1 τ ) ( n 1 ) , P f = 1 P t r = ( 1 τ ) n .
The corresponding delays for the three scenarios above are as follows:
T s = T R T S + 3 S I F S + 4 δ + T C T S + H + T E [ P ] + T A C K + D I F S , T c = T R T S + D I F S + δ , T f = σ .
The term T R T S represents the time required for broadcasting the RTS handshake request, while SIFS denotes the short inter-frame space (SIFS) for broadcasting. The propagation delay for a single transmission is referred to as δ . The time for broadcasting the CTS is represented by T C T S , and the broadcast time for the effective payload of the data packet is denoted by T E [ P ] , where E[P] is the average size of the data packet. The transmission time for the packet header is given by H = P H Y h d r + M A C h d r . The time to receive the acknowledgment message (ACK) is represented by T A C K , and the Distributed Coordination Function (DCF) inter-frame space is denoted by DIFS.
In a single-hop UAV ad hoc network, the leader node broadcasts proposal messages, and follower nodes respond by sending vote messages. The leader completes the certificate Qc synthesis after receiving at least 2 f + 1 vote messages. Since the probability of successful transmission is P s , the number of attempts required to achieve a successful transmission is 1 / P s . Therefore, the number of transmission attempts needed to complete at least 2 f + 1 successful transmissions is ( 2 f + 1 ) / P s . The numbers of transmission collisions and idle channel occurrences can be expressed as ( 2 f + 1 ) P c / P s and ( 2 f + 1 ) P f / P s , respectively. Thus, the transmission delay T t required to complete one round of voting consensus can be expressed as
T t = 2 f + 1 T s + P c P s ( 2 f + 1 ) T c + P f P s ( 2 f + 1 ) T f .

4.1.2. Message Processing Delay at the Node

In a single view, the leader node processes messages from at least 2 f + 1 follower nodes. The vote message arrival rate follows a Poisson distribution with parameter λ , while the service rate follows a negative exponential distribution with parameter μ . The storage capacity of the leader node is limited to I, and the message processing follows an M / M / 1 / I queueing system with First-Come, First-Served (FCFS) discipline. The utilization of the system is given by ε = λ / μ . The corresponding state transition equation is P i = P 0 ε i . Based on the normalization condition i = 0 I P i = P 0 i = 0 I ε i = 1 , the probability of the system containing i messages is
P i = ( 1 ε ) ε i 1 ε I + 1 , ε 1 1 I + 1 , ε = 1 .
The average number of messages in the leader node is
L = 1 1 ε I ε I + 1 + 1 1 ε I + 1 , ε 1 I 2 , ε = 1 .
The average waiting time can be determined using Little’s Law as follows:
W = L λ e f f = L λ ( 1 P I ) .
where λ denotes the original arrival rate, λ e f f represents the effective arrival rate, and P I is the probability that the system is full.
The delay required for the leader node to process 2 f + 1 vote messages from follower nodes is
T m = ( 2 f + 1 ) W = ( 2 f + 1 ) L λ ( 1 P I ) .

4.2. Consensus Delay

Additionally, the delay for follower nodes to perform a security check on the leader’s proposal message is much smaller than the communication and processing delays at the leader node, and thus T n can be safely ignored. Thus, the total delay for one round of consensus is
T = ( 2 f + 1 ) L λ ( 1 P I ) + ( 2 f + 1 ) T s + P c ( 2 f + 1 ) P s T c + P f ( 2 f + 1 ) P s T f .

5. Modeling the Impact of Electromagnetic Interference on Blockchain Reliability

This section focuses on analyzing the consensus failure probability of HotStuff under electromagnetic interference from ground-based equipment. The CSMA/CA protocol is assumed to perfectly coordinate channel access in the UAV ad hoc network, preventing interference between nodes during transmission.

5.1. System Model

Figure 2 illustrates a UAV ad hoc network, which consists of N nodes and employs the chained HotStuff consensus mechanism. Additionally, the network is subject to interference from a ground device. The leader initiates the consensus process by broadcasting proposal messages to the followers. We define the link for signal transmission from the leader node to the follower nodes as the downlink and, conversely, the link from the follower nodes to the leader node as the uplink. Both of these links may be subject to interference from interfering nodes, thereby disrupting the blockchain consensus process.
In this network, UAVs operate within a fixed region A R 3 , and the leader node is located at the center with coordinates ( 0 , 0 , 0 ) . For simplified analysis, we define the line connecting the interference node and the UAV leader node as the x-axis. In fact, the interference node is located on the ground. We assume that the distance from the interference node to the leader node is d J , and the distance from the interference node to the follower node is d i . The elevation angle δ between the line connecting the follower node and the leader node and the z-axis follows a uniform distribution in the range [ 0 , π ] , while the azimuth angle φ follows a uniform distribution in [ 0 , 2 π ] .
We assume that the node distribution in the UAV ad hoc network follows the BPP rather than the Poisson point process (PPP). This is because PPP assumes that node distribution is completely random without considering distance limitations between nodes, while BPP can randomly distribute a fixed number of nodes within a specific area, taking into account both node count and distribution range limitations. This model is particularly suitable for scenarios with a limited number of nodes and a small distribution area. Given the limited communication range of UAV networks, BPP can more accurately simulate the distance constraints between UAVs, aligning more closely with the actual network topology.

5.2. The Mobility Range of UAV Nodes

Since the follower nodes distributed in the network follow a BPP distribution, the distances between the nodes within this region follow a generalized Beta distribution [47]. The probability density function in the center of the region is given by
f R ( r ) = 3 r 2 R 3 ( n i ) 1 ( R 3 r 3 ) n i B ( n i + 1 , i ) ,
where B ( n i + 1 , i ) is the Beta function, n = N 1 is the number of followers, and i represents the i-th nearest UAV follower node to the leader.
The SNR of the message received by the follower node through the downlink is given by
SNR = P h d α σ 2 ,
where P is the transmission signal power, h is the small-scale fading power gain of the signal, d α is the large scale path loss, with d and α being the distance and path loss exponential factors, respectively, and σ 2 is the noise power.
Assuming the noise follows a complex Gaussian distribution N C N ( 0 , σ 2 ) and the signal experiences small-scale fading according to the Nakagami-m distribution, the corresponding small-scale fading power gain h follows a Gamma distribution Γ ( m , w / m ) [48]. Thus, the probability density function of h is
f h ( x ) = m m x m 1 Γ ( m ) w m e m x w ,
where w is the scale parameter and m is the shape parameter.
We assume that a message can be received successfully only if the SNR exceeds the threshold θ . Given that the small-scale fading power gain is E [ h ] = w and a path loss exponent is α = 2 , the maximum distance at which a follower node can communicate with the leader node under a BPP distribution can be ascertained through the following equation:
r M = P w σ 2 θ .

5.3. Uplink Transmission Failure Probability

When the UAV ad hoc network is in interference, the leader node receives both the messages from the follower nodes and the interference signals from the ground-based jamming equipment. Since the interference signal is much stronger than the noise signal, the impact of the noise can be ignored. In this case, the signal-to-interference ratio (SIR) at the leader node is
SIR = P h d α P J h J d J α ,
where P and P J are the transmission powers of the follower node and ground-based jamming equipment, d α and d J α represent the path loss of received signal and interference, d and d J are the distances from the leader node to the follower node and the ground jamming device, and h and h J represent the small-scale fading power gain of received signal and interference.
Given that the shape and scale parameters for small-scale fading in the uplink and interference channels are [ m s , w s ] and [ m I , w I ] , respectively, the uplink transmission failure probability is
P ( SIR < θ ) = P P h d α P J h J d J α < θ = 0 r M f R ( r ) P P h r α P J h J d J α < θ d r .
Let H = h h J and we have
P P h r α P J h J d J α < θ = P H < θ P J r α P d J α .
Since both h and h J follow independent Gamma distributions, the probability density function (PDF) of H can be derived from [46] as
f H ( y ) = y m s 1 B ( m s , m I ) m s w s m s m I w I m I m s w s y + m I w I m s m I .
Assuming m s = m I and ω s = ω I , then f H ( y ) can be simplified as
f H ( y ) = y m s 1 ( 1 + y ) m s m I B ( m s , m I ) .
The coresponding cumulative distribution function (CDF) is
F H ( y ) = y m 1 m 1 B ( m s , m I ) × F 1 2 ( ( m 1 , m 1 + m 2 ) ; m 1 + 1 ; y ) .
The specific derivation of the equation can be found in Appendix A.
P H > θ P J r α P d J α can be rewritten as
P H < θ P J r α P d J α = F H θ P J r α P d J α = θ P J r α P d J α m 1 m 1 B ( m s , m I ) × F 1 2 ( ( m 1 , m 1 + m 2 ) ; m 1 + 1 ; θ P J r α P d J α ) .
According to Equations (13) and (23), the uplink transmission failure probability for the i-th node closest to the leader node is
P F U L = 0 r M 3 r 2 R 3 ( n i ) 1 ( R 3 r 3 ) n i B ( n i + 1 , n ) × θ P J r α P d J α m 1 m 1 B ( m s , m I ) × F 1 2 ( ( m 1 , m 1 + m 2 ) ; m 1 + 1 ; θ P J r α P d J α ) d r .
It can be observed that the transmission failure probability is affected by the interference node’s transmission power P J and its distance d J to the leader node given fixed transmission power P, receiving distance r, and shape parameters m S and m I .

5.4. Downlink Transmission Failure Probability

Since the UAV follower nodes follow a BPP distribution within a region centered around the UAV leader node, the distance between the jamming equipment and a UAV follower node is
d i = ( r sin δ ) 2 + d J 2 + ( r cos δ ) 2 2 r d J cos δ cos φ = d J 2 + r 2 2 r d J cos δ cos φ .
Substituting d i into Equation (24) in place of d J yields the downlink transmission failure probability for the i-th node closest to the leader node P c D L :
P F D L = 0 r M 3 r 2 R 3 ( n i ) 1 ( R 3 r 3 ) n i B ( n i + 1 , i ) × θ P J r α P d i α m 1 m 1 B ( m s , m I ) × F 1 2 ( ( m 1 , m 1 + m 2 ) ; m 1 + 1 ; θ P J r α P d i α ) d r .

5.5. Reliability Analysis

We measure the reliability of the blockchain system in the UAV network under electromagnetic interference using the consensus failure probability.
Let the UAV leader node be U N and the follower nodes be U i . The set Ω = U 1 , U 2 , U 3 , , U N 1 represents all follower nodes. For each U i Ω , the uplink transmission success probability is P i U L , and the downlink transmission success probability is P i D L . Let S a be the set of follower nodes that receive the proposal successfully and S b be the set of follower nodes that send voting messages successfully, with S a = a and S b = b . Define P S a , S b as the probability of a follower nodes receiving the proposal successfully and b follower nodes sending voting messages successfully.
In the chained HotStuff consensus algorithm, the leader node must successfully broadcast the proposal before the follower nodes can send voting messages. Therefore, S a S b , and the success probability of the chained HotStuff consensus is as follows:
P c = n a b Ω S a S b P ( S a , S b ) .
Since the chained HotStuff consensus algorithm can tolerate probability f = N / 3 Byzantine nodes, consensus is achieved when b N f . The joint transmission failure probability is defined as the probability that a node fails to complete at least one of either the uplink or downlink transmission:
P i J F = 1 ( 1 P i D L ) ( 1 P i U L ) .
Let S J F , k represent the set of nodes that fail to complete at least one of either the uplink or downlink transmission. S J F , k = K . The consensus failure probability is given by
P F = n k f + 1 Ω S J F , k u S J F , k P u J F v Ω S J F , k 1 P v J F ,
P F = x = f + 1 n n x P J F x ( 1 P J F ) n x ,
where P J F means joint transmission failure probability. The consensus failure probability at different interference levels can be obtained by Equation (30). But, the calculation becomes complex with a large number of nodes.
To simplify, [45] uses reliability gain to express the linear relationship between joint failure probability and consensus failure probability, as shown in Equation (31).
P F = 10 ( f + 1 ) log P J F + log n x + log ( 1 P J F ) n f P J F n f ( 1 P J F ) P J F .
However, this holds only for small joint failure probabilities and is not suitable for strong interference scenarios.
Notice that each term in the cumulative summation of Equation (30) represents the probability of exactly x nodes having failed transmissions out of n nodes. Therefore, according to the Central Limit Theorem, when n P J F 5 , the binomial distribution can be approximated by a normal distribution N ( n P J F , n P J F ( 1 P J F ) ) . Consequently, Equation (30) can be rewritten as
P F = x = f + 1 n 1 2 π n P J F ( 1 P J F ) e ( x n P J F ) 2 2 n P J F ( 1 P J F ) .
One can choose either Equation (31) or Equation (32) as the approximate expression for P F according to the actual situation to reduce the error. The approximate errors caused by using Equations (31) and (32) can be specifically referred to as Error1 and Error2 in Appendix B.
When n is sufficiently large, Equation (32) can be simplified to
P F = Φ n ( 1 P J F ) P J F Φ f n P J F n P J F ( 1 P J F ) ,
where Φ ( x ) represents the cumulative distribution function (CDF) of the standard normal distribution.
Figure 3 illustrates the approximate value of the consensus failure probability P F calculated using Equations (31) and (32). In Figure 3, the “Reliability gain” is approximated using Equation (31), while the “normal approxi value” is calculated based on Equation (32). As shown in Figure 3, when the joint failure probability P J F is low, it is reasonable to approximate P F using Equation (31) to simplify the calculation. Conversely, when the joint failure probability P J F is high, using Equation (32) as an approximate expression for P F is more appropriate. This strategy of selecting different simplification methods based on varying conditions ensures more accurate calculation results under different scenarios.

6. Simulation Analysis

In this section, we conducted simulation experiments on a UAV ad hoc network employing the chained HotStuff consensus mechanism using the NS3 simulator. We examined the impacts of the CSMA/CA communication protocol and electromagnetic interference on the performance of the chained HotStuff consensus, thereby validating the effectiveness of the theoretical analysis model.

6.1. Impact of CSMA/CA Protocol on Blockchain Consensus Algorithm

We use NS3 to build a UAV ad hoc network with 10 nodes and analyze the impact of the CSMA/CA protocol on the chained HotStuff consensus algorithm. The communication protocol used in the UAV network is 802.11n_5GHz and the minimum and maximum contention window values [ C W min , C W max ] are configured in two ways: (1) incrementing the contention window in intervals; and (2) keeping C W max fixed while increasing C W min . As shown in Table 1. In addition, under the first setup, we assume the number of UAV nodes N to be 10, 40, 70, and 100. Under the second setup, due to the excessive number of nodes making it impossible to reach consensus, we assume the number of nodes N to be 10, 20, 30, and 40.
In the 802.11n_5GHz communication protocol, the center frequency is set to 5180 MHz, with a bandwidth of 20 MHz. The data transmission rate is set to 65 Mbps, while the control message transmission rate is set to 6.5 Mbps. The parameters related to communication delay are shown in Table 2.
Therefore, T S = 148.267 μ s, T C = 58.7823 μ s, and T f = 16 μ s. The processing delay at the leader node is analyzed using queuing theory, requiring the determination of the message arrival rate λ and the service rate of the leader node μ .
In the CSMA/CA protocol, different contention windows cause follower nodes to acquire the channel with different probabilities and transmit messages to the leader node with a certain transmission delay. Therefore, the number of successful message transmissions per unit of time is given by P S T , which is considered as the message arrival rate, while the leader node’s service rate is obtained through measurement.
Figure 4 illustrates the theoretical and simulation values of the delay for the chained HotStuff consensus under different contention windows. The theoretical values are obtained using Equation (12), while the simulation values are derived from measuring the consensus delay during the NS3 simulation process. Figure 4a shows that the chained HotStuff consensus delay increases as the window size grows, matching the theoretical trend. However, when the contention window is smaller, the chained HotStuff consensus delay may be higher. For example, in a UAV network with 10 nodes, when the contention window is [31, 1023], the transmission delay is lower than that for the contention window [15, 1023]. This is because the probability of collisions on the channel is higher with a contention window of [31, 1023], and the delay caused by these collisions becomes the primary factor affecting the overall delay. The same conclusion can be drawn from Figure 4b. The actual values in Figure 4 are the simulation values. According to the typical latency requirements in UAV ad hoc networks [49], most real-time services (such as voice, video communication, and remote control) generally require latency below 150 ms. Therefore, the above latency is entirely acceptable for UAV networks.
Since a block contains 10 transactions, each transaction is 100 bytes in size. Therefore, using the chained HotStuff consensus delay calculated from Equation (12) and the following Equation (34), we can determine the throughput of the chained HotStuff consensus.
Throughput = T X Consensus _ delay .
Figure 5 illustrates the theoretical and simulation values of the throughput for the chained HotStuff consensus under different contention windows. The theoretical values are obtained using Equations (12) and (34), while the simulation values are derived by substituting the delay simulation values obtained from NS3 into Equation (34). Figure 5a shows that the chained HotStuff consensus throughput decreases as the minimum value of the contention window increases, matching the theoretical trend. This is consistent with the performance of the consensus in terms of delay. When the minimum contention window (CWmin) is relatively small, the delay caused by collisions becomes the primary factor affecting the consensus throughput. Therefore, scenarios may arise where a larger contention window still results in a high throughput. The same conclusion can be drawn from Figure 5b.

6.2. Electromagnetic Interference on Blockchain Consensus Failure Probability

In this section, based on the configuration from the previous experiment in NS3, we introduce an interference node to analyze its impact on the chained HotStuff consensus algorithm.
In this paper, we assumed a signal is deemed successfully received if the SNR exceeds θ = 25 dBm because an SNR above 25 dBm is typically sufficient to support most communication services. According to Equation (16) and Table 3, r M = 61.16 m.
Since the random walk model in NS3 is only applicable to cubic regions, the UAV follower nodes perform random walks within the region defined by [139, 261, 139, 261, 39, 161], which is equivalent to a spherical region with a radius of 61 m, with the leader UAV node located at the center of this region, at coordinates (200, 200, 100). The interference node is positioned at (1200,200,100).
By counting the number of uplink and downlink transmission failures for each node over a certain number of consensus rounds and substituting these data into Equation (35), the uplink and downlink transmission failure probabilities for the corresponding nodes can be obtained.
Failure probability = Number of Failure Events Total Number of Events .
The simulation values shown in Figure 6 are derived from the average values of the data of all nodes.
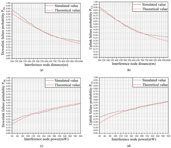
Figure 6 shows the theoretical and actual values of the uplink and downlink transmission failure probabilities as a function of the distance between the interference node and the leader node, as well as the interference node’s strength. The theoretical values are obtained by substituting the results calculated from Equations (24) and (26) into 1 P c U L and 1 P c D L .
As shown in Figure 6a,b, when the distance between the interference node and the leader node decreases, both the uplink and downlink transmission success probabilities gradually decrease. Specifically, when the distance is reduced from 1000 m to 800 m, the mean of the differences between the theoretical and actual values is 14%. This is because, during the simulation, the CSMA/CA protocol cannot ensure that the UAV nodes will not interfere with each other. When the distance is further reduced from 800 m to 400 m, the mean of the differences between the theoretical and actual values is 1.9% as the interference signals become the dominant factor affecting communication between UAV nodes. Furthermore, when the distance is shortened to less than 400 m, the excessive interference not only increases the probability of message retransmission but also requires messages to pass through multiple protocol layers to be considered successfully received in the actual simulation. Therefore, within this distance range, the actual probability of transmission failure is higher than the theoretical value, and the mean of the differences between the theoretical and actual values is 2.6%, as shown in Figure 6c,d. When the interference node strength increases, both the uplink and downlink transmission success probability values gradually decrease. When the transmission power of the interference node is below 100 mW, the actual simulation’s inability of the CSMA/CA protocol to ensure non-interference between UAV nodes results in the actual values being greater than the theoretical values.
Since the follower UAV nodes only send voting messages after receiving proposal messages from the leader node, the joint failure probability in Equation (28) is essentially the uplink failure probability.
Figure 7 shows the theoretical and actual values of the consensus failure probability as a function of the distance between the interference node and the leader node, as well as the transmission power of the interference node. The theoretical values are obtained by substituting the results calculated from Equation (28) into Equation (32). The simulation values are derived by counting the number of consensus failures over a certain number of consensus rounds and then substituting these results into Equation (35).
As shown in Figure 7, when the transmission power of the interference node increases, the consensus failure probability keeps increasing. The mean of the differences between the simulation values and the theoretical values is 5.11%. As the distance between the interference node and the leader node continuously increases, the failure probability calculated by the formula keeps dropping. When the distance between the interference node and the leader node is reduced to less than 800m, the mean of the differences between the simulation values and the theoretical values of the interference node distance is 1.5%. When the distance between the interference node and the leader node is greater than 800m, the difference between the theoretical values and the simulation values becomes larger, at 5%.

7. Summary and Analysis

This study first analyzed the impact of the CSMA/CA protocol on the HotStuff blockchain consensus algorithm. Through the proposed theoretical analysis model, we calculated the transmission delay and message processing delay of the UAV nodes and derived the mapping relationship between the backoff window settings in the CSMA/CA protocol and the consensus delay and throughput. The study concludes that, compared to the message processing delay of UAV nodes, the transmission delay has a greater impact on consensus delay and throughput. Furthermore, although a smaller contention window increases the probability of message collisions among nodes, the shorter delay caused by each collision actually helps to reduce the consensus delay.
Subsequently, this study proposed a consensus failure probability analysis model suitable for UAV swarm networks in interference environments. The model assumes that the CSMA/CA protocol ensures no-collision transmission between nodes, which are distributed within a spherical region following the BPP model. Small-scale fading in the channel is modeled using the Nakagami-m distribution. Through this model, we can conveniently derive the mapping relationship between interference distance and consensus failure probability. Based on the NS3 simulation results, which align with the theoretical predictions, the validity of the theoretical model was confirmed. When the distance between the interference node and the leader node is less than 950 m, or when the transmission power of the interference node exceeds 120 mW, the consensus failure probability will exceed 38%.
This study provides theoretical support for the deployment of blockchain consensus algorithms in UAV networks. However, deploying blockchain in a UAV network presents challenges due to hardware limitations and the dynamic topology of UAV nodes. Their limited computing and storage resources restrict the processing of complex blockchain consensus algorithms, causing inefficient transaction handling and verification. Moreover, the energy-intensive nature of blockchain consensus algorithms reduces UAV battery life and task execution capability. In terms of communication, the dynamic network topology and limited bandwidth can cause delays and packet loss, in turn increasing the difficulty of reaching consensus. In future research, we will investigate the probability of consensus failure in environments with multiple interference nodes and explore methods to enhance consensus success probability. Meanwhile, balancing computing power, storage, energy consumption, and communication overhead will be key to enhancing the efficiency of blockchain consensus.

Author Contributions

Methodology, D.H.; Software, X.H. All authors have read and agreed to the published version of the manuscript.

Funding

This work was supported by the Guangxi Natural Science Foundation General Project (Grant No. 2025GXNSFAA069685) and the National Natural Science Foundation of China (Grant No. 62371149).

Data Availability Statement

The data presented in this study are available on request from the corresponding author.

Conflicts of Interest

The authors declare no conflicts of interest.

Appendix A. Proof of the First Zonklar Equation

F H ( y ) = 0 y t m s 1 ( 1 + t ) m s m I B ( m s , m I ) d t ,
Let t = μ
F H ( y ) = 0 y ( μ ) m s ( 1 μ ) m s m μ B ( m s , m I ) d μ = ( y ) m s m s m s ( y ) m s 0 y ( 1 ) m s ( μ ) m s 1 ( 1 μ ) m s m μ B ( m s , m I ) d μ = y m s m s m s ( y ) m s 0 y ( μ ) m s 1 ( 1 μ ) m s m μ B ( m s , m I ) d μ ,
According to ([50], Equation (8.391))
F H ( y ) = y m s m s m s ( y ) m s 0 y ( μ ) m s 1 ( 1 μ ) m s m μ B ( m s , m I ) d μ = y m s m s B ( m s , m I ) × F 1 2 ( m s , m s + m I ) ; m s + 1 ; y .

Appendix B. The Error Function of the Normal Distribution and the Reliability Gain Method Approximating the Binomial Distribution

Error 1 = 10 ( f + 1 ) logP JF + log n x + log ( 1 P JF ) n f P JF n f ( 1 P JF ) P JF x = f + 1 n n x P J F x ( 1 P J F ) n x .
Error 2 = x = f + 1 n 1 2 ß nP JF ( 1 P JF ) e ( x nP JF ) 2 2 nP JF ( 1 P JF ) n x P J F x ( 1 P J F ) n x .

References

  1. Zhi, Y.; Fu, Z.; Sun, X.; Yu, J. Security and privacy issues of UAV: A survey. Mob. Netw. Appl. 2020, 25, 95–101. [Google Scholar] [CrossRef]
  2. Pandey, G.K.; Gurjar, D.S.; Nguyen, H.H.; Yadav, S. Security threats and mitigation techniques in UAV communications: A comprehensive survey. IEEE Access 2022, 10, 112858–112897. [Google Scholar] [CrossRef]
  3. Golam, M.; Lee, J.-M.; Kim, D.-S. A uav-assisted blockchain based secure device-to-device communication in internet of military things. In Proceedings of the IEEE 2020 International Conference on Information and Communication Technology Convergence (ICTC), Jeju Island, Republic of Korea, 21–23 October 2020; pp. 1896–1898. [Google Scholar]
  4. Hafeez, S.; Khan, A.R.; Al-Quraan, M.M.; Mohjazi, L.; Zoha, A.; Imran, M.A.; Sun, Y. Blockchain-assisted UAV communication systems: A comprehensive survey. IEEE Open J. Veh. Technol. 2023, 4, 558–580. [Google Scholar] [CrossRef]
  5. Dong, Z.; Tong, W.; Zhang, Z.; Li, J.; Yang, W.; Shen, Y. Blockchain-based identity authentication oriented to multi-cluster UAV networking. In Proceedings of the 2023 IEEE International Conference on Blockchain (Blockchain), Danzhou, China, 17–21 December 2023; pp. 68–73. [Google Scholar]
  6. Liu, Y.; Gao, J.; Lu, Y.; Cao, R.; Yao, L.; Xia, Y.; Han, D. Lightweight blockchain-enabled secure data sharing in dynamic and resource-limited UAV networks. IEEE Netw. 2024, 38, 25–31. [Google Scholar] [CrossRef]
  7. Golam, M.; Akter, R.; Tuli, E.A.; Kim, D.-S. Lightweight blockchain assisted unauthorized UAV access prevention in the Internet of military things. In Proceedings of the 2022 13th International Conference on Information and Communication Technology Convergence (ICTC), Jeju Island, Republic of Korea, 19–21 October 2022; pp. 890–894. [Google Scholar]
  8. Abdelhafidh, M.; Zaghdoud, N.; Charef, N.; Mnaouer, A.B. Blockchain-Based Key Management Solution for Clustered Flying ad hoc Network. In Proceedings of the IEEE 2023 Fifth International Conference on Blockchain Computing and Applications (BCCA), Kuwait, Kuwait, 24–26 October 2023; pp. 104–111. [Google Scholar]
  9. Masuduzzaman, M.; Islam, A.; Rahim, T.; Shin, S.Y. Blockchain-assisted uav-employed casualty detection scheme in search and rescue mission in the internet of battlefield things. In Proceedings of the IEEE 2020 International Conference on Information and Communication Technology Convergence (ICTC), Jeju Island, Republic of Korea, 21–23 October 2020; pp. 412–416. [Google Scholar]
  10. Chen, S.; Li, Q.; Wang, W.; Yang, Y.; Jiang, J. Application of blockchain in the cluster of unmanned aerial vehicles. IET Blockchain 2021, 1, 33–40. [Google Scholar] [CrossRef]
  11. Zang, Y.-H.; Li, X.-J. Unmanned Cluster Operation Information Sharing Architecture Based on Blockchain. Command. Control Simul. 2020, 42, 19–22. [Google Scholar] [CrossRef]
  12. Kanade, V.A. Securing drone-based ad hoc network using blockchain. In Proceedings of the IEEE 2021 International Conference on Artificial Intelligence and Smart Systems (ICAIS), Coimbatore, India, 25–27 March 2021; pp. 1314–1318. [Google Scholar]
  13. Nguyen, T.; Katila, R.; Gia, T.N. An advanced Internet-of-Drones System with Blockchain for improving quality of service of Search and Rescue: A feasibility study. Future Gener. Comput. Syst. 2023, 140, 36–52. [Google Scholar] [CrossRef]
  14. Kumar, M.S.; Vimal, S.; Jhanjhi, N.Z.; Dhanabalan, S.S.; Alhumyani, H.A. Blockchain based peer to peer communication in autonomous drone operation. Energy Rep. 2021, 7, 7925–7939. [Google Scholar] [CrossRef]
  15. Singh, M.; Aujla, G.S.; Bali, R.S. ODOB: One drone one block-based lightweight blockchain architecture for internet of drones. In Proceedings of the IEEE INFOCOM 2020-IEEE Conference on Computer Communications Workshops (INFOCOM WKSHPS), Toronto, ON, Canada, 6–9 July 2020; pp. 249–254. [Google Scholar]
  16. Huang, D.; Ma, X.; Zhang, S. Performance analysis of the raft consensus algorithm for private blockchains. IEEE Trans. Syst. Man Cybern. Syst. 2019, 50, 172–181. [Google Scholar] [CrossRef]
  17. Wang, Z.; Wang, H.; Li, Z.; Li, X.; Miao, Y.; Ren, Y.; Wang, Y.; Ren, Z.; Deng, R.H. Robust permissioned blockchain consensus for unstable communication in FANET. IEEE/ACM Trans. Netw. 2023, 32, 699–712. [Google Scholar] [CrossRef]
  18. Han, P.; Wu, X.; Sui, A. DTPBFT: A dynamic and highly trusted blockchain consensus algorithm for UAV swarm. Comput. Netw. 2024, 250, 110602. [Google Scholar] [CrossRef]
  19. Luo, H. ULS-PBFT: An ultra-low storage overhead PBFT consensus for blockchain. Blockchain Res. Appl. 2023, 4, 100155. [Google Scholar] [CrossRef]
  20. Chen, J.; Luo, H. SusChain: A sustainable sharding scheme for UAV blockchain networks. Peer-to-Peer Netw. Appl. 2024, 17, 3603–3617. [Google Scholar] [CrossRef]
  21. Okegbile, S.D.; Cai, J.; Chen, J.; Yi, C. A Reputation-Enhanced Shard-Based Byzantine Fault-Tolerant Scheme for Secure Data Sharing in Zero Trust Human Digital Twin Systems. IEEE Internet Things J. 2024, 11, 22726–22741. [Google Scholar] [CrossRef]
  22. Yin, M.; Malkhi, D.; Reiter, M.K.; Gueta, G.G.; Abraham, I. HotStuff: BFT consensus in the lens of blockchain. arXiv 2018, arXiv:1803.05069. [Google Scholar]
  23. Jalalzai, M.M.; Niu, J.; Feng, C.; Gai, F. Fast-hotstuff: A fast and robust bft protocol for blockchains. IEEE Trans. Dependable Secur. Comput. 2023, 21, 2478–2493. [Google Scholar] [CrossRef]
  24. Shahsavari, Y.; Zhang, K.; Talhi, C. Performance modeling and analysis of hotstuff for blockchain consensus. In Proceedings of the IEEE 2022 Fourth International Conference on Blockchain Computing and Applications (BCCA), San Antonio, TX, USA, 5–7 September 2022; pp. 135–142. [Google Scholar]
  25. Niu, J.; Gai, F.; Jalalzai, M.M.; Feng, C. On the performance of pipelined hotstuff. In Proceedings of the IEEE INFOCOM 2021-IEEE Conference on Computer Communications, Vancouver, BC, Canada, 10–13 May 2021; pp. 1–10. [Google Scholar]
  26. Gai, F.; Farahbakhsh, A.; Niu, J.; Feng, C.; Beschastnikh, I.; Duan, H. Dissecting the performance of chained-bft. In Proceedings of the 2021 IEEE 41st International Conference on Distributed Computing Systems (ICDCS), Washington, DC, USA, 7–10 July 2021; pp. 595–606. [Google Scholar]
  27. Chriki, A.; Touati, H.; Snoussi, H.; Kamoun, F. FANET: Communication, mobility models and security issues. Comput. Netw. 2019, 163, 106877. [Google Scholar] [CrossRef]
  28. Ghamari, M.; Rangel, P.; Mehrubeoglu, M.; Tewolde, G.S.; Sherratt, R.S. Unmanned aerial vehicle communications for civil applications: A review. IEEE Access 2022, 10, 102492–102531. [Google Scholar] [CrossRef]
  29. Hossain, M.I.; Tahtali, M.; Turhan, U. Performance Analysis of Private Blockchain in Mobile Ad-hoc Networks (MANETs). In Proceedings of the 2023 10th International Conference on Wireless Networks and Mobile Communications (WINCOM), Istanbul, Turkey, 26–28 October 2023; pp. 1–6. [Google Scholar]
  30. Ma, S.; Wang, S.; Tsai, W.-T. Delay analysis of consensus communication for blockchain-based applications using network calculus. IEEE Wirel. Commun. Lett. 2022, 11, 1825–1829. [Google Scholar] [CrossRef]
  31. Seo, H.; Park, J.; Bennis, M.; Choi, W. Communication and consensus co-design for distributed, low-latency, and reliable wireless systems. IEEE Internet Things J. 2020, 8, 129–143. [Google Scholar] [CrossRef]
  32. Liu, Q.; Xu, Y.; Cao, B.; Zhang, L.; Peng, M. Unintentional forking analysis in wireless blockchain networks. Digit. Commun. Netw. 2021, 7, 335–341. [Google Scholar] [CrossRef]
  33. Cao, B.; Li, M.; Zhang, L.; Li, Y.; Peng, M. How does CSMA/CA affect the performance and security in wireless blockchain networks. IEEE Trans. Ind. Inform. 2019, 16, 4270–4280. [Google Scholar] [CrossRef]
  34. Wang, C.; Zhang, X.; Xu, H.; Cui, Q.; Tao, X. Contention Window Selection of IEEE 802.11 for Wireless Blockchain Network. In Proceedings of the 2024 IEEE International Conference on Communications Workshops (ICC Workshops), Denver, CO, USA, 9–13 June 2024; pp. 1425–1430. [Google Scholar]
  35. Zhou, Z.; Onireti, O.; Lin, X.; Zhang, L.; Imran, M. On the Performance of Wireless PBFT-Based Blockchain Network With IEEE 802.11. IEEE Syst. J. 2024, 18, 1786–1797. [Google Scholar] [CrossRef]
  36. Sun, C.; Wen, X.; Lu, Z.; Liu, X.; Jing, W.; Hu, Z. Performance analysis of slotted CSMA/CA in UAV-based data collection network. In Proceedings of the 2019 IEEE International Conference on Communications Workshops (ICC Workshops), Shanghai, China, 20–24 May 2019; pp. 1–6. [Google Scholar]
  37. Zhu, J.; Sun, Y.; Zhang, L.; Cao, B.; Feng, G.; Imran, M.A. Blockchain-enabled wireless IoT networks with multiple communication connections. In Proceedings of the ICC 2020—2020 IEEE International Conference on Communications (ICC), Dublin, Ireland, 7–11 June 2020; pp. 1–6. [Google Scholar]
  38. Kamel, D.K. Wireless IoT with blockchain-enabled technology amidst attacks. IRO J. Sustain. Wirel. Syst. 2021, 2, 133–137. [Google Scholar] [CrossRef]
  39. Xu, H.; Zhang, L.; Liu, Y.; Cao, B. RAFT based wireless blockchain networks in the presence of malicious jamming. IEEE Wirel. Commun. Lett. 2020, 9, 817–821. [Google Scholar] [CrossRef]
  40. Buttar, H.M.; Aman, W.; Rahman, M.M.U.; Abbasi, Q.H. Countering active attacks on RAFT-based IoT blockchain networks. IEEE Sens. J. 2023, 23, 14691–14699. [Google Scholar] [CrossRef]
  41. Haenggi, M. Stochastic Geometry For Wireless Networks; Cambridge University Press: Cambridge, UK, 2013. [Google Scholar]
  42. Chetlur, V.V.; Dhillon, H.S. Downlink coverage analysis for a finite 3-D wireless network of unmanned aerial vehicles. IEEE Trans. Commun. 2017, 65, 4543–4558. [Google Scholar] [CrossRef]
  43. Yu, D.; Li, W.; Xu, H.; Zhang, L. Low reliable and low latency communications for mission critical distributed industrial internet of things. IEEE Commun. Lett. 2020, 25, 313–317. [Google Scholar] [CrossRef]
  44. Xu, H.; Fan, Y.; Li, W.; Zhang, L. Wireless distributed consensus for connected autonomous systems. IEEE Internet Things J. 2022, 10, 7786–7799. [Google Scholar] [CrossRef]
  45. Li, Y.; Fan, Y.; Zhang, L.; Crowcroft, J. RAFT consensus reliability in wireless networks: Probabilistic analysis. IEEE Internet Things J. 2023, 10, 12839–12853. [Google Scholar] [CrossRef]
  46. Bianchi, G. Performance analysis of the IEEE 802.11 distributed coordination function. IEEE J. Sel. Areas Commun. 2000, 18, 535–547. [Google Scholar] [CrossRef]
  47. Srinivasa, S.; Haenggi, M. Distance distributions in finite uniformly random networks: Theory and applications. IEEE Trans. Veh. Technol. 2009, 59, 940–949. [Google Scholar] [CrossRef]
  48. Tsoumanis, A.; Robertson, R.C. Performance analysis of the effect of pulse-noise interference on WLAN signals transmitted over a Nakagami fading channel. In Proceedings of the IEEE MILCOM 2004, Military Communications Conference, Monterey, CA, USA, 31 October–3 November 2004; Volume 2, pp. 593–597. [Google Scholar]
  49. Zeng, Y.; Wu, Q.; Zhang, R. Accessing From the Sky: A Tutorial on UAV Communications for 5G and Beyond. Proc. IEEE 2019, 107, 2327–2375. [Google Scholar] [CrossRef]
  50. Gradshteyn, I.S.; Ryzhik, I.M. Table of Integrals, Series, and Products, 7th ed.; Elsevier: Amsterdam, The Netherlands, 2007. [Google Scholar]
Figure 1. The process of chained HotStuff.
Figure 1. The process of chained HotStuff.
Drones 09 00334 g001
Figure 2. The positions of the UAV leader node, follower nodes, and interference node.
Figure 2. The positions of the UAV leader node, follower nodes, and interference node.
Drones 09 00334 g002
Figure 3. Consensus failure probability and its approximations.
Figure 3. Consensus failure probability and its approximations.
Drones 09 00334 g003
Figure 4. (a) Relationship between consensus delay and contention window under the first contention window setting, (b) Relationship between consensus delay and contention window under the second contention window setting.
Figure 4. (a) Relationship between consensus delay and contention window under the first contention window setting, (b) Relationship between consensus delay and contention window under the second contention window setting.
Drones 09 00334 g004
Figure 5. (a) Relationship between consensus throughput and contention window under the first contention window setting, (b) Relationship between consensus throughput and contention window under the second contention window setting.
Figure 5. (a) Relationship between consensus throughput and contention window under the first contention window setting, (b) Relationship between consensus throughput and contention window under the second contention window setting.
Drones 09 00334 g005
Figure 6. (a) Relationship between downlink transmission failure probabilities and interference node distance, (b) Relationship between uplink transmission failure probabilities and interference node distance, (c) Relationship between downlink transmission failure probabilities and and interference strength, (d) Relationship between uplink transmission failure probabilities and interference strength.
Figure 6. (a) Relationship between downlink transmission failure probabilities and interference node distance, (b) Relationship between uplink transmission failure probabilities and interference node distance, (c) Relationship between downlink transmission failure probabilities and and interference strength, (d) Relationship between uplink transmission failure probabilities and interference strength.
Drones 09 00334 g006
Figure 7. (a) Relationship between consensus failure probability and interference strength, (b) Relationship between consensus failure probability and interference node distance.
Figure 7. (a) Relationship between consensus failure probability and interference strength, (b) Relationship between consensus failure probability and interference node distance.
Drones 09 00334 g007
Table 1. Two types of contention window setting methods.
Table 1. Two types of contention window setting methods.
Contention WindowNumber of Slots
Setting 1[15, 31][31, 63][63, 127][127, 255][255, 511][511, 1023]
Setting 2[15, 1023][31, 1023][63, 1023][127, 1023][255, 1023][511, 1023]
Table 2. Wireless Communication Protocol Parameter Settings.
Table 2. Wireless Communication Protocol Parameter Settings.
ParametersDescriptionDelay ( μ s)
T R T S RTS Timeout 24.6153
T C T S CTS Timeout 17.23
T A C K T A C K 17.23
S I F S Short Inter-Frame Space16
D I F S Distributed Inter-Frame Space 17.23
δ propagation delay 0.167
HThe packet header 5.908
T E P Effective payload of the data 0.6154
σ Channel Idle Time16
Table 3. UAV Ad Hoc Network and Electromagnetic Interference Node Parameter Settings.
Table 3. UAV Ad Hoc Network and Electromagnetic Interference Node Parameter Settings.
DescriptionValue
Transmission power of UAV P16 dBm (≈40 mW)
Transmission Power of Interference Node  P J Ranging from 40 mW to 300 mW with increments of 10 mW
Noise power σ 2 93.97 dBm
Position of UAV leader node(200, 200, 100)
Distance from leader node to interference node d J Ranging from 200 m to 1000 m with increments of 25 m
Nakagami-m fading model m = 1 , w = 1
Log-distance path fading model α = 2 , 49.24 dBm attenuation at 1 m
Disclaimer/Publisher’s Note: The statements, opinions and data contained in all publications are solely those of the individual author(s) and contributor(s) and not of MDPI and/or the editor(s). MDPI and/or the editor(s) disclaim responsibility for any injury to people or property resulting from any ideas, methods, instructions or products referred to in the content.

Share and Cite

MDPI and ACS Style

Huang, X.; Huang, D. Performance Analysis of Blockchain Consensus Algorithm in Unmanned Aerial Vehicle Ad Hoc Networks. Drones 2025, 9, 334. https://doi.org/10.3390/drones9050334

AMA Style

Huang X, Huang D. Performance Analysis of Blockchain Consensus Algorithm in Unmanned Aerial Vehicle Ad Hoc Networks. Drones. 2025; 9(5):334. https://doi.org/10.3390/drones9050334

Chicago/Turabian Style

Huang, Xuan, and Dongyan Huang. 2025. "Performance Analysis of Blockchain Consensus Algorithm in Unmanned Aerial Vehicle Ad Hoc Networks" Drones 9, no. 5: 334. https://doi.org/10.3390/drones9050334

APA Style

Huang, X., & Huang, D. (2025). Performance Analysis of Blockchain Consensus Algorithm in Unmanned Aerial Vehicle Ad Hoc Networks. Drones, 9(5), 334. https://doi.org/10.3390/drones9050334

Article Metrics

Back to TopTop